Sign in to use this feature.

Years

Between: -

Subjects

remove_circle_outline
remove_circle_outline
remove_circle_outline
remove_circle_outline
remove_circle_outline
remove_circle_outline
remove_circle_outline
remove_circle_outline
remove_circle_outline

Journals

Article Types

Countries / Regions

Search Results (162)

Search Parameters:
Keywords = residual deflections

Order results
Result details
Results per page
Select all
Export citation of selected articles as:
27 pages, 9492 KB  
Article
Cementitious Composites Reinforced with Magnetically Oriented Steel Microfibers: Mechanical Properties, Deformability and Fracture Propagation
by Maciej Kaźmierowski, Marta Kadela, Michał Kordasz, Filip Chyliński, Roman Jaskulski, Michał Drzazga, Małgorzata Wydra, Kacper Marchwicki and Andrzej Cińcio
Materials 2025, 18(20), 4739; https://doi.org/10.3390/ma18204739 - 16 Oct 2025
Viewed by 275
Abstract
The aim of the manuscript is to analyze the influence of the magnetic orientation of steel microfibers (length 13 mm, diameter 0.2 mm) on the mechanical properties and fracture propagation of cementitious composites. The series varied in terms of the volumetric content of [...] Read more.
The aim of the manuscript is to analyze the influence of the magnetic orientation of steel microfibers (length 13 mm, diameter 0.2 mm) on the mechanical properties and fracture propagation of cementitious composites. The series varied in terms of the volumetric content of the fibers, 0%, 1% and 2% (Vf), and the orientation variant, random (S) or magnetic (S-M, B = 80 mT). Three-point bending tests were performed with force-deflection curve (F-δ) registration. The flexural tensile strength (fct,fl), the flexural elastic modulus (Ef), the work of fracture up to a specified residual load level (Wf) and deflection level (Wf*), as well as the compressive strength (fc) were determined. The improvement of the mechanical properties was noted for magnetically oriented fibers in reference to random arrangement (fct,fl: 90–133%; fc: 12–34%; Wf*: 98–146%). The efficiency factor (ηX) was introduced to determine the change in property per fiber content unit, which enabled comparison regardless of the fiber dosage. As the higher ηX values were determined for 1% content (e.g., fct,fl equal to 133%/p.p for Vf = 1% and 45%/p.p for Vf = 2%), further increase in dosage was expected to cause reduced improvement. Different fracture mechanisms were noted for S and S-M composites by means of the Digital Image Correlation method. Full article
Show Figures

Figure 1

23 pages, 6199 KB  
Article
Climbing Tests and Dynamic Simulation of a Cable-Climbing Mechanism for Stay Cable De-Icing Robot
by Yaoyao Pei, Yayu Li, Zhi Chen, Henglin Xiao, Silu Huang and Changjie Li
Appl. Sci. 2025, 15(19), 10822; https://doi.org/10.3390/app151910822 - 9 Oct 2025
Viewed by 213
Abstract
In winter, stay cable sheaths are prone to icing, which increases cable loads and poses a falling-ice hazard upon thawing. While manual and chemical de-icing are common methods, their safety and cost drawbacks make robotic de-icing a promising alternative. Robotic de-icing offers a [...] Read more.
In winter, stay cable sheaths are prone to icing, which increases cable loads and poses a falling-ice hazard upon thawing. While manual and chemical de-icing are common methods, their safety and cost drawbacks make robotic de-icing a promising alternative. Robotic de-icing offers a promising alternative. However, to protect the sheath from damage, the de-icing blade is designed to minimize contact with its surface. Consequently, a thin layer of residual ice is often left behind, which reduces the surface friction coefficient and complicates the climbing process. This study evaluates the climbing performance of a self-manufactured cable-climbing mechanism through laboratory tests and dynamic simulations (ADAMS). A physical prototype was built, and dynamic simulations of the cable-climbing mechanism were conducted using Automated Dynamic Analysis of Mechanical Systems (ADAMS) software. The preliminary validation results demonstrate that the mechanism is capable of maintaining stable climbing under extreme conditions, including a friction coefficient of 0.12 to reflect thin-ice variability and indicated stable climbing even at μ = 0.12), a vertical inclination of 90°, and a load of 12 kg, confirming the design’s validity. Furthermore, we analyzed key parameters. A lower friction coefficient requires a higher clamping force and adversely affects the climbing speed due to increased slip. Similarly, an increased payload elevates the mechanism’s deflection angle, spring force, and wheel torque, which in turn reduces the climbing speed. Cable inclination has a complex effect: deflection decreases with slope, yet clamping force peaks near 70°, showing a bell-shaped trend. This peak requirement dictated the damping spring selection, which was given a safety margin. This ensures safe operation and acceleration at all other angles. Limitations: The present results constitute a feasibility validation under controlled laboratory conditions and rigid-support simulations. The long-term effects of residual ice and field performance remain to be confirmed in planned field trials. Full article
Show Figures

Figure 1

16 pages, 1356 KB  
Article
Predictive Numerical Modeling of Inelastic Buckling for Process Optimization in Cold Forging of Aluminum, Stainless Steel, and Copper
by Dan Lagat, Huzeifa Munawar, Eliakim Akhusama, Alfayo Alugongo and Hilary Rutto
Processes 2025, 13(10), 3177; https://doi.org/10.3390/pr13103177 - 7 Oct 2025
Viewed by 372
Abstract
The growing demand for precision and consistency in the forging industry has heightened the need for predictive simulation tools. While extensive research has focused on parameters such as flow stress, die wear, billet fracture, and residual stresses, the phenomenon of billet buckling, especially [...] Read more.
The growing demand for precision and consistency in the forging industry has heightened the need for predictive simulation tools. While extensive research has focused on parameters such as flow stress, die wear, billet fracture, and residual stresses, the phenomenon of billet buckling, especially during cold upset forging, remains underexplored. Most existing models address only elastic buckling for slender billets using classical approaches like Euler and Rankine-Gordon formulae, which are not suitable for inelastic deformation in shorter billets. This study presents a numerical model developed to analyze inelastic buckling during cold forging and to determine associated stresses and deflection characteristics. The model was validated through finite element simulations across a range of billet geometries (10–40 mm diameter, 120 mm length), materials (aluminum, stainless steel, and copper), and friction coefficients (µ = 0.12, 0.16, and 0.35). Stress distributions were evaluated against die stroke, with particular emphasis on the influence of strain hardening and geometry. The results showed that billet geometry and strain-hardening exponent significantly affect buckling behavior, whereas friction had a secondary effect, mainly altering overall stress levels. A nonlinear regression approach incorporating material properties, geometric parameters, and friction was used to formulate the numerical model. The developed model effectively estimated buckling stresses across various conditions but could not precisely predict buckling points based on stress differentials. This work contributes a novel framework for integrating material, geometric, and process variables into stress prediction during forging, advancing defect control strategies in industrial metal forming. Full article
Show Figures

Figure 1

18 pages, 9067 KB  
Article
Dynamic Response and Design Optimization of Box Girder Bridge with Corrugated Steel Webs Subjected to Blast Loads
by Changling Xie, Hexin Jin, Yunlong Xu, Xiaopei He and Junlong Zhou
Infrastructures 2025, 10(10), 256; https://doi.org/10.3390/infrastructures10100256 - 24 Sep 2025
Viewed by 344
Abstract
Throughout the service life, bridge structures may face blast hazards from military conflicts, terrorist attacks, and accidental explosions. Dynamic responses and damage modes of box girder bridges with corrugated steel webs under blast loading remain scarce. This study investigates the dynamic response and [...] Read more.
Throughout the service life, bridge structures may face blast hazards from military conflicts, terrorist attacks, and accidental explosions. Dynamic responses and damage modes of box girder bridges with corrugated steel webs under blast loading remain scarce. This study investigates the dynamic response and optimal design of box girder bridges with corrugated steel webs under blast loading. A box girder bridge model with corrugated steel webs is established through the software LS-DYNA, and the dynamic response of the bridge model subjected to blast loads is studied. Parametric studies are conducted to evaluate the effects of key geometric parameters, including the folding angle, height–span ratio, and dip angle of corrugated steel webs, on the blast-resistance performance of the bridge. The results indicate that a folding angle of 55° provides optimal blast resistance by balancing local stiffness and stress concentration. The 3.0 m height of corrugated steel webs maximizes the energy absorption capacity of corrugated steel webs while minimizing mid-span residual deflection. A dip angle of 85° ensures effective deformation constraint and load transfer, reducing damage in both the upper and bottom bridge decks. This study highlights the critical role of corrugated steel web geometry in enhancing blast resistance and provides practical guidelines for optimizing the design of box girder bridges with corrugated steel webs under extreme loading conditions. Full article
Show Figures

Figure 1

26 pages, 6893 KB  
Article
Angle-of-Attack, Induced Attitude Evolution in a Coupled Crater, and Plugging Penetration of Thin Concrete Targets
by Zheng Tao, Wenbin Li, Wei Zhu, Junjie Xu and Jihua Yan
Symmetry 2025, 17(9), 1572; https://doi.org/10.3390/sym17091572 - 19 Sep 2025
Viewed by 260
Abstract
To address the limitations of existing models that typically treat crater formation and shear plugging as independent processes and only consider angle of attack effects during the initial crater phase, this study proposes a dynamic shear _plugging model for projectile penetration into thin [...] Read more.
To address the limitations of existing models that typically treat crater formation and shear plugging as independent processes and only consider angle of attack effects during the initial crater phase, this study proposes a dynamic shear _plugging model for projectile penetration into thin concrete targets. The model is built upon the improved three-stage penetration theory and cavity expansion principles, and introduces a coupled cratering, plugging mechanism that captures the simultaneous interaction between these stages. A differential surface force approach is employed to describe the asymmetric stress distribution on the projectile nose under non-zero angle of attack conditions, while free surface effects are incorporated to refine local stress predictions. A series of validation experiments was performed with 30 mm rigid projectiles penetrating 27 MPa concrete slabs under different impact velocities and initial angles of attack. The results show that the proposed model achieves prediction errors of less than 20% for both residual velocity and exit attitude angle, significantly outperforming classical models such as those of Duan and Liu, which tend to underestimate post-impact deflection by treating cratering and plugging separately. Based on this validated framework, parametric studies were conducted to examine the effects of the initial inclination, impact velocity, and target thickness on the evolution of projectile attitude and angle of attack. The findings demonstrate that the dynamic shear plugging mechanism exerts a critical regulatory influence on projectile deflection during thin target penetration. This work, therefore, not only resolves the directional reversal issue inherent in earlier theories but also provides theoretical support for the engineering design of concrete protective structures subjected to angular impact conditions. Full article
(This article belongs to the Special Issue Symmetry, Asymmetry and Nonlinearity in Geomechanics)
Show Figures

Figure 1

22 pages, 3941 KB  
Article
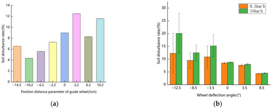
Design and Optimization of a Contour Deep Loosening and Stubble Pressing Mechanism Suitable for Strip Tillage
by Wenjie Yan, Kaichang Liu, Zongxin Li, Zongshuai Wang, Guojian Wei, Jilei Zhou and Song Shi
Appl. Sci. 2025, 15(18), 10062; https://doi.org/10.3390/app151810062 - 15 Sep 2025
Viewed by 371
Abstract
Aiming at the problems of excessive soil disturbance caused by deep plowing and stripped straw backfilling in strip tillage machinery, which are induced by the large amount of residual straw before maize sowing in the Huang-Huai-Hai Region, an integrated tillage machine suitable for [...] Read more.
Aiming at the problems of excessive soil disturbance caused by deep plowing and stripped straw backfilling in strip tillage machinery, which are induced by the large amount of residual straw before maize sowing in the Huang-Huai-Hai Region, an integrated tillage machine suitable for pre-sowing strip tillage of summer maize—integrating subsoiling, stubble-crushing, and soil-guiding functions—was designed. First, the physical properties of straw were analyzed to determine the tooth profile parameters of the stubble-crushing wheel. The unique convex structure of the tooth disc enables it to simultaneously perform depth-limiting and soil-pressing functions. By calculating the flow characteristics of soil during tillage, the angle and distance between the subsoiling shovel and the stubble-crushing wheel were designed. This not only enhances soil crushing and flow but also reduces the occurrence of blockages. A discrete element simulation test with quadratic orthogonal rotation combination was conducted. The machine’s forward speed, wheel position distance, and wheel deflection angle were selected as test factors to analyze their effects on the soil loss rate of the seedbed strip and straw backflow effect under different combinations. The optimal combination of parameters was determined as follows: forward speed of 7.383 km/h, front–rear position distance parameter of −10.131 cm, and deflection angle of 8.608°, with the soil loss rate of the seedling belt reaching 5.486% under this condition. Field experiments were conducted in combination with the strip tiller to verify the simulation-optimized parameters, and comparative experiments at different speeds were also carried out. The field experimental results showed that the deviation of the actual soil disturbance rate caused by the machine from the simulated value was −1.166%, and the soil disturbance rate within the seedling belt was even lower. The results indicated that after the operation of the improved machine, there were no obvious ruts on the soil surface, and the straw was evenly distributed at the edge of the seedling belt, which meets the agronomic requirements for maize planting. Full article
Show Figures

Figure 1

17 pages, 6165 KB  
Article
The Resistance of X-Shaped Re-Entrant Auxetic Sandwich Beams to Localized Impulsive Loading
by Wei Zhang, Tongtong Qi, Huiling Wang, Xiang Chen, Xiang Li and Junhua Shao
Crystals 2025, 15(9), 776; https://doi.org/10.3390/cryst15090776 - 30 Aug 2025
Viewed by 589
Abstract
This study introduces an improved X-shaped re-entrant auxetic structure designed to enhance mechanical performance by incorporating diamond-shaped elements into the re-entrant hexagonal configuration. Using a validated numerical model, the resistance of sandwich beams with the proposed core under localized impulsive loading is explored. [...] Read more.
This study introduces an improved X-shaped re-entrant auxetic structure designed to enhance mechanical performance by incorporating diamond-shaped elements into the re-entrant hexagonal configuration. Using a validated numerical model, the resistance of sandwich beams with the proposed core under localized impulsive loading is explored. The results reveal that local compression and global shear deformation dominate the response. The study further examines the effects of cell arrangement, geometric parameter, inclined gradient distribution, and cell construction on structural behavior. The X-direction arrangement of cells significantly enhances deformation control, improving deflection by dissipating impact energy. Increasing the angle α enhances mechanical properties and reduces residual deflection. Various inclined gradient distribution designs notably affect performance: positive gradients improve energy absorption, while negative gradients alter deformation mode. Under the same conditions, the proposed sandwich beam outperforms the conventional re-entrant hexagonal sandwich beam in terms of impact resistance. This research offers valuable insights for the design of explosion-resistant metamaterial sandwich structures. Full article
(This article belongs to the Special Issue Mechanical Properties and Structure of Metal Materials)
Show Figures

Figure 1

24 pages, 9014 KB  
Article
A Computational Method for the Nonlinear Attainable Moment Set of Tailless UAVs in Flight-Control-Oriented Scenarios
by Linxiao Han, Peng Zhang, Yingyang Wang, Yuan Bian and Jianbo Hu
Drones 2025, 9(8), 585; https://doi.org/10.3390/drones9080585 - 18 Aug 2025
Viewed by 517
Abstract
Tailless unmanned aerial vehicles (UAVs) achieve high-agility maneuvers with flight control systems. The attainable moment set (AMS) provides critical theoretical foundations and constraints for their optimization. A computational method is proposed herein to address controllability limitations caused by nonlinear aerodynamic effectiveness. This method [...] Read more.
Tailless unmanned aerial vehicles (UAVs) achieve high-agility maneuvers with flight control systems. The attainable moment set (AMS) provides critical theoretical foundations and constraints for their optimization. A computational method is proposed herein to address controllability limitations caused by nonlinear aerodynamic effectiveness. This method incorporates dual constraints on control surface angles and angular rates for the nonlinear AMS, aiming to meet the demands of attitude tracking dynamics in flight control systems. First, a quantitative model is established to correlate dual deflection constraints with aerodynamic moment amplitude and bandwidth limitations. Next, we construct a computational framework for the incremental attainable moment set (IAMS) based on differential inclusion theory. For monotonic nonlinear aerodynamic effectiveness, the vertices of the IAMS are updated using local interpolation, yielding the incremental nonlinear attainable moment set (INAMS). When non-monotonic nonlinearity occurs, stationary points are calculated to adjust the control effectiveness matrix and admissible control set, thereby reducing computational errors induced by non-monotonic characteristics. Furthermore, the effective actions set, derived from a time-varying incremental nonlinear attainable moment set, quantifies the residual moment envelope of tailless UAVs during maneuvers. Comparative simulations indicate that the proposed method achieves correct computation under nonlinear aerodynamic conditions while reliably determining safe flight boundaries during control failure. Full article
Show Figures

Figure 1

27 pages, 11253 KB  
Article
Failure Mechanism of Progressive Collapse Induced by Hanger Fracture in Through Tied-Arch Bridge: A Comparative Analysis
by Bing-Hui Fan, Qi Sun, Qiang Chen, Bin-Bin Zhou, Zhi-Jiang Wu and Jin-Qi Zou
Buildings 2025, 15(16), 2810; https://doi.org/10.3390/buildings15162810 - 8 Aug 2025
Viewed by 841
Abstract
Although through tied-arch bridges exhibit strong structural robustness, collapse incidents triggered by the progressive failure of hangers still occasionally occur. Given that such bridges are unlikely to collapse due to the damage of a single or multiple hangers under the serviceability limit state, [...] Read more.
Although through tied-arch bridges exhibit strong structural robustness, collapse incidents triggered by the progressive failure of hangers still occasionally occur. Given that such bridges are unlikely to collapse due to the damage of a single or multiple hangers under the serviceability limit state, this study focuses on the failure safety limit state. Using the Nanfang’ao Bridge with inclined hangers and the Liujiang Bridge with vertical hangers as case studies, this paper investigates the dynamic response and failure modes of the residual structures when single or multiple hangers fail and initiate progressive collapse of all hangers. The results demonstrate that the configuration of hangers significantly influences the distribution of structural importance coefficients and the load transmission paths. Under identical failure scenarios, the Nanfang’ao Bridge with inclined hangers remains stable after the failure of four hangers without experiencing progressive collapse, whereas the Liujiang Bridge with vertical hangers undergoes progressive failure following the loss of only three hangers, which indicates that inclined hanger configurations offer superior resistance to progressive collapse. Based on the aforementioned analysis, the LS-DYNA Simple–Johnson–Cook damage model was employed to simulate the collapse process. The extent of damage and ultimate failure modes of the two bridges differ significantly. In the case of the Nanfang’ao Bridge, following the progressive failure of the hangers, the bridge deck system lost lateral support, leading to excessive downward deflection. The deck subsequently fractured at the mid-span (1/2 position) and collapsed in an inverted “V” shape. This failure then propagated to the tie bar, inducing outward compression at the arch feet and tensile stress in the arch ribs. Stress concentration at the connection between the arch columns and arch rings ultimately triggered global collapse. For the Liujiang Bridge, failure initiated with localized concrete cracking, which propagated to reinforcing bar yielding, resulting in localized damage within the bridge deck system. These observations indicate that progressive stay cable failure serves as the common initial triggering mechanism for both bridges. However, differences in the structural configuration of the bridge deck systems, the geometry of the arch ribs, and the constraint effects of the tie bar result in distinct failure progression patterns and ultimate collapse behaviors between the two structures. Thereby, design recommendations are proposed for through tied-arch bridges, from the aspects of the hanger, arch rib, bridge deck system, and tie bar, to enhance the resistance to progressive collapse. Full article
Show Figures

Figure 1

26 pages, 13210 KB  
Article
Flexural Behavior of Lap Splice Connection Between Steel-Plate Composite Wall and Reinforced Concrete Foundation Subjected to Impact Loading
by Wenjie Deng, Jianmin Hua, Neng Wang, Shuai Li, Yuruo Chang, Fei Wang and Xuanyi Xue
Buildings 2025, 15(15), 2707; https://doi.org/10.3390/buildings15152707 - 31 Jul 2025
Viewed by 398
Abstract
The superb dynamic performance of steel-plate composite (SC) structures under unexpected impact loading depends on the good design of the connection between the SC wall and foundation. This study investigated the flexural behavior and dynamic responses of SC wall-to-foundation connections subjected to low-velocity [...] Read more.
The superb dynamic performance of steel-plate composite (SC) structures under unexpected impact loading depends on the good design of the connection between the SC wall and foundation. This study investigated the flexural behavior and dynamic responses of SC wall-to-foundation connections subjected to low-velocity impact. Impact tests were performed on three SC connection specimens to evaluate failure mode, impact force, deflection, and strain responses. The effects of concrete strength grade and impact energy were analyzed in detail. All specimens exhibited flexural failure, with three distinct stages observed during impact. The experimental results demonstrated that compared to the specimen with C30 concrete, the specimen with C50 concrete significantly reduced wall damage, decreased deflections, and enhanced deflection recovery ability. It can be concluded that increasing the concrete strength grade effectively improves the impact resistance of SC wall-to-foundation connections. In addition, peak impact force, global deflection response, residual strains, and interface crack length were highly sensitive to changes in impact energy, whereas deflection recovery exhibited lower sensitivity. Furthermore, a finite element model was developed and validated against experimental results. Parametric studies explored the influence of key parameters with expanded ranges on the impact responses of SC wall-to-foundation connections. Full article
(This article belongs to the Section Building Structures)
Show Figures

Figure 1

14 pages, 4080 KB  
Article
High-Compressive-Strength Silicon Carbide Ceramics with Enhanced Mechanical Performance
by Zijun Qian, Kang Li, Yabin Zhou, Hao Xu, Haiyan Qian and Yihua Huang
Materials 2025, 18(15), 3598; https://doi.org/10.3390/ma18153598 - 31 Jul 2025
Viewed by 595
Abstract
This study demonstrates the successful fabrication of high-performance reaction-bonded silicon carbide (RBSC) ceramics through an optimized liquid silicon infiltration (LSI) process employing multi-modal SiC particle gradation and nano-carbon black (0.6 µm) additives. By engineering porous preforms with hierarchical SiC distributions and tailored carbon [...] Read more.
This study demonstrates the successful fabrication of high-performance reaction-bonded silicon carbide (RBSC) ceramics through an optimized liquid silicon infiltration (LSI) process employing multi-modal SiC particle gradation and nano-carbon black (0.6 µm) additives. By engineering porous preforms with hierarchical SiC distributions and tailored carbon sources, the resulting ceramics achieved a compressive strength of 2393 MPa and a flexural strength of 380 MPa, surpassing conventional RBSC systems. Microstructural analyses revealed homogeneous β-SiC formation and crack deflection mechanisms as key contributors to mechanical enhancement. Ultrafine SiC particles (0.5–2 µm) refined pore architectures and mediated capillary dynamics during infiltration, enabling nanoscale dispersion of residual silicon phases and minimizing interfacial defects. Compared to coarse-grained counterparts, the ultrafine SiC system exhibited a 23% increase in compressive strength, attributed to reduced sintering defects and enhanced load transfer efficiency. This work establishes a scalable strategy for designing RBSC ceramics for extreme mechanical environments, bridging material innovation with applications in high-stress structural components. Full article
(This article belongs to the Section Advanced and Functional Ceramics and Glasses)
Show Figures

Figure 1

15 pages, 3232 KB  
Article
Residual Flexural Behavior of Hybrid Fiber-Reinforced Geopolymer After High Temperature Exposure
by Yiyang Xiong, Ruiwen Jiang, Yi Li and Peipeng Li
Materials 2025, 18(15), 3572; https://doi.org/10.3390/ma18153572 - 30 Jul 2025
Viewed by 522
Abstract
Cement-based building materials usually exhibit weak flexural behavior under high temperature or fire conditions. This paper develops a novel geopolymer with enhanced residual flexural strength, incorporating fly ash/metakaolin precursors and corundum aggregates based on our previous study, and further improves flexural performance using [...] Read more.
Cement-based building materials usually exhibit weak flexural behavior under high temperature or fire conditions. This paper develops a novel geopolymer with enhanced residual flexural strength, incorporating fly ash/metakaolin precursors and corundum aggregates based on our previous study, and further improves flexural performance using hybrid fibers. The flexural load–deflection response, strength, deformation capacity, toughness and microstructure are investigated by a thermal exposure test, bending test and microstructure observation. The results indicate that the plain geopolymer exhibits a continuously increasing flexural strength from 10 MPa at 20 °C to 25.9 MPa after 1000 °C exposure, attributed to thermally induced further geopolymerization and ceramic-like crystalline phase formation. Incorporating 5% wollastonite fibers results in slightly increased initial and residual flexural strength but comparable peak deflection, toughness and brittle failure. The binary 5% wollastonite and 1% basalt fibers in geopolymer obviously improve residual flexural strength exposed to 400–800 °C. The steel fibers show remarkable reinforcement on flexural behavior at 20–800 °C exposure; however, excessive steel fiber content such as 2% weakens flexural properties after 1000 °C exposure due to severe oxidation deterioration and thermal incompatibility. The wollastonite/basalt/steel fibers exhibit a positive synergistic effect on flexural strength and toughness of geopolymers at 20–600 °C. Full article
(This article belongs to the Section Construction and Building Materials)
Show Figures

Graphical abstract

11 pages, 2733 KB  
Article
Laser Texturing of Tungsten Carbide (WC-Co): Effects on Adhesion and Stress Relief in CVD Diamond Films
by Argemiro Pentian Junior, José Vieira da Silva Neto, Javier Sierra Gómez, Evaldo José Corat and Vladimir Jesus Trava-Airoldi
Surfaces 2025, 8(3), 54; https://doi.org/10.3390/surfaces8030054 - 30 Jul 2025
Viewed by 754
Abstract
This study proposes a laser texturing method to optimize adhesion and minimize residual stresses in CVD diamond films deposited on tungsten carbide (WC-Co). WC-5.8 wt% Co substrates were textured with quadrangular pyramidal patterns (35 µm) using a 1064 nm nanosecond-pulsed laser, followed by [...] Read more.
This study proposes a laser texturing method to optimize adhesion and minimize residual stresses in CVD diamond films deposited on tungsten carbide (WC-Co). WC-5.8 wt% Co substrates were textured with quadrangular pyramidal patterns (35 µm) using a 1064 nm nanosecond-pulsed laser, followed by chemical treatment (Murakami’s solution + aqua regia) to remove surface cobalt. Diamond films were grown via HFCVD and characterized by Raman spectroscopy, EDS, and Rockwell indentation. The results demonstrate that pyramidal texturing increased the surface area by a factor of 58, promoting effective mechanical interlocking and reducing compressive stresses to −1.4 GPa. Indentation tests revealed suppression of interfacial cracks, with propagation paths deflected toward textured regions. The pyramidal geometry exhibited superior cutting post-deposition cooling time for stress relief from 3 to 1 h. These findings highlight the potential of laser texturing for high-performance machining tool applications. Full article
Show Figures

Figure 1

18 pages, 4910 KB  
Article
Experiment and Numerical Study on the Flexural Behavior of a 30 m Pre-Tensioned Concrete T-Beam with Polygonal Tendons
by Bo Yang, Chunlei Zhang, Hai Yan, Ding-Hao Yu, Yaohui Xue, Gang Li, Mingguang Wei, Jinglin Tao and Huiteng Pei
Buildings 2025, 15(15), 2595; https://doi.org/10.3390/buildings15152595 - 22 Jul 2025
Viewed by 644
Abstract
As a novel prefabricated structural element, the pre-tensioned, prestressed concrete T-beam with polygonal tendons layout demonstrates advantages including reduced prestress loss, streamlined construction procedures, and stable manufacturing quality, showing promising applications in medium-span bridge engineering. This paper conducted a full-scale experiment and numerical [...] Read more.
As a novel prefabricated structural element, the pre-tensioned, prestressed concrete T-beam with polygonal tendons layout demonstrates advantages including reduced prestress loss, streamlined construction procedures, and stable manufacturing quality, showing promising applications in medium-span bridge engineering. This paper conducted a full-scale experiment and numerical simulation research on a 30 m pre-tensioned, prestressed concrete T-beam with polygonal tendons practically used in engineering. The full-scale experiment applied symmetrical four-point bending to create a pure bending region and used embedded strain gauges, surface sensors, and optical 3D motion capture systems to monitor the beam’s internal strain, surface strain distribution, and three-dimensional displacement patterns during loading. The experiment observed that the test beam underwent elastic, crack development, and failure phases. The design’s service-load bending moment induced a deflection of 18.67 mm (below the 47.13 mm limit). Visible cracking initiated under a bending moment of 7916.85 kN·m, which exceeded the theoretical cracking moment of 5928.81 kN·m calculated from the design parameters. Upon yielding of the bottom steel reinforcement, the maximum of the crack width reached 1.00 mm, the deflection in mid-span measured 148.61 mm, and the residual deflection after unloading was 10.68 mm. These results confirmed that the beam satisfied design code requirements for serviceability stiffness and crack control, exhibiting favorable elastic recovery characteristics. Numerical simulations using ABAQUS further verified the structural performance of the T-beam. The finite element model accurately captured the beam’s mechanical response and verified its satisfactory ductility, highlighting the applicability of this beam type in bridge engineering. Full article
(This article belongs to the Special Issue Structural Vibration Analysis and Control in Civil Engineering)
Show Figures

Figure 1

29 pages, 2673 KB  
Article
Process Parameters Optimization and Mechanical Properties of Additively Manufactured Ankle–Foot Orthoses Based on Polypropylene
by Sahar Swesi, Mohamed Yousfi, Nicolas Tardif and Abder Banoune
Polymers 2025, 17(14), 1921; https://doi.org/10.3390/polym17141921 - 11 Jul 2025
Viewed by 810
Abstract
Nowadays, Fused Filament Fabrication (FFF) 3D printing offers promising opportunities for the customized manufacturing of ankle–foot orthoses (AFOs) targeted towards rehabilitation purposes. Polypropylene (PP) represents an ideal candidate in orthotic applications due to its light weight and superior mechanical properties, offering an excellent [...] Read more.
Nowadays, Fused Filament Fabrication (FFF) 3D printing offers promising opportunities for the customized manufacturing of ankle–foot orthoses (AFOs) targeted towards rehabilitation purposes. Polypropylene (PP) represents an ideal candidate in orthotic applications due to its light weight and superior mechanical properties, offering an excellent balance between flexibility, chemical resistance, biocompatibility, and long-term durability. However, Additive Manufacturing (AM) of AFOs based on PP remains a major challenge due to its limited bed adhesion and high shrinkage, especially for making large parts such as AFOs. The primary innovation of the present study lies in the optimization of FFF 3D printing parameters for the fabrication of functional, patient-specific orthoses using PP, a material still underutilized in the AM of medical devices. Firstly, a thorough thermomechanical characterization was conducted, allowing the implementation of a (thermo-)elastic material model for the used PP filament. Thereafter, a Taguchi design of experiments (DOE) was established to study the influence of several printing parameters (extrusion temperature, printing speed, layer thickness, infill density, infill pattern, and part orientation) on the mechanical properties of 3D-printed specimens. Three-point bending tests were conducted to evaluate the strength and stiffness of the samples, while additional tensile tests were performed on the 3D-printed orthoses using a home-made innovative device to validate the optimal configurations. The results showed that the maximum flexural modulus of 3D-printed specimens was achieved when the printing speed was around 50 mm/s. The most significant parameter for mechanical performance and reduction in printing time was shown to be infill density, contributing 73.2% to maximum stress and 75.2% to Interlaminar Shear Strength (ILSS). Finally, the applicability of the finite element method (FEM) to simulate the FFF process-induced deflections, part distortion (warpage), and residual stresses in 3D-printed orthoses was investigated using a numerical simulation tool (Digimat-AM®). The combination of Taguchi DOE with Digimat-AM for polypropylene AFOs highlighted that the 90° orientation appeared to be the most suitable configuration, as it minimizes deformation and von Mises stress, ensuring improved quality and robustness of the printed orthoses. The findings from this study contribute by providing a reliable method for printing PP parts with improved mechanical performance, thereby opening new opportunities for its use in medical-grade additive manufacturing. Full article
(This article belongs to the Special Issue Latest Progress in the Additive Manufacturing of Polymeric Materials)
Show Figures

Figure 1

Back to TopTop