Sign in to use this feature.

Years

Between: -

Subjects

remove_circle_outline
remove_circle_outline
remove_circle_outline
remove_circle_outline
remove_circle_outline
remove_circle_outline
remove_circle_outline
remove_circle_outline
remove_circle_outline

Journals

remove_circle_outline
remove_circle_outline
remove_circle_outline
remove_circle_outline
remove_circle_outline
remove_circle_outline
remove_circle_outline
remove_circle_outline
remove_circle_outline
remove_circle_outline
remove_circle_outline
remove_circle_outline
remove_circle_outline
remove_circle_outline

Article Types

Countries / Regions

remove_circle_outline
remove_circle_outline
remove_circle_outline
remove_circle_outline

Search Results (507)

Search Parameters:
Keywords = relational humor

Order results
Result details
Results per page
Select all
Export citation of selected articles as:
24 pages, 3217 KB  
Article
Immunomodulatory Effect of Artemisia annua L. Water Extract on Meat-Type Sheep via Activating TLR4/NF-κB Signaling Pathways
by Gen Gang, Ruiheng Gao, Shiwei Guo, Yu Xin, Xiao Jin, Yuanyuan Xing, Sumei Yan, Yuanqing Xu and Binlin Shi
Animals 2026, 16(1), 59; https://doi.org/10.3390/ani16010059 - 24 Dec 2025
Abstract
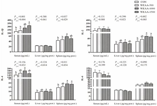
This experiment was designed to systematically evaluate the immunomodulatory effect of water extract of Artemisia annua L. (WEAA) on sheep, both in vivo and in vitro, and to determine the involvement of the TLR4/NF-κB signaling pathway in mediating these effects. In experiment 1, [...] Read more.
This experiment was designed to systematically evaluate the immunomodulatory effect of water extract of Artemisia annua L. (WEAA) on sheep, both in vivo and in vitro, and to determine the involvement of the TLR4/NF-κB signaling pathway in mediating these effects. In experiment 1, 32 female sheep (Dorper × Han, 3 months old, 24 ± 0.09 kg each) were designated to 4 groups, with each group receiving a basal diet supplemented with, respectively, 0 (control group), 500, 1000, and 1500 mg/kg WEAA. The serum, liver, and spleen immune indicators and related gene expressions were measured. In experiment 2, the peripheral blood lymphocytes (PBLs) were processed with WEAA (0, 25, 50, 100, 200, and 400 μg/mL), with six replicates assigned to each concentration group, then the cell viability, immune function, and related gene expressions were measured, and the optimal concentration of WEAA was determined. In experiment 3, the experimental groups consisted of PBLs subjected to treatments with or without PDTC (NF-κB inhibitor) and with or without WEAA, forming four distinct treatment groups (six replicates/group): PDTC(−)/WEAA(−) group, PDTC(−)/WEAA(+) group, PDTC(+)/WEAA(−) group and PDTC(+)/WEAA(+) group. The immune indexes and TLR4/NFκB pathway related indexes were determined. The results were as follows: WEAA dose-dependently enhanced the content of immunoglobulins (IgA, IgG, IgM) and cytokines (IL-1β, IL-2, IL-4) in the serum, liver, and spleen tissues, among which IgA, IgG, and IL-4 were the most significantly affected core indicators (p < 0.05). Meanwhile, WEAA dose-dependently upregulated the expression of TLR4/NF-κB pathway-related genes (TLR4, IKKβ, IκBα, NF-κBp65) and their downstream cytokine-related genes (IL-1β, IL-4) in liver and spleen tissues (p < 0.05). Of these genes, liver IL-4, IκBα, and spleen IL-4 were the most prominently regulated core genes (p < 0.05), The optimal supplementary dose of WEAA was determined to be 1000 mg/kg. In addition, adding 100 μg/mL WEAA to the culture medium of PBLs significantly enhanced immune function and cell viability. The underlying mechanism involved the TLR4/NF-κB pathway; that is to say, WEAA enhanced sheep’s immune indicators by upregulating TLR4/NF-κB pathway genes, thereby coordinately regulating humoral and innate immunity, thereby improving the immune indices of sheep. This study provided compelling experimental support for the prospective utilization of WEAA as a functional feed supplement in intensive meat-type sheep production systems. Full article
(This article belongs to the Section Small Ruminants)
Show Figures

Graphical abstract

15 pages, 2575 KB  
Article
The Therapeutic Effect of a Biodegradable Long-Acting Intravitreal Implant Containing CGK012 on Neovascular Age-Related Macular Degeneration by Promoting β-Catenin Degradation
by Seoyoung Park, Jihyun Won, Jong Beom Heo, Juhyung Kang, Ye Woon Oh, Geunji Park, Giseong Lee, Jee-Hyun Lee, Gyu-Yong Song, Wonku Kang and Sangtaek Oh
Pharmaceuticals 2025, 18(12), 1884; https://doi.org/10.3390/ph18121884 - 12 Dec 2025
Viewed by 247
Abstract
Background/Objectives: Neovascular age-related macular degeneration (nAMD) poses a serious threat to the eyesight of older adults, representing a leading cause of irreversible vision loss. Anti-vascular endothelial growth factor (anti-VEGF) treatments are effective but require repeated intraocular injections and show poor responses in some [...] Read more.
Background/Objectives: Neovascular age-related macular degeneration (nAMD) poses a serious threat to the eyesight of older adults, representing a leading cause of irreversible vision loss. Anti-vascular endothelial growth factor (anti-VEGF) treatments are effective but require repeated intraocular injections and show poor responses in some patients. CGK012 is a novel derivative of decursin that inhibits the Wnt/β-catenin pathway. This study aimed to elucidate the mode of action of CGK012 and examine its therapeutic effects. Methods: We performed in vitro cellular studies in a retinal pigment epithelial (RPE) cell line (ARPE-19) and human umbilical vein endothelial cells (HUVECs). We examined the in vivo efficacy of CGK012-loaded implants in laser-induced choroidal neovascularization (CNV) rabbit models. We also determined the implants’ in vitro dissolution, intraocular release, and disposition characteristics. Results: CGK012 decreased angiogenic/proinflammatory factor expression and suppressed the epithelial–mesenchymal transition (EMT) in RPE cells by promoting intracellular β-catenin degradation. Additionally, it repressed the expression of cyclin D1 and c-myc, downstream target genes of β-catenin, and inhibited HUVEC capillary tube formation. CGK012-loaded poly (lactic-co-glycolic acid) (PLGA) intravitreal implants significantly reduced vascular leakage in a laser-induced CNV rabbit model. Notably, CGK012 released from the implant was highly permeable to retina/choroid tissue and downregulated β-catenin, angiogenic/inflammatory factors, and vimentin in the rabbit model. The CGK012 concentration reached a plateau at 28–42 days in the vitreous humor and decayed with a half-life of 14 days without systemic exposure. Conclusions: Our findings demonstrate that CGK012 implants prevent choroidal neovascularization through the Wnt/β-catenin pathway suppression and produce high concentrations of CGK012 in the posterior eye segment with prolonged release. Thus, these implants provide more therapeutic choices for nAMD treatment. Full article
(This article belongs to the Section Medicinal Chemistry)
Show Figures

Graphical abstract

14 pages, 3911 KB  
Article
Characterization and Vaccine Development of Vibrio anguillarumAeromonas salmonicida salmonicida and Aeromonas salmonicida masoucida Isolated from Salmonids in Republic of Korea
by Youngjun Park, Sungjae Ko, Hyun-Ja Han, Myoung Sug Kim, Soo Ji Woo and Suhee Hong
Vaccines 2025, 13(12), 1238; https://doi.org/10.3390/vaccines13121238 - 12 Dec 2025
Viewed by 380
Abstract
Background/Objectives: This study aimed to characterize Vibrio anguillarum strain 23FBVib0271 (VA) isolated from rainbow trout and Aeromonas salmonicida salmonicida strain 17FBASa0016 (ASS) and A. salmonicida masoucida strain 23FBAer0174 (ASM) isolated from Atlantic salmon in the Republic of Korea. Their physiological traits, pathogenicity, [...] Read more.
Background/Objectives: This study aimed to characterize Vibrio anguillarum strain 23FBVib0271 (VA) isolated from rainbow trout and Aeromonas salmonicida salmonicida strain 17FBASa0016 (ASS) and A. salmonicida masoucida strain 23FBAer0174 (ASM) isolated from Atlantic salmon in the Republic of Korea. Their physiological traits, pathogenicity, and antigenicity were examined, and formalin-inactivated vaccines were developed to evaluate safety and immunogenicity in Atlantic salmon (Salmo salar). Methods: Formalin-inactivated VA, ASS and ASM were administered intraperitoneally, and protective efficacy was determined after six weeks. Serum biochemical parameters (AST, ALT, ALP, glucose) and histopathology were analyzed for safety. ELISA and real-time PCR targeting IL-1β, BCL6, membrane-bound IgM, and secretory IgM were performed to assess immune responses. Results: Vaccination provided relative percent survivals of 100%, 75%, and 95% for VA, ASS and ASM, respectively, without adverse physiological or histological effects. Immunological analyses revealed strong antibody production and upregulation of immune-related genes. Conclusions: Formalin-inactivated vaccines from VA, ASS and ASM are safe and effectively induce protective humoral immunity in Atlantic salmon by promoting antigen-specific antibody responses and immune gene activation. Full article
(This article belongs to the Section Vaccine Advancement, Efficacy and Safety)
Show Figures

Figure 1

11 pages, 315 KB  
Article
A Fatal Case Involving Chronic Intravenous Use of Homemade Methcathinone Derived from Pseudoephedrine Tablets: Post-Mortem Concentrations, Health Risk, and Medicolegal Aspect
by Karolina Nowak, Paweł Szpot and Marcin Zawadzki
Int. J. Mol. Sci. 2025, 26(24), 11974; https://doi.org/10.3390/ijms262411974 - 12 Dec 2025
Viewed by 272
Abstract
Intravenous use of methcathinone synthesized at home from over-the-counter medications containing pseudoephedrine or ephedrine poses significant health risks, including neurotoxicity, severe infections, and, in some cases, fatal outcomes. This study explores the public health implications of this hazardous practice. Post-mortem femoral blood and [...] Read more.
Intravenous use of methcathinone synthesized at home from over-the-counter medications containing pseudoephedrine or ephedrine poses significant health risks, including neurotoxicity, severe infections, and, in some cases, fatal outcomes. This study explores the public health implications of this hazardous practice. Post-mortem femoral blood and vitreous humor samples were analyzed using UHPLC-QqQ-MS/MS. The method enabled differentiation of ephedrine (a metabolite of methcathinone in this context) from pseudoephedrine (a precursor), along with the identification of relevant metabolites. A literature review was also conducted to contextualize associated health risks. The validated method accurately quantified methcathinone, pseudoephedrine, ephedrine, and identified their metabolites. The simultaneous detection of the final product and unreacted precursor supported the hypothesis of chronic intravenous use of homemade methcathinone. Literature data emphasized the risks of manganese-induced encephalopathy, injection-related infections, and the harmful effects of intravenously administered tablet excipients. These issues disproportionately affect marginalized and high-risk populations. This case highlights the diagnostic value of the method and its importance for monitoring the health impacts of illicit stimulant use. Effective responses should include public education, harm reduction strategies, surveillance of emerging drug trends, and, above all, the application of advanced analytical methods capable of comprehensive evaluation in such cases. Full article
(This article belongs to the Special Issue Advances in Post-Mortem Toxicology)
Show Figures

Figure 1

20 pages, 2189 KB  
Review
Gravity in the Eye: How ‘Gravitational Ischemia’ in the Retina May Be Released and Resolved Through Rapid Eye Movement (REM), a Component of Gravity Opposition Physiology
by J. Howard Jaster, Joshua Ong and Giulia Ottaviani
Physiologia 2025, 5(4), 55; https://doi.org/10.3390/physiologia5040055 - 12 Dec 2025
Viewed by 196
Abstract
This narrative review of rapid eye movement (REM) focuses on its primary etiology and how it fits into the larger framework of neurophysiology and general physiology. Arterial blood flow in the retina may be sensitive to the full overlying ‘weight’ of its adjacent [...] Read more.
This narrative review of rapid eye movement (REM) focuses on its primary etiology and how it fits into the larger framework of neurophysiology and general physiology. Arterial blood flow in the retina may be sensitive to the full overlying ‘weight’ of its adjacent and contiguous vitreous humor caused by the humoral mass effect in the Earth’s gravitational field. During waking hours of the day, this ‘weight’ is continuously shifted in position due to changing head position and eye movements associated with ordinary environmental observations. This reduces its impact on any one point on the retinal field. However, during sleep, the head may maintain a relatively constant position (often supine), and observational eye movements are minimal, leaving essentially one retinal area exposed at the ‘bottom’ of each eye, relative to gravity. During sleep, REM may provide a mechanism for frequently repositioning the retina with respect to the weight it incurs from its adjacent (overlying) vitreous humor. Our findings were consistent with the intermittent terrestrial nocturnal development of ‘gravitational ischemia’ in the retina, wherein the decreased blood flow is accompanied metabolically by decreased oxygen tension, a critically important metric, with a detrimental influence on nerve-related tissue generally. However, the natural mechanisms for releasing and resolving gravitational ischemia, which likely involve glymphatics and cerebrospinal fluid shifts, as well as REM, may gradually fail in old age. Concurrently associated with old age in some individuals is the deposition of alpha-synuclein and/or tau in the retina, together with similar deposition in the brain, and it is also associated with the development of Parkinson’s disease and/or Alzheimer’s disease, possibly as a maladaptive attempt to release and resolve gravitational ischemia. This suggests that a key metabolic parameter of Parkinson’s disease and Alzheimer’s disease may be a lack of oxygen in some neural tissues. There is some evidence that oxygen therapy (hyperbaric oxygen) may be an effective supplemental treatment. Many of the cardinal features of spaceflight-associated neuro-ocular syndrome (SANS) may potentially be explained as features of gravity opposition physiology, which becomes unopposed by gravity during spaceflight. Gravity opposition physiology may, in fact, create significant challenges for humans involved in long-duration space travel (long-term microgravity). Possible solutions may include the use of artificial gravitational fields in space, such as centrifuges. Full article
Show Figures

Figure 1

12 pages, 795 KB  
Article
Intraocular Cytokine Level Prediction from Fundus Images and Optical Coherence Tomography
by Hidenori Takahashi, Taiki Tsuge, Yusuke Kondo, Yasuo Yanagi, Satoru Inoda, Shohei Morikawa, Yuki Senoo, Toshikatsu Kaburaki, Tetsuro Oshika and Toshihiko Yamasaki
Sensors 2025, 25(23), 7382; https://doi.org/10.3390/s25237382 - 4 Dec 2025
Viewed by 318
Abstract
The relationship between retinal images and intraocular cytokine profiles remains largely unexplored, and no prior work has systematically compared fundus- and OCT-based deep learning models for cytokine prediction. We aimed to predict intraocular cytokine concentrations using color fundus photographs (CFP) and retinal optical [...] Read more.
The relationship between retinal images and intraocular cytokine profiles remains largely unexplored, and no prior work has systematically compared fundus- and OCT-based deep learning models for cytokine prediction. We aimed to predict intraocular cytokine concentrations using color fundus photographs (CFP) and retinal optical coherence tomography (OCT) with deep learning. Our pipeline consisted of image preprocessing, convolutional neural network–based feature extraction, and regression modeling for each cytokine. Deep learning was implemented using AutoGluon, which automatically explored multiple architectures and converged on ResNet18, reflecting the small dataset size. Four approaches were tested: (1) CFP alone, (2) CFP plus demographic/clinical features, (3) OCT alone, and (4) OCT plus these features. Prediction performance was defined as the mean coefficient of determination (R2) across 34 cytokines, and differences were evaluated using paired two-tailed t-tests. We used data from 139 patients (152 eyes) and 176 aqueous humor samples. The cohort consisted of 85 males (61%) with a mean age of 73 (SD 9.8). Diseases included 64 exudative age-related macular degeneration, 29 brolucizumab-associated endophthalmitis, 19 cataract surgeries, 15 retinal vein occlusion, and 8 diabetic macular edema. Prediction performance was generally poor, with mean R2 values below zero across all approaches. The CFP-only model (–0.19) outperformed CFP plus demographics (–24.1; p = 0.0373), and the OCT-only model (–0.18) outperformed OCT plus demographics (–14.7; p = 0.0080). No significant difference was observed between CFP and OCT (p = 0.9281). Notably, VEGF showed low predictability (31st with CFP, 12th with OCT). Full article
(This article belongs to the Section Optical Sensors)
Show Figures

Figure 1

20 pages, 6565 KB  
Article
Comparative Proteomic Analysis of Aqueous Humor, Anterior Lens Capsules, and Crystalline Lenses in Different Human Cataract Subtypes Versus Healthy Controls
by Christina Karakosta, Martina Samiotaki, Anastasios Bisoukis, Konstantinos I. Bougioukas, George Panayotou, Nantieznta Kyriakidou, Konstantinos Moschou and Marilita M. Moschos
Proteomes 2025, 13(4), 62; https://doi.org/10.3390/proteomes13040062 - 21 Nov 2025
Viewed by 539
Abstract
Background: The aim of this study is to investigate the pathophysiology of cataract by analyzing signaling pathways in three sample types obtained from four different lens groups: age-related (ARC), diabetic (DC), post-vitrectomy cataract (PVC) and clear control lenses. Methods: Three sample types—the aqueous [...] Read more.
Background: The aim of this study is to investigate the pathophysiology of cataract by analyzing signaling pathways in three sample types obtained from four different lens groups: age-related (ARC), diabetic (DC), post-vitrectomy cataract (PVC) and clear control lenses. Methods: Three sample types—the aqueous humor, the anterior capsule and the phaco cassette content—were collected during cataract surgery from 39 participants (ARC = 12, DC = 11, PVC = 7 and control = 9). The samples were prepared based on Sp3 protocol. The recognition and quantification of proteins were performed with liquid chromatography online with tandem mass spectrometry using the DIA-NN software. Perseus software (v1.6.15.0) was used for statistical analysis. Data are available via ProteomeXchange with identifiers PXD045547, PXD045554, PXD045557, and PXD069667. Results: In total, 1986 proteins were identified in the aqueous humor, 2804 in the anterior capsule, and 3337 in the phaco cassette samples. Proteins involved in actin and microtubule cytoskeleton organization, including ACTN4, were downregulated in all three cataract groups compared to controls. Proteins involved in glycolipid metabolic process, including GAL3ST1, GAL3ST4, and GLA, were upregulated in ARC compared to controls. Proteins involved in the non-canonical Wnt receptor signaling pathway, including FRZB, SFRP1, SFRP2, SFRP5, WNT5A, and WNT7A, were upregulated in ARC compared to DC, PVC, and controls. Conclusions: Comprehensive proteomic profiles were generated using DIA proteomics by comparing ARC, DC, and PVC versus controls. This is the first study to use phaco cassette contents to investigate cataract formation in comparison to controls. Our findings significantly enhance the current understanding of human cataract pathophysiology and provide novel insights into the mechanisms underlying cataract formation. Full article
(This article belongs to the Special Issue Proteomics in Chronic Diseases: Issues and Challenges)
Show Figures

Figure 1

12 pages, 254 KB  
Article
Laughing over a Drink: Exploring the Relationship Between Humor Styles and Drinking Behavior
by Giulia Baldacci, Angelo Marino, Lia Cirillo, Lucia Guidi, Alessandra Musio and Alberto Dionigi
Behav. Sci. 2025, 15(11), 1580; https://doi.org/10.3390/bs15111580 - 18 Nov 2025
Viewed by 423
Abstract
Humor is a key component of social relationships and has been linked to both positive health outcomes and detrimental effects, depending on the style of humor employed. However, its associations with alcohol-related behaviors remain largely underexplored. The present study investigated the relationships between [...] Read more.
Humor is a key component of social relationships and has been linked to both positive health outcomes and detrimental effects, depending on the style of humor employed. However, its associations with alcohol-related behaviors remain largely underexplored. The present study investigated the relationships between humor styles, gender, age, and alcohol use. A total of 392 adults (123 males and 269 females), aged between 18 and 74 years (M = 36.64; SD = 13.11), completed the Humor Styles Questionnaire (HSQ). This data was used to assess humor styles and the Alcohol Use Disorders Identification Test (AUDIT) to evaluate alcohol consumption patterns. Results indicated that male sex and younger age were significantly associated with higher alcohol use. Moreover, Self-Defeating humor emerged as a significant positive predictor of alcohol-related behavior. These findings suggest that certain maladaptive humor styles, particularly Self-Defeating humor, may play a role in reinforcing problematic drinking behaviors, possibly by serving as a dysfunctional coping mechanism in social contexts. Full article
(This article belongs to the Section Health Psychology)
28 pages, 5847 KB  
Article
Integrated Probiotic Benefits of Bacillus velezensis AAHM-BV2302 Drive Growth, Antioxidant Enhancement, and Immune Protection Against Streptococcus agalactiae in Tilapia (Oreochromis spp.)
by Pakapon Meachasompop, Benchawan Kumwan, Putita Chokmangmeepisarn, Phornphan Phrompanya, Phunsin Kantha, Patcharapong Thangsunan, Prapansak Srisapoome, Pattanapong Thangsunan, Passakorn Kingwascharapong, Kentaro Imaizumi, Natthapong Paankhao, Kanokporn Saenphet, Supap Saenphet, Wararut Buncharoen and Anurak Uchuwittayakul
Antioxidants 2025, 14(11), 1356; https://doi.org/10.3390/antiox14111356 - 13 Nov 2025
Viewed by 720
Abstract
Intensive aquaculture practices heighten oxidative stress and infectious disease risk, necessitating sustainable alternatives to antibiotics. This study evaluated the integrative probiotic and postbiotic potential of Bacillus velezensis AAHM-BV2302 in red tilapia (Oreochromis spp.), focusing on growth, antioxidant defense, immune modulation, and resistance [...] Read more.
Intensive aquaculture practices heighten oxidative stress and infectious disease risk, necessitating sustainable alternatives to antibiotics. This study evaluated the integrative probiotic and postbiotic potential of Bacillus velezensis AAHM-BV2302 in red tilapia (Oreochromis spp.), focusing on growth, antioxidant defense, immune modulation, and resistance to Streptococcus agalactiae. Whole-genome sequencing confirmed its classification as B. velezensis (4.16 Mb, GC 45.9%, ANI 99.4% with NRRL B-41580). Fish were fed diets supplemented with probiotic cells (Cell), cell-free supernatant (Cfs), or their combination (Cell + Cfs) for 30 days, followed by 30 days without probiotic supplementation. Growth performance significantly improved in Cell and Cell + Cfs groups at both Day 30 and Day 60 (p < 0.05). Antioxidant enzymes (SOD, CAT, GSH) increased significantly across tissues at Day 30, while malondialdehyde (MDA) declined (p < 0.05), indicating enhanced redox homeostasis. Humoral immunity was elevated, with higher lysozyme, bactericidal activity, and total IgM persisting post-supplementation (p < 0.05). Expression of il1b, il6, and il8 was upregulated in immune-related and mucosal tissues, reflecting robust immune activation (p < 0.05). After S. agalactiae challenge, survival rates were 55% in Cfs, 60% in Cell, and 70% in Cell + Cfs, corresponding to relative percent survivals (RPS) of 43.8%, 50.0%, and 62.5%, respectively (p < 0.05). These results demonstrate that B. velezensis AAHM-BV2302 enhances growth, antioxidant capacity, and immune resilience through complementary probiotic–postbiotic mechanisms, supporting its application as a safe, multifunctional biotic for antibiotic-free tilapia aquaculture. Full article
(This article belongs to the Special Issue Antioxidants Benefits in Aquaculture—3rd Edition)
Show Figures

Figure 1

25 pages, 1392 KB  
Review
Translational Molecular and Fluid Biomarkers for Age-Related Macular Degeneration: Practical Insights from Animal Models and Humans
by Simona Intonti, Chiara Olivieri, Michele Reibaldi, Enrico Borrelli, Claudia Curcio and Federica Maria Conedera
Biomolecules 2025, 15(11), 1571; https://doi.org/10.3390/biom15111571 - 8 Nov 2025
Viewed by 1012
Abstract
Age-related macular degeneration (AMD) is a leading cause of irreversible central vision loss. Its pathogenesis is complex and multifactorial, involving genetic predisposition, inflammation, oxidative stress, and environmental influences, which underscores the need to better understand biomarkers associated with the disease. This review provides [...] Read more.
Age-related macular degeneration (AMD) is a leading cause of irreversible central vision loss. Its pathogenesis is complex and multifactorial, involving genetic predisposition, inflammation, oxidative stress, and environmental influences, which underscores the need to better understand biomarkers associated with the disease. This review provides a comprehensive translational overview of biomarkers linked to both dry and wet forms of AMD by integrating findings from human studies and preclinical mouse models, including chemical, genetic, and laser-induced paradigms. It outlines key tissue, fluid, and systemic biomarkers related to oxidative stress, inflammation, complement activation, extracellular matrix remodeling, angiogenesis, and gut microbiota alterations. The main findings highlight similarities and differences between human AMD and animal models, identify challenges in biomarker validation, and emphasize the potential of combining biomarker profiles from ocular tissues, blood, tear fluid, aqueous and vitreous humor, and gut microbiome samples to improve early diagnosis, therapeutic monitoring, and personalized treatment strategies. These insights suggest that integrating experimental and clinical biomarker data could advance precision medicine in AMD, facilitating better early detection and individualized therapies. Future research should aim to bridge these datasets to optimize biomarker-driven approaches for AMD management. Full article
(This article belongs to the Section Molecular Biomarkers)
Show Figures

Figure 1

15 pages, 225 KB  
Article
Transcendence Strengths Related to Appreciation and Protection of All People and Nature Among University Students
by Javier López, Marta Oporto-Alonso, Gonzalo Sanz-Magallón and Cristina Noriega
Sustainability 2025, 17(21), 9870; https://doi.org/10.3390/su17219870 - 5 Nov 2025
Viewed by 744
Abstract
Universalism, as defined in Schwartz’s theory of basic human values, reflects a motivational orientation toward understanding, appreciation, and protection of all people and nature. This study examines the psychological foundations of ethical concern and ecological sensitivity among university students, focusing on the role [...] Read more.
Universalism, as defined in Schwartz’s theory of basic human values, reflects a motivational orientation toward understanding, appreciation, and protection of all people and nature. This study examines the psychological foundations of ethical concern and ecological sensitivity among university students, focusing on the role of transcendence strengths. A cross-sectional correlational design was employed and a total of 1240 students from five Spanish universities participated in the study, completing validated instruments designed to assess both transcendence strengths—spirituality, gratitude, hope/optimism, humor, and appreciation of beauty—and universalism. Stepwise regression analysis identified four strengths—gratitude, appreciation of beauty, hope/optimism, and spirituality—as significant predictors of ethical concern for others and nature, explaining 20.1% of the variance. These findings contribute to the growing body of research linking positive psychological traits with ethical engagement and environmental responsibility. They also suggest that fostering transcendence-related strengths in educational settings may enhance students’ capacity for global empathy and moral development. Moreover, rather than functioning in isolation, spirituality interacts dynamically with other transcendence strengths. The study highlights the importance of integrating transcendental dimensions into sustainability discourse. Future research should explore these relationships across cultures and developmental stages to inform policy and educational practice. Full article
(This article belongs to the Section Social Ecology and Sustainability)
15 pages, 3012 KB  
Article
Effect of Different Adjuvants on the Immunogenicity of a Recombinant Herpes Zoster Vaccine in Mice, Rats and Non-Human Primates
by Xiaoyang Liu, Shaohua Gong, Jingyi Xu, Ying Wei, Xuyan Chen, Yucheng Wu, Zhengli Zhang, Junyu Ma, Yili Yang and Shuhua Tan
Vaccines 2025, 13(11), 1124; https://doi.org/10.3390/vaccines13111124 - 31 Oct 2025
Viewed by 870
Abstract
Background: Varicella zoster virus (VZV) is a globally circulating pathogen that usually infects children and establishes a latent state in host nerve cells. Recurrence of latent varicella zoster virus (VZV) is often triggered by predisposing factors such as aging and immune dysfunction, [...] Read more.
Background: Varicella zoster virus (VZV) is a globally circulating pathogen that usually infects children and establishes a latent state in host nerve cells. Recurrence of latent varicella zoster virus (VZV) is often triggered by predisposing factors such as aging and immune dysfunction, which may lead to herpes zoster (HZ) and its related complications. At present, there is no specific treatment for herpes zoster or postherpetic neuralgia, so vaccination is an important preventive measure. Methods: In this study, a variety of vaccine formulations were developed by combining the gE protein with different adjuvants. Enzyme-linked immunosorbent assay (ELISA), flow cytometry, and ELISpot were used to evaluate the immune response induced by each combination of vaccines in C57BL/6 mice, and the optimal combination of adjuvants. Then, its immunogenicity was verified in SD rats and rhesus monkeys. Results: All combinations of gE/squalene oil-in-water emulsion (SWE)/CpG1018 adjuvant induced a good humoral immune response 28 days after secondary immunization. GE/SWE/CPG1018, combined with adjuvant, induced a higher cellular immune response in mice. The selected gE/SWE/CpG1018 combined with the adjuvant vaccine combination could effectively stimulate the humoral and cellular immune responses in SD rats and rhesus monkeys. Conclusions: The gE/SWE/CpG1018 combined with adjuvant vaccine may be a low-cost and highly effective vaccine candidate for the prevention of varicella zoster. Full article
(This article belongs to the Section Vaccine Advancement, Efficacy and Safety)
Show Figures

Figure 1

11 pages, 1799 KB  
Article
Three Years After COVID-19 Vaccination, Anti-Spike SARS-CoV-2 Antibody Concentration Decreases and Is Accompanied by Increasing Anti-Nucleocapsid Seropositivity
by Tomasz Anyszek, Jakub Swadźba, Andrzej Panek and Emilia Martin
Viruses 2025, 17(11), 1443; https://doi.org/10.3390/v17111443 - 29 Oct 2025
Viewed by 858
Abstract
Background/Objectives: The anti-spike (S) SARS-CoV-2 antibodies confer neutralizing properties and their concentration may be related to COVID-19 protection. Anti-nucleocapsid (N) SARS-CoV-2 antibodies in mRNA COVID-19 vaccine recipients indicate infection. The aim of this study was to analyze the anti-S and anti-N titers 3 [...] Read more.
Background/Objectives: The anti-spike (S) SARS-CoV-2 antibodies confer neutralizing properties and their concentration may be related to COVID-19 protection. Anti-nucleocapsid (N) SARS-CoV-2 antibodies in mRNA COVID-19 vaccine recipients indicate infection. The aim of this study was to analyze the anti-S and anti-N titers 3 years after COVID-19 vaccination. Methods: Ninety-nine vaccinated healthcare workers provided blood samples in 2024 and filled out questionnaires about their COVID-19 history and boosters acceptance. Anti-spike and anti-nucleocapsid IgG were assessed with commercially available immunoassays, DiaSorin’s SARS-CoV-2 TrimericS IgG and Abbott’s SARS-CoV-2 IgG, respectively. Results: Three years after the primary COVID-19 vaccination, the anti-S SARS-CoV-2 antibody concentration was still high. However, it dropped in comparison to the data obtained a year before (3600 vs. 2040 BAU/mL), possibly due to the lack of boosters. In contrast, the percentage of anti-N seropositive individuals grew from 34% two years after vaccination to 40.4% after three years. Subjects with SARS-CoV-2 infection within a year prior to the antibody measurements had statistically significantly higher median anti-S concentrations than those with tentatively no contact with SARS-CoV-2 (2940 vs. 1930 BAU/mL). Conclusions: Overall, our data indicates that although the booster vaccinations’ acceptance decreases, the circulating SARS-CoV-2 stimulates humoral immunity, resulting in high anti-S antibody concentrations even three years after the vaccination. Full article
(This article belongs to the Special Issue SARS-CoV-2 Neutralizing Antibodies, 3rd Edition)
Show Figures

Figure 1

19 pages, 745 KB  
Article
The Role of Self-as-Context as a Self-Based Process of Change in Cancer-Related Pain: Insights from a Network Analysis
by Evangelia Balta, Flora Koliouli, Lissy Vassiliki Canellopoulos and Vasilis S. Vasiliou
Healthcare 2025, 13(21), 2722; https://doi.org/10.3390/healthcare13212722 - 28 Oct 2025
Viewed by 517
Abstract
Background/Objectives: The dual burden of cancer and pain during chemotherapy can negatively impact individuals’ personal integrity, or the “self”. Yet, coping strategies addressing these dual challenges are rarely employed in cancer-related pain management. Recent findings from evidence-based behavioral models, such as psychological [...] Read more.
Background/Objectives: The dual burden of cancer and pain during chemotherapy can negatively impact individuals’ personal integrity, or the “self”. Yet, coping strategies addressing these dual challenges are rarely employed in cancer-related pain management. Recent findings from evidence-based behavioral models, such as psychological flexibility in pain, highlight the potential role of self-as-context (SAC) as a central coping strategy for adjustment. The aim of this study was to examine the network structure of “conventional” coping strategies, such as active coping, behavioral disengagement, substance use, seeking support, religion, humor, and avoidance (Brief-COPE-8 coping strategies), in relation to “self-based” coping strategies. Methods: Individuals diagnosed with cancer, mostly in advanced stages (i.e., II and III), experiencing cancer-related pain (n = 135), completed a cross-sectional online study. Participants filled out self-reported questionnaires, including the Brief-COPE, the Psychological Inflexibility in Pain Scale—Greek Version (G-PIPS-II), and the Self-as-Context Scale (SACS) scale, which included two subfactors: centering and transcending. The study employed a stepwise analysis plan. We first conducted a series of traditional correlations, analysis of variance (ANOVA), and hierarchical multiple linear regressions, to examine the predictive role of demographics/clinical characteristics, psychological inflexibility, and SAC (independent variables) on the eight coping strategies (dependent variables). We then selected the highest predictors of coping in cancer-related pain and included them in a network analysis model. In the network analysis, we estimated the LASSO network regularization and examined network stability. We also assessed the centrality and stability of the network model, focusing on the associations between SAC items, the most predictive coping strategies (Brief-COPE), and psychological inflexibility (G-PIPS-II). Results: SAC correlated positively with effective coping (active coping and humor) and negatively with substance use. There were no correlations between demographics, type, stage of cancer, and coping strategies for pain. Multiple linear regressions identified psychological inflexibility and SAC as the main contributors to pain adjustment, with SAC explaining substantially more variance in active coping. The partial correlation network included 12 nodes. Active coping, centering, and three of the six transcending items were the most influential in the network. Active coping demonstrated the highest centrality, exerting positive links with SAC items that reflected calm reactions and invariant perspective-taking in response to the pain experience. Conclusions: SAC might be considered as a tailored, self-based coping strategy for managing cancer-related pain. Future analog studies should explore the role of integrating self-based perspective-taking strategies to momentarily address cancer-related pain. Full article
Show Figures

Figure 1

14 pages, 1184 KB  
Article
IL-2 and IL-7 Contribution to Immune Response: Effects of Vaccination Against COVID-19 in Adults
by Dominika Siedlecka, Lena Bielawska, Aleksandra Ludziejewska, Aleksandra Baszczuk and Ewa Wysocka
Viruses 2025, 17(11), 1416; https://doi.org/10.3390/v17111416 - 24 Oct 2025
Viewed by 888
Abstract
Background: Cytokines participate in regulating the immune response of lymphocytes. Interleukin 2 (IL-2) is the main modulator of T lymphocyte development, homeostasis, and function, whereas interleukin 7 (IL-7) regulates the development and homeostasis of immune cells and plays a crucial role in the [...] Read more.
Background: Cytokines participate in regulating the immune response of lymphocytes. Interleukin 2 (IL-2) is the main modulator of T lymphocyte development, homeostasis, and function, whereas interleukin 7 (IL-7) regulates the development and homeostasis of immune cells and plays a crucial role in the maintenance of memory cells. The study aims to assess the blood IL-2 and IL-7 concentration in relation to the obtained cellular and humoral response in adults, six months after vaccination against COVID-19. Methods: We measured the concentration of IL-2 and IL-7 with ELISA, CoV2-IgG with an indirect chemiluminescence test, and the levels of IFN-γ with interferon gamma release assay (IGRA) post SARS-CoV-2 antigen stimulation. The study group (n = 76; F = 66, M = 10) was divided into 41 individuals, who did not report any chronic disorder (ChrD-Neg), and 35, who did (ChrD-Pos). Results: ChrD-Pos group presented higher IL-7 compared to ChrD-Neg (p = 0.023). Negative correlations were observed in the entire study population between IL-2 and age (R = −0.252, p = 0.028), as well as between IL-7 and IFN-γ (R = −0.295, p = 0.010). We found a positive correlation between IL-2 and IL-7 concentrations in the entire study population (R = 0.305, p = 0.007) and the ChrD-Pos group (R = 0.358, p = 0.035), and people with a positive IGRA result (R = 0.359, p = 0.005). Conclusions: The interaction of IL-2 and IL-7 may be important for achieving post-vaccination immunity, especially in adults with chronic diseases. Age is a factor modifying the post-vaccination response (decreased IL-2), whereas IL-7 may be an important factor in achieving a satisfactory post-vaccine response in people with chronic diseases. Full article
(This article belongs to the Special Issue SARS-CoV-2, COVID-19 Pathologies, Long COVID, and Anti-COVID Vaccines)
Show Figures

Figure 1

Back to TopTop