Sign in to use this feature.

Years

Between: -

Subjects

remove_circle_outline
remove_circle_outline
remove_circle_outline
remove_circle_outline
remove_circle_outline
remove_circle_outline
remove_circle_outline
remove_circle_outline
remove_circle_outline

Journals

Article Types

Countries / Regions

remove_circle_outline
remove_circle_outline
remove_circle_outline
remove_circle_outline

Search Results (257)

Search Parameters:
Keywords = resistance strain gauges

Order results
Result details
Results per page
Select all
Export citation of selected articles as:
12 pages, 5511 KB  
Article
Low Temperature Effect of Resistance Strain Gauge Based on Double-Layer Composite Film
by Mengqiu Li, Zhiyuan Hu, Fengming Ye, Jiaxiang Wang and Zhuoqing Yang
Micromachines 2026, 17(1), 114; https://doi.org/10.3390/mi17010114 - 15 Jan 2026
Viewed by 183
Abstract
Strain gauges play a crucial role in numerous fields such as bridge and building structural health monitoring. However, traditional strain gauges generate spurious signals due to the temperature effect, which in turn affects their measurement accuracy. Herein, we propose a resistance strain gauge [...] Read more.
Strain gauges play a crucial role in numerous fields such as bridge and building structural health monitoring. However, traditional strain gauges generate spurious signals due to the temperature effect, which in turn affects their measurement accuracy. Herein, we propose a resistance strain gauge based on a double-layer composite film, which is characterized by an adjustable resistance temperature coefficient (TCR), an ultra-near-zero temperature effect, and good TCR repeatability. It is precisely through the combination of materials with positive and negative TCR, leveraging their opposing temperature resistance characteristics, that a low temperature effect has been achieved. Compared with the single-layer alloy-based strain gauge, the developed strain gauge based on double-layer composite film has greatly reduced sensitivity to temperature interference, and its TCR can be reduced to a ultra-near-zero value, approximately 0.8 ppm/°C, while the stability of TCR is excellent. In addition, the gauge factor of the strain gauge is 1.83, and it maintains excellent linearity. This work fully highlights the potential application value of the developed strain gauge in stress monitoring of bridges and building structures. Full article
Show Figures

Figure 1

8 pages, 3196 KB  
Proceeding Paper
Development of a Method for Monitoring the Condition of Remotely Controlled Demolition Robot to Prevent Structural Failures
by Damian Derlukiewicz and Jakub Andruszko
Eng. Proc. 2025, 119(1), 38; https://doi.org/10.3390/engproc2025119038 - 23 Dec 2025
Viewed by 176
Abstract
This paper presents a methodology for monitoring the structural condition of remotely controlled demolition robots to prevent failures and extend service life. The approach integrates finite element method (FEM) simulations with strain gauge and vibroacoustic measurements. Iterative calibration of numerical models enabled accurate [...] Read more.
This paper presents a methodology for monitoring the structural condition of remotely controlled demolition robots to prevent failures and extend service life. The approach integrates finite element method (FEM) simulations with strain gauge and vibroacoustic measurements. Iterative calibration of numerical models enabled accurate mapping of stress distribution, while optimal sensor placement improved monitoring precision. The study examined the impact of operational loads on durability and vibration resistance of critical components. The developed system enhances safety, operational efficiency, and structural reliability, providing a practical framework for predictive maintenance of demolition robots. Full article
Show Figures

Figure 1

16 pages, 19484 KB  
Article
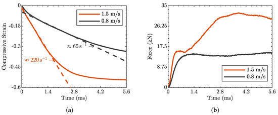
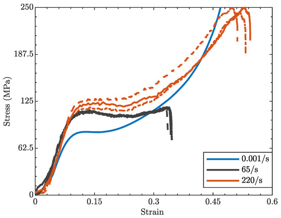
A Novel Electromechanical Apparatus for Intermediate Strain-Rate Testing and Validation on Polycarbonate
by Sara Ricci, Andrea Ceccacci, Gabriel Testa, Andrew Ruggiero, Nicola Bonora and Gianluca Iannitti
Appl. Sci. 2025, 15(23), 12797; https://doi.org/10.3390/app152312797 - 3 Dec 2025
Viewed by 367
Abstract
The characterization of material behavior under intermediate deformation rates remains a major challenge, since conventional testing devices are mainly developed for either quasi-static or high strain-rate conditions. Nonetheless, understanding material response in this regime is essential in several applications, such as crashworthiness, bird [...] Read more.
The characterization of material behavior under intermediate deformation rates remains a major challenge, since conventional testing devices are mainly developed for either quasi-static or high strain-rate conditions. Nonetheless, understanding material response in this regime is essential in several applications, such as crashworthiness, bird strike resistance, or metal forming, as well as for the development of reliable constitutive models. In this work, the design and validation of a novel electromechanical apparatus for intermediate strain-rate testing (∼1–102 s−1) of various materials is presented. One of the novelties of the proposed system is the integration of high-performance electromechanical actuators capable of reaching velocities up to 3 m/s, with 16,000 m/s2 acceleration, and impact forces up to 24 kN. During testing, one specimen end is impacted by a striker while the other is in contact with a 14.5 m transmitter bar. Upon impact, the sample deforms, and a compressive stress wave propagates in the transmitter bar. Strain gauges are employed to measure its deformation and, therefore, the force transmitted to the sample. The velocity and displacement of the impact head are instead recorded with high temporal resolution and accuracy by integrating Photon Doppler Velocimetry (PDV) into the system. Validation tests performed on polycarbonate confirmed the accuracy, repeatability, and overall effectiveness of the apparatus. Full article
(This article belongs to the Section Materials Science and Engineering)
Show Figures

Figure 1

15 pages, 7025 KB  
Article
An Impact Strain Monitoring and Simulating Method for Large-Size Composite Skin Panel with Optical Fiber Sensors
by Jianfei Feng, Hao Dong, Kang Cao and Yongjie Zhang
Aerospace 2025, 12(12), 1070; https://doi.org/10.3390/aerospace12121070 - 30 Nov 2025
Viewed by 358
Abstract
Structural Health Monitoring (SHM) is now essential for certifying many composite primary structures as it resolves strain redistribution at the moment of impact. Traditional detection methods, including resistive strain gauges, face challenges due to susceptibility to electromagnetic noise, as well as increased mass [...] Read more.
Structural Health Monitoring (SHM) is now essential for certifying many composite primary structures as it resolves strain redistribution at the moment of impact. Traditional detection methods, including resistive strain gauges, face challenges due to susceptibility to electromagnetic noise, as well as increased mass and wiring complexity proportional to the number of channels. This study proposes an impact strain monitoring and simulating method using optical fiber sensors for composite skin panels. Repeated low-velocity impact tests were conducted on large-size composite skin panels using various impact forces and locations. The 95% confidence interval for unit load strain in the simulation results differs from the experiment by 18%. This method effectively facilitates the monitoring of global impact strain on large-size composite skin panels. Full article
(This article belongs to the Section Aeronautics)
Show Figures

Figure 1

14 pages, 2564 KB  
Article
Linearly Responsive, Reliable, and Stretchable Strain Sensors Based on Polyaniline Composite Hydrogels
by Chubin He and Xiuru Xu
Gels 2025, 11(12), 966; https://doi.org/10.3390/gels11120966 - 29 Nov 2025
Viewed by 394
Abstract
Conductive hydrogels are ideal for flexible strain sensors, yet their practical use is often limited by water evaporation, signal hysteresis, and structural instability, which impair linearity, durability, and long-term reliability. To overcome these challenges, we developed a robust multiple-network hydrogel composed of poly(vinyl [...] Read more.
Conductive hydrogels are ideal for flexible strain sensors, yet their practical use is often limited by water evaporation, signal hysteresis, and structural instability, which impair linearity, durability, and long-term reliability. To overcome these challenges, we developed a robust multiple-network hydrogel composed of poly(vinyl alcohol) (PVA), polyacrylic acid (PAA), in situ polymerized polyaniline (PANi), and the ionic liquid [EMIM][TFSI]. The resulting composite exhibits an exceptional linear piezoresistive response across its entire working range—from rest to fracture strain of 290%—together with high conductivity (0.68 S/cm), fast response/recovery (0.34 s/0.35 s), and a maximum gauge factor of 2.78. Mechanically robust (tensile strength ≈ 3.7 MPa, modulus ≈ 1.3 MPa), the hydrogel also demonstrates outstanding cyclic durability, withstanding over 12,000 stretching–relaxation cycles, and markedly improved dehydration resistance, retaining about 60% of its mass after 3 days at room temperature. This work provides a holistic material solution for developing high-performance, reliable strain sensors suitable for wearable electronics and soft robotics. Full article
(This article belongs to the Special Issue Research on the Applications of Conductive Hydrogels)
Show Figures

Graphical abstract

15 pages, 1587 KB  
Article
Multifunctional MXene/GO/rGO-Textile Flexible Sensor with Outstanding Electrothermal and Strain-Sensing Performance for Wearable Applications
by Rongjie Zeng, Han Zhang, Jiaqing Huang, Rui Hao, Yuxin Wei, Yige Liu, Xinyue Liao, Birong Pi and Xinghua Hong
Coatings 2025, 15(12), 1381; https://doi.org/10.3390/coatings15121381 - 26 Nov 2025
Cited by 1 | Viewed by 613
Abstract
To address the inherent limitations of easy oxidation and unstable electrical properties in two-dimensional MXene-based flexible sensors, this study developed a MXene/GO/rGO (reduced graphene oxide) textile-based flexible sensor using a lamination method and in situ steam reduction technology. The sensor was constructed on [...] Read more.
To address the inherent limitations of easy oxidation and unstable electrical properties in two-dimensional MXene-based flexible sensors, this study developed a MXene/GO/rGO (reduced graphene oxide) textile-based flexible sensor using a lamination method and in situ steam reduction technology. The sensor was constructed on a high-elasticity knitted polyester fabric, with MXene as the primary conductive layer, graphene oxide (GO) as the adhesive layer, and reduced graphene oxide (rGO) as the protective encapsulation surface layer. The tensile strain-sensing and electrothermal properties of the resulting e-textile were systematically characterized. The MXene/GO/rGO textile demonstrated outstanding electrical and mechanical performance, achieving a conductivity of 39.7 S·m−1, a gauge factors ranging from –3 to –1.6, and a controllable electrothermal heating range from 43 °C to 85 °C under currents of 0.02–0.05 A. Experimental results demonstrated that under applied currents of 0.02, 0.03, 0.04, and 0.05 A, the fabric reached temperatures of 43, 56, 73, and 85 °C, respectively, and remained constant over extended periods. In terms of strain sensing, the sensor exhibited a short response time (65 ms), high discriminability for different strain levels and stretching rates, and a consistent relative resistance change (ΔR/R0) under various stretching speeds (0.5, 1, 2, 4, and 6 mm/s). Compared with sensors based on a single conductive material, the MXene/GO/rGO polyester fabric sensor shows superior electrothermal and strain-sensing performance, indicating promising potential for applications in intelligent wearable textiles such as medical thermal therapy, sports monitoring, and health management. Full article
Show Figures

Figure 1

16 pages, 5099 KB  
Article
Semi-Interpenetrating Highly Conductive and Transparent Hydrogels for Wearable Sensors and Gesture-Driven Cryptography
by Dan Li, Hong Li, Yilin Wei, Lu Jiang, Hongqing Feng and Qiang Zheng
Micro 2025, 5(4), 53; https://doi.org/10.3390/micro5040053 - 23 Nov 2025
Viewed by 622
Abstract
Developing conductive hydrogels that balance high conductivity, stretchability, transparency, and sensitivity for next-generation wearable sensors remains challenging due to inherent trade-offs. This study introduces a straightforward approach to fabricate a semi-interpenetrating double-network hydrogel comprising polyvinyl alcohol (PVA), polyacrylamide (PAM), and lithium chloride (LiCl) [...] Read more.
Developing conductive hydrogels that balance high conductivity, stretchability, transparency, and sensitivity for next-generation wearable sensors remains challenging due to inherent trade-offs. This study introduces a straightforward approach to fabricate a semi-interpenetrating double-network hydrogel comprising polyvinyl alcohol (PVA), polyacrylamide (PAM), and lithium chloride (LiCl) to overcome these limitations. Leveraging hydrogen bonding for energy dissipation and chemical cross-linking for structural integrity, the design achieves robust mechanical properties. The incorporation of 1 mol/L LiCl significantly enhances ionic conductivity, while also providing plasticizing and moisture-retention benefits. The optimized hydrogel exhibits impressive ionic conductivity (0.47 S/m, 113% enhancement), excellent mechanical performance (e.g., 0.177 MPa tensile strength, 730% elongation, 0.68 MJ m−3 toughness), high transparency (>85%), and superior strain sensitivity (gauge factors ~1). It also demonstrates rapid response/recovery and robust fatigue resistance. Functioning as a wearable sensor, it reliably monitors diverse human activities and enables novel, secure data handling applications, such as finger-motion-driven Morse code interfaces and gesture-based password systems. This accessible fabrication method yields versatile hydrogels with promising applications in health tracking, interactive devices, and secure communication technologies. Full article
Show Figures

Figure 1

18 pages, 5704 KB  
Article
Multiphysics Measurement Method for Supercapacitors State of Health Determination
by Thomas Doucet, Jean-François Mogniotte, Raphaël Amiot, Alaa Hijazi, Pascal Venet, Minh-Quyen Le and Pierre-Jean Cottinet
Micromachines 2025, 16(11), 1295; https://doi.org/10.3390/mi16111295 - 19 Nov 2025
Viewed by 534
Abstract
This work presents a comparative study on the ageing of supercapacitors and a method for monitoring their state of health (SoH) through mechanical deformation. This study aims to evaluate the accelerated ageing behaviours of these systems under specific cycling conditions and temperatures, allowing [...] Read more.
This work presents a comparative study on the ageing of supercapacitors and a method for monitoring their state of health (SoH) through mechanical deformation. This study aims to evaluate the accelerated ageing behaviours of these systems under specific cycling conditions and temperatures, allowing the establishment of a correlation between SoH and casing deformation in supercapacitors. Experimental ageing tests revealed supercapacitors displayed an initial “burning” phase followed by a linear ageing trend. Strain gauges were employed to measure the mechanical deformation of supercapacitor casings, providing real-time insights into their SoH. Capacitance fading in supercapacitors was modelled using Brunauer–Emmett–Teller (BET) theory, hypothesizing that gas adsorption during ageing significantly contributes to performance decline. Model predictions were validated against experimental data, demonstrating a clear correlation between capacitance fading, internal resistance, remaining energy, and casing deformation. This work highlights the potential of mechanical deformation monitoring as a practical and non-invasive approach for assessing the SoH of supercapacitors. Full article
Show Figures

Figure 1

25 pages, 5472 KB  
Article
Electromechanical and Rheological Properties of Self-Sensing Mortars Containing Red Mud for Concrete Beam Monitoring
by Henrique Ribeiro Oliveira, Gustavo Henrique Nalon, Gustavo Emilio Soares de Lima, Leonardo Gonçalves Pedroti, José Carlos Lopes Ribeiro, José Maria Franco de Carvalho, Flávio Antônio Ferreira, Ariel Miranda de Souza, Ricardo André Fiorotti Peixoto and Diôgo Silva de Oliveira
Buildings 2025, 15(22), 4085; https://doi.org/10.3390/buildings15224085 - 13 Nov 2025
Viewed by 382
Abstract
The growing demand for sustainable construction practices has driven research into self-sensing materials incorporating recycled waste for smart SHM (Structural Health Monitoring) systems. However, previous works did not investigate the influence of rheological behavior and piezoresistive properties of sustainable cementitious sensors containing red [...] Read more.
The growing demand for sustainable construction practices has driven research into self-sensing materials incorporating recycled waste for smart SHM (Structural Health Monitoring) systems. However, previous works did not investigate the influence of rheological behavior and piezoresistive properties of sustainable cementitious sensors containing red mud (RM) on the strain monitoring of concrete beams. To address this gap, this study presents an experimental analysis of the rheological, mechanical, and self-sensing performance of mortars incorporating carbon black nanoparticles (CBN) and varying levels of RM (25–100% sand replacement by volume), followed by their application in monitoring strain in a reinforced concrete beam under dynamic loading. The results showed that increasing RM content led to higher viscosity and yield stress, with a 60% reduction in consistency index. Compressive strength increased by up to 80%, while mortars with RM content higher than 50% showed high electrical conductivity and reversible resistivity changes under load cycles. Mortars containing 50–100% RM demonstrated improved piezoresistive response, with a 23% increase in gauge factor, and the best-performing sensor embedded in a concrete beam exhibited stable and reversible fractional changes in resistivity, closely matching strain gauge data during dynamic loading conditions. These findings highlight the potential of RM-based smart mortars to enhance sustainability and performance in SHM applications. Full article
(This article belongs to the Special Issue Recent Advances in Structural Health Monitoring)
Show Figures

Figure 1

13 pages, 3254 KB  
Article
Achieving High Sensitivity and Linearity in Resistive Flexible Sensors Using FeNWs@Graphene as Conductive Fillers
by Lei Cui, Zhengfeng Cao, Chuan Chen, Qiang Zhang, Fangyuan Chang, Yan Xiao, Yiyang Tang, Lining Wu and Xiangyu Ge
Nanomaterials 2025, 15(21), 1673; https://doi.org/10.3390/nano15211673 - 4 Nov 2025
Viewed by 741
Abstract
There is a critical demand for flexible resistive sensors that combine high sensitivity with a wide linear range, fast response speed, and excellent long-term stability. This study presents the development of a high-performance resistive flexible sensor utilizing graphene-coated iron nanowires (Fe NWs@Graphene) as [...] Read more.
There is a critical demand for flexible resistive sensors that combine high sensitivity with a wide linear range, fast response speed, and excellent long-term stability. This study presents the development of a high-performance resistive flexible sensor utilizing graphene-coated iron nanowires (Fe NWs@Graphene) as conductive fillers within a polyurethane sponge (PUS) substrate. The sensor was constructed with a sandwich-like structure, consisting of Fe NWs@Graphene-impregnated PUS as the sensing layer, encapsulated by polydimethylsiloxane (PDMS) for protection. The Fe NWs were synthesized via a chemical reduction process employing an external magnetic field. Subsequent chemical vapor deposition enabled uniform graphene coating on the surface of Fe NWs. Systematic performance assessments demonstrated that the Fe NWs@Graphene flexible sensor exhibits a gauge factor (GF) of 14.5 within a 0–100% strain range, representing a 71% improvement over previously reported Fe NW-based strain sensors, along with excellent linearity (R2 = 0.994). The sensor also showed rapid response times (113 ms for loading and 97 ms for unloading) and outstanding cyclic stability over 3000 stretching cycles at 50% strain. These enhancements are attributed to the synergistic effects between Fe NWs and graphene: the graphene shell effectively protects the Fe NW core against oxidation, thereby improving stability, and facilitates efficient charge transport, while the Fe NWs serve as bridging agents that improve both mechanical integrity and electrical percolation. In addition, application tests simulating human motion detection confirmed the sensor’s ability to accurately capture muscle-induced strain signals with high repeatability. The results underscore the feasibility of Fe NWs@Graphene as conductive fillers for high-sensitivity, wide-range, and stable flexible sensors, highlighting the potential in wearable electronics and human–machine interaction systems. Full article
(This article belongs to the Special Issue Nanomaterials in Flexible Sensing and Devices)
Show Figures

Figure 1

23 pages, 4934 KB  
Article
Protegrin-1 Combats Multidrug-Resistant Porcine ExPEC: Potent Bactericidal Activity and Multimodal Immunometabolic Regulation In Vitro and in a Murine Model
by Jing Xu, Yinlin He, Zihao Liang, Shengfeng Chen, Biao Tang, Fei Su and Canying Liu
Vet. Sci. 2025, 12(11), 1030; https://doi.org/10.3390/vetsci12111030 - 23 Oct 2025
Viewed by 705
Abstract
Porcine extraintestinal pathogenic Escherichia coli (ExPEC) is a significant zoonotic pathogen with escalating antimicrobial resistance, underscoring the urgent need for novel therapeutics. This study aimed to investigate the therapeutic potential and mechanism of action of the antimicrobial peptide Protegrin-1 (PG-1) against a multidrug-resistant [...] Read more.
Porcine extraintestinal pathogenic Escherichia coli (ExPEC) is a significant zoonotic pathogen with escalating antimicrobial resistance, underscoring the urgent need for novel therapeutics. This study aimed to investigate the therapeutic potential and mechanism of action of the antimicrobial peptide Protegrin-1 (PG-1) against a multidrug-resistant porcine ExPEC strain, PCN033. The minimal inhibitory concentration (MIC) was determined, and resistance stability was assessed through serial induction and withdrawal passages. Hemolytic activity was evaluated to gauge selectivity. A murine infection model was utilized to assess in vivo efficacy, bacterial load reduction, cytokine modulation, and histopathology. Comparative spleen transcriptomic analysis was performed to elucidate global host responses. PG-1 exhibited potent bactericidal activity (MIC = 32 μg/mL) and maintained its efficacy over multiple passages, demonstrating no induced resistance. It showed acceptable hemolytic activity and significantly improved survival, reduced bacterial loads in multiple organs, and mitigated tissue damage in mice. Transcriptomics revealed PG-1 treatment broadly tempered infection-induced hyperinflammatory responses, including NF-κB, MAPK, and TNF signaling pathways, and counteracted metabolic reprogramming. The findings conclude that PG-1 effectively integrates direct, resistance-resistant bactericidal activity with multimodal immunomodulation, representing a superior therapeutic strategy that simultaneously eliminates pathogens and restores immune homeostasis, offering a promising alternative to conventional antibiotics against MDR ExPEC infections. Full article
(This article belongs to the Section Veterinary Microbiology, Parasitology and Immunology)
Show Figures

Figure 1

22 pages, 3906 KB  
Article
Design of a Modularized IoT Multi-Functional Sensing System and Data Pipeline for Digital Twin-Oriented Real-Time Aircraft Structural Health Monitoring
by Shengkai Guo, Andrew West, Jan Papuga, Stephanos Theodossiades and Jingjing Jiang
Sensors 2025, 25(21), 6531; https://doi.org/10.3390/s25216531 - 23 Oct 2025
Viewed by 1107
Abstract
A modular, multi-functional (encompassing data acquisition, management, preprocessing, and transmission) sensing (MMFS) system based upon the Internet of Things (IoT) paradigm is discussed in this paper with the goal of continuous real-time, multi-sensor and multi-location monitoring of aircraft (including drones) structural performances during [...] Read more.
A modular, multi-functional (encompassing data acquisition, management, preprocessing, and transmission) sensing (MMFS) system based upon the Internet of Things (IoT) paradigm is discussed in this paper with the goal of continuous real-time, multi-sensor and multi-location monitoring of aircraft (including drones) structural performances during flight. According to industrial and system requirements, a microcontroller and four sensors (strain, acceleration, vibration, and temperature) were selected and integrated into the system. To enable the determination of potential in-flight failures and estimates of the remaining useful service life of the aircraft, resistance strain gauge networks, piezoelectric sensors for capturing structural vibrations and impact, accelerometers, and thermistors have been integrated into the MMFS system. Real flight tests with Evektor’s Cobra VUT100i and SportStar RTC aircraft have been undertaken to demonstrate the features of recorded data and provide requirements for the MMFS functional design. Real flight test data were analysed, indicating that a sampling rate of 1000 Hz is necessary to balance representation of relevant features within the data and potential loss of quality in fatigue life estimation. The design and evaluation of the performance of a prototype (evaluated via representative stress/strain experiments using an Instron Hydraulic 250 kN machine within laboratories) are detailed in this paper. Full article
Show Figures

Figure 1

26 pages, 6031 KB  
Article
Model-Based Design and Sensitivity Optimization of Frequency-Output Pressure Sensors for Real-Time Monitoring in Intelligent Rowing Systems
by Iaroslav Osadchuk, Oleksandr Osadchuk, Serhii Baraban, Andrii Semenov and Mariia Baraban
Electronics 2025, 14(20), 4049; https://doi.org/10.3390/electronics14204049 - 15 Oct 2025
Viewed by 567
Abstract
This study presents a model-driven approach to the design, calibration, and application of frequency-output pressure sensors integrated within an intelligent system for real-time monitoring of rowing performance. The proposed system captures biomechanical parameters of the “boat–rower” complex across 50 parallel channels with a [...] Read more.
This study presents a model-driven approach to the design, calibration, and application of frequency-output pressure sensors integrated within an intelligent system for real-time monitoring of rowing performance. The proposed system captures biomechanical parameters of the “boat–rower” complex across 50 parallel channels with a temporal resolution of 8–12 ms. At the core of the sensing architecture are parametric pressure transducers incorporating strain-gauge primary elements and microelectronic auto-generator circuits featuring negative differential resistance (NDR). These oscillating circuits convert mechanical stress into high-frequency output signals in the 1749.9–1751.9 MHz range, with pressure sensitivities from 0.365 kHz/kPa to 1.370 kHz/kPa. The sensor models are derived using physical energy conversion principles, enabling the formulation of analytical expressions for transformation and sensitivity functions. These models simplify sensitivity tuning and allow clear interpretation of how structural and electronic parameters influence output frequency. The system architecture eliminates the need for analog-to-digital converters and signal amplifiers, reducing cost and power consumption, while enabling wireless ultra high frequency (UHF) transmission of sensor data. Integrated algorithms analyze the influence of biomechanical variables on athlete performance, enabling real-time diagnostics. The proposed model-based methodology offers a scalable and accurate solution for intelligent sports instrumentation and beyond. Full article
(This article belongs to the Special Issue Wearable Sensors for Human Position, Attitude and Motion Tracking)
Show Figures

Figure 1

23 pages, 13962 KB  
Article
Axial Compression and Uplift Performance of Continuous Helix Screw Piles
by Ahmed Mneina, Mohamed Hesham El Naggar and Osama Drbe
Buildings 2025, 15(19), 3620; https://doi.org/10.3390/buildings15193620 - 9 Oct 2025
Viewed by 905
Abstract
This study investigates the axial performance of continuous helix screw piles compared to helical piles through full-scale compression and tension load testing in layered soils. Twenty-three piles were installed and tested. The results demonstrate that screw piles can achieve considerable axial capacity with [...] Read more.
This study investigates the axial performance of continuous helix screw piles compared to helical piles through full-scale compression and tension load testing in layered soils. Twenty-three piles were installed and tested. The results demonstrate that screw piles can achieve considerable axial capacity with lower installation torque than helical piles, particularly under tensile loading. The capacity-torque relationship for screw piles was more consistent across both compression and tension, likely due to reduced soil disturbance from the smaller helix projection. Strain gauge measurements indicated that screw piles act primarily as friction piles with the threaded shaft carrying most of the load, especially in stiff clay. On the other hand, the smooth portion of the pile shaft contributed only marginally to resistance in compression and none in tension. The calculated capacity based on theoretical equations aligned well with field results in compression, with screw piles best represented by cylindrical shear failure in sand and a combination of cylindrical shear and individual bearing failure in clay. However, there is greater variability between calculated and measured uplift capacity, possibly due to soil disturbance effects. Additionally, the commonly used helix spacing ratio (S/D) was found to be less applicable to screw piles in predicting failure mode due to their smaller shaft-to-helix diameter difference. Full article
(This article belongs to the Special Issue Research on Sustainable Materials in Building and Construction)
Show Figures

Figure 1

15 pages, 1770 KB  
Article
A Peano-Gosper Fractal-Inspired Stretchable Electrode with Integrated Three-Directional Strain and Normal Pressure Sensing
by Chunge Wang, Yuanyuan Huang, Zixia Zhao, Haoyu Li, Chen Liu, Zhixin Jia, Yanping Wang, Qianqian Wang and Sheng Zhang
Nanomaterials 2025, 15(17), 1370; https://doi.org/10.3390/nano15171370 - 5 Sep 2025
Viewed by 1122
Abstract
A novel stretchable flexible electrode capable of simultaneously detecting isotropic three-directional strain and normal pressure has been developed. Inspired by the recursive symmetry of the Peano-Gosper fractal, the electrode integrates liquid metal (EGaIn) microchannels within a PDMS matrix to achieve uniform strain distribution [...] Read more.
A novel stretchable flexible electrode capable of simultaneously detecting isotropic three-directional strain and normal pressure has been developed. Inspired by the recursive symmetry of the Peano-Gosper fractal, the electrode integrates liquid metal (EGaIn) microchannels within a PDMS matrix to achieve uniform strain distribution and mechanically robust conductive pathways under large deformation. Within a strain range of 0–60%, the electrode exhibits highly consistent three-directional responses, with resistance variation across axes kept below 4% and a gauge factor (GF) standard deviation of only 0.0252. The device demonstrates low hysteresis (minimum DH = 0.94%), good cyclic durability, and reliable electromechanical stability. For normal pressure sensing (0–20 kPa), it provides a linear response (R2 ≈ 0.99) with a moderate sensitivity of 0.198 kPa−1. Wearable tests on the wrist, finger, and fingertip confirm the electrode’s reliable operation in multidimensional mechanical monitoring. This integrated fractal–liquid metal design offers a promising route for multifunctional sensing in applications such as soft robotics, human–machine interaction, and wearable electronics. Full article
(This article belongs to the Special Issue Gas-Sensing Properties of Nanomaterials)
Show Figures

Figure 1

Back to TopTop