A Novel Electromechanical Apparatus for Intermediate Strain-Rate Testing and Validation on Polycarbonate
Abstract
1. Introduction
2. Experimental Setup
2.1. Description of the Device
- A soft metal (Cu), characterized by low yield stress and large plastic deformation;
- A medium-strength alloy (Hardened Steel), with moderate strength and ductility;
- A high-strength alloy (Ti6Al4V), with yield stresses over 0.9 GPa.
2.2. Test Configuration
3. Experimental Tests on Polycarbonate
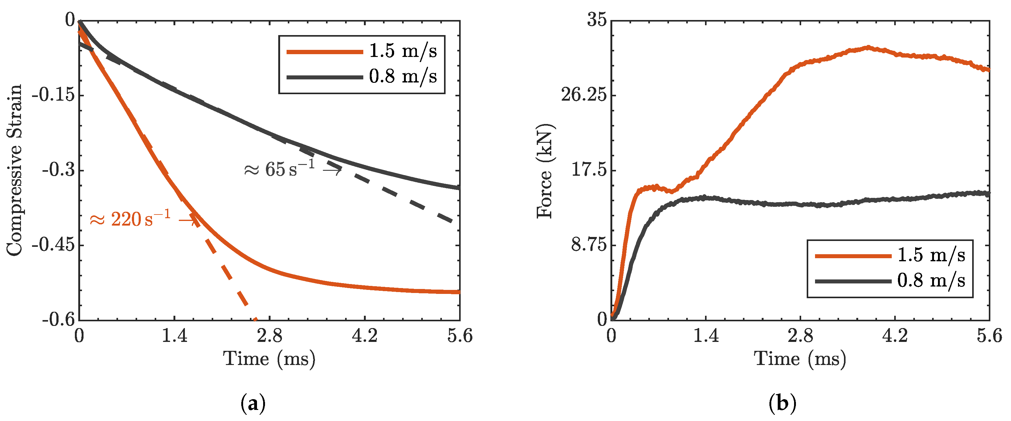
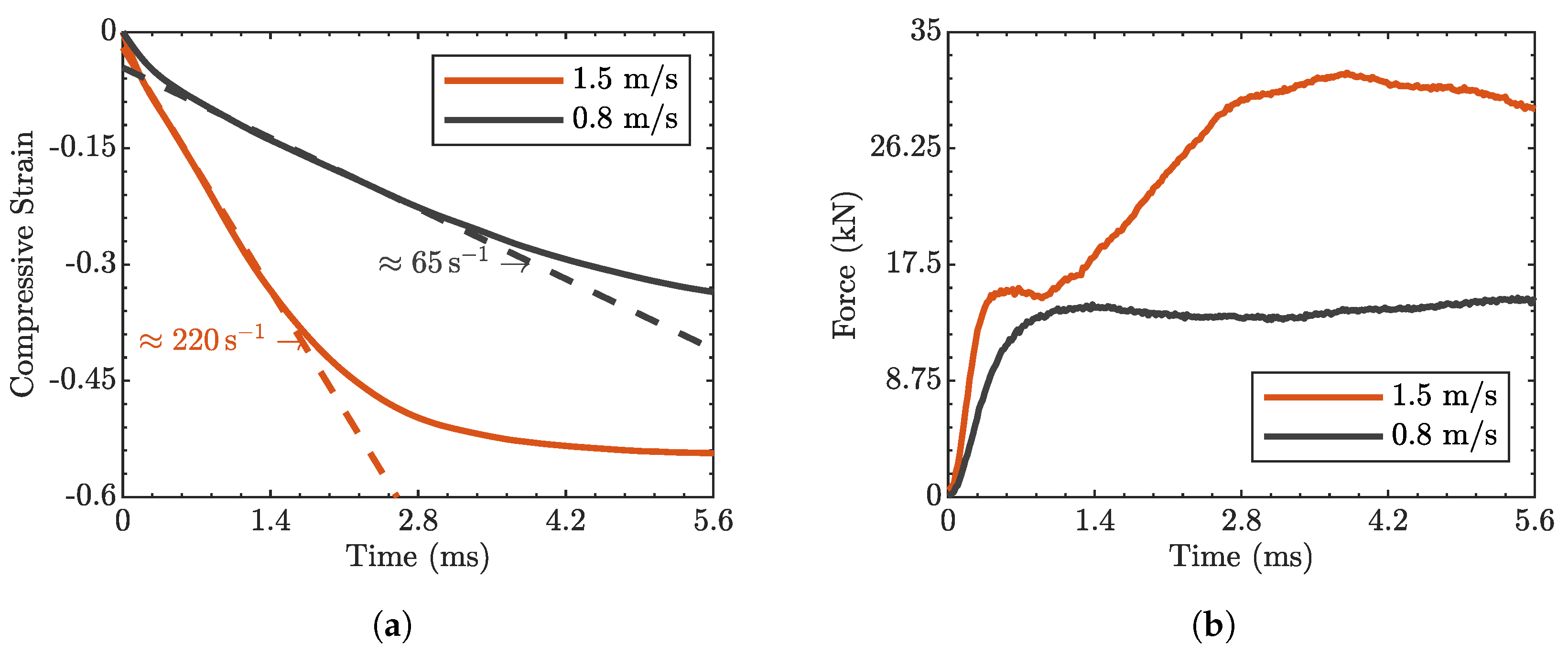
3.1. Analysis of Acquired Data
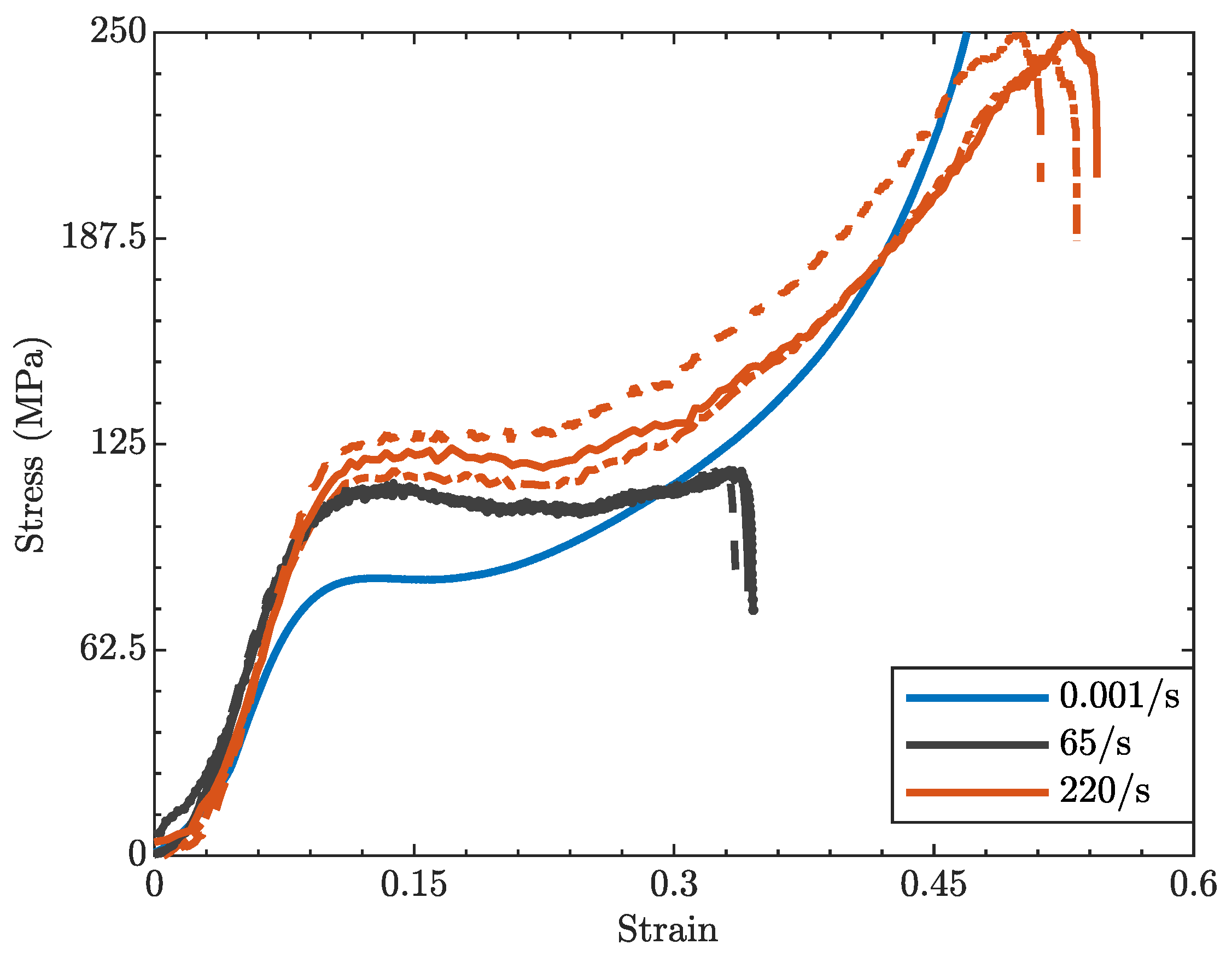
3.2. Response of Polycarbonate
4. Conclusions
Author Contributions
Funding
Data Availability Statement
Acknowledgments
Conflicts of Interest
References
- Kolsky, H. An investigation of the mechanical properties of materials at very high rates of loading. Proc. Phys. Soc. Sect. B 1949, 62, 676–700. [Google Scholar] [CrossRef]
- Al-Mousawi, M.M.; Reid, S.R.; Deans, W.F. The use of the split Hopkinson pressure bar techniques in high strain rate materials testing. Proc. Inst. Mech. Eng. Part C J. Mech. Eng. Sci. 1997, 211, 273–292. [Google Scholar] [CrossRef]
- Thomas, M.R.; Govender, R.A.; Cloete, T.J. A Novel Striker Configuration for Tensile Split Hopkinson Bar Testing with Dynamic Specimen Recovery. J. Dyn. Behav. Mater. 2025, 11, 369–386. [Google Scholar] [CrossRef]
- Sasso, M.; Mancini, E.; Chiappini, G.; Utzeri, M.; Amodio, D. A 90-meter Split Hopkinson Tension–Torsion Bar: Design, Construction and First Tests. J. Dyn. Behav. Mater. 2025, 11, 86–105. [Google Scholar] [CrossRef]
- Meyers, M.A.; Taylor Aimone, C. Dynamic fracture (spalling) of metals. Prog. Mater. Sci. 1983, 28, 1–96. [Google Scholar] [CrossRef]
- Chevrier, P.; Klepaczko, J.R. Spall fracture: Mechanical and microstructural aspects. Eng. Fract. Mech. 1999, 63, 273–294. [Google Scholar] [CrossRef]
- Smith, J.L.; Seidt, J.D.; Fietek, C.J.; Gilat, A. Taylor-Quinney coefficient determination from simultaneous strain and temperature measurements of uniform and localized deformation in tensile tests. J. Mech. Phys. Solids 2025, 199, 106099. [Google Scholar] [CrossRef]
- Gilat, A.; Seidt, J.D.; Matrka, T.A.; Gardner, K.A. A New Device for Tensile and Compressive Testing at Intermediate Strain Rates. Exp. Mech. 2019, 59, 725–731. [Google Scholar] [CrossRef]
- Bhujangrao, T.; Froustey, C.; Iriondo, E.; Veiga, F.; Darnis, P.; Mata, F.G. Review of intermediate strain rate testing devices. Metals 2020, 10, 894. [Google Scholar] [CrossRef]
- Kopp, R.; Luce, R.; Leisten, B.; Wolske, M.; Tschirnich, M.; Rehrmann, T.; Volles, R. Flow stress measuring by use of cylindrical compression test and special application to metal forming processes. Steel Res. 2001, 72, 394–401. [Google Scholar] [CrossRef]
- Diot, S.; Guines, D.; Gavrus, A.; Ragneau, E. Two-step procedure for identification of metal behavior from dynamic compression tests. Int. J. Impact Eng. 2007, 34, 1163–1184. [Google Scholar] [CrossRef]
- Boyce, B.L.; Dilmore, M.F. The dynamic tensile behavior of tough, ultrahigh-strength steels at strain-rates from 0.0002 s−1 to 200 s−1. Int. J. Impact Eng. 2009, 36, 263–271. [Google Scholar] [CrossRef]
- Huh, H.; Lim, J.H.; Park, S.H. High speed tensile test of steel sheets for the stress-strain curve at the intermediate strain rate. Int. J. Automot. Technol. 2009, 10, 195–204. [Google Scholar] [CrossRef]
- Othman, R.; Guégan, P.; Challita, G.; Pasco, F.; LeBreton, D. A modified servo-hydraulic machine for testing at intermediate strain rates. Int. J. Impact Eng. 2009, 36, 460–467. [Google Scholar] [CrossRef]
- LeBlanc, M.M.; Lassila, D.H. A hybrid technique for compression testing at intermediate strain rates. Exp. Tech. 1996, 20, 21–24. [Google Scholar] [CrossRef]
- Petiteau, J.C.; Othman, R.; Guégan, P.; Le Sourne, H.; Verron, E. A drop-bar setup for the compressive testing of rubber-like materials in the intermediate strain rate range. Strain 2014, 50, 555–562. [Google Scholar] [CrossRef]
- Perogamvros, N.; Mitropoulos, T.; Lampeas, G. Drop Tower Adaptation for Medium Strain Rate Tensile Testing. Exp. Mech. 2016, 56, 419–436. [Google Scholar] [CrossRef]
- Song, B.; Sanborn, B.; Heister, J.D.; Everett, R.L.; Martinez, T.L.; Groves, G.E.; Johnson, E.P.; Kenney, D.J.; Knight, M.E.; Spletzer, M.A.; et al. An Apparatus for Tensile Characterization of Materials within the Upper Intermediate Strain Rate Regime. Exp. Mech. 2019, 59, 941–951. [Google Scholar] [CrossRef]
- Quinlan, M.F.; Hillery, M.T. High-strain-rate testing of beryllium copper at elevated temperatures. J. Mater. Process. Technol. 2004, 153–154, 1051–1057. [Google Scholar] [CrossRef]
- Viot, P.; Beani, F. Polypropylene foam behavior under compressive loading at high strain rate. In Structures Under Shock and Impact VIII; WIT Press: Southampton, UK, 2004; Volume 15, pp. 507–516. [Google Scholar]
- Bhujangrao, T.; Froustey, C.; Darnis, P.; Veiga, F.; Guérard, S.; Mata, F.G. Design and Validation of New Torsion Test Bench for Intermediate Strain Rate Testing. Exp. Mech. 2023, 63, 3–13. [Google Scholar] [CrossRef]
- Zhao, H.; Gary, G. A new method for the separation of waves. Application to the SHPB technique for an unlimited duration of measurement. J. Mech. Phys. Solids 1997, 45, 1185–1202. [Google Scholar] [CrossRef]
- Othman, R.; Gary, G. Testing aluminum alloy from quasi-static to dynamic strain-rates with a modified Split Hopkinson Bar method. Exp. Mech. 2007, 47, 295–299. [Google Scholar] [CrossRef]
- Whittington, W.R.; Oppedal, A.L.; Francis, D.K.; Horstemeyer, M.F. A novel intermediate strain rate testing device: The serpentine transmitted bar. Int. J. Impact Eng. 2015, 81, 1–7. [Google Scholar] [CrossRef]
- Jakkula, P.; Ganzenmüller, G.; Hiermaier, S. A Direct Impact Tension Bar setup for testing low-impedance materials at intermediate rates of strain. Mater. Lett. 2023, 352, 24–26. [Google Scholar] [CrossRef]
- Roth, C.C.; Gary, G.; Mohr, D. Compact SHPB System for Intermediate and High Strain Rate Plasticity and Fracture Testing of Sheet Metal. Exp. Mech. 2015, 55, 1803–1811. [Google Scholar] [CrossRef]
- Dunand, M.; Gary, G.; Mohr, D. Load-Inversion Device for the High Strain Rate Tensile Testing of Sheet Materials with Hopkinson Pressure Bars. Exp. Mech. 2013, 53, 1177–1188. [Google Scholar] [CrossRef]
- He, H.; Deng, Q.; Wang, C.X.; Li, J.; Weng, K.X.; Miao, Y.G. A novel methodology for large strain under intermediate strain rate loading. Polym. Test. 2021, 97, 107142. [Google Scholar] [CrossRef]
- Sakama, S.; Tanaka, Y.; Kamimura, A. Characteristics of Hydraulic and Electric Servo Motors. Actuators 2022, 11, 11. [Google Scholar] [CrossRef]
- Pustavrh, J.; Hočevar, M.; Podržaj, P.; Trajkovski, A.; Majdič, F. Comparison of hydraulic, pneumatic and electric linear actuation systems. Sci. Rep. 2023, 13, 20938. [Google Scholar] [CrossRef]
- Testa, G.; Bonora, N.; Esposito, L.; Iannitti, G. Design of an Electromechanical Testing Machine for Elastomers’ Fatigue Characterization. Eng. Proc. 2025, 85, 21. [Google Scholar] [CrossRef]
- Fu, S.; Wang, Y.; Wang, Y. Tension testing of polycarbonate at high strain rates. Polym. Test. 2009, 28, 724–729. [Google Scholar] [CrossRef]
- Stecconi, A.; Landi, L. Finite element analysis for impact tests on polycarbonate safety guards: Comparison with experimental data and statistical dispersion of ballistic limit. ASCE-ASME J. Risk Uncertain. Eng. Syst. Part B Mech. Eng. 2020, 6, 041004. [Google Scholar] [CrossRef]
- Uhlmann, E.; Polte, M.; Bergström, N.; Burattini, L.; Landi, L. Comparison of a Normal and Logistic Probability Distribution for the Determination of the Impact Resistance of Polycarbonate Vision Panels. In Proceedings of the 33rd European Safety and Reliability Conference, Southampton, UK, 3–7 September 2023; pp. 3198–3204. [Google Scholar] [CrossRef]
- Dolan, D.H.; Ao, T.; Grant, S.C. The Sandia Matlab AnalysiS Hierarchy (SMASH) Toolbox; Technical Report; Sandia National Lab.: Albuquerque, MN, USA, 2016. [CrossRef]
- Cao, K.; Wang, Y.; Wang, Y. Experimental investigation and modeling of the tension behavior of polycarbonate with temperature effects from low to high strain rates. Int. J. Solids Struct. 2014, 51, 2539–2548. [Google Scholar] [CrossRef]
- Siviour, C.R.; Walley, S.M.; Proud, W.G.; Field, J.E. The high strain rate compressive behaviour of polycarbonate and polyvinylidene difluoride. Polymer 2005, 46, 12546–12555. [Google Scholar] [CrossRef]
- Barbagallo, R.; Mirone, G.; Landi, L.; Bua, G. Tensile behavior of polycarbonate: Key aspects for accurate constitutive modelling and simulation. Appl. Eng. Sci. 2024, 18, 100183. [Google Scholar] [CrossRef]
- Mirone, G.; Barbagallo, R.; Bua, G. Experimental characterization and plastic modeling of polycarbonate at static and dynamic rates. Int. J. Impact Eng. 2025, 203, 105329. [Google Scholar] [CrossRef]
- Song, P.; Trivedi, A.R.; Siviour, C.R. Mechanical response of four polycarbonates at a wide range of strain rates and temperatures. Polym. Test. 2023, 121, 107986. [Google Scholar] [CrossRef]
- Cao, K.; Wang, Y.; Wang, Y. Effects of strain rate and temperature on the tension behavior of polycarbonate. Mater. Des. 2012, 38, 53–58. [Google Scholar] [CrossRef]
- Cao, K.; Ma, X.; Zhang, B.; Wang, Y.; Wang, Y. Tensile behavior of polycarbonate over a wide range of strain rates. Mater. Sci. Eng. A 2010, 527, 4056–4061. [Google Scholar] [CrossRef]
- Dar, U.A.; Zhang, W.; Xu, Y.; Wang, J. Thermal and strain rate sensitive compressive behavior of polycarbonate polymer—Experimental and constitutive analysis. J. Polym. Res. 2014, 21, 519. [Google Scholar] [CrossRef]
- Safari, K.H.; Zamani, J.; Ferreira, F.J.; Guedes, R.M. Constitutive Modeling of Polycarbonate During High Strain Rate Deformation. Polym. Eng. Sci. 2013, 53, 752–761. [Google Scholar] [CrossRef]
- Goh, G.D.; Yap, Y.L.; Tan, H.K.; Sing, S.L.; Goh, G.L.; Yeong, W.Y. Process–Structure–Properties in Polymer Additive Manufacturing via Material Extrusion: A Review. Crit. Rev. Solid State Mater. Sci. 2020, 45, 113–133. [Google Scholar] [CrossRef]
- Ricci, S.; Zucca, G.; Iannitti, G.; Ruggiero, A.; Sgambetterra, M.; Rizzi, G.; Bonora, N.; Testa, G. Characterization of Asymmetric and Anisotropic Plastic Flow of L-PBF AlSi10Mg. Exp. Mech. 2023, 63, 1409–1425. [Google Scholar] [CrossRef]
- Cognigni, F.; Sgambetterra, M.; Zucca, G.; Gentile, D.; Ricci, S.; Testa, G.; Rizzi, G.; Rossi, M. Multimodal and multiscale investigation for the optimization of AlSi10Mg components made by powder bed fusion-laser beam. Discov. Mater. 2023, 3, 21. [Google Scholar] [CrossRef]
- Wu, Y.; Liaw, P.K.; Li, R.; Zhang, W.; Geng, G.; Yan, X.; Liu, G.; Zhang, Y. Relationship between the unique microstructures and behaviors of high-entropy alloys. Int. J. Miner. Metall. Mater. 2024, 31, 1350–1363. [Google Scholar] [CrossRef]
- Ricci, S.; Iannitti, G. Mechanical Behavior of Additive Manufacturing (AM) and Wrought Ti6Al4V with a Martensitic Microstructure. Metals 2024, 14, 1028. [Google Scholar] [CrossRef]
- Ricci, S.; Iannitti, G.; Testa, G.; Sgambetterra, M.; Zucca, G.; Ruggiero, A.; Gentile, D.; Bonora, N. High-Rate Characterization of L-PBF AlSi10Mg under Impact Conditions. J. Dyn. Behav. Mater. 2025, 11, 106–118. [Google Scholar] [CrossRef]
- Chen, H.; He, Y.; Dash, S.S.; Zou, Y. Additive manufacturing of metals and alloys to achieve heterogeneous microstructures for exceptional mechanical properties. Mater. Res. Lett. 2024, 12, 149–171. [Google Scholar] [CrossRef]
- Ricci, S.; Pagano, A.; Ceccacci, A.; Iannitti, G.; Bonora, N. An Investigation of the Monotonic and Cyclic Behavior of Additively Manufactured TPU. Eng. Proc. 2025, 85, 18. [Google Scholar] [CrossRef]
- Jacob, G.C.; Fellers, J.F.; Simunovic, S.; Starbuck, J.M. Energy Absorption in Polymer Composites for Automotive Crashworthiness. J. Compos. Mater. 2002, 36, 813–850. [Google Scholar] [CrossRef]
- Kim, D.H.; Kang, S.Y.; Kim, H.J.; Kim, H.S. Strain rate dependent mechanical behavior of glass fiber reinforced polypropylene composites and its effect on the performance of automotive bumper beam structure. Compos. Part B Eng. 2019, 166, 483–496. [Google Scholar] [CrossRef]
- Tancogne-Dejean, T.; Li, X.; Diamantopoulou, M.; Roth, C.C.; Mohr, D. High Strain Rate Response of Additively-Manufactured Plate-Lattices: Experiments and Modeling. J. Dyn. Behav. Mater. 2019, 5, 361–375. [Google Scholar] [CrossRef]
- Alkhatib, S.E.; Sercombe, T.B. High strain-rate response of additively manufactured light metal alloys. Mater. Des. 2022, 217, 110664. [Google Scholar] [CrossRef]
- Janbaz, S.; Narooei, K.; Manen, T.V.; Zadpoor, A.A. Strain rate—Dependent mechanical metamaterials. Sci. Adv. 2020, 6, eaba0616. [Google Scholar] [CrossRef]
- MacNider, B.; Dattelbaum, D.M.; Boechler, N.; Cady, C.; Derby, B.K.; Fensin, S.; Lee, K.S.; Kim, J.; Nakarmi, S.; Daphalapurkar, N. Influence of strain-rate on the response of elastomeric architected materials. Extrem. Mech. Lett. 2025, 79, 102389. [Google Scholar] [CrossRef]













Disclaimer/Publisher’s Note: The statements, opinions and data contained in all publications are solely those of the individual author(s) and contributor(s) and not of MDPI and/or the editor(s). MDPI and/or the editor(s) disclaim responsibility for any injury to people or property resulting from any ideas, methods, instructions or products referred to in the content. |
© 2025 by the authors. Licensee MDPI, Basel, Switzerland. This article is an open access article distributed under the terms and conditions of the Creative Commons Attribution (CC BY) license (https://creativecommons.org/licenses/by/4.0/).
Share and Cite
Ricci, S.; Ceccacci, A.; Testa, G.; Ruggiero, A.; Bonora, N.; Iannitti, G. A Novel Electromechanical Apparatus for Intermediate Strain-Rate Testing and Validation on Polycarbonate. Appl. Sci. 2025, 15, 12797. https://doi.org/10.3390/app152312797
Ricci S, Ceccacci A, Testa G, Ruggiero A, Bonora N, Iannitti G. A Novel Electromechanical Apparatus for Intermediate Strain-Rate Testing and Validation on Polycarbonate. Applied Sciences. 2025; 15(23):12797. https://doi.org/10.3390/app152312797
Chicago/Turabian StyleRicci, Sara, Andrea Ceccacci, Gabriel Testa, Andrew Ruggiero, Nicola Bonora, and Gianluca Iannitti. 2025. "A Novel Electromechanical Apparatus for Intermediate Strain-Rate Testing and Validation on Polycarbonate" Applied Sciences 15, no. 23: 12797. https://doi.org/10.3390/app152312797
APA StyleRicci, S., Ceccacci, A., Testa, G., Ruggiero, A., Bonora, N., & Iannitti, G. (2025). A Novel Electromechanical Apparatus for Intermediate Strain-Rate Testing and Validation on Polycarbonate. Applied Sciences, 15(23), 12797. https://doi.org/10.3390/app152312797

