error_outline You can access the new MDPI.com website here. Explore and share your feedback with us.
 
 
Sign in to use this feature.

Years

Between: -

Subjects

remove_circle_outline
remove_circle_outline
remove_circle_outline
remove_circle_outline
remove_circle_outline
remove_circle_outline
remove_circle_outline
remove_circle_outline
remove_circle_outline

Journals

remove_circle_outline
remove_circle_outline
remove_circle_outline
remove_circle_outline
remove_circle_outline
remove_circle_outline
remove_circle_outline
remove_circle_outline
remove_circle_outline
remove_circle_outline
remove_circle_outline
remove_circle_outline
remove_circle_outline

Article Types

Countries / Regions

remove_circle_outline
remove_circle_outline
remove_circle_outline
remove_circle_outline
remove_circle_outline
remove_circle_outline

Search Results (1,443)

Search Parameters:
Keywords = recycled mixture

Order results
Result details
Results per page
Select all
Export citation of selected articles as:
26 pages, 9547 KB  
Article
Industrial Validation and Mechanical Characterization of SMA Mixtures Stabilized with Recycled Polymeric Fibers from Waste Tires
by Alejandra Calabi-Floody, Gonzalo Valdés-Vidal, Cristian Mignolet-Garrido, Cristian Díaz-Montecinos and Claudio Fonseca-Ibarra
Polymers 2026, 18(2), 156; https://doi.org/10.3390/polym18020156 - 7 Jan 2026
Abstract
This study investigates the industrial validation of a granular additive derived from waste tire textile fibers (WTTF) developed to replace the conventional cellulose stabilizing additive in stone mastic asphalt (SMA) mixtures while enhancing their mechanical performance. Building on previous laboratory-scale findings, this work [...] Read more.
This study investigates the industrial validation of a granular additive derived from waste tire textile fibers (WTTF) developed to replace the conventional cellulose stabilizing additive in stone mastic asphalt (SMA) mixtures while enhancing their mechanical performance. Building on previous laboratory-scale findings, this work evaluates the feasibility and mechanical behavior of this recycled-fiber additive under real asphalt-plant production conditions, advancing a sustainable solution aligned with circular economy principles. Three asphalt mixtures were fabricated in a batch plant: a reference SMA (SMA-R) containing a commercial cellulose additive, an SMA incorporating the WTTF additive (SMA-F), and a reference hot mix asphalt (HMA-R). The WTTF additive was incorporated in a 1:1 proportion relative to the cellulose additive. Performance was assessed through tests of cracking resistance (Fénix test), stiffness modulus, fatigue resistance (four-point bending test), moisture susceptibility (ITSR), and resistance to permanent deformation (Hamburg wheel tracking). Industrial validation results showed that the SMA-F mixture met the design criteria and achieved superior mechanical performance relative to the reference mixtures. In particular, SMA-F exhibited greater ductility and toughness at low temperatures, reduced susceptibility to moisture-induced damage, and higher fatigue resistance, with an increase in fatigue durability of up to 44% compared to SMA-R. The results confirm that the WTTF additive is both feasible and scalable for industrial production, offering a solution that not only improves pavement mechanical performance but also promotes the valorization of a challenging waste material. Full article
Show Figures

Figure 1

15 pages, 1422 KB  
Article
Assessment of the Self-Healing Capacity of Sustainable Asphalt Mixtures Using the SCB Test
by David Llopis-Castelló, Carlos Alonso-Troyano, Sara Gallardo-Peris and Alfredo García
Infrastructures 2026, 11(1), 14; https://doi.org/10.3390/infrastructures11010014 - 6 Jan 2026
Abstract
The growing environmental effect of asphalt pavements has fueled interest in sustainable alternatives including the application of recycled materials and self-healing systems. This research investigates the synergistic possibilities of steel slag aggregates and steel wool fibers in hot-mix asphalt compositions to increase sustainability [...] Read more.
The growing environmental effect of asphalt pavements has fueled interest in sustainable alternatives including the application of recycled materials and self-healing systems. This research investigates the synergistic possibilities of steel slag aggregates and steel wool fibers in hot-mix asphalt compositions to increase sustainability and let crack healing via electromagnetic induction heating. Using either recycled steel slag or natural porphyritic aggregates, two kinds of AC16 Surf S mixtures with 35/50 bitumen were created incorporating two levels of steel fiber content (2% and 4%). Based on repeated semi-circular bending (SCB) testing following regulated induction heating and confinement, a committed self-healing evaluation plan was developed. The results verified that combinations including recycled steel slag met or outperformed traditional mixes in terms of mechanical behavior. Induction heating successfully set off partial recovery of fracture toughness, with more fiber content and repeated heating cycles producing better healing values. Recovery levels ran from 14.6% to 40%, therefore proving the practicality of this approach. These results encourage the creation of asphalt mixtures with improved endurance and environmental advantages. The research offers both an approved approach for assessing healing and real-world recommendations for the construction of low-maintenance, round pavements utilizing induction-based techniques. Full article
(This article belongs to the Special Issue Sustainable Road Design and Traffic Management)
Show Figures

Figure 1

15 pages, 3252 KB  
Article
Hydrophobic Modification of Concrete Using a Hydrophobizing Admixture
by Dulat Abdrassilov, Aleksej Aniskin, Zhanbolat Shakhmov and Rauan Lukpanov
Constr. Mater. 2026, 6(1), 3; https://doi.org/10.3390/constrmater6010003 - 6 Jan 2026
Abstract
The construction industry relies on building materials that provide not only high physical and mechanical performance but also adequate thermal and durability properties. However, several factors still limit the quality and service life of concrete products. The development of the construction industry provides [...] Read more.
The construction industry relies on building materials that provide not only high physical and mechanical performance but also adequate thermal and durability properties. However, several factors still limit the quality and service life of concrete products. The development of the construction industry provides new opportunities for designing efficient construction facilities. To obtain enhanced design capabilities, it is very important to relieve the load on the structure, this can be achieved by reducing the mass of materials without losing strength. This study investigates the enhancement of foam concrete through the combined incorporation of mineral fibers recycled from basalt insulation waste and complex polymer modifiers. The aim was to improve the material’s mechanical performance, durability, and pore structure stability while promoting the sustainable use of industrial by-products. The experimental program included tests on density, compressive strength, water absorption, and thermal conductivity for mixtures of different densities (400–1100 kg/m3). The results demonstrated that the inclusion of mineral fibers and polymer modifiers significantly enhanced structural uniformity and pore wall integrity. Compressive strength increased by up to 35%, water absorption decreased by 25%, and thermal conductivity was reduced by 18% compared with the control mixture. Full article
Show Figures

Figure 1

24 pages, 4356 KB  
Article
Design of Recycled Aggregate Fiber-Reinforced Concrete for Road and Airfield Applications Using Polypropylene Fibers and Fly Ash
by Vitalii Kryzhanovskyi, Sergii Kroviakov, Pavlo Shymchenko and Inna Aksyonova
Constr. Mater. 2026, 6(1), 2; https://doi.org/10.3390/constrmater6010002 - 5 Jan 2026
Viewed by 57
Abstract
Driving the circular economy in road construction requires the effective use of secondary materials like recycled concrete aggregate (RCA) and fly ash (FA). A key obstacle is the performance trade-off in concretes incorporating both materials. This research investigates feasible mix designs for road [...] Read more.
Driving the circular economy in road construction requires the effective use of secondary materials like recycled concrete aggregate (RCA) and fly ash (FA). A key obstacle is the performance trade-off in concretes incorporating both materials. This research investigates feasible mix designs for road concrete, using RCA as a full gravel replacement and FA as a cement substitute. Polypropylene fiber (36 mm) and a superplasticizer were utilized to mitigate fresh and hardened state drawbacks. The experimental program included 15 modified mixtures with recycled aggregate and 3 control mixtures with natural aggregate. The workability of all concrete mixtures was kept constant at slump class S1. Road concretes with RCA, containing a 10–12% FA by cement replacement, at least 2 kg/m3 of polypropylene fiber (PF), and 4 kg/m3 of superplasticizer (SP), achieve compressive strength of at least 50 MPa and flexural strength of no less than 5 MPa at the design age. This performance is comparable to that of control mixtures. Furthermore, the abrasion resistance ranges between 0.48–0.50 g/cm2, and the brittleness index falls within 0.095–0.100, significantly enhancing the durability of concrete for rigid pavement applications. The conducted cradle-to-gate life-cycle assessment (stages A1–A3) of the constituent materials for 1 m3 of concrete indicates the following environmental impacts: Global Warming Potential (GWP) of 195 kg CO2 equation, Non-renewable Primary Energy Demand (PENRE) of 1140 MJ, Abiotic Depletion Potential for Fossil resources (ADPF) of 1120 MJ, Acidification Potential (AP) of 0.45 mol H+ equation, and Eutrophication Potential (EP) of 0.07 kg PO43− equation It is established that the modified compositions not only meet the required performance criteria but also contribute to the goals of resource conservation in road construction. Full article
Show Figures

Figure 1

16 pages, 3217 KB  
Article
Study of the Viscoelastic Performance of Cold Recycling Mixtures with Bitumen Emulsion
by Katarzyna Konieczna, Jan B. Król and Wojciech Sorociak
Appl. Sci. 2026, 16(1), 521; https://doi.org/10.3390/app16010521 - 4 Jan 2026
Viewed by 86
Abstract
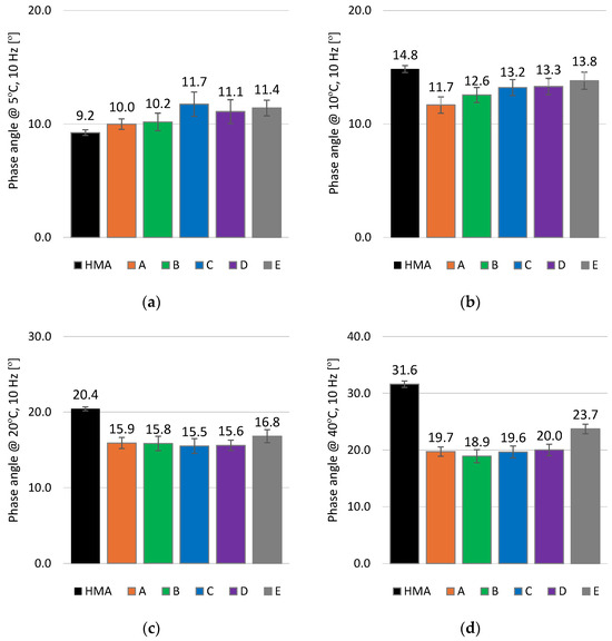
To limit reflective cracking in asphalt pavements with cold-recycled base courses, cold recycling mixtures (CRMs) are designed to provide predominantly bituminous bonding, making their viscoelastic behaviour of paramount importance. This study presents an experimental evaluation of the viscoelasticity of CRMs containing 0–90% RAP, [...] Read more.
To limit reflective cracking in asphalt pavements with cold-recycled base courses, cold recycling mixtures (CRMs) are designed to provide predominantly bituminous bonding, making their viscoelastic behaviour of paramount importance. This study presents an experimental evaluation of the viscoelasticity of CRMs containing 0–90% RAP, 5.5–7.4% bitumen emulsion, and 1% cement. The dynamic modulus and phase angle were determined according to AASHTO T 378-22 across temperatures of 5–40 °C and loading frequencies of 0.1–25 Hz. To assess the applicability of the time–temperature superposition principle (TTSP) for describing the CRMs’ mechanical behaviour, master curves were constructed and the statistical analysis of the model fit quality was performed. The research findings demonstrate that CRMs’ mechanical behaviour can be effectively modelled using TTSP, with their viscoelastic response being influenced by RAP and bitumen emulsion content. CRMs showed lower temperature sensitivity than HMA, yet changes in dynamic modulus and phase angle remained statistically significant. This study advances the performance-based design of CRMs and points to the potential of rheological modelling for their constitutive characterization. Full article
(This article belongs to the Special Issue Recent Advances in Asphalt Materials and Their Applications)
Show Figures

Figure 1

19 pages, 3147 KB  
Article
Interactive Influence of Recycled Concrete Aggregate and Recycled Steel Fibers on the Fresh and Hardened Performance of Eco-Efficient Fiber-Reinforced Self-Compacting Concrete
by Ahmed Redha Abdul-Rahman, Khaleel Hasan Younis and Bahman Omar Taha
J. Compos. Sci. 2026, 10(1), 9; https://doi.org/10.3390/jcs10010009 - 1 Jan 2026
Viewed by 117
Abstract
This study investigates the synergistic influence of recycled concrete aggregate (RCA) and recycled steel fibers (RSF) on the fresh and hardened performance of eco-efficient fiber-reinforced self-compacting concrete (SCC). Twelve C30/37.5 mixtures were produced using demolition waste as coarse RCA at replacement levels of [...] Read more.
This study investigates the synergistic influence of recycled concrete aggregate (RCA) and recycled steel fibers (RSF) on the fresh and hardened performance of eco-efficient fiber-reinforced self-compacting concrete (SCC). Twelve C30/37.5 mixtures were produced using demolition waste as coarse RCA at replacement levels of 25, 50, 75, and 100% by mass, combined with RSF recovered from scrap tires at volume fractions of 0.25, 0.50, and 0.75%. Fresh properties were assessed in accordance with EFNARC guidelines using slump-flow (T500), V-funnel, L-box, and J-ring tests, while hardened performance was evaluated through compressive, splitting tensile, and flexural strengths at 28 days, together with density and ultrasonic pulse velocity (UPV). Increasing RCA and RSF contents reduced workability, reflected in lower slump-flow diameters and higher T500 and V-funnel times, although most mixtures maintained satisfactory self-compacting behaviour. Compressive strength decreased with RCA content and, to a lesser extent, with higher RSF, with a maximum reduction of about 39% at 100% RCA relative to the control mix, yet values remained structurally acceptable. In contrast, RSF markedly enhanced tensile and flexural responses: at 25% RCA, 0.75% RSF increased splitting tensile and flexural strengths by approximately 41% and 29%, respectively, compared with the corresponding fiber-free mix. RCA reduced density and UPV by about 10–14%, but these reductions were partially mitigated by RSF addition. Overall, the results demonstrate that SCC with moderate RCA (25–50%) and RSF (0.50–0.75%) can achieve a favourable balance between rheological performance and enhanced tensile and flexural behaviour, offering a viable composite solution for sustainable structural applications. Full article
(This article belongs to the Section Composites Applications)
Show Figures

Figure 1

16 pages, 9772 KB  
Article
Structural Adhesive Bonding of Vacuum-Infused Acrylic-Based Thermoplastic Fibre-Reinforced Laminates
by Nils Xavier Bohlmann, Pedro Henrique Evangelista Fernandes, Morten Voß, Sebastian Veller, Christof Nagel, Katharina Arnaut and Vinicius Carrillo Beber
J. Compos. Sci. 2026, 10(1), 6; https://doi.org/10.3390/jcs10010006 - 1 Jan 2026
Viewed by 178
Abstract
Driven by regulatory and environmental demands, composite structures must combine high structural performance, recyclability, and resource efficiency. Here, an investigation on the structural adhesive bonding of glass-fibre-reinforced thermoplastic Elium© composite laminates is undertaken. Substrates are manufactured using vacuum infusion. Evaluation is performed on [...] Read more.
Driven by regulatory and environmental demands, composite structures must combine high structural performance, recyclability, and resource efficiency. Here, an investigation on the structural adhesive bonding of glass-fibre-reinforced thermoplastic Elium© composite laminates is undertaken. Substrates are manufactured using vacuum infusion. Evaluation is performed on the following three commercial two-component adhesives cured at RT: an epoxy (EP), a polyurethane (PU), and an acrylate system (AC). Based on Dynamic Mechanical Analysis, the glass transition temperatures of the EP, PU, and AC adhesives are 56.5, 102.9, and 111.9 °C, respectively. The AC adhesive exhibits the highest shear strength and displacement at failure, reflecting a superior load-bearing capacity. Fractographic analysis further supports these findings: AC joints show a mixed substrate/cohesive failure mode, while EP samples fail exclusively by adhesion failure and PU samples predominantly by a mixture of special cohesion, adhesion and substrate failure. Regarding processing, the EP samples show the highest pot life, followed by PU and then AC. Nonetheless, the pot life of the AC adhesive does not limit its range of application.. The results highlight the advantages of adhesive bonding of Elium© in enabling lightweight and more circular composites. RT-cured adhesives eliminate the need for drilling and energy-intensive thermal curing, allowing design flexibility and reductions in CO2 footprint within composite production. Full article
(This article belongs to the Special Issue Composites: A Sustainable Material Solution, 2nd Edition)
Show Figures

Graphical abstract

16 pages, 4290 KB  
Article
Controlled One-Step Synthesis of Monodisperse CeO2 Octahedra in a Binary Solvent System with Waste Liquid Recycling
by Yaohui Xu, Yu Hu, Nengwei Zeng, Haimei Wang, Yuan Zhang, Zongjie Liu, Xinrui Chen and Zhao Ding
Nanomaterials 2026, 16(1), 53; https://doi.org/10.3390/nano16010053 - 30 Dec 2025
Viewed by 255
Abstract
To overcome the limitations of template-dependent and anion-assisted methods, this work presents a solvent-controlled strategy for the one-step solvothermal synthesis of octahedral CeO2. Using only Ce(NO3)3·6H2O in methanol/water (MeOH/H2O) mixtures without the addition [...] Read more.
To overcome the limitations of template-dependent and anion-assisted methods, this work presents a solvent-controlled strategy for the one-step solvothermal synthesis of octahedral CeO2. Using only Ce(NO3)3·6H2O in methanol/water (MeOH/H2O) mixtures without the addition of auxiliary templates or surfactants, phase-pure cubic CeO2 was obtained. Well-defined octahedra were exclusively formed in a 15 mL MeOH/5 mL H2O system at 180 °C for 12 h, whereas other alcohols (including ethanol (EtOH), n-propanol (n-PrOH), and iso-propanol (i-PrOH)) yielded irregular aggregates. Time-dependent evolution revealed continuous crystallinity optimization between 3 and 24 h, beyond which surface dissolution occurred. The solvothermal mother liquor could be recycled four times without compromising phase purity or octahedral morphology, as confirmed by XRD and SEM. This work provides a green and practical route for morphology-controlled oxide synthesis while significantly reducing solvent consumption. Full article
(This article belongs to the Special Issue Nanomaterials for Sustainable Green Energy)
Show Figures

Graphical abstract

26 pages, 6517 KB  
Article
Hydrothermal Treatment with Different Solvents for Composite Recycling and Valorization Under Subcritical and Supercritical Conditions
by José M. Vázquez-Fernández, Belén García-Jarana, Milagrosa Ramírez-del Solar, Lucio Cardozo-Filho, Juan R. Portela-Miguélez and José M. Abelleira-Pereira
Polymers 2026, 18(1), 89; https://doi.org/10.3390/polym18010089 - 28 Dec 2025
Viewed by 264
Abstract
Worldwide, carbon fiber (CF) demand has been rising over the last decade, which contrasts with the fact that up to 30–50% of composite materials in aircraft production are scrapped. This situation highlights the increasing need for recycling methods to reduce fabrication costs and [...] Read more.
Worldwide, carbon fiber (CF) demand has been rising over the last decade, which contrasts with the fact that up to 30–50% of composite materials in aircraft production are scrapped. This situation highlights the increasing need for recycling methods to reduce fabrication costs and global warming potential. Emerging technologies focus on recovering long CFs, as they represent the most valuable form but are also the most difficult to reclaim using conventional recycling methods. Hydrothermal treatments offer a promising alternative to valorize this waste by decomposing the polymer matrix under subcritical and supercritical conditions without significantly damaging the fibers. Water, isopropanol, and mixtures of water/isopropanol or water/acetone were tested as solvents, with and without the addition of zinc chloride (ZnCl2) as a homogeneous catalyst. The influence of temperature, pressure, and solvent composition on resin degradation was evaluated. In this work, degradation rates of up to 92% were achieved at 415 °C, 233 bar, 120 min, 5 wt.% IPA, and ZnCl2 0.1 M. It should be noted that ZnCl2 caused reactor corrosion. Furthermore, the recovered fibers retained their morphology, including the sizing layer, and showed mechanical properties similar to the original material, while a small H2-rich gaseous fraction was generated as a byproduct of the hydrothermal degradation. Using water–isopropanol solutions resulted in the reactor being significantly cleaner than when using water alone, which can be advantageous for future scale-up and for reducing maintenance requirements. These results confirm the potential of hydrothermal processing as an efficient and selective method for the recycling and valorization of carbon-fiber-reinforced composites from the aeronautical industry. Full article
Show Figures

Graphical abstract

16 pages, 2145 KB  
Article
Cellulolytic Microbial Inoculation Enhances Sheep Manure Composting by Improving Nutrient Retention and Reshaping Microbial Community Structure
by Ze Zhou, Yincui Zhang, Changning Li, Xiaohong Chai, Shanmu He, Yang Lei and Weigang Fu
Agronomy 2026, 16(1), 79; https://doi.org/10.3390/agronomy16010079 - 26 Dec 2025
Viewed by 307
Abstract
Livestock manure is a major source of environmental pollution and greenhouse gas emissions if improperly managed. Aerobic composting represents a sustainable approach to manure recycling that can stabilize organic matter, mitigate carbon loss, and recover nutrients for agricultural use. In this study, sheep [...] Read more.
Livestock manure is a major source of environmental pollution and greenhouse gas emissions if improperly managed. Aerobic composting represents a sustainable approach to manure recycling that can stabilize organic matter, mitigate carbon loss, and recover nutrients for agricultural use. In this study, sheep manure was mixed with sawdust to optimize the carbon-to-nitrogen (C/N) ratio and enhance aeration, and the mixture was subjected to aerobic composting with a cellulose-degrading microbial inoculant. To rigorously evaluate the biological effects, a control treated with sterilized inoculant was included to eliminate nutrient inputs from the carrier matrix. The inoculant significantly improved composting performance by extending the thermophilic phase by five days and reducing the C/N ratio to 19.8 on day 32, thereby shortening the composting cycle. Moreover, microbial inoculation enhanced nutrient retention, resulting in a 20.14% increase in total nutrient content, while the germination index (GI) reached 89.75%, indicating high compost maturity and reduced phytotoxicity. Microbial community analysis revealed that cellulose-degrading inoculants significantly altered microbial richness and diversity and accelerated community succession. Redundancy analysis (RDA) and hierarchical partitioning analysis showed that total organic carbon (TOC) and GI were the main environmental drivers of bacterial community dynamics, whereas pH and GI primarily regulated fungal community succession. These findings suggest a strong link between compost maturity and microbial community restructuring. This study demonstrates that cellulose-degrading microbial inoculation accelerates the composting of sheep manure, enhances organic matter degradation, and improves fertilizer efficiency while reducing the phytotoxicity of the final product. Full article
Show Figures

Figure 1

37 pages, 4063 KB  
Article
Data-Driven Optimization of Sustainable Asphalt Overlays Using Machine Learning and Life-Cycle Cost Evaluation
by Ghazi Jalal Kashesh, Hasan H. Joni, Anmar Dulaimi, Abbas Jalal Kaishesh, Adnan Adhab K. Al-Saeedi, Tiago Pinto Ribeiro and Luís Filipe Almeida Bernardo
CivilEng 2026, 7(1), 1; https://doi.org/10.3390/civileng7010001 - 26 Dec 2025
Viewed by 198
Abstract
The growing demand for sustainable pavement materials has driven increased interest in asphalt mixtures incorporating recycled crumb rubber (CR). While CR modification enhances mechanical performance and durability, its often increases initial production costs and energy demand. This study develops an integrated framework that [...] Read more.
The growing demand for sustainable pavement materials has driven increased interest in asphalt mixtures incorporating recycled crumb rubber (CR). While CR modification enhances mechanical performance and durability, its often increases initial production costs and energy demand. This study develops an integrated framework that combines machine learning (ML) and economic analysis to identify the optimal balance between performance and cost in CR-modified asphalt overlay mixtures. An experimental dataset of conventional and CR-modified mixtures was used to train and validate multiple ML algorithms, including Random Forest (RF), Gradient Boosting (GB), Artificial Neural Networks (ANNs), and Support Vector Regression (SVR). The RF and ANN models exhibited superior predictive accuracy (R2 > 0.98) for key performance indicators such as Marshall stability, tensile strength ratio, rutting resistance, and resilient modulus. A Cost–Performance Index (CPI) integrating life-cycle cost analysis was developed to quantify trade-offs between performance and economic efficiency. Environmental life-cycle assessment indicated net greenhouse gas reductions of approximately 96 kg CO2-eq per ton of mixture despite higher production-phase emissions. Optimization results indicated that a CR content of approximately 15% and an asphalt binder content of 4.8–5.0% achieve the best performance–cost balance. The study demonstrates that ML-driven optimization provides a powerful, data-based approach for guiding sustainable pavement design and promoting the circular economy in road construction. Full article
Show Figures

Graphical abstract

17 pages, 1034 KB  
Article
Stochastic Analysis of the Social, Environmental and Financial Cost of Concrete Mixtures Containing Recycled Materials and Industrial Byproducts for Airport Pavement Construction Using the Triple Bottom Line Approach
by Loretta Newton-Hoare and Greg White
Buildings 2026, 16(1), 118; https://doi.org/10.3390/buildings16010118 - 26 Dec 2025
Viewed by 125
Abstract
With the growing trend of incorporating waste and industrial by-products in infrastructure, airport pavements built with sustainable materials are of increasing interest. This research developed six theoretical concrete mixtures for airport pavement and evaluated their financial, social and environmental cost within a stochastic [...] Read more.
With the growing trend of incorporating waste and industrial by-products in infrastructure, airport pavements built with sustainable materials are of increasing interest. This research developed six theoretical concrete mixtures for airport pavement and evaluated their financial, social and environmental cost within a stochastic triple bottom line framework. A Monte Carlo simulation was used to capture uncertainty in key parameters, particularly material transport distances, embodied carbon, and cost variability, allowing a probabilistic comparison of conventional and sustainable mixtures. The results showed that mixtures incorporating supplementary cementitious materials, recycled concrete aggregate and geopolymer cement consistently outperformed the ordinary Portland cement benchmark across all triple bottom line dimensions. Geopolymer concrete offered the greatest overall benefit, while the mixture containing blast furnace slag aggregate demonstrated how long haulage distances can significantly erode sustainability gains, highlighting the importance of locally available materials to sustainability. Overall, the findings provide quantitative evidence that substantial triple bottom line cost reductions are achievable within current airport pavement specifications, and even greater benefits are possible if specifications are expanded to include emerging low-carbon technologies such as geopolymer cement. These outcomes reinforce the need for performance-based specifications that permit the use of recycled materials and industrial by-products in pursuit of sustainable airport pavement practice. Full article
(This article belongs to the Section Building Structures)
Show Figures

Figure 1

45 pages, 9391 KB  
Article
Engineering Performance, Environmental and Economic Assessment of Pavement Reconstruction Using Cold In-Place Recycling with Foamed Bitumen: A Municipal Road Case Study
by Justyna Stępień, Anna Chomicz-Kowalska, Krzysztof Maciejewski and Patrycja Wąsik
Materials 2026, 19(1), 83; https://doi.org/10.3390/ma19010083 - 25 Dec 2025
Viewed by 327
Abstract
Modernizing municipal roads requires rehabilitation strategies that ensure adequate structural performance while reducing environmental and economic burdens. Although cold in-place recycling with foamed bitumen (CIR-FB) has been widely investigated, integrated assessments combining mechanistic–empirical modeling with LCA and LCCA remain limited—particularly for municipal roads [...] Read more.
Modernizing municipal roads requires rehabilitation strategies that ensure adequate structural performance while reducing environmental and economic burdens. Although cold in-place recycling with foamed bitumen (CIR-FB) has been widely investigated, integrated assessments combining mechanistic–empirical modeling with LCA and LCCA remain limited—particularly for municipal roads in Central and Eastern Europe, where reclaimed asphalt pavement (RAP) quality, climatic conditions and budget constraints differ from commonly studied regions. This study compares two reconstruction variants for a 1 km road section: a conventional design using virgin materials (V1-N) and a recycling-based alternative (V2-Rc) incorporating RAP from the existing wearing and binder layers and reclaimed aggregate (RA) from the existing base. CIR-FB mixture testing (stiffness ≈ 5.25 GPa; foamed bitumen = 2.5%, cement = 2.0%) was integrated into mechanistic–empirical fatigue analysis, material-flow quantification, LCA and LCCA. The V2-Rc variant achieved a 3–21-fold increase in fatigue life compared to V1-N at equal thickness. Material demand decreased by approximately 27%, demolition waste by approximately 39%, and approximately 92% of the existing pavement was reused in situ. Transport work was reduced five-fold (veh-km) and more than six-fold (t-km). LCA showed a 15.9% reduction in CO2-eq emissions, while LCCA indicated approximately 19% lower construction cost, with advantages remaining robust under ±20% sensitivity. The results demonstrate that CIR-FB, when supported by proper RAP/RA characterization, can substantially improve structural, environmental and economic performance in municipal road rehabilitation. Full article
(This article belongs to the Special Issue Road and Rail Construction Materials: Development and Prospects)
Show Figures

Graphical abstract

25 pages, 3889 KB  
Article
Performance of Warm Mix Asphalt with Polymer Modified RAP Using Recycled Engine Oil and SBS Binder Modification
by Byung-Sik Ohm and Tri Ho Minh Le
Polymers 2026, 18(1), 44; https://doi.org/10.3390/polym18010044 - 23 Dec 2025
Viewed by 353
Abstract
The growing use of reclaimed asphalt pavement (RAP) in warm-mix asphalt (WMA) presents significant challenges when RAP originates from aged polymer-modified binder (PMB) pavements, where severe oxidation and polymer degradation lead to excessive stiffness and poor cracking resistance. This study presents a multi-scale [...] Read more.
The growing use of reclaimed asphalt pavement (RAP) in warm-mix asphalt (WMA) presents significant challenges when RAP originates from aged polymer-modified binder (PMB) pavements, where severe oxidation and polymer degradation lead to excessive stiffness and poor cracking resistance. This study presents a multi-scale evaluation of a hybrid modification strategy combining recycled engine oil waste (REOW, 3 wt.%) and styrene–butadiene–styrene (SBS, 1–4 wt.%) to restore aged PMB-containing RAP systems under controlled binder conditions. Three binders (control, REOW-modified, and REOW–SBS hybrid) were prepared using a fixed 70/30 virgin-to-RAP binder blend and characterized through rheological analysis, and multiple stress creep recovery (MSCR). The findings show that REOW softened the binder but reduced elastic recovery, whereas SBS modification restored elastic response. Corresponding WMA mixtures with 30 wt.% RAP and 5.0 wt.% total binder content were evaluated for moisture damage, raveling, rutting, and cracking resistance. At the mixture scale, the hybrid system achieved a TSR of 83%, reduced Hamburg rut depth by ~20%, and increased SCB fracture energy by ~30% compared with the control. These findings demonstrate that combined rejuvenation–reinforcement effectively re-mobilizes aged PMB chemistry and restores polymer elasticity, enabling high-performance WMA production with RAP derived from polymer-modified pavements. Full article
(This article belongs to the Section Polymer Chemistry)
Show Figures

Figure 1

16 pages, 4601 KB  
Article
Wettability Tailoring of Polymers Using Ferrate for Flotation Separation of Plastic Mixtures Towards Recycling
by Xueting Sun, Yu Jiang, Qiruo Wu, Xu Chen and Yuanqi Wang
Separations 2026, 13(1), 5; https://doi.org/10.3390/separations13010005 - 23 Dec 2025
Viewed by 169
Abstract
Ferrate as an environmentally friendly oxidant has been widely used in the environmental remediation and versatile functionalization of carbon-based materials. In this study, we investigated its ability to induce surface wettability of polymers and its emerging applications in separating mixed plastics through flotation [...] Read more.
Ferrate as an environmentally friendly oxidant has been widely used in the environmental remediation and versatile functionalization of carbon-based materials. In this study, we investigated its ability to induce surface wettability of polymers and its emerging applications in separating mixed plastics through flotation for recycling. It was found that ferrate (VI) formed oxygen-containing groups on the surface of polycarbonates (PCs) by selectively oxidizing the sp3-hybridized carbon atoms into hydroxyl and carboxyl moieties, in addition to introducing nanoscale iron oxides. This facilitated the selective hydrophilization of PC with a water contact angle of 60.7° but did not clearly affect the surface wettability of polyvinyl chloride (PVC). This difference in surface wettability highlighted the distinct floatability properties of PC and PVC, which can be utilized to separate mixtures of these plastics with the aid of flotation. A central composite design (CCD) utilizing response surface methodology (RSM) was applied to model ferrate oxidation and to optimize flotation. Under the optimized conditions, mixtures of PC and PVC were efficiently separated with recovery and purity values of more than 99.8 ± 0.3%. Our findings provide a rational understanding of polymer wettability tailoring and expand its emerging applications in waste plastic recycling to address environmental problems. Full article
Show Figures

Figure 1

Back to TopTop