Next Article in Journal
New Insights into the Formation Mechanism of Continuous Cropping Obstacles in Dioscorea opposita Thunb. cv. Tiegun Yam from Rhizosphere Metabolites and Microflora
Previous Article in Journal
Effect of Zinc Application on Maize Dry Matter, Zinc Uptake, and Soil Microbial Community Grown Under Different Paddy Soil pH
Previous Article in Special Issue
Research on Fermentation Characteristics and Microbial Community of Mixed Sorghum-Sudangrass and Sesbania Silage
 
 
Font Type:
Arial Georgia Verdana
Font Size:
Aa Aa Aa
Line Spacing:
Column Width:
Background:
Article

Cellulolytic Microbial Inoculation Enhances Sheep Manure Composting by Improving Nutrient Retention and Reshaping Microbial Community Structure

1
School of Ecology and Environmental Science, Qinghai Institution of Technology, Xining 810000, China
2
College of Grassland Science, Gansu Agricultural University, Lanzhou 730070, China
3
Jiangsu Vocational College of Business, Nantong 226011, China
*
Authors to whom correspondence should be addressed.
Agronomy 2026, 16(1), 79; https://doi.org/10.3390/agronomy16010079 (registering DOI)
Submission received: 24 November 2025 / Revised: 19 December 2025 / Accepted: 23 December 2025 / Published: 26 December 2025

Abstract

Livestock manure is a major source of environmental pollution and greenhouse gas emissions if improperly managed. Aerobic composting represents a sustainable approach to manure recycling that can stabilize organic matter, mitigate carbon loss, and recover nutrients for agricultural use. In this study, sheep manure was mixed with sawdust to optimize the carbon-to-nitrogen (C/N) ratio and enhance aeration, and the mixture was subjected to aerobic composting with a cellulose-degrading microbial inoculant. To rigorously evaluate the biological effects, a control treated with sterilized inoculant was included to eliminate nutrient inputs from the carrier matrix. The inoculant significantly improved composting performance by extending the thermophilic phase by five days and reducing the C/N ratio to 19.8 on day 32, thereby shortening the composting cycle. Moreover, microbial inoculation enhanced nutrient retention, resulting in a 20.14% increase in total nutrient content, while the germination index (GI) reached 89.75%, indicating high compost maturity and reduced phytotoxicity. Microbial community analysis revealed that cellulose-degrading inoculants significantly altered microbial richness and diversity and accelerated community succession. Redundancy analysis (RDA) and hierarchical partitioning analysis showed that total organic carbon (TOC) and GI were the main environmental drivers of bacterial community dynamics, whereas pH and GI primarily regulated fungal community succession. These findings suggest a strong link between compost maturity and microbial community restructuring. This study demonstrates that cellulose-degrading microbial inoculation accelerates the composting of sheep manure, enhances organic matter degradation, and improves fertilizer efficiency while reducing the phytotoxicity of the final product.

1. Introduction

As livestock farming becomes more specialized, intensive, and large-scale, its global expansion has accelerated markedly. For example, according to Statista [1], the number of sheep in China reached approximately 322 million in 2023, indicating a continued growth trend. China produces approximately 3.8 × 109 tons of livestock manure annually, with sheep manure accounting for about 450 million kilograms [2]. However, only about 17% of this manure undergoes harmless treatment, and its overall utilization efficiency remains below 60%, resulting in the accumulation of untreated waste [3]. Untreated sheep manure may contain pathogenic microorganisms, parasitic eggs, and weed seeds. If applied directly to agricultural fields, it may spread diseases and negatively impact crop production [4].
Composting, a sustainable method for organic waste treatment, converts manure into stable organic matter through a microbially mediated biodegradation process [5]. Natural composting has several limitations, including low indigenous microbial abundance, limited decomposition capacity, extended fermentation time, slow temperature rise, and low nutrient content in the final product [6]. To improve composting efficiency and product quality, researchers have increasingly applied various additives, such as biochar [7,8] and microbial inoculants [9]. Studies have shown that microbial inoculation can improve composting efficiency, lower moisture content, promote humus formation and seed germination, and accelerate organic waste degradation [10]. Microbial inoculation also offers advantages such as low cost, no secondary pollution, and ease of application [11,12]. Furthermore, microbial inoculation facilitates the production of organic fertilizers for agricultural use, which improves soil structure and reduces reliance on chemical fertilizers [13].
Despite advances in previous research, existing microbial inoculants still exhibit limitations in processing agricultural waste. For instance, their ability to degrade various types of organic waste is limited, particularly in handling materials like sheep manure, which is rich in cellulose and difficult to decompose [14]. This limitation hinders the efficient degradation of organic matter during composting. Cellulose is highly resistant to biodegradation during composting; however, its efficient breakdown is essential for achieving compost maturity. Its degradation involves a multi-step hydrolysis catalyzed by cellulases, which sequentially convert cellulose into cellobiose and eventually into glucose [13]. Microorganisms are the main producers of cellulases, and their metabolic activity plays a critical role in cellulose degradation [15]. Jia [16] demonstrated that a composite inoculant comprising Aspergillus, Penicillium, Bacillus, and Streptomyces significantly improved cellulose degradation efficiency in sawdust compost. This enhancement was strongly associated with increased extracellular enzyme activity within the microbial community. However, existing microbial inoculants often fail to achieve optimal results, as they may be poorly adapted to the specific characteristics of different waste types and may compete with indigenous microbial communities, thus limiting their effectiveness in compost-based agricultural waste management.
Therefore, it is essential to develop and evaluate microbial inoculants tailored for composting high-cellulose agricultural residues such as sheep manure. In this study, we applied cellulose-degrading inoculants derived from sheep manure to a manure–sawdust mixture and investigated microbial succession and compost physicochemical evolution across the composting phases. We further assessed compost maturity and nutrient availability and examined how key environmental factors are associated with microbial community shifts. Overall, this work aims to develop a targeted microbial inoculant to improve sheep-manure composting.

2. Materials and Methods

2.1. Composting Materials

The sheep manure required for this experiment was sourced from Shengmu Company in Gansu Province, China. Sawdust was collected from a local timber market in Jingtai County, also in Gansu Province. The cellulolytic microbial inoculant was derived from strains previously screened by the research team [17]. The mixed inoculant was selected from high-temperature sheep manure compost and subsequently acclimated in cellulase-containing medium. The composting inoculant used in this study was a microbial consortium composed of Cellulomonas (22.08%), Terrimonas (15.26%), Ellin6055 (10.85%), Hydrogenophaga (9.62%), and Aminobacter (7.24%). The initial physicochemical properties of the compost feedstock are summarized in Table 1.

2.2. Composting Experiments

The experiment was conducted at the Shengmu Organic Fertilizer Production Base in Jingtai County, Gansu Province, China, over a period of 32 days. Sheep manure and sawdust were mixed at a fresh weight ratio of 2.5:1. The moisture content was adjusted to approximately 60%, and the C/N ratio was set at approximately 30:1. Two composting treatments were established: (1) a treatment group (T) with 0.1% cellulose-degrading microbial inoculant (based on the wet weight of compost), and (2) a control group (CK) with the same amount of sterilized inoculant. The sterilized inoculant control was included to eliminate nutrient input from the inoculum matrix, ensuring that the observed effects were attributable to microbial activity. For each treatment, a single compost pile was constructed with dimensions of 4.0 m (L) × 2.0 m (W) × 1.35 m (H), resulting in an approximate volume of 10.8 m3. The microbial concentration of the inoculant was 1.0 × 109 CFU/g. To maintain adequate aeration and homogeneity [18], the piles were manually turned every four days. To ensure data representativeness and minimize spatial heterogeneity within the piles, a rigorous composite sampling method was employed. Compost samples were collected at four key time points: days 4, 12, 24, and 32 of the composting process. At each sampling point, approximately 1000 g of compost was collected from five different positions (distributed across the upper, middle, and lower layers) of the pile. These subsamples were thoroughly homogenized to form a single composite sample for that time point. This composite sample was then divided into three laboratory replicates for the independent analysis of physicochemical properties, pH, electrical conductivity (EC), and microbial community structure.

2.3. Physico-Chemical Analysis

A 1.5 m stainless-steel compost thermometer (BJ8A, Kangte Instruments, Shanghai, China) was used to measure compost and ambient temperatures at 9:00 and 16:00 daily. Temperature was recorded at three compost depths—upper, middle, and lower layers—with three replicates per layer. The average of the three measurements was used to represent the temperature at each layer. Physicochemical parameters were determined according to the methods described in TMECC [19]. Samples were mixed with distilled water at a 1:10 (w/v) ratio, shaken for 30 min, and then filtered. The supernatant was used to determine pH and electrical conductivity (EC) [20]. The germination index (GI) was determined following the method of Yang et al. [21]. Compost extract was applied to cucumber seeds (Cucumis sativus L.) and incubated in darkness at 25 °C for 48 h. Germination rate and root length ratio were subsequently calculated.

2.4. DNA Extraction and High-Throughput Sequencing

The compost samples were collected on days 4, 12, 24, and 32 for DNA extraction, with three biological replicates at each time point. DNA extraction was performed using a commercial kit from Omega Bio-Tek (Norcross, GA, USA). The 16S rRNA gene V3–V4 region was amplified using primers 338F and 806R [22], and the ITS1 region of fungal DNA was amplified using primers ITS1F and ITS2R [23]. Sequencing was performed on the MiSeq platform, with all sequencing processes carried out by Shanghai Meiji Bio-Medical Technology Co., Ltd. (Shanghai, China).

2.5. Data Analysis

All data analyses were conducted using R software (version 4.3.3). One-way ANOVA (p < 0.05) was employed to assess temporal differences within groups, and Student’s t-test was used to compare treatment and control groups at each time point. Alpha diversity was analyzed using QIIME software (version 1.9.1). Pearson correlation analysis between genus-level taxa and physicochemical parameters was performed using the “psych” and “heatmap” packages, and results were visualized as a heatmap. Taxonomic composition, NMDS, redundancy analysis (RDA), and hierarchical partitioning were conducted using R software [24]. Spearman rank correlations for highly abundant genera were calculated using the “mothur” software package (v1.48.0), followed by key network analysis. Figures were created using Origin 2021.

3. Results and Discussion

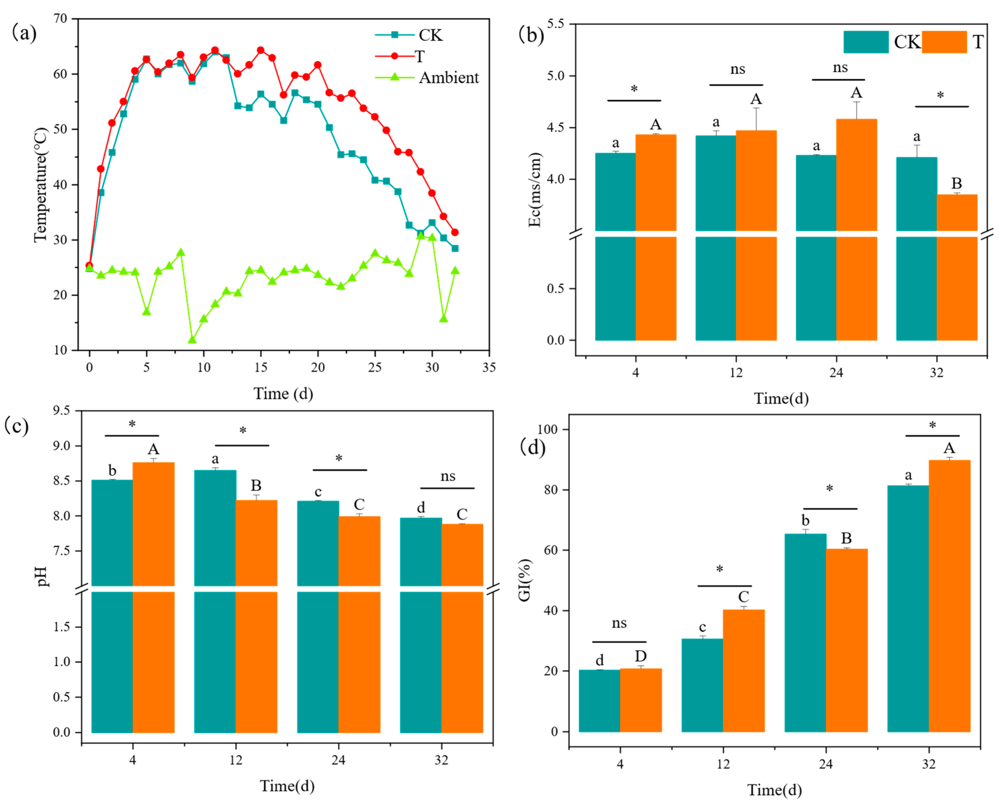
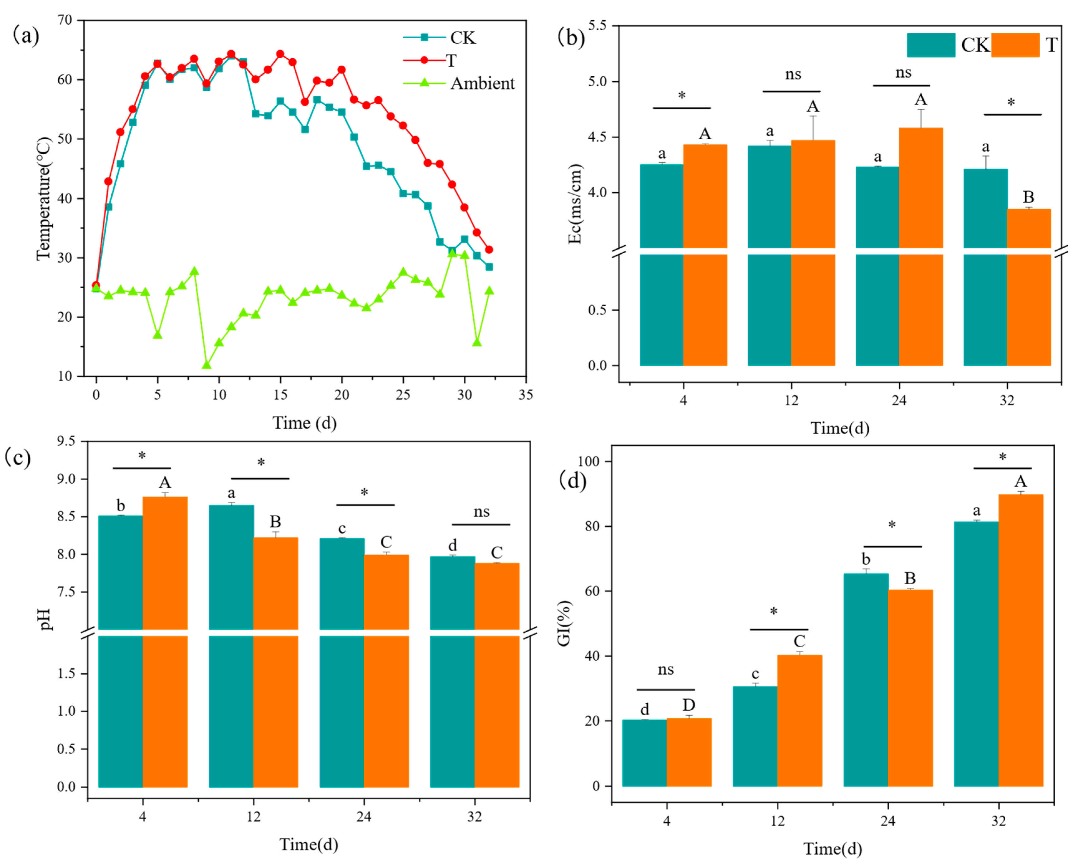
3.1. Evaluation of Temperature

Temperature changes during composting, as shown in Figure 1a, follow four typical stages: initial heating, thermophilic, cooling, and maturation [25]. Temperature serves as a key indicator of composting efficiency and microbial activity and reflects shifts in microbial community composition [26,27]. The introduction of inoculants prolonged the thermophilic phase and accelerated the heating rate. In the T, the temperature exceeded 50 °C within 3 days, whereas the CK reached this threshold on day 4. The thermophilic phase lasted 24 days in T, compared to 19 days in CK. As composting progressed, CK temperatures dropped below 50 °C on day 22, while T maintained thermophilic conditions until day 28 before gradually declining to ambient levels. The rapid temperature increase in T was likely attributed to the cellulose-degrading inoculants, which promoted the breakdown of organic and nitrogenous compounds, thereby increasing heat production [28]. High composting temperatures eliminate pathogens, weed seeds, and insect eggs, and select for dominant microbial populations [29]. During cooling and maturation, temperatures in the inoculated compost declined more rapidly. These findings suggest that cellulose-degrading inoculants enhance organic matter degradation, promote hygienic maturity, and shorten the composting cycle [14].

3.2. Changes in Physicochemical Properties

3.2.1. Electrical Conductivity

EC is commonly used as an indicator of salinity and potential toxicity in compost materials. An EC value below 4 mS·cm−1 is generally considered non-toxic in the final compost product [30]. EC also reflects the degree of organic matter mineralization during composting [31]. As shown in Figure 1b, EC increased gradually during the initial stage of composting. This increase may result from the rapid degradation of organic matter, generating soluble ions such as HCO3, Mg2+, Na+, K+, and Ca2+, which contribute to higher EC [32]. By day 32, a significant difference in EC between the T and CK groups was observed, suggesting that cellulose-degrading inoculants affected mineralization and reduced EC levels. Lower EC values typically indicate greater compost maturity [33]. Therefore, microbial inoculation may enhance compost maturity.

3.2.2. pH

As shown in Figure 1c, the pH of the CK increased during the first 12 days, followed by a gradual decline. The initial rise in pH may result from ammonia production, decomposition of organic acids, and microbial respiration [34]. As composting progresses, the continuous release of NH3 may lead to a decrease in pH across all treatments. Meanwhile, the concurrent decomposition of organic matter released low-molecular-weight fatty acids, which further contributed to the pH decline. These combined processes resulted in the observed pH reduction [35]. Microbial inoculation may have accelerated organic matter decomposition, resulting in a more rapid pH decline. By the end of composting, pH levels in both CK and T dropped below 8.0, meeting the standard for mature compost [36].

3.2.3. GI

GI is a key indicator for evaluating compost maturity and plant toxicity. A GI value above 50% indicates that the compost is non-toxic, while a value exceeding 80% signifies the complete elimination of phytotoxicity [37]. During the early stage, phytotoxic compounds in the compost leachate significantly inhibited seed germination. With composting progression, the leachate’s toxicity declined, and the germination index continuously increased [38]. In the mid to late stages of composting, significant differences were observed between the CK and T. At the end of the composting process, GI values reached 81.33% in the CK group and 89.75% in the T. Both treatments achieved full compost maturity. The higher GI observed in the treatment with microbial inoculation may result from cellulose-degrading inoculants accelerating the breakdown of toxic substances and promoting the conversion of other harmful compounds, such as phenolics, thereby enhancing microbial detoxification [39]. Although both treatments exceeded the 80% threshold, confirming compost maturity, the higher GI in the T group indicates superior quality and greater safety.

3.2.4. Changes in Major Nutrient Content

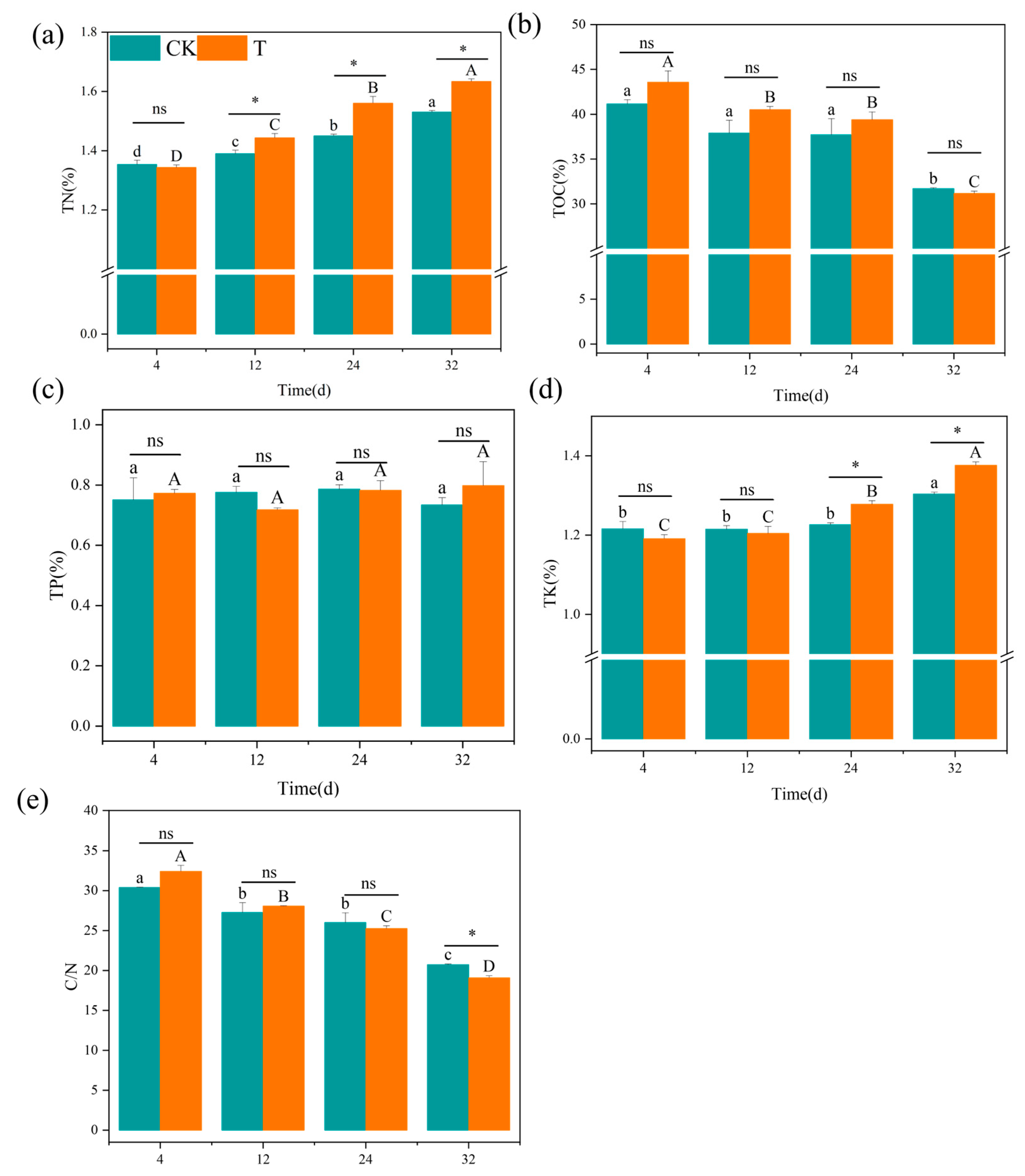
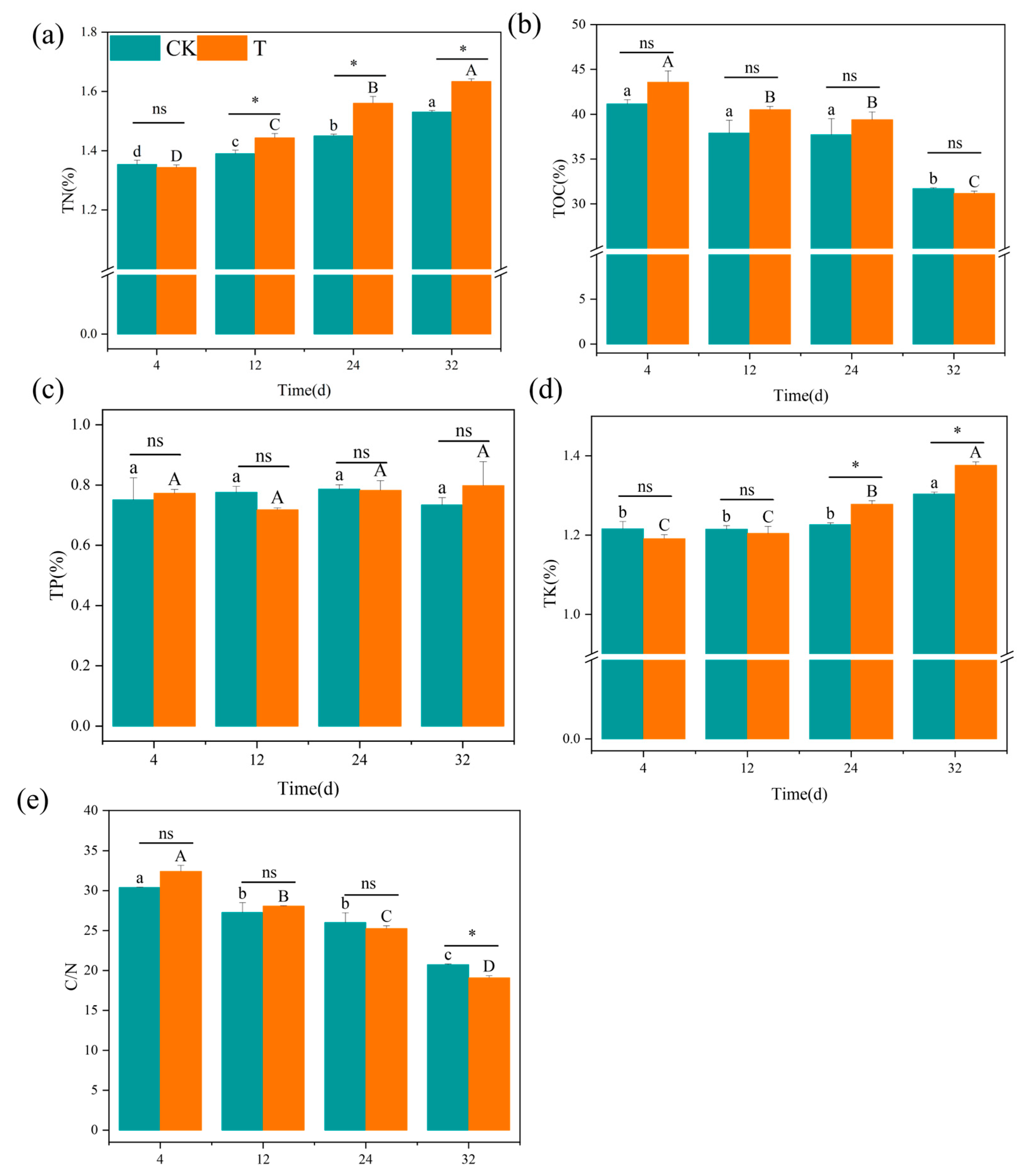
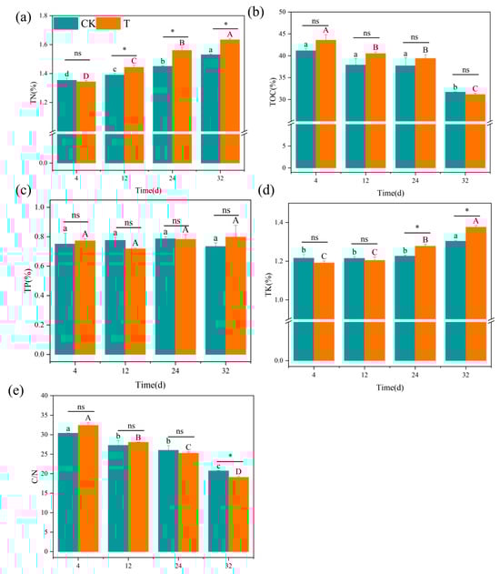
As shown in Figure 2a, there was no significant difference in total nitrogen (TN) content between CK and T on day 4, indicating a minimal short-term effect of microbial inoculation on TN levels. During composting, hydrogen and carbon from the raw materials were progressively released as water (H2O) and carbon dioxide (CO2). The observed increases in TN, total phosphorus (TP), and total potassium (TK) concentrations were primarily attributed to the “concentration effect” [40]. TN concentrations were significantly higher in the T than in the CK on days 12, 24, and 32, suggesting that cellulose-degrading inoculants enhanced nutrient retention in the compost [41]. TOC serves as a primary nutrient source for microbial activity in compost, and its variation reflects microbial dynamics and organic matter degradation efficiency [42]. As composting progressed, TOC content gradually declined. Compared to the CK, microbial inoculation resulted in a more pronounced reduction in TOC. Cellulose-degrading inoculants likely accelerated TOC degradation by enhancing the microbial breakdown of organic matter, thereby intensifying the declining trend of TOC [9]. As shown in Figure 2c, TP levels in the T group increased over time, suggesting that exogenous microorganisms effectively promote TP accumulation. TK content increased gradually throughout the composting period. On days 24 and 32, which correspond to the cooling and maturation phases, TK content in the T was significantly higher than in the CK. These findings suggest that microbial inoculation promoted nutrient retention during composting. As composting progressed, the C/N ratio decreased in both treatments. By day 32, the C/N ratio in the T group had fallen below 20, whereas it remained above 20 in the CK group, indicating that the compost in CK had not yet reached full maturity. The more rapid decline in the C/N ratio in the T group indicates that microbial inoculation accelerated organic matter degradation by enhancing microbial activity, thereby shortening the composting period [43]. A C/N ratio below 20 is generally considered indicative of compost maturity [44].

3.3. Microbial Community Structure Analysis

3.3.1. Biodiversity of Microbial Communities

Changes in microbial communities were assessed through indicators of richness, such as Chao1 and Observed species, and diversity, including the Shannon and Simpson indices. The Chao1 index estimates the number of operational taxonomic units (OTUs) in a sample, reflecting community richness [45]. Between days 4 and 12, the Chao1 index decreased in the CK but increased in the T, indicating that microbial inoculation enhanced microbial richness. The Shannon index measures microbial diversity, with higher values indicating greater community heterogeneity. As shown in Figure 3b, the Shannon index initially increased and subsequently declined. During the thermophilic phase, the Simpson index was higher in T than in CK, suggesting that the introduced microbes exhibited greater thermotolerance, contributing to elevated diversity.
Figure 3 illustrates the temporal dynamics of fungal community composition during composting. Fungal abundance indices exhibited similar trends in both treatments, and the bacterial-based exogenous inoculant had no significant effect on fungal abundance. Fungal abundance initially rose and later declined, mirroring the overall microbial community dynamics during composting [46]. In the later composting stages, the Shannon and Simpson indices in T were lower than in CK, suggesting that cellulose-degrading inoculants accelerated composting, resulting in extensive fungal die-off and reduced diversity during the thermophilic phase.
NMDS analysis was performed to evaluate microbial β-diversity, as illustrated in Figure 4e,f. Although CK4 and T4 clustered together, significant compositional differences remained between them. CK12 and T12 formed a cluster, whereas the remaining samples were divided into two separate groups. While clear distinctions between CK and T were observed early in composting, these differences diminished over time. Distinct fungal community differences were evident early in composting but became less pronounced in later stages. This phenomenon may result from secondary metabolites produced by the inoculants, which likely triggered interspecies competition or altered the nutrient profile, thereby reshaping microbial community structure [45]. These findings suggest that microbial inoculation facilitated microbial community succession.

3.3.2. Taxonomic Composition of Bacterial and Fungal Communities

Figure 4a,b depict the bacterial community structure at both phylum and genus levels. Proteobacteria consistently dominated throughout composting, exhibiting the highest relative abundance during the initial stage. The relative abundance of Proteobacteria declined gradually over time. Actinobacteriota, abundant in the microbial inoculant, showed significantly different relative abundances between CK and T during the early composting stage. Firmicutes showed a declining trend during composting, with initially higher abundance in T compared to CK. This phylum is associated with diverse metabolic activities and plays a key role in lignocellulose degradation [47]. Firmicutes remained the dominant phylum throughout composting, particularly during the heating and thermophilic phases. Although Bacteroidota declined in relative abundance during composting, it became dominant during the cooling and maturation stages. Bacteroidota contributes to organic matter degradation and humus formation, particularly during the thermophilic phase of composting [48]. The exogenous microbial inoculants were primarily composed of Proteobacteria, Firmicutes, Actinobacteriota, and Bacteroidota. This suggests that the microbial composition of the inoculants closely resembles that of native compost microbes, minimizing competition and avoiding negative impacts on the composting process. Similar dominant bacterial phyla have been reported in previous studies on sheep manure composting [33].
The bacterial community primarily consists of 23 dominant genera. The relative abundance of norank_f__Fodinicurvataceae gradually increased during composting, reaching its peak in the final stage. Similarly, Truepera exhibited an increasing trend in abundance as composting progressed. In contrast, Halomonas showed a consistent decrease in relative abundance. Membranicola displayed a rising trend in relative abundance over the course of composting. In contrast, Oceanobacillus gradually declined, with its initial abundance significantly higher in the T compared to the CK, indicating the influence of the microbial inoculant. Throughout different stages of composting, the dominant genera did not change significantly, but their relative abundances underwent marked alterations.
The community structure at the phylum and genus levels of fungi is shown in Figure 4c,d. Ascomycota is the core microbial group during the high-temperature phase of composting, playing a crucial role in the degradation of lignocellulose and the humification process of composting [49]. At the genus level, the dominant genera include Sodiomyces, Penicillium, Melanocarpus, unclassified_f__Microascaceae, and Tausonia. Sodiomyces may be related to the formation of humic acid during composting, as it can degrade humus and fulvic acid [50]. Penicillium facilitates lignocellulose degradation and supports the proliferation of microbial communities, thereby enhancing humus accumulation [51]. Previous studies have found that unclassified_f__Microascaceae is a marker microorganism during the maturation phase of composting, possibly promoting compost maturation by decomposing refractory organic matter during this stage [52].

3.3.3. Analysis of Microbial Correlation Network

Microbial association network analysis (see Supplementary Materials) identified key bacterial and fungal groups driving community interactions. In the CK, the core bacterial nodes included Halomonas, Marinobacter, Membranicola, norank_f__Fodinicurvataceae, Truepera, and Oceanobacillus. In the T, the major core nodes were Oceanobacillus, norank_f__Fodinicurvataceae, Truepera, Halomonas, Membranicola, and Salinicoccus. Oceanobacillus is involved in the humification process of organic matter due to its production of high protein/fat hydrolytic enzymes, which promote the aggregation of humus [53]. Halomonas accelerates the decomposition of organic matter in compost, helps reduce the C/N ratio, and thus improves composting efficiency [54]. It was identified as a core node in both treatments, highlighting its sustained role in nutrient cycling.
Fungal community association network analysis revealed that in the CK group, Tausonia, Nakazawaea, and Melanocarpus formed the core connection nodes of the fungal community. In the T, the core hubs included Melanocarpus, Acaulium_albonigrescens, Nakazawaea, and Tausonia. Melanocarpus can secrete a variety of extracellular enzymes, such as cellulase, hemicellulase, and lignase, which can break down complex organic compounds like cellulose in the compost into simple sugars, amino acids, and fatty acids. These small molecules provide nutrients for other microorganisms in compost, thus accelerating the maturation process of composting [55]. Melanocarpus can produce antimicrobial substances, such as antibiotics and organic acids. These substances can inhibit the growth and reproduction of harmful microorganisms in the compost, such as pathogens and spoilage bacteria. As a result, they reduce the harmful effects of these microorganisms on the environment and plants during composting, thereby improving the safety and quality of the compost [56].

3.4. Correlations Between Environmental Factors and Microbial Community Composition

The correlation analysis (see Supplementary Materials) showed notable interactions between microbial genera and environmental factors. Specifically, Longispora and norank_o_Actinomarinales exhibited a strong positive correlation with TN, suggesting their potential role in nitrogen retention or transformation, including ammonification or nitrification. Additionally, Marinobacter displayed a positive correlation with TN, possibly reflecting its involvement in the mineralization of organic nitrogen. Actinomadura showed a significant positive correlation with GI (p < 0.01), indicating that it may reduce plant toxicity by degrading toxic substances such as phenolic compounds [39]. Halomonas shows a highly significant negative correlation with both TN and GI.
Penicillium was positively correlated with pH and C/N ratio, indicating its preference for alkaline, carbon-rich conditions, aligning with its function in lignocellulose breakdown during early to mid-composting. A significant negative correlation was observed between Melanocarpus and pH (p < 0.05), implying its involvement in acid production. These patterns demonstrate how microbes both respond to and influence compost conditions. The microbial inoculant may optimize the composting process by enhancing beneficial interactions, such as the role of Sodiomyces in nutrient retention.
The interactions between fungal genera and environmental variables are provided in the (Supplementary Materials). Sodiomyces were positively associated with TN, TK, and GI, suggesting their involvement in nutrient transformation and compost maturation, possibly contributing to humus formation. Penicillium demonstrated a strong positive correlation with both pH and the C/N ratio, suggesting that its growth is closely linked to the compost’s alkalinity and carbon content. This relationship implies that Penicillium may contribute to accelerating the composting process and lowering the C/N ratio. Melanocarpus showed a strong inverse relationship with pH, implying that its abundance rises as pH declines during composting. This suggests it may contribute to pH regulation within the composting environment, helping to limit nutrient loss.

3.5. The Relationship Between Physicochemical Factors and Microbial Communities

Redundancy analysis (RDA) is used to assess the relationship between environmental variables and microorganisms. As shown in Figure 5, TOC and TN are highly correlated with the bacterial community composition. pH, C/N, and TOC significantly influenced bacterial community structure in the early stages, with a close relationship to Oceanobacillus, Salinicoccus, and Marinobacter. In the maturation phase, TP had a larger influence on the samples. TK and TN have a significant impact on the bacterial community at the later stage of composting, while norank_f_Fodinicurvataceae and the genus Truepera are the most influential genera during this phase. For the fungal community, pH had the greatest impact, while TN had a larger effect on the samples at the end of composting. Melanocarpus significantly influenced the later-stage samples. Peterozyma was associated with the T in the early stage of composting, while unclassified_f__Microascaceae showed a stronger correlation with the CK in the initial phase. TP has a certain impact on the degree of maturation of the samples at the later stage of composting.
Elevated pH and TOC during the initial composting stage significantly influenced bacterial community composition, exhibiting strong positive correlations with genera such as Oceanobacillus, Salinicoccus, and Marinobacter. This may be because these decomposers exhibit strong organic matter degradation capabilities in high-carbon environments. At the end of composting, TK and TN became the dominant factors, with norank_f__Fodinicurvataceae and Truepera showing a positive correlation with TN and TK, reflecting their ecological advantage under nutrient-enriched conditions.
For the fungal community, the RDA results show that pH is the primary influencing factor. At the end of composting, TN had a particularly significant effect, with Melanocarpus showing a strong positive correlation with TN. This may be due to its role in promoting humus synthesis under nitrogen-rich conditions, thereby accelerating compost stabilization. At the beginning of the process, Peterozyma was primarily linked to the T samples, whereas unclassified_f__Microascaceae showed a strong association with the CK samples. This highlights the distinct effects of the treatments on the initial development of the fungal community. The influence of total phosphorus on the fungal community increased during the maturation phase, likely due to the key role of phosphorus in fungal metabolism.
Hierarchical partitioning analysis revealed that TOC, GI, TN, pH, and TK were the primary factors influencing changes in the bacterial community, accounting for 35.83%, 21.06%, 11.83%, 10.06%, and 9.52% of the variance, respectively. Among these, TOC had the highest explanatory power (35.83%), indicating that the dynamic changes in organic carbon are the core driving factor for bacterial community succession. The decrease in TOC reflects the organic matter decomposition process, which directly impacts the nutritional sources and metabolic activity of bacteria.
The high explanatory power of GI (21.06%) suggests that the bacterial community responds to the maturity of the compost, possibly by degrading toxic substances or facilitating nutrient conversion. For the fungal community, GI, pH, TN, TK, and TOC were identified as the main driving factors, with explanatory powers of 30.78%, 22.52%, 17.99%, 11.78%, and 11.4%, respectively. GI, as the primary factor (explanatory power 30.78%), reflects the fungal community’s sensitivity to the composting process, potentially responding to the increase in GI by degrading recalcitrant organic matter or synthesizing humus. The explanatory power of pH (22.52%) indicates that pH changes significantly impact the fungal community. Particularly, during the later stages of composting, when pH decreases, fungi maintain their activity due to their broad pH tolerance range, thus promoting compost stabilization [56]. The high explanatory power of TOC and GI highlights the key role of organic matter decomposition and maturity enhancement in shaping microbial communities, while the dynamic changes in TN and pH further optimize microbial metabolic activity. It can be concluded that microbial inoculation may accelerate the reduction in TOC and increase the GI, thereby regulating the community structure and improving composting efficiency. In conclusion, environmental factors drive the succession of bacterial and fungal communities in composting by regulating microbial growth, metabolism, and community competition, which in turn affects composting efficiency and quality. The high explanatory power of TOC and GI highlights the key role of organic matter decomposition and maturity enhancement in shaping microbial communities, while the dynamic changes in TN and pH further optimize microbial metabolic activity. These findings imply that microbial inoculation could improve composting efficiency and product stability by speeding up the reduction in TOC and the increase in GI, thereby indirectly influencing the structure of the bacterial community.
Since the experiment was conducted in a single pile per treatment, the results should be regarded as preliminary. Further validation with replicate piles is necessary before these findings can be recommended for broad practical application.

4. Conclusions

This study demonstrated that the inoculation of a mixed cellulose-degrading microbial inoculant significantly improved composting efficiency and product quality. The inoculation extended the thermophilic phase by five days and accelerated the maturation process, reducing the C/N ratio from 30 to 19.8 within 32 days, thereby shortening the composting period. Compared to CK, microbial inoculation enhanced compost maturity and nutrient retention, with TN, TP, and TK increasing by 6.54%, 8.22%, and 5.38%, respectively. The GI results confirmed a substantial reduction in phytotoxicity in the inoculated compost. Microbial community analysis and RDA revealed that inoculation drove distinct shifts in bacterial composition. Furthermore, hierarchical partitioning analysis indicated that TOC and GI were the primary environmental variables shaping bacterial community dynamics, explaining 56.89% of the variation, while pH and GI were the main factors associated with fungal community changes (53.30% of variation). These findings highlight the complex interplay between environmental factors and microbial succession driven by targeted inoculation in improving sheep manure composting. However, considering the single-pile design of this study, further verification with multi-pile experiments is suggested prior to practical implementation.

Supplementary Materials

The following supporting information can be downloaded at https://www.mdpi.com/article/10.3390/agronomy16010079/s1, Figure S1: Networks of microbial communities in two distinct composting systems: (a) Bacterial co-occurrence network in the CK, (b) bacterial co-occurrence network in the T, (c) fungal co-occurrence network in the CK, and (d) fungal co-occurrence network in the T. CK-without microbial inoculation, T-added cellulose-degrading microbial inoculants.; Figure S2: Heatmap of correlations between microorganisms and environmental factors: (a) bacterial communities, (b) fungal communities. CK-without microbial inoculation, T-added cellulose-degrading microbial inoculants.

Author Contributions

Z.Z.: Writing—original draft, Methodology. Y.Z.: Writing—review and editing, Data curation. C.L.: Writing—review and editing, Methodology. X.C.: Data curation, Software. S.H.: Data curation, Validation. Y.L.: Writing—original draft, Data curation. W.F.: Data curation, Visualization. All authors have read and agreed to the published version of the manuscript.

Funding

This work was completed with the support of the following funds: Research and Application of Microbial Inoculants for the Restoration of Alpine Meadows on the Qinghai–Tibet Plateau ((W)2023-QLGKLYCZX-033); Science and technology project (GAU-KYQD-2022-01); 2024 China National Supply and Marketing Cooperative Innovation Project (GXKJ-2024-058); 2024 Nantong Natural Science Foundation Livelihood Project (MSZ2024003); and 2025 Jiangsu Provincial Higher Education Basic Science (Natural Science) Research General Project.

Data Availability Statement

Data is contained within the article or Supplementary Materials.

Conflicts of Interest

The authors declare no conflicts of interest.

Abbreviations

The following abbreviations are used in this manuscript:
TOCTotal organic carbon
GIGermination index
TNTotal nitrogen
TPTotal phosphorus
TKTotal potassium
ECElectrical conductivity

References

  1. Statista. China: Sheep and Goat Livestock 2013–2023; China Statistical Yearbook: Beijing, China, 2024. [Google Scholar]
  2. Li, D.; Yuan, J.; Ding, J.; Wang, H.; Shen, Y.; Li, G. Effects of carbon/nitrogen ratio and aeration rate on the sheep manure composting process and associated gaseous emissions. J. Environ. Manag. 2022, 323, 116093. [Google Scholar] [CrossRef]
  3. Yao, X.; Zhou, H.; Meng, H.; Ding, J.; Shen, Y.; Cheng, H.; Zhang, X.; Li, R.; Fan, S. Amino acid profile characterization during the co-composting of a livestock manure and maize straw mixture. J. Clean. Prod. 2021, 278, 123494. [Google Scholar] [CrossRef]
  4. Robertson, S.; Douglas, P.; Jarvis, D.; Marczylo, E. Bioaerosol exposure from composting facilities and health outcomes in workers and in the community: A systematic review update. Int. J. Hyg. Environ. Health 2019, 222, 364–386. [Google Scholar] [CrossRef] [PubMed]
  5. Insam, H.; De Bertoldi, M. Microbiology of the composting process. In Waste Management Series; Elsevier: Amsterdam, The Netherlands, 2007; Volume 8, pp. 25–48. [Google Scholar]
  6. Aguilar-Paredes, A.; Valdés, G.; Araneda, N.; Valdebenito, E.; Hansen, F.; Nuti, M. Microbial Community in the Composting Process and Its Positive Impact on the Soil Biota in Sustainable Agriculture. Agronomy 2023, 13, 542. [Google Scholar] [CrossRef]
  7. Dang, R.; Cai, Y.; Li, J.; Kong, Y.; Jiang, T.; Chang, J.; Yao, S.; Yuan, J.; Li, G.; Wang, G. Biochar reduces gaseous emissions during poultry manure composting: Evidence from the evolution of associated functional genes. J. Clean. Prod. 2024, 452, 142060. [Google Scholar] [CrossRef]
  8. Liu, H.; Awasthi, M.K.; Zhang, Z.; Syed, A.; Bahkali, A.H. Evaluation of gases emission and enzyme dynamics in sheep manure compost occupying with peach shell biochar. Environ. Pollut. 2024, 351, 124065. [Google Scholar] [CrossRef]
  9. Li, H.; Yang, Z.; Zhang, C.; Shang, W.; Zhang, T.; Chang, X.; Wu, Z.; He, Y. Effect of microbial inoculum on composting efficiency in the composting process of spent mushroom substrate and chicken manure. J. Environ. Manag. 2024, 353, 120145. [Google Scholar] [CrossRef] [PubMed]
  10. Zainudin, M.H.M.; Zulkarnain, A.; Azmi, A.S.; Muniandy, S.; Sakai, K.; Shirai, Y.; Hassan, M.A. Enhancement of Agro-Industrial Waste Composting Process via the Microbial Inoculation: A Brief Review. Agronomy 2022, 12, 198. [Google Scholar] [CrossRef]
  11. Xie, T.; Zhang, Z.; Zhang, D.; Wei, C.; Lin, Y.; Feng, R.; Nan, J.; Feng, Y. Effect of hydrothermal pretreatment and compound microbial agents on compost maturity and gaseous emissions during aerobic composting of kitchen waste. Sci. Total Environ. 2023, 854, 158712. [Google Scholar] [CrossRef]
  12. Gao, X.; Xu, Z.; Li, Y.; Zhang, L.; Li, G.; Nghiem, L.D.; Luo, W. Bacterial dynamics for gaseous emission and humification in bio-augmented composting of kitchen waste. Sci. Total Environ. 2021, 801, 149640. [Google Scholar] [CrossRef]
  13. Zhang, M.; Shi, A.; Muhammad, A.; Ye, L.; Muhammad, A. Comprehensive review on agricultural waste utilization and high-temperature fermentation and composting. Biomass Convers. Biorefin. 2023, 13, 5445–5468. [Google Scholar]
  14. Wang, S.; Long, H.; Hu, X.; Wang, H.; Wang, Y.; Guo, J.; Zheng, X.; Ye, Y.; Shao, R.; Yang, Q. The co-inoculation of Trichoderma viridis and Bacillus subtilis improved the aerobic composting efficiency and degradation of lignocellulose. Bioresour. Technol. 2024, 394, 130285. [Google Scholar] [CrossRef] [PubMed]
  15. Li, F.; Ghanizadeh, H.; Cui, G.; Liu, J.; Miao, S.; Liu, C.; Song, W.; Chen, X.; Cheng, M.; Wang, P.; et al. Microbiome—Based agents can optimize composting of agricultural wastes by modifying microbial communities. Bioresour. Technol. 2023, 374, 128765. [Google Scholar] [CrossRef]
  16. Jia, X.; Qin, X.; Tian, X.; Zhao, Y.; Yang, T.; Huang, J. Inoculating with the microbial agents to start up the aerobic composting of mushroom residue and wood chips at low temperature. J. Environ. Chem. Eng. 2021, 9, 105294. [Google Scholar] [CrossRef]
  17. Li, C.; Li, H.; Yao, T.; Su, M.; Ran, F.; Han, B.; Li, J.; Lan, X.; Zhang, Y.; Yang, X.; et al. Microbial inoculation influences bacterial community succession and physicochemical characteristics during pig manure composting with corn straw. Bioresour. Technol. 2019, 289, 121653. [Google Scholar] [CrossRef] [PubMed]
  18. Puyuelo, B.; Gea, T.; Sánchez, A. A new control strategy for the composting process based on the oxygen uptake rate. Chem. Eng. J. 2010, 165, 161–169. [Google Scholar] [CrossRef]
  19. Thompson, W.L.P.; Millner, P.; Watson, M.E. (Eds.) Test Methods for the Examination of Composts and Composting (TMECC). In The US Composting Council; US Government Printing Office: Washington, DC, USA, 2002. [Google Scholar]
  20. Yang, F.; Li, Y.; Han, Y.; Qian, W.; Li, G.; Luo, W. Performance of mature compost to control gaseous emissions in kitchen waste composting. Sci. Total Environ. 2019, 657, 262–269. [Google Scholar] [CrossRef]
  21. Yang, Y.; Wang, G.; Li, G.; Ma, R.; Kong, Y.; Yuan, J. Selection of sensitive seeds for evaluation of compost maturity with the seed germination index. Waste Manag. 2021, 136, 238–243. [Google Scholar] [CrossRef]
  22. Zeng, G.; Yu, Z.; Chen, Y.; Zhang, J.; Li, H.; Yu, M.; Zhao, M. Response of compost maturity and microbial community composition to pentachlorophenol (PCP)-contaminated soil during composting. Bioresour. Technol. 2011, 102, 5905–5911. [Google Scholar] [CrossRef]
  23. Blaalid, R.; Kumar, S.; Nilsson, R.H.; Abarenkov, K.; Kirk, P.M.; Kauserud, H. ITS1 versus ITS2 as DNA metabarcodes for fungi. Mol. Ecol. Resour. 2013, 13, 218–224. [Google Scholar] [CrossRef]
  24. Lai, J.; Zou, Y.; Zhang, J.; Peres-Neto, P.R. Generalizing hierarchical and variation partitioning in multiple regression and canonical analyses using the rdacca. hp R package. Methods Ecol. Evol. 2022, 13, 782–788. [Google Scholar] [CrossRef]
  25. Li, C.; Li, H.; Yao, T.; Su, M.; Li, J.; Liu, Z.; Xin, Y.; Wang, L.; Chen, J.; Gun, S. Effects of microbial inoculation on enzyme activity, available nitrogen content, and bacterial succession during pig manure composting. Bioresour. Technol. 2020, 306, 123167. [Google Scholar] [CrossRef]
  26. Wang, Y.; Yuan, Z.; Tang, Y. Enhancing food security and environmental sustainability: A critical review of food loss and waste management. Resour. Environ. Sust. 2021, 4, 100023. [Google Scholar] [CrossRef]
  27. Ma, S.; Fang, C.; Sun, X.; Han, L.; He, X.; Huang, G. Bacterial community succession during pig manure and wheat straw aerobic composting covered with a semi-permeable membrane under slight positive pressure. Bioresour. Technol. 2018, 259, 221–227. [Google Scholar] [CrossRef]
  28. Meilander, J.; Caporaso, J.G. Microbiome science of human excrement composting. ISME J. 2024, 18, wrae228. [Google Scholar] [CrossRef]
  29. Yang, W.; Zhang, L. Addition of mature compost improves the composting of green waste. Bioresour. Technol. 2022, 350, 126927. [Google Scholar] [CrossRef] [PubMed]
  30. García, C.; Hernández, T.; Costa, F. Study on water extract of sewage sludge composts. Soil Sci. Plant Nutr. 1991, 37, 399–408. [Google Scholar] [CrossRef]
  31. Arab, G.; McCartney, D. Benefits to decomposition rates when using digestate as compost co-feedstock: Part I—Focus on physicochemical parameters. Waste Manag. 2017, 68, 74–84. [Google Scholar] [CrossRef]
  32. Zhang, L.; Sun, X.; Tian, Y.; Gong, X. Effects of brown sugar and calcium superphosphate on the secondary fermentation of green waste. Bioresour. Technol. 2013, 131, 68–75. [Google Scholar] [CrossRef] [PubMed]
  33. Wang, Z.; Xu, Y.; Yang, T.; Liu, Y.; Zheng, T.; Zheng, C. Effects of biochar carried microbial agent on compost quality, greenhouse gas emission and bacterial community during sheep manure composting. Biochar 2023, 5, 3. [Google Scholar] [CrossRef]
  34. Liu, T.; Kumar Awasthi, M.; Kumar Awasthi, S.; Ren, X.; Liu, X.; Zhang, Z. Influence of fine coal gasification slag on greenhouse gases emission and volatile fatty acids during pig manure composting. Bioresour. Technol. 2020, 316, 123915. [Google Scholar] [CrossRef]
  35. Li, R.; Xu, K.; Ali, A.; Deng, H.; Cai, H.; Wang, Q.; Pan, J.; Chang, C.-C.; Liu, H.; Zhang, Z. Sulfur-aided composting facilitates ammonia release mitigation, endocrine disrupting chemicals degradation and biosolids stabilization. Bioresour. Technol. 2020, 312, 123653. [Google Scholar] [CrossRef] [PubMed]
  36. Wang, C.; Jia, Y.; Li, J.; Li, P.; Wang, Y.; Yan, F.; Wu, M.; Fang, W.; Xu, F.; Qiu, Z. Influence of microbial augmentation on contaminated manure composting: Metal immobilization, matter transformation, and bacterial response. J. Hazard. Mater. 2023, 441, 129762. [Google Scholar] [CrossRef]
  37. Rashad, F.M.; Saleh, W.D.; Moselhy, M.A. Bioconversion of rice straw and certain agro-industrial wastes to amendments for organic farming systems: 1. Composting, quality, stability and maturity indices. Bioresour. Technol. 2010, 101, 5952–5960. [Google Scholar] [CrossRef]
  38. Zhang, D.; Luo, W.; Li, Y.; Wang, G.; Li, G. Performance of co-composting sewage sludge and organic fraction of municipal solid waste at different proportions. Bioresour. Technol. 2018, 250, 853–859. [Google Scholar] [CrossRef]
  39. Gong, X.; Cai, L.; Li, S.; Chang, S.X.; Sun, X.; An, Z. Bamboo biochar amendment improves the growth and reproduction of Eisenia fetida and the quality of green waste vermicompost. Ecotoxicol. Environ. Saf. 2018, 156, 197–204. [Google Scholar] [CrossRef]
  40. Ammayen, I.; Errami, M.; Ben-Aazza, S.; Iberache, N.; El Housse, M.; Ourouadi, S.; Castanho, R.A.; Loures, L.; Belattar, M.; Hadfi, A. From Marine and Agricultural Waste to Soil Health: Optimized Co-Composting of Sardine By-Products and Tomato Plant Biomass for Sustainable Agriculture and Environmental Protection. Compost Sci. Util. 2025, 32, 120–146. [Google Scholar] [CrossRef]
  41. Wang, M.; Liu, Y.; Wang, S.; Wang, K.; Zhang, Y. Development of a compound microbial agent beneficial to the composting of Chinese medicinal herbal residues. Bioresour. Technol. 2021, 330, 124948. [Google Scholar] [CrossRef]
  42. Wang, M.; Wu, Y.; Zhao, J.; Liu, Y.; Gao, L.; Jiang, Z.; Zhang, J.; Tian, W. Comparison of composting factors, heavy metal immobilization, and microbial activity after biochar or lime application in straw-manure composting. Bioresour. Technol. 2022, 363, 127872. [Google Scholar] [CrossRef] [PubMed]
  43. Li, M.; Li, S.; Meng, Q.; Chen, S.; Wang, J.; Guo, X.; Ding, F.; Shi, L. Feedstock optimization with rice husk chicken manure and mature compost during chicken manure composting: Quality and gaseous emissions. Bioresour. Technol. 2023, 387, 129694. [Google Scholar] [CrossRef]
  44. Abdi, R.; Shahgholi, G.; Sharabiani, V.R.; Fanaei, A.R.; Szymanek, M. Prediction compost criteria of organic wastes with Biochar additive in in-vessel composting machine using ANFIS and ANN methods. Energy Rep. 2023, 9, 1684–1695. [Google Scholar] [CrossRef]
  45. Chi, Y.; Ma, X.; Wu, J.; Wang, R.; Zhang, X.; Chu, S.; Zhang, D.; Zhou, P. Plant growth promoting endophyte promotes cadmium accumulation in Solanum nigrum L. by regulating plant homeostasis. J. Hazard. Mater. 2023, 457, 131866. [Google Scholar] [CrossRef]
  46. Zhang, X.; Zhang, D.; Yan, Y.; Wang, R.; Chi, Y.; Zhang, D.; Zhou, P.; Chu, S. Enhancing aerobic composting performance of high-salt oily food waste with Bacillus safensis YM1. Bioresour. Technol. 2024, 397, 130475. [Google Scholar] [CrossRef]
  47. Ji, Y.; Wang, N.; Yang, N.; Chen, X.; Liu, Q.; Wang, Z.; Shi, J.; Liu, L. Multivariate insights into the effects of inoculating thermophilic aerobic bacteria on the biodegradation of food waste: Process properties, organic degradation and bacterial communities. Environ. Technol. Innov. 2023, 29, 102968. [Google Scholar] [CrossRef]
  48. López-González, J.A.; Estrella-González, M.J.; Lerma-Moliz, R.; Jurado, M.M.; Suárez-Estrella, F.; López, M.J. Industrial Composting of Sewage Sludge: Study of the Bacteriome, Sanitation, and Antibiotic-Resistant Strains. Front. Microbiol. 2021, 12, 784071. [Google Scholar] [CrossRef]
  49. Zhu, L.; Wang, X.; Liu, L.; Le, B.; Tan, C.; Dong, C.; Yao, X.; Hu, B. Fungi play a crucial role in sustaining microbial networks and accelerating organic matter mineralization and humification during thermophilic phase of composting. Environ. Res. 2024, 254, 119155. [Google Scholar] [CrossRef] [PubMed]
  50. Zhang, W.; Yu, C.; Wang, X.; Yin, S.; Chang, X. Additives improved saprotrophic fungi for formation of humic acids in chicken manure and corn stover mix composting. Bioresour. Technol. 2022, 346, 126626. [Google Scholar] [CrossRef] [PubMed]
  51. Wang, H.-y.; Fan, B.-q.; Hu, Q.-x.; Yin, Z.-w. Effect of inoculation with Penicillium expansum on the microbial community and maturity of compost. Bioresour. Technol. 2011, 102, 11189–11193. [Google Scholar] [CrossRef]
  52. Liu, J.; Shen, Y.; Ding, J.; Luo, W.; Zhou, H.; Cheng, H.; Wang, H.; Zhang, X.; Wang, J.; Xu, P.; et al. High oil content inhibits humification in food waste composting by affecting microbial community succession and organic matter degradation. Bioresour. Technol. 2023, 376, 128832. [Google Scholar] [CrossRef]
  53. Kumar, V.; Singh, V.S.; Sahu, P.K.; Mishra, T.; Chaurasia, R.; Tripathi, V.; Jaiswal, D.K. Role of Microbial Enzymes in Agro-waste Composting: A Comprehensive Review. Waste Biomass Valorization 2025. [Google Scholar] [CrossRef]
  54. Lin, C.; Cheruiyot, N.K.; Bui, X.T.; Ngo, H.H. Composting and its application in bioremediation of organic contaminants. Bioengineered 2022, 13, 1073–1089. [Google Scholar] [CrossRef]
  55. Xing, R.; Yang, X.; Sun, H.; Ye, X.; Liao, H.; Qin, S.; Chen, Z.; Zhou, S. Extensive production and evolution of free radicals during composting. Bioresour. Technol. 2022, 359, 127491. [Google Scholar] [CrossRef] [PubMed]
  56. Wang, Y.; Wei, Y.; Zhou, K.; Gao, X.; Chang, Y.; Zhang, K.; Deng, J.; Zhan, Y.; Li, J.; Li, R.; et al. Regulating pH and Phanerochaete chrysosporium inoculation improved the humification and succession of fungal community at the cooling stage of composting. Bioresour. Technol. 2023, 384, 129291. [Google Scholar] [CrossRef]
Figure 1. Changes in (a) temperature, (b) electrical conductivity, (c) pH, and (d) Germination index under different composting treatments. Different lowercase letters indicate significant differences within the same treatment across composting time (p < 0.05). Different uppercase letters indicate significant differences within the same treatment across composting time (p < 0.05). The difference between groups was expressed with *; ns indicates no significant difference (p < 0.05). EC: electric conductivity; GI: Germination index. CK—without microbial inoculation; T—added cellulose-degrading microbial inoculants.
Figure 1. Changes in (a) temperature, (b) electrical conductivity, (c) pH, and (d) Germination index under different composting treatments. Different lowercase letters indicate significant differences within the same treatment across composting time (p < 0.05). Different uppercase letters indicate significant differences within the same treatment across composting time (p < 0.05). The difference between groups was expressed with *; ns indicates no significant difference (p < 0.05). EC: electric conductivity; GI: Germination index. CK—without microbial inoculation; T—added cellulose-degrading microbial inoculants.
Agronomy 16 00079 g001
Figure 2. The character of TN (a), TOC (b), TP (c), TK (d), and C/N (e) during composting. Different lowercase letters (a–d) indicate significant differences within the same treatment across composting time (p < 0.05). Different uppercase letters indicate significant differences within the same treatment across composting time (p < 0.05). Differences between CK and T at the same sampling time are indicated by * (p < 0.05), while ns indicates no significant difference. TN: Total nitrogen; TOC: Total organic carbon; TP: Total phosphorus; TK: Total potassium; C/N: Carbon–Nitrogen ratio. CK—without microbial inoculation; T—added cellulose-degrading microbial inoculants.
Figure 2. The character of TN (a), TOC (b), TP (c), TK (d), and C/N (e) during composting. Different lowercase letters (a–d) indicate significant differences within the same treatment across composting time (p < 0.05). Different uppercase letters indicate significant differences within the same treatment across composting time (p < 0.05). Differences between CK and T at the same sampling time are indicated by * (p < 0.05), while ns indicates no significant difference. TN: Total nitrogen; TOC: Total organic carbon; TP: Total phosphorus; TK: Total potassium; C/N: Carbon–Nitrogen ratio. CK—without microbial inoculation; T—added cellulose-degrading microbial inoculants.
Agronomy 16 00079 g002
Figure 3. The (a) bacterial alpha diversity and (b) fungal alpha diversity in two different composts. CK—without microbial inoculation; T—added cellulose-degrading microbial inoculants.
Figure 3. The (a) bacterial alpha diversity and (b) fungal alpha diversity in two different composts. CK—without microbial inoculation; T—added cellulose-degrading microbial inoculants.
Agronomy 16 00079 g003
Figure 4. The bacterial community at (a) phylum and (b) genus levels (top 10). The fungal community at (c) phylum and (d) genus levels (top 10). The microbial beta diversity indexes and community structures in two different composts. Nonmetric Multidimensional Scaling (NMDS) analysis of (e) bacteria and (f) fungi. CK—without microbial inoculation; T—added cellulose-degrading microbial inoculants.
Figure 4. The bacterial community at (a) phylum and (b) genus levels (top 10). The fungal community at (c) phylum and (d) genus levels (top 10). The microbial beta diversity indexes and community structures in two different composts. Nonmetric Multidimensional Scaling (NMDS) analysis of (e) bacteria and (f) fungi. CK—without microbial inoculation; T—added cellulose-degrading microbial inoculants.
Agronomy 16 00079 g004
Figure 5. Redundancy Analysis (RDA) and Hierarchical Partitioning plots: (a) RDA of bacterial communities and environmental factors; (b) RDA of fungal communities and environmental factors; (c) hierarchical partitioning of bacterial communities with environmental factors; (d) hierarchical partitioning of fungal communities with environmental factors. Asterisks denote statistical significance levels: ** p < 0.01, *** p < 0.001. CK—without microbial inoculation; T—added cellulose—degrading microbial inoculants.
Figure 5. Redundancy Analysis (RDA) and Hierarchical Partitioning plots: (a) RDA of bacterial communities and environmental factors; (b) RDA of fungal communities and environmental factors; (c) hierarchical partitioning of bacterial communities with environmental factors; (d) hierarchical partitioning of fungal communities with environmental factors. Asterisks denote statistical significance levels: ** p < 0.01, *** p < 0.001. CK—without microbial inoculation; T—added cellulose—degrading microbial inoculants.
Agronomy 16 00079 g005
Table 1. Study the characteristics of raw materials.
Table 1. Study the characteristics of raw materials.
Raw MaterialsMoisture (%)Organic Matter (%)TN (%)TK (%)TP (%)
Sheep manure40.13 ± 1.2531.54 ± 0.892.24 ± 0.110.78 ± 0.011.17 ± 0.01
Saw dust10.23 ± 1.0375.30 ± 1.990.36 ± 0.010.09 ± 0.000.01 ± 0.00
Disclaimer/Publisher’s Note: The statements, opinions and data contained in all publications are solely those of the individual author(s) and contributor(s) and not of MDPI and/or the editor(s). MDPI and/or the editor(s) disclaim responsibility for any injury to people or property resulting from any ideas, methods, instructions or products referred to in the content.

Share and Cite

MDPI and ACS Style

Zhou, Z.; Zhang, Y.; Li, C.; Chai, X.; He, S.; Lei, Y.; Fu, W. Cellulolytic Microbial Inoculation Enhances Sheep Manure Composting by Improving Nutrient Retention and Reshaping Microbial Community Structure. Agronomy 2026, 16, 79. https://doi.org/10.3390/agronomy16010079

AMA Style

Zhou Z, Zhang Y, Li C, Chai X, He S, Lei Y, Fu W. Cellulolytic Microbial Inoculation Enhances Sheep Manure Composting by Improving Nutrient Retention and Reshaping Microbial Community Structure. Agronomy. 2026; 16(1):79. https://doi.org/10.3390/agronomy16010079

Chicago/Turabian Style

Zhou, Ze, Yincui Zhang, Changning Li, Xiaohong Chai, Shanmu He, Yang Lei, and Weigang Fu. 2026. "Cellulolytic Microbial Inoculation Enhances Sheep Manure Composting by Improving Nutrient Retention and Reshaping Microbial Community Structure" Agronomy 16, no. 1: 79. https://doi.org/10.3390/agronomy16010079

APA Style

Zhou, Z., Zhang, Y., Li, C., Chai, X., He, S., Lei, Y., & Fu, W. (2026). Cellulolytic Microbial Inoculation Enhances Sheep Manure Composting by Improving Nutrient Retention and Reshaping Microbial Community Structure. Agronomy, 16(1), 79. https://doi.org/10.3390/agronomy16010079

Note that from the first issue of 2016, this journal uses article numbers instead of page numbers. See further details here.

Article Metrics

Article metric data becomes available approximately 24 hours after publication online.
Back to TopTop