Sign in to use this feature.

Years

Between: -

Subjects

remove_circle_outline
remove_circle_outline
remove_circle_outline
remove_circle_outline
remove_circle_outline
remove_circle_outline
remove_circle_outline
remove_circle_outline
remove_circle_outline

Journals

Article Types

Countries / Regions

remove_circle_outline
remove_circle_outline
remove_circle_outline
remove_circle_outline

Search Results (344)

Search Parameters:
Keywords = resistant weeds control

Order results
Result details
Results per page
Select all
Export citation of selected articles as:
20 pages, 2272 KB  
Article
The Synergistic Effects of Jasmonic Acid and Arbuscular Mycorrhizal Fungi in Enhancing the Herbicide Resistance of an Invasive Weed Sphagneticola trilobata
by Hu’anhe Xiong, Misbah Naz, Rui Chen, Mengting Yan, Zongzhi Gong, Zhixiang Shu, Ruike Zhang, Guangqian Ren, Shanshan Qi, Zhicong Dai and Daolin Du
Microorganisms 2025, 13(12), 2817; https://doi.org/10.3390/microorganisms13122817 - 10 Dec 2025
Viewed by 182
Abstract
The invasive plant Sphagneticola trilobata (Asteraceae), known for its rapid growth and strong adaptability, has spread widely across tropical and subtropical regions worldwide, posing a serious threat to local plant diversity. Traditional weed control approaches have limited effectiveness, and the overuse of chemical [...] Read more.
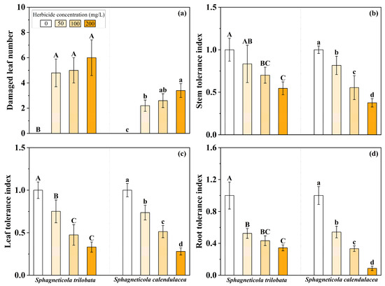
The invasive plant Sphagneticola trilobata (Asteraceae), known for its rapid growth and strong adaptability, has spread widely across tropical and subtropical regions worldwide, posing a serious threat to local plant diversity. Traditional weed control approaches have limited effectiveness, and the overuse of chemical herbicides such as glyphosate not only leads to resistance but also harms the environment. This study elucidated the important roles of jasmonic acid (JA) and arbuscular mycorrhizal fungi (AMF) in jointly promoting the herbicide resistance of S. trilobata. Firstly, the herbicide tolerance of S. trilobata was tested. Then, a field experiment was conducted to test the relation between AMF colonization and herbicide resistance in S. trilobata by high-throughput sequencing, and the metabolomics analysis was conducted to test the secondary metabolite difference by AMF colonization. Lastly, a greenhouse experiment was conducted to assess the synergistic effects of JA and AMF on S. trilobata’s herbicide resistance. Results showed that invasive S. trilobata has stronger glyphosate tolerance than its native congener. The field experiment showed that glyphosate treatment significantly increased the AMF colonization in S. trilobata and altered the composition of the rhizosphere AMF community. Metabolomics analysis revealed that AMF colonization upregulates the expression of stress-related metabolites, especially JA content. The greenhouse experiment further validated that both AMF colonization and JA application could enhance the stem and root length and plant biomass. Under glyphosate application, AMF and JA enhanced plant growth and relative chlorophyll content, while reducing relative flavonol and anthocyanin contents. Furthermore, the interaction of AMF and JA treatments led to a significant synergistic effect in plant growth and resistance to glyphosate. Our findings emphasize the necessity to simultaneously consider eliminating the promoting effects of JA and AMF on the herbicide resistance when implementing chemical control management strategies for the control of S. trilobata. This study provides new theoretical bases and sustainable control strategies for invasive plant management, as well as important references for research on plant-microbe interactions and stress resistance mechanisms. Full article
Show Figures

Figure 1

30 pages, 923 KB  
Review
Water Management in Chile Peppers and Plant Susceptibility to Phytophthora capsici and Development of Phytophthora Blight: A Review
by Yusuf O. Anifowoshe, Dennis Lozada, Soum Sanogo and Koffi Djaman
Agronomy 2025, 15(12), 2819; https://doi.org/10.3390/agronomy15122819 - 8 Dec 2025
Viewed by 643
Abstract
The response of chile peppers (Capsicum spp.) to different irrigation systems is an important factor affecting crop yield, quality parameters, and resistance to soil-borne diseases. The choice of irrigation method significantly impacts fruit size development, water-use efficiency, and overall crop production. Research [...] Read more.
The response of chile peppers (Capsicum spp.) to different irrigation systems is an important factor affecting crop yield, quality parameters, and resistance to soil-borne diseases. The choice of irrigation method significantly impacts fruit size development, water-use efficiency, and overall crop production. Research shows that proper irrigation management can increase yields, improve physiological response, and reduce the incidence of Phytophthora blight, a major disease caused by Phytophthora capsici. However, over-irrigation directly harms chile peppers, causing waterlogging, which, together with increasing weed spreads, creates favorable conditions for P. capsici to grow and increase disease susceptibility. Conversely, under-irrigation can induce drought stress that weakens chile peppers and increases their vulnerability to P. capsici. Although the pathogen cannot thrive or spread in dry soils, severely stressed plants become highly susceptible when even brief periods of moisture occur—such as from dew, light rainfall, or a short irrigation event—creating favorable conditions for infection. In addition, lack of proper timing and insufficient irrigation frequency adversely affect fruit quality characteristics, including capsaicin content (spiciness), color, and nutrient composition. Water stress is extremely damaging because it can reduce the biomass of plants, delay flowering, reduce fruit size, or cause significant yield loss. Considering the importance of water management in chile pepper cultivation and optimizing irrigation systems is important to ensure high-quality crops. Disease susceptibility and effects of different irrigation systems, including inadequate irrigation and excessive irrigation, have been reviewed, with an emphasis on the impact of these irrigation methods on plant growth and yield quality, and on Phytophthora blight. This review aims to provide insights into the importance of irrigation management for sustainable and effective chile pepper production and disease control. Full article
Show Figures

Figure 1

26 pages, 646 KB  
Review
A Review on the Mechanism of Soil Flame Disinfection and the Precise Control Technology of the Device
by Yunhe Zhang, Ying Wang, Jinshi Chen and Yu Zhang
Agriculture 2025, 15(23), 2447; https://doi.org/10.3390/agriculture15232447 - 26 Nov 2025
Viewed by 343
Abstract
Soil disinfection is of great significance in reducing soil pests and weeds, overcoming the problem of crop continuous cropping obstacles, and ensuring the quality and safety of agricultural products. Soil flame disinfection technology, as a supplementary soil disinfection method that can be incorporated [...] Read more.
Soil disinfection is of great significance in reducing soil pests and weeds, overcoming the problem of crop continuous cropping obstacles, and ensuring the quality and safety of agricultural products. Soil flame disinfection technology, as a supplementary soil disinfection method that can be incorporated into an integrated plant protection system, has attracted much attention in recent years due to its characteristics of low resistance, greenness, environmental friendliness, and high efficiency. However, soil flame disinfection can also have a certain impact on soil organic matter and microbial communities, which is a core challenge that limits the promotion of flame disinfection technology. Clarifying the mechanism and temperature distribution of flame disinfection, accurately controlling flame disinfection parameters, can not only kill harmful organisms in soil, but also minimize damage to soil organic matter and microbial communities is the current research focus. This paper presents a comprehensive summary and discussion of the research progress regarding the mechanism of soil flame disinfection technology, the distribution of temperature fields, and the precise control technology for disinfection machines. It thoroughly elaborates on the efficacy of flame in eliminating typical soil-borne diseases and pests, the destructive impact of flame on soil organic matter and beneficial microbial communities, as well as the current status of research and development on soil flame disinfection devices. Additionally, it explores the pressing technical challenges that remain to be addressed. The article then discusses the future market prospects of soil flame disinfection equipment, focusing on key technological breakthroughs and opportunities, providing theoretical support for the next research, optimization and promotion of soil flame disinfection technology. Full article
(This article belongs to the Special Issue Integrated Management of Soil-Borne Diseases—Second Edition)
Show Figures

Figure 1

16 pages, 635 KB  
Article
Field Evaluation of Spent Pleurotus ostreatus Substrate Reveals Limited Suppression of Fusarium Wilt in Banana
by Walter Ocimati, Geofrey Ogwal, Elizabeth Kearsley and Guy Blomme
J. Fungi 2025, 11(11), 816; https://doi.org/10.3390/jof11110816 - 18 Nov 2025
Viewed by 469
Abstract
Fusarium oxysporum f. sp. cubense (Foc), the causal agent of Fusarium wilt of banana, can persist in the soil for extended periods as chlamydospores or endophytes in weeds, complicating control measures. No single control strategy is effective. Biological agents present an increasingly important [...] Read more.
Fusarium oxysporum f. sp. cubense (Foc), the causal agent of Fusarium wilt of banana, can persist in the soil for extended periods as chlamydospores or endophytes in weeds, complicating control measures. No single control strategy is effective. Biological agents present an increasingly important control option. This study explored the potential of the spent P. ostreatus substrates (SPoS) to suppress Foc R1 in a field with high Foc inoculum, following laboratory and greenhouse studies that highlighted the potential of P. ostreatus as a biocontrol agent against Foc. A susceptible cultivar ‘Sukali Ndizi’ and a resistant cultivar ‘Mpologoma’ were used for the study. SPoS was compared with farmyard manure (FYM), a combination of SPoS with FYM and a control without treatment. A one-time application of the treatments at planting did not consistently and significantly (p > 0.05) reduce the prevalence and severity of leaf symptoms, pseudostem splitting and corm damage in the mother and ratoon plants of the susceptible cultivar. No symptoms occurred in ‘Mpologoma’. SPoS applications at planting and after every two months over an 8-month period did not significantly reduce leaf symptoms and corm damage in ‘Sukali Ndizi’, while it increased pseudostem splitting. The marginal and irregular reductions in FW could be due to an observed high weevil damage in SPoS treatments and other confounding factors such as weather, SPoS quality, and pathogen load in the field. Further research on weevil–SPoS interactions, use of P. ostreatus mycelium-rich substrate, and other confounding factors is crucial for fine tuning P. ostreatus use. Full article
(This article belongs to the Section Fungi in Agriculture and Biotechnology)
Show Figures

Figure 1

27 pages, 1563 KB  
Review
Microbial Degradation of Herbicide Residues in Australian Soil: An Overview of Mechanistic Insights and Recent Advancements
by Imtiaz Faruk Chowdhury, Gregory S. Doran, Benjamin J. Stodart, Chengrong Chen and Hanwen Wu
Toxics 2025, 13(11), 949; https://doi.org/10.3390/toxics13110949 - 3 Nov 2025
Cited by 1 | Viewed by 2215
Abstract
Herbicides are chemical compounds that are toxic to weed plants. Modern agriculture relies heavily on herbicides for the control of weeds to maximize crop yields. Herbicide usage in the Australian grains industry is estimated to have increased by more than 65% from 2014 [...] Read more.
Herbicides are chemical compounds that are toxic to weed plants. Modern agriculture relies heavily on herbicides for the control of weeds to maximize crop yields. Herbicide usage in the Australian grains industry is estimated to have increased by more than 65% from 2014 to 2024, which equates to more than AUD 2.50 billion dollars per year. The increased popularity of herbicides in farming systems has raised concerns about their negative impacts on the environment, human health and agricultural sustainability due to the rapid evolution of herbicide resistance, as well as their behaviour and fate in the soil. Due to excessive use of herbicides, soil and water pollution, reduced biodiversity and depression in soil heterotrophic bacteria (including denitrifying bacteria) and fungi are becoming increasingly common. Biological degradation governed by microorganisms serves as a major natural remediation process for a variety of pollutants including herbicides. This review provides a brief overview of the present status of herbicide residues in Australian farming systems, with a focus on the microbial degradation of herbicides in soil. It highlights key bacterial and fungal strains involved and the environmental factors influencing the biodegradation process. Recent advancements, including the application of omics technologies, are outlined to provide a comprehensive understanding of the biodegradation process. Full article
Show Figures

Graphical abstract

12 pages, 1569 KB  
Article
Assessment of Florpyrauxifen-Benzyl Sensitivity in Echinochloa crus-galli and E. crus-galli var. mitis: A Case Study with 228 Populations in Eastern China
by Yang Chen, Aatiqa Masoom, Zeyue Huang, Jiahao Xue and Guoqi Chen
Agronomy 2025, 15(11), 2446; https://doi.org/10.3390/agronomy15112446 - 22 Oct 2025
Viewed by 400
Abstract
Echinochloa crus-galli and E. crus-galli var. mitis are two of the most troublesome rice weeds. Florpyrauxifen-benzyl is one of the most important post-emergence rice herbicides that has been pervasively applied in many countries since 2018. We collected 70 E. crus-galli and 158 E. [...] Read more.
Echinochloa crus-galli and E. crus-galli var. mitis are two of the most troublesome rice weeds. Florpyrauxifen-benzyl is one of the most important post-emergence rice herbicides that has been pervasively applied in many countries since 2018. We collected 70 E. crus-galli and 158 E. crus-galli var. mitis populations from rice fields in eastern China in 2022 and tested their sensitivities to florpyrauxifen-benzyl through whole-plant bioassays. A total of 21 days after treatment with florpyrauxifen-benzyl label dose (36 g ai ha−1), 71.4% of E. crus-galli and 70.9% of E. crus-galli var. mitis populations were completely controlled. The GR50 doses (doses causing 50% fresh weight reductions in aboveground parts) of florpyrauxifen-benzyl applied to E. crus-galli populations ranged from 1.4 to 36.9 g ai ha−1, with a baseline sensitivity dose of 4.9 g ai ha−1; those for E. crus-galli var. mitis populations ranged from 1.3 to 97.6 g ai ha−1, with a baseline sensitivity dose of 5.0 g ai ha−1. No significant differences between E. crus-galli and E. crus-galli var. mitis were found in GR50 values. Among 70 E. crus-galli populations, 61.4%, 35.7%, and 2.9% showed no, low, and moderate resistance to florpyrauxifen-benzyl, while among 158 E. crus-galli var. mitis populations, 54.4%, 36.1%, 1.9%, and 1.9% showed no, low, moderate, and high resistance to florpyrauxifen-benzyl, respectively. Moreover, the frequency of florpyrauxifen-benzyl-resistant populations of E. crus-galli var. mitis tended to be higher in southwestern areas. Full article
(This article belongs to the Section Pest and Disease Management)
Show Figures

Figure 1

17 pages, 3914 KB  
Article
Genomic and Functional Characterization of Acetolactate Synthase (ALS) Genes in Stress Adaptation of the Noxious Weed Amaranthus palmeri
by Jiao Ren, Mengyuan Song, Daniel Bimpong, Fulian Wang, Wang Chen, Dongfang Ma and Linfeng Du
Plants 2025, 14(19), 3088; https://doi.org/10.3390/plants14193088 - 7 Oct 2025
Viewed by 863
Abstract
Acetolactate synthase (ALS) is an important enzyme in plant branched-chain amino acid biosynthesis and the target of several major herbicide classes. Despite its agronomic importance, the role of ALS genes in stress adaptation in the invasive weed Amaranthus palmeri remains unstudied. In this [...] Read more.
Acetolactate synthase (ALS) is an important enzyme in plant branched-chain amino acid biosynthesis and the target of several major herbicide classes. Despite its agronomic importance, the role of ALS genes in stress adaptation in the invasive weed Amaranthus palmeri remains unstudied. In this study, four ApALS genes with high motif conservation were identified and analyzed in A. palmeri. Phylogenetic analysis classified ApALS and other plant ALS proteins into two distinct clades, and the ApALS proteins were predicted to localize to the chloroplast. Gene expression analysis demonstrated that ApALS genes are responsive to multiple stresses, including salt, heat, osmotic stress, glufosinate ammonium, and the ALS-inhibiting herbicide imazethapyr, suggesting roles in both early and late stress responses. Herbicide response analysis using an Arabidopsis thaliana ALS mutant (AT3G48560) revealed enhanced imazethapyr resistance, associated with higher chlorophyll retention. Furthermore, high sequence homology between AT3G48560 and ApALS1 suggests a conserved role in protecting photosynthetic function during herbicide stress. This study provides the first comprehensive analysis of the ALS gene family in A. palmeri and offers important insights into its contribution to stress resilience. These findings establish a vital foundation for developing novel strategies to control this pervasive agricultural weed and present potential genetic targets for engineering herbicide tolerance in crops. Full article
Show Figures

Figure 1

18 pages, 1779 KB  
Article
Blackgrass (Alopecurus myosuroides Huds.) Multiple Resistance to ACCase- and ALS-Inhibitors and Its Competition with Winter Wheat
by Aristeidis P. Papapanagiotou, Ioannis Vasilakoglou, Maria V. Alvanou, Ioannis A. Giantsis, Panagiotis Madesis and Ilias G. Eleftherohorinos
Genes 2025, 16(10), 1169; https://doi.org/10.3390/genes16101169 - 3 Oct 2025
Viewed by 706
Abstract
Background/Objectives: The herbicide resistance of blackgrass (Alopecurus myosuroides Huds.) is one of the most serious problems in the winter cereal monoculture in Europe. Recently, Greek farmers expressed complaints of reduced susceptibility of this weed to winter wheat herbicides. Keeping this in mind, [...] Read more.
Background/Objectives: The herbicide resistance of blackgrass (Alopecurus myosuroides Huds.) is one of the most serious problems in the winter cereal monoculture in Europe. Recently, Greek farmers expressed complaints of reduced susceptibility of this weed to winter wheat herbicides. Keeping this in mind, this study focused on the investigation of blackgrass resistance to herbicides at both phenotypic and molecular levels. Methods: Whole-plant rate-response pot assays were conducted to study the possible evolution of resistance (cross- or multiple-resistance) in a blackgrass population to ACCase- and ALS-inhibiting herbicides. Analysis of the ACCase gene sequence, herbicide metabolism study and competition with winter wheat studies were also conducted. Results: High levels of cross-resistance mainly to the ACCase post-emergence clodinafop-propargyl, medium to fenoxaprop-P-ethyl, cycloxydim, pinoxaden, as well as lower levels of resistance to ALS-inhibitors (mesosulfuron-methyl + iodosulfuron-methyl-sodium and pyroxsulam) were confirmed. In addition, the pre-emergence soil-applied herbicides chlorotoluron + diflufenican and prosulfocarb provided excellent control of the S and R blackgrass populations. The analysis of the ACCase gene sequence revealed a point mutation at position 1781, resulting in an amino acid substitution from isoleucine (Ile) to leucine (Leu). Furthermore, the combined application of the herbicides with piperonyl butoxide (PBO, applied 2 h before herbicide application) indicated that there was herbicide metabolism, which may be mediated by cytochrome P450. The R blackgrass population, when grown in competitive interaction with winter wheat, produced more tillers and aboveground fresh weight compared to the S population and caused greater reduction in winter wheat. Conclusions: The results suggest that a blackgrass population has developed multiple resistance to ACCase- and ALS-inhibiting herbicides, due to ACCase gene mutation and herbicide metabolism. No fitness cost and no compromised competitive ability associated with the blackgrass resistance were observed. Full article
(This article belongs to the Special Issue Forage and Grass Genetics and Genomics)
Show Figures

Figure 1

15 pages, 1939 KB  
Article
Field and Molecular Evidence for Tolprocarb-Induced Phytoalexin Production and Weed Suppression in Rice
by Keisuke Tomita, Kakeru Toribe, Hiroyuki Hagiwara, Takuya Ando, Kosuke Yoshino, Mikio Tsuda, Hideaki Nojiri and Kazunori Okada
Agriculture 2025, 15(19), 2042; https://doi.org/10.3390/agriculture15192042 - 29 Sep 2025
Viewed by 506
Abstract
Tolprocarb (TPC), a fungicide primarily used for controlling rice blast, was recently shown to stimulate disease resistance in rice. To elucidate the molecular basis of this immunostimulatory effect, we conducted transcriptomic, metabolic, and field-based analyses focusing on diterpenoid phytoalexins, key antimicrobial and allelopathic [...] Read more.
Tolprocarb (TPC), a fungicide primarily used for controlling rice blast, was recently shown to stimulate disease resistance in rice. To elucidate the molecular basis of this immunostimulatory effect, we conducted transcriptomic, metabolic, and field-based analyses focusing on diterpenoid phytoalexins, key antimicrobial and allelopathic compounds in rice. Microarray analysis revealed that TPC treatment induced a broad transcriptional activation of genes involved in phytoalexin biosynthesis, including DPF, a master regulator of diterpenoid metabolism. Consistent with this, LC-MS/MS analyses confirmed the accumulation of momilactones A and B, as well as phytocassanes B, C, and E, in rice leaves after TPC application, a response not observed with conventional resistance inducers such as probenazole or carpropamid. In root tissues under controlled conditions, phytoalexin accumulation was limited, and exudation into the rhizosphere was minimal. However, field experiments showed that TPC treatment led to a transient increase in leaf momilactones around 14 days post-transplanting, followed by increased exudation into the rhizosphere at 21 days. Notably, this increase in root exudation coincided with a reduction in total weed biomass, although weed species composition remained unchanged. These findings suggest that TPC not only enhances rice immunity through phytoalexin induction but may also contribute to weed suppression via allelopathic root exudates in field settings. Our study highlights a dual role for TPC in rice cultivation, boosting disease resistance and suppressing weed growth, and underscores the potential of phytoalexin-focused strategies for integrated crop protection. Full article
(This article belongs to the Section Crop Protection, Diseases, Pests and Weeds)
Show Figures

Figure 1

39 pages, 13134 KB  
Article
Mitotic Disruption and Cytoskeletal Alterations Induced by Acorus calamus Essential Oil: Implications for Bioherbicidal Potential
by Mateusz Wróblewski, Natalia Gocek, Aneta Żabka and Justyna T. Polit
Int. J. Mol. Sci. 2025, 26(18), 8933; https://doi.org/10.3390/ijms26188933 - 13 Sep 2025
Viewed by 756
Abstract
Essential oils are increasingly recognized as promising agents for sustainable weed control due to their selectivity and complex modes of action. This study evaluated the effects of Acorus calamus essential oil (SEO) on mitosis in two Fabaceae species (Vicia faba, Lupinus [...] Read more.
Essential oils are increasingly recognized as promising agents for sustainable weed control due to their selectivity and complex modes of action. This study evaluated the effects of Acorus calamus essential oil (SEO) on mitosis in two Fabaceae species (Vicia faba, Lupinus luteus) and two Brassicaceae species (Brassica napus, Arabidopsis thaliana) treated with species-specific IC50 concentrations (0.03%, 0.025%, 0.01%, and 0.005%, respectively). Previous research showed that SEO induces oxidative stress and S-phase delay via genome instability. Here, SEO consistently disrupted mitosis across all species, reducing mitotic index by 50–60%, decreasing Cdc2 (CDKA homolog) levels, and causing chromosomal aberrations, including uneven chromatin condensation, sticky chromosomes, bridges, and micronuclei. Cells accumulated in metaphase and exhibited abnormal karyokinetic and cytokinetic spindles. Immunolabeling revealed thick, tightly packed microtubules and actin filaments, indicating excessive stabilization and impaired reorganization. Epigenetic regulation was also affected: H3T3 phosphorylation was abnormally strong, widely distributed, and persistent into anaphase/telophase, while H3S10Ph intensity was weakened. These results suggest that SEO targets multiple components of mitotic machinery and epigenetic control, regardless of species. The observed selectivity depends on dosage, not mechanism. This multi-targeted action may limit the development of plant resistance, supporting the potential of SEO as a bioherbicide in sustainable agriculture. Full article
(This article belongs to the Section Molecular Plant Sciences)
Show Figures

Figure 1

18 pages, 4803 KB  
Article
Exploring the Potential of Genista ulicina Phytochemicals as Natural Biocontrol Agents: A Comparative In Vitro and In Silico Analysis
by Roukia Zatout, Ouided Benslama, Fatima Zohra Makhlouf, Alessio Cimmino, Maria Michela Salvatore, Anna Andolfi, Radhia Manel Kolla and Marco Masi
Toxins 2025, 17(9), 452; https://doi.org/10.3390/toxins17090452 - 6 Sep 2025
Cited by 1 | Viewed by 817
Abstract
Development of new sustainable pesticides represents a real challenge for researchers due to environmental issues and public health aspects. In fact, the overuse of chemical pesticides has led to environmental damage, loss of biodiversity, and pesticide-resistant pests. In a framework characterized by the [...] Read more.
Development of new sustainable pesticides represents a real challenge for researchers due to environmental issues and public health aspects. In fact, the overuse of chemical pesticides has led to environmental damage, loss of biodiversity, and pesticide-resistant pests. In a framework characterized by the necessity of new sustainable agricultural practices, this study investigates the plant Genista ulicina as a producer of bioactive compounds for potential application as eco-friendly biopesticides. First, both roots and aerial parts of G. ulicina were extracted and the main compounds in the crude extracts were identified via GC-MS. Subsequently, the crude extracts were submitted to antifungal and phytotoxic assays. In particular, the antifungal effects were evaluated on three common phytopathogenic fungi, Fusarium oxysporum, Alternaria alternata, and Botrytis cinerea, while phytotoxic activity was evaluated on two weed species: Euphorbia peplus L. and Oxalis corniculata L. Further insights were obtained on the herbicidal potential of phytochemical compounds produced by G. ulicina through in silico investigations. In particular, molecular docking analyses were performed against three key enzymes involved in essential plant metabolic pathways: acetohydroxyacid synthase (AHAS), 4-hydroxyphenylpyruvate dioxygenase (HPPD), and protoporphyrinogen oxidase (PPO). Among the compounds identified, linolelaidic acid methyl ester, 1-monolinolein, stearic acid, and palmitic acid derivatives showed promising binding affinities and favorable interaction patterns compared to reference ligands. Selected phytochemicals from G. ulicina show potential as inhibitors of key herbicide targets, suggesting their value as promising leads in the development of sustainable bio-based weed control agents. Full article
(This article belongs to the Section Plant Toxins)
Show Figures

Figure 1

25 pages, 2060 KB  
Review
Plant-Based Bioherbicides: Review of Eco-Friendly Strategies for Weed Control in Organic Bean and Corn Farming
by Bianca Motta Dolianitis, Viviane Dal Souto Frescura, Guilherme de Figueiredo Furtado, Marcus Vinícius Tres and Giovani Leone Zabot
AgriEngineering 2025, 7(9), 288; https://doi.org/10.3390/agriengineering7090288 - 4 Sep 2025
Cited by 1 | Viewed by 3348
Abstract
Weeds are among the primary factors limiting corn and bean productivity, accounting for up to 30% of yield losses. Although chemical herbicides remain the predominant weed control strategy, their toxicity poses significant risks to human health and the environment. In response, organic agriculture [...] Read more.
Weeds are among the primary factors limiting corn and bean productivity, accounting for up to 30% of yield losses. Although chemical herbicides remain the predominant weed control strategy, their toxicity poses significant risks to human health and the environment. In response, organic agriculture has gained prominence as a more sustainable production system, with an increasing interest in alternative weed management approaches. Plants that produce allelopathic compounds capable of inhibiting the growth of unwanted species have emerged as promising sources of natural bioherbicides. While recent reviews have primarily focused on bioherbicides derived from microorganisms, a notable gap remains regarding the production and application of bioherbicides based on plant extracts. This review addresses this gap by summarizing current knowledge on the use of plant extracts for weed control in corn and bean cultivation. It discusses extraction methods, key plant species and active compounds, target weed species, herbicidal effects, modes of action, and patented technologies. Promising plants include Cuscuta campestris, Cymbopogon citratus, Mentha spp., Eucalyptus spp., and Pinus spp., which are rich in bioactive compounds such as phenolics (i.e., flavonoids), quinones, aldehydes and ketones, lactones, terpenoids (i.e., 8-cineole), and steroids. Plant extract-based bioherbicides show promising potential as sustainable and effective alternatives for weed management in organic agriculture, contributing to reducing the synthetic chemical herbicides, avoiding more resistances of weeds resistance of control, and promoting more environmentally friendly agricultural practices. Full article
(This article belongs to the Section Sustainable Bioresource and Bioprocess Engineering)
Show Figures

Figure 1

28 pages, 346 KB  
Review
Emerging Perspectives on Chemical Weed Management Tactics in Container Ornamental Production in the United States
by Sushil Grewal and Debalina Saha
Horticulturae 2025, 11(8), 926; https://doi.org/10.3390/horticulturae11080926 - 6 Aug 2025
Viewed by 2251
Abstract
Weed management remains a critical challenge in the U.S. container ornamental production industry, where weeds not only compete with crops for limited resources but also harbor pests and pathogens, thereby diminishing plant quality and marketability. The paper explores the economic impact of weed [...] Read more.
Weed management remains a critical challenge in the U.S. container ornamental production industry, where weeds not only compete with crops for limited resources but also harbor pests and pathogens, thereby diminishing plant quality and marketability. The paper explores the economic impact of weed infestations, herbicide resistance development, and the limited availability of selective herbicides for ornamental crops in the United States. This review synthesizes current chemical weed control tactics, focusing not only on both preemergence and postemergence herbicides commonly used in ornamental nurseries, but also organic alternatives and integrated weed management (IWM) approaches as complementary strategies by evaluating their effectiveness, crop safety, and usage. There is a critical need for research in the areas of alternative chemical options such as insecticides, miticides (e.g., Zerotol and Tetra Curb Max), and organic products for liverwort control in greenhouses. Although essential oils and plant-based extracts show some potential, their effectiveness and practical use remain largely unexplored. Full article
(This article belongs to the Section Floriculture, Nursery and Landscape, and Turf)
Show Figures

Graphical abstract

14 pages, 635 KB  
Review
Methods of Control of Parasitic Weeds of the Genus Cuscuta—Current Status and Future Perspectives
by Lyuben Zagorchev, Tzvetelina Zagorcheva, Denitsa Teofanova and Mariela Odjakova
Plants 2025, 14(15), 2321; https://doi.org/10.3390/plants14152321 - 27 Jul 2025
Viewed by 2338
Abstract
Dodders (Cuscuta spp.; Convolvulaceae) are parasitic weeds that pose major challenges to agriculture due to their ability to infect a wide range of host plants, extract nutrients, and transmit pathogens. Their control is especially challenging because of the seed longevity, resistance to [...] Read more.
Dodders (Cuscuta spp.; Convolvulaceae) are parasitic weeds that pose major challenges to agriculture due to their ability to infect a wide range of host plants, extract nutrients, and transmit pathogens. Their control is especially challenging because of the seed longevity, resistance to herbicides, and the capacity for vegetative regeneration. Mechanical methods such as hand-pulling or mowing are labour-intensive and often ineffective for large infestations. Chemical control is limited, as systemic herbicides often affect the host species equally, or even worse than the parasite. Current research is exploring biological control methods, including allelopathic compounds, host-specific fungal pathogens, and epiparasitic insects, though these methods remain largely experimental. An integrated approach that combines prevention, targeted mechanical removal, and biological methods offers the most promising path for long-term management. Continued research is essential to develop effective, sustainable control strategies while exploring possible beneficial uses of these complex parasitic plants. The present review aims to thoroughly summarise the existing literature, emphasising the most recent advances and discussing future perspectives. Full article
Show Figures

Figure 1

12 pages, 1206 KB  
Article
Resistance Mechanisms to Glyphosate in Lamarckia aurea (L.) Moench Found in Southern Spain
by José Alfredo Domínguez-Valenzuela, Javid Gherekhloo, Candelario Palma-Bautista, Saeid Hassanpour-bourkheili, Guido Plaza, Antonia M. Rojano-Delgado and Rafael De Prado
Agronomy 2025, 15(8), 1804; https://doi.org/10.3390/agronomy15081804 - 26 Jul 2025
Viewed by 915
Abstract
Glyphosate has been used for roadside weed control in southern Spain for over 40 years, and most populations of goldentop (Lamarckia aurea L.) Moench have putatively developed resistance to this active ingredient. The physiological and biochemical basis for glyphosate resistance in this [...] Read more.
Glyphosate has been used for roadside weed control in southern Spain for over 40 years, and most populations of goldentop (Lamarckia aurea L.) Moench have putatively developed resistance to this active ingredient. The physiological and biochemical basis for glyphosate resistance in this weed has been investigated. Dose–response studies indicated that the resistant biotype (R) was almost 13 times more resistant to glyphosate compared to a known susceptible biotype (S). Studies of foliar glyphosate retention and 14C-glyphosate uptake/translocation showed no significant differences between both L. aurea biotypes. Basal 5-enolpyruvylshikimate-3-phosphate synthase (EPSPS) activity (µmol µg−1TSP min−1) showed similar values between R (0.82 ± 0.04) and S (0.75 ± 0.05) biotypes. On the other hand, the resistance factor (I50R/I50S) did not show a difference between the two biotypes. Therefore, it was concluded that target-site (TSR) resistance mechanisms are not involved in glyphosate resistance in this weed species. The metabolism of glyphosate to form the non-toxic metabolites aminomethylphosphonic acid (AMPA), glyoxylate, and sarcosine was greater and faster in the R compared to the S biotype; thus, glyphosate resistance is due to non-target-site resistance (NTSR) mechanisms. This paper is the first report of glyphosate resistance in L. aurea in the world. Full article
(This article belongs to the Section Weed Science and Weed Management)
Show Figures

Figure 1

Back to TopTop