Sign in to use this feature.

Years

Between: -

Subjects

remove_circle_outline
remove_circle_outline
remove_circle_outline
remove_circle_outline
remove_circle_outline
remove_circle_outline
remove_circle_outline
remove_circle_outline
remove_circle_outline

Journals

Article Types

Countries / Regions

Search Results (174)

Search Parameters:
Keywords = reanalysis weather prediction models

Order results
Result details
Results per page
Select all
Export citation of selected articles as:
20 pages, 8003 KB  
Article
Construction of a Model for Estimating PM2.5 Concentration in the Yangtze River Delta Urban Agglomeration Based on Missing Value Interpolation of Satellite AOD Data and a Machine Learning Algorithm
by Jiang Qiu, Xiaoyan Dai and Liguo Zhou
Atmosphere 2026, 17(1), 11; https://doi.org/10.3390/atmos17010011 - 22 Dec 2025
Viewed by 157
Abstract
Air pollution is an important environmental issue that affects social development and human life. Atmospheric fine particulate matter (PM2.5) is the primary pollutant affecting the air quality of most cities in the authors’ country. It can cause severe haze, reduce air [...] Read more.
Air pollution is an important environmental issue that affects social development and human life. Atmospheric fine particulate matter (PM2.5) is the primary pollutant affecting the air quality of most cities in the authors’ country. It can cause severe haze, reduce air visibility and cleanliness, and affect people’s daily lives and health. Therefore, it has become a primary research object. Ground monitoring and satellite remote sensing are currently the main ways to obtain PM2.5 data. Satellite remote sensing technology has the advantages of macro-scale, dynamic, and real-time functioning, which can make up for the limitations of the uneven distribution and high cost of ground monitoring stations. Therefore, it provides an effective means to establish a mathematical model—based on atmospheric aerosol optical thickness data obtained through satellite remote sensing and PM2.5 concentration data measured by ground monitoring stations—in order to estimate the PM2.5 concentration and temporal and spatial distribution. This study takes the Yangtze River Delta region as the research area. Based on the measured PM2.5 concentration data obtained from 184 ground monitoring stations in 2023, the newly released sixth version of the MODIS aerosol optical depth product obtained via the US Terra and Aqua satellites is used as the main prediction factor. Dark-pixel AOD data with a 3 km resolution and dark-blue AOD data with a 10 km resolution are combined with the European Center for Medium-Range Weather Forecasts (ECMWF) reanalysis meteorological, land use, road network, and population density data and other auxiliary prediction factors, and XGBoost and LSTM models are used to achieve high-precision estimation of the spatiotemporal changes in PM2.5 concentration in the Yangtze River Delta region. Full article
(This article belongs to the Special Issue Observation and Properties of Atmospheric Aerosol)
Show Figures

Figure 1

17 pages, 4378 KB  
Article
Increasing Atmospheric Surface Spread in an Ensemble Model Using Land Cover Fraction Perturbations
by Meelis J. Zidikheri, Peter John Steinle and Imtiaz Dharssi
Atmosphere 2025, 16(12), 1366; https://doi.org/10.3390/atmos16121366 - 1 Dec 2025
Viewed by 305
Abstract
Operational ensemble numerical weather prediction models are typically underspread near the land surface, with the Australian Bureau of Meteorology’s (BoM) global system being a typical example. In this study, land surface fraction values, representing the estimated proportions of various land cover types, are [...] Read more.
Operational ensemble numerical weather prediction models are typically underspread near the land surface, with the Australian Bureau of Meteorology’s (BoM) global system being a typical example. In this study, land surface fraction values, representing the estimated proportions of various land cover types, are perturbed with the aim of increasing the ensemble spread at the surface. The perturbations are achieved by multiplying the existing land surface fraction estimates by spatially correlated random error structures that represent the uncertainties in these estimates. The methodology was trialed over a 75-day period during the Australian summer of 2017–2018 when both perturbed and unperturbed forecasting cycling experiments were run. The results showed that land surface fraction perturbations increased surface temperature, sensible heat flux, and latent heat flux ensemble spread significantly, especially in the tropics and over the Australian region. The screen-level temperature ensemble spread also increased, albeit by a relatively smaller magnitude compared to the surface temperature ensemble spread. Root-mean square error values—as measured relative to reanalysis data—were also found to be smaller in the perturbed runs, leading to significantly improved spread-to-skill ratio values. Full article
(This article belongs to the Section Meteorology)
Show Figures

Figure 1

28 pages, 7633 KB  
Article
Physics-Informed Transformer Networks for Interpretable GNSS-R Wind Speed Retrieval
by Zao Zhang, Jingru Xu, Guifei Jing, Dongkai Yang and Yue Zhang
Remote Sens. 2025, 17(23), 3805; https://doi.org/10.3390/rs17233805 - 24 Nov 2025
Viewed by 637
Abstract
Global Navigation Satellite System Reflectometry (GNSS-R) provides all-weather, high-resolution ocean wind speed monitoring that offers additional benefits for forecasting tropical cyclones and severe weather events. However, existing GNSS-R wind retrieval models often lack interpretability and suffer accuracy degradation during high wind conditions. To [...] Read more.
Global Navigation Satellite System Reflectometry (GNSS-R) provides all-weather, high-resolution ocean wind speed monitoring that offers additional benefits for forecasting tropical cyclones and severe weather events. However, existing GNSS-R wind retrieval models often lack interpretability and suffer accuracy degradation during high wind conditions. To address these limitations, we leverage a mathematical equivalence between Transformers and graph neural networks (GNNs) on complete graphs, which provides a physically grounded interpretation of self-attention as spatiotemporal influence propagation in GNSS-R data. In our model, each GNSS-R footprint is treated as a graph node whose multi-head self-attention weights quantify localized interactions across space and time. This aligns physical influence propagation with the computational efficiency of GPU-accelerated Transformers. Multi-head attention disentangles processes at multiple scales—capturing local (25–100 km), mesoscale (100 km–500 km), and synoptic (>500 km) circulation patterns. When applied to Level 1 Version 3.2 data (2023–2024) from four Asian sea regions, our Transformer–GNN achieves an overall wind speed RMSE reduction of 32% (to 1.35 m s−1 from 1.98 m s−1) and substantial gains in high-wind regimes (winds >25 m s−1: 3.2 m s−1 RMSE). The model is trained on ERA5 reanalysis 10 m equivalent-neutral wind fields, which serve as the primary reference dataset, with independent validation performed against Stepped Frequency Microwave Radiometer (SFMR) aircraft observations during tropical cyclone events and moored buoy measurements where spatiotemporally coincident data are available. Interpretability analysis with SHAP reveals condition-dependent feature attributions and suggests coupling mechanisms between ocean surface currents and wind fields. These results demonstrate that our model advances both predictive accuracy and interpretability in GNSS-R wind retrieval. With operationally viable inference performance, our framework offers a promising approach toward interpretable, physics-aware Earth system AI applications. Full article
(This article belongs to the Special Issue Remote Sensing-Driven Digital Twins for Climate-Adaptive Cities)
Show Figures

Figure 1

29 pages, 7291 KB  
Article
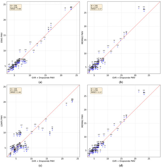
An Airborne G-Band Water Vapor Radiometer and Dropsonde Validation of Reanalysis and NWP Precipitable Water Vapor over the Korean Peninsula
by Min-Seong Kim and Tae-Young Goo
Remote Sens. 2025, 17(23), 3788; https://doi.org/10.3390/rs17233788 - 21 Nov 2025
Viewed by 376
Abstract
Accurate representation of Precipitable Water Vapor (PWV) in numerical models is critical over the meteorologically complex Korean Peninsula, yet validation remains a challenge. This study presents a unique airborne validation of hourly PWV from two local Numerical Weather Prediction (NWP) models—the Local Data [...] Read more.
Accurate representation of Precipitable Water Vapor (PWV) in numerical models is critical over the meteorologically complex Korean Peninsula, yet validation remains a challenge. This study presents a unique airborne validation of hourly PWV from two local Numerical Weather Prediction (NWP) models—the Local Data Assimilation and Prediction System (LDAPS) and the Korea Local Analysis and Prediction System (KLAPS)—and two global reanalysis datasets—the ECMWF Reanalysis v5 (ERA5) and the Modern-Era Retrospective Analysis for Research and Applications, Version 2 (MERRA-2). We utilize a G-band Water Vapor Radiometer (GVR) and dropsondes, applying a rigorous multi-stage quality control (QC) procedure to ensure data reliability. Two strategies were used: comparing GVR-measured upper-column PWV against model layers and comparing a total-column GVR–dropsonde composite against the models’ total PWV. Our key finding reveals that the ERA5 reanalysis consistently provides the most accurate representation of both upper-air and total column PWV. In contrast, the high-resolution local models exhibit significant dry biases, particularly in moist and cloudy conditions. These results underscore the value of airborne validation and suggest that for water vapor analysis over Korea, ERA5 serves as a more reliable benchmark than local models, highlighting the need to improve humidity assimilation and microphysics in regional systems. Full article
(This article belongs to the Section Atmospheric Remote Sensing)
Show Figures

Figure 1

20 pages, 3331 KB  
Article
Comparison of Typical Meteorological Years for Assessment and Simulation of Renewable Energy Systems
by Sebastian Pater and Krzysztof Szczotka
Energies 2025, 18(22), 6063; https://doi.org/10.3390/en18226063 - 20 Nov 2025
Viewed by 584
Abstract
Selecting accurate climatic data is crucial for reliable simulations of Renewable Energy Systems (RESs) and the assessment of building energy performance, particularly under ongoing global climate change. Typical Meteorological Year (TMY) datasets are widely used to represent long-term average weather conditions. However, they [...] Read more.
Selecting accurate climatic data is crucial for reliable simulations of Renewable Energy Systems (RESs) and the assessment of building energy performance, particularly under ongoing global climate change. Typical Meteorological Year (TMY) datasets are widely used to represent long-term average weather conditions. However, they may not fully capture regional climatic variability, recent temperature or solar radiation trends, potentially leading to substantial discrepancies in simulation outcomes. Despite the widespread use of TMY and reanalysis datasets, limited studies have systematically compared multiple contemporary meteorological databases in the context of RES simulations across Europe. This study evaluates and compares five meteorological databases—Meteonorm, TMY, TMYx, ERA5, and SARAH3—for twenty European capitals located between 38° and 56° N. A transient model developed in TRNSYS was employed to assess the performance of photovoltaic and solar collector systems with different datasets. The results reveal significant differences between datasets, with deviations reaching up to 200–300 kWh/m2 in annual total horizontal radiation and 40–50% in simulated useful energy gains. PV efficiency remained relatively stable across Europe (17.7–18.7%) with very low standard deviation (<0.12%), while SC efficiency showed higher variability (25.8–28.7%). The findings demonstrate that the choice of climatic database can substantially influence energy yield predictions, technical optimization, thereby introducing significant uncertainty into the economic bankability assessment of renewable energy projects, especially in Central and Northern Europe, where climatic variability is more pronounced. The study emphasizes the need for careful database selection and periodic validation of TMY datasets in the context of evolving climatic conditions to ensure accurate, risk-aware, and future-proof energy system simulations. Full article
(This article belongs to the Section B: Energy and Environment)
Show Figures

Figure 1

28 pages, 4303 KB  
Article
Parameterization by Statistical Theory on Turbulence Applied to the BAM-INPE Global Meteorological Model
by Eduardo R. Eras, Paulo Y. Kubota, Juliana A. Anochi and Haroldo F. de Campos Velho
Meteorology 2025, 4(3), 25; https://doi.org/10.3390/meteorology4030025 - 11 Sep 2025
Viewed by 652
Abstract
A parameterization for the planetary boundary layer (PBL) based on the statistical theory of turbulence formulated by Geoffrey Ingram Taylor is derived to be applied in the Brazilian Global Atmospheric Model (BAM). The BAM model is the operational system employed by the National [...] Read more.
A parameterization for the planetary boundary layer (PBL) based on the statistical theory of turbulence formulated by Geoffrey Ingram Taylor is derived to be applied in the Brazilian Global Atmospheric Model (BAM). The BAM model is the operational system employed by the National Institute for Space Research (INPE), Brazil, to produce numerical weather and climate predictions. A comparison of the BAM model simulations using Taylor’s parameterization is carried out against other three turbulent representations. The forecasting from different parameterizations with BAM is evaluated with the ERA-5 reanalysis. Predictions were performed on different initial conditions, representing two types of climate seasons: dry and wet seasons, for the Southern Hemisphere. The comparison shows that Taylor’s approach is competitive with other turbulence parameterizations, especially for the dry season. It must be highlighted that the forecasting over the Amazon region—one of the regions on the planet with the most intense rainfall, where Taylor’s approach provided more effective precipitation forecasting, a particularly challenging meteorological variable to predict. Full article
Show Figures

Figure 1

17 pages, 424 KB  
Article
HyMePre: A Spatial–Temporal Pretraining Framework with Hypergraph Neural Networks for Short-Term Weather Forecasting
by Fei Wang, Dawei Lin, Baojun Chen, Guodong Jing, Yi Geng, Xudong Ge, Daoming Wei and Ning Zhang
Appl. Sci. 2025, 15(15), 8324; https://doi.org/10.3390/app15158324 - 26 Jul 2025
Cited by 1 | Viewed by 1529
Abstract
Accurate short-term weather forecasting plays a vital role in disaster response, agriculture, and energy management, where timely and reliable predictions are essential for decision-making. Graph neural networks (GNNs), known for their ability to model complex spatial structures and relational data, have achieved remarkable [...] Read more.
Accurate short-term weather forecasting plays a vital role in disaster response, agriculture, and energy management, where timely and reliable predictions are essential for decision-making. Graph neural networks (GNNs), known for their ability to model complex spatial structures and relational data, have achieved remarkable success in meteorological forecasting by effectively capturing spatial dependencies among distributed weather stations. However, most existing GNN-based approaches rely on pairwise station connections, limiting their capacity to represent higher-order spatial interactions. Moreover, their dependence on supervised learning makes them vulnerable to spatial heterogeneity and temporal non-stationarity. This paper introduces a novel spatial–temporal pretraining framework, Hypergraph-enhanced Meteorological Pretraining (HyMePre), which combines hypergraph neural networks with self-supervised learning to model high-order spatial dependencies and improve generalization across diverse climate regimes. HyMePre employs a two-stage masking strategy, applying spatial and temporal masking separately, to learn disentangled representations from unlabeled meteorological time series. During forecasting, dynamic hypergraphs group stations based on meteorological similarity, explicitly capturing high-order dependencies. Extensive experiments on large-scale reanalysis datasets show that HyMePre outperforms conventional GNN models in predicting temperature, humidity, and wind speed. The integration of pretraining and hypergraph modeling enhances robustness to noisy data and improves generalization to unseen climate patterns, offering a scalable and effective solution for operational weather forecasting. Full article
Show Figures

Figure 1

21 pages, 6329 KB  
Article
Mesoscale Analysis and Numerical Simulation of an Extreme Precipitation Event on the Northern Slope of the Middle Kunlun Mountains in Xinjiang, China
by Chenxiang Ju, Man Li, Xia Yang, Yisilamu Wulayin, Ailiyaer Aihaiti, Qian Li, Weilin Shao, Junqiang Yao and Zonghui Liu
Remote Sens. 2025, 17(14), 2519; https://doi.org/10.3390/rs17142519 - 19 Jul 2025
Viewed by 885
Abstract
Under accelerating global warming, the northern slope of the Middle Kunlun Mountains in Xinjiang, China, has seen a marked rise in extreme rainfall, posing increasing challenges for flood risk management and water resources. To improve our predictive capabilities and deepen our understanding of [...] Read more.
Under accelerating global warming, the northern slope of the Middle Kunlun Mountains in Xinjiang, China, has seen a marked rise in extreme rainfall, posing increasing challenges for flood risk management and water resources. To improve our predictive capabilities and deepen our understanding of the driving mechanisms, we combine the European Centre for Medium-Range Weather Forecasts Reanalysis-5 (ERA5) reanalysis, regional observations, and high-resolution Weather Research and Forecasting model (WRF) simulations to dissect the 14–17 June 2021, extreme rainfall event. A deep Siberia–Central Asia trough and nascent Central Asian vortex established a coupled upper- and low-level jet configuration that amplified large-scale ascent. Embedded shortwaves funnelled abundant moisture into the orographic basin, where strong low-level moisture convergence and vigorous warm-sector updrafts triggered and sustained deep convection. WRF reasonably replicated observed wind shear and radar echoes, revealing the descent of a mid-level jet into an ultra-low-level jet that provided a mesoscale engine for storm intensification. Momentum–budget diagnostics underscore the role of meridional momentum transport along sloping terrain in reinforcing low-level convergence and shear. Together, these synoptic-to-mesoscale interactions and moisture dynamics led to this landmark extreme-precipitation event. Full article
Show Figures

Graphical abstract

21 pages, 5333 KB  
Article
Climate Extremes, Vegetation, and Lightning: Regional Fire Drivers Across Eurasia and North America
by Flavio Justino, David H. Bromwich, Jackson Rodrigues, Carlos Gurjão and Sheng-Hung Wang
Fire 2025, 8(7), 282; https://doi.org/10.3390/fire8070282 - 16 Jul 2025
Viewed by 1632
Abstract
This study examines the complex interactions among soil moisture, evaporation, extreme weather events, and lightning, and their influence on fire activity across the extratropical and Pan-Arctic regions. Leveraging reanalysis and remote-sensing datasets from 2000 to 2020, we applied cross-correlation analysis, a modified Mann–Kendall [...] Read more.
This study examines the complex interactions among soil moisture, evaporation, extreme weather events, and lightning, and their influence on fire activity across the extratropical and Pan-Arctic regions. Leveraging reanalysis and remote-sensing datasets from 2000 to 2020, we applied cross-correlation analysis, a modified Mann–Kendall trend test, and assessments of interannual variability to key variables including soil moisture, fire frequency and risk, evaporation, and lightning. Results indicate a significant increase in dry days (up to 40%) and heatwave events across Central Eurasia and Siberia (up to 50%) and Alaska (25%), when compared to the 1980–2000 baseline. Upward trends have been detected in evaporation across most of North America, consistent with soil moisture trends, while much of Eurasia exhibits declining soil moisture. Fire danger shows a strong positive correlation with evaporation north of 60° N (r ≈ 0.7, p ≤ 0.005), but a negative correlation in regions south of this latitude. These findings suggest that in mid-latitude ecosystems, fire activity is not solely driven by water stress or atmospheric dryness, highlighting the importance of region-specific surface–atmosphere interactions in shaping fire regimes. In North America, most fires occur in temperate grasslands, savannas, and shrublands (47%), whereas in Eurasia, approximately 55% of fires are concentrated in forests/taiga and temperate open biomes. The analysis also highlights that lightning-related fires are more prevalent in Eastern Europe and Southeastern Asia. In contrast, Western North America exhibits high fire incidence in temperate conifer forests despite relatively low lightning activity, indicating a dominant role of anthropogenic ignition. These findings underscore the importance of understanding land–atmosphere interactions in assessing fire risk. Integrating surface conditions, climate extremes, and ignition sources into fire prediction models is crucial for developing more effective wildfire prevention and management strategies. Full article
(This article belongs to the Section Fire Science Models, Remote Sensing, and Data)
Show Figures

Graphical abstract

21 pages, 3551 KB  
Article
Super-Resolution for Renewable Energy Resource Data with Wind from Reanalysis Data and Application to Ukraine
by Brandon N. Benton, Grant Buster, Pavlo Pinchuk, Andrew Glaws, Ryan N. King, Galen Maclaurin and Ilya Chernyakhovskiy
Energies 2025, 18(14), 3769; https://doi.org/10.3390/en18143769 - 16 Jul 2025
Viewed by 1241
Abstract
With a potentially increasing share of the electricity grid relying on wind to provide generating capacity and energy, there is an expanding global need for historically accurate, spatiotemporally continuous, high-resolution wind data. Conventional downscaling methods for generating these data based on numerical weather [...] Read more.
With a potentially increasing share of the electricity grid relying on wind to provide generating capacity and energy, there is an expanding global need for historically accurate, spatiotemporally continuous, high-resolution wind data. Conventional downscaling methods for generating these data based on numerical weather prediction have a high computational burden and require extensive tuning for historical accuracy. In this work, we present a novel deep learning-based spatiotemporal downscaling method using generative adversarial networks (GANs) for generating historically accurate high-resolution wind resource data from the European Centre for Medium-Range Weather Forecasting Reanalysis version 5 data (ERA5). In contrast to previous approaches, which used coarsened high-resolution data as low-resolution training data, we use true low-resolution simulation outputs. We show that by training a GAN model with ERA5 as the low-resolution input and Wind Integration National Dataset Toolkit (WTK) data as the high-resolution target, we achieved results comparable in historical accuracy and spatiotemporal variability to conventional dynamical downscaling. This GAN-based downscaling method additionally reduces computational costs over dynamical downscaling by two orders of magnitude. We applied this approach to downscale 30 km, hourly ERA5 data to 2 km, 5 min wind data for January 2000 through December 2023 at multiple hub heights over Ukraine, Moldova, and part of Romania. With WTK coverage limited to North America from 2007–2013, this is a significant spatiotemporal generalization. The geographic extent centered on Ukraine was motivated by stakeholders and energy-planning needs to rebuild the Ukrainian power grid in a decentralized manner. This 24-year data record is the first member of the super-resolution for renewable energy resource data with wind from the reanalysis data dataset (Sup3rWind). Full article
Show Figures

Figure 1

16 pages, 2462 KB  
Technical Note
Precipitable Water Vapor Retrieval Based on GNSS Data and Its Application in Extreme Rainfall
by Tian Xian, Ke Su, Jushuo Zhang, Huaquan Hu and Haipeng Wang
Remote Sens. 2025, 17(13), 2301; https://doi.org/10.3390/rs17132301 - 4 Jul 2025
Cited by 1 | Viewed by 2113
Abstract
Water vapor plays a crucial role in maintaining global energy balance and water cycle, and it is closely linked to various meteorological disasters. Precipitable water vapor (PWV), as an indicator of variations in atmospheric water vapor content, has become a key parameter for [...] Read more.
Water vapor plays a crucial role in maintaining global energy balance and water cycle, and it is closely linked to various meteorological disasters. Precipitable water vapor (PWV), as an indicator of variations in atmospheric water vapor content, has become a key parameter for meteorological and climate monitoring. However, due to limitations in observation costs and technology, traditional atmospheric monitoring techniques often struggle to accurately capture the distribution and variations in space–time water vapor. With the continuous advancement of Global Navigation Satellite System (GNSS) technology, ground-based GNSS monitoring technology has shown rapid development momentum in the field of meteorology and is considered an emerging monitoring tool with great potential. Hence, based on the GNSS observation data from July 2023, this study retrieves PWV using the Global Pressure and Temperature 3 (GPT3) model and evaluates its application performance in the “7·31” extremely torrential rain event in Beijing in 2023. Research has found the following: (1) Tropospheric parameters, including the PWV, zenith tropospheric delay (ZTD), and zenith wet delay (ZWD), exhibit high consistency and are significantly affected by weather conditions, particularly exhibiting an increasing-then-decreasing trend during rainfall events. (2) Through comparisons with the PWV values through the integration based on fifth-generation European Centre for Medium-Range Weather Forecasts (ERA-5) reanalysis data, it was found that results obtained using the GPT3 model exhibit high accuracy, with GNSS PWV achieving a standard deviation (STD) of 0.795 mm and a root mean square error (RMSE) of 3.886 mm. (3) During the rainfall period, GNSS PWV remains at a high level (>50 mm), and a strong correlation exists between GNSS PWV and peak hourly precipitation. Furthermore, PWV demonstrates the highest relative contribution in predicting extreme precipitation, highlighting its potential value for monitoring and predicting rainfall events. Full article
Show Figures

Figure 1

15 pages, 5319 KB  
Article
Assessing the Reliability of Seasonal Data in Representing Synoptic Weather Types: A Mediterranean Case Study
by Alexandros Papadopoulos Zachos, Kondylia Velikou, Errikos-Michail Manios, Konstantia Tolika and Christina Anagnostopoulou
Atmosphere 2025, 16(6), 748; https://doi.org/10.3390/atmos16060748 - 18 Jun 2025
Viewed by 1425
Abstract
Seasonal climate forecasts are an essential tool for providing early insight into weather-related impacts and supporting decision-making in sectors such as agriculture, energy, and disaster management. Accurate representation of atmospheric circulation at the seasonal scale is essential, especially in regions such as the [...] Read more.
Seasonal climate forecasts are an essential tool for providing early insight into weather-related impacts and supporting decision-making in sectors such as agriculture, energy, and disaster management. Accurate representation of atmospheric circulation at the seasonal scale is essential, especially in regions such as the Eastern Mediterranean, where complex synoptic patterns drive significant climate variability. The aim of this study is to perform a comparison of weather type classifications between ERA5 reanalysis and seasonal forecasts in order to assess the ability of seasonal data to capture the synoptic patterns over the Eastern Mediterranean. For this purpose, we introduce a regional seasonal forecasting framework based on the state-of-the-art Advanced Research WRF (WRF-ARW) model. A series of sensitivity experiments were also conducted to evaluate the robustness of the model’s performance under different configurations. Moreover, the ability of seasonal data to reproduce observed trends in weather types over the historical period is also examined. The classification results from both ERA5 and seasonal forecasts reveal a consistent dominance of anticyclonic weather types throughout most of the year, with a particularly strong signal during the summer months. Model evaluation indicates that seasonal forecasts achieve an accuracy of approximately 80% in predicting the daily synoptic condition (cyclonic or anticyclonic) up to three months in advance. These findings highlight the promising skill of seasonal datasets in capturing large-scale circulation features and their associated trends in the region. Full article
(This article belongs to the Section Climatology)
Show Figures

Figure 1

23 pages, 12403 KB  
Article
A Comprehensive Ensemble Model for Marine Atmospheric Boundary-Layer Prediction in Meteorologically Sparse and Complex Regions: A Case Study in the South China Sea
by Yehui Chen, Tao Luo, Gang Sun, Wenyue Zhu, Qing Liu, Ying Liu, Xiaomei Jin and Ningquan Weng
Remote Sens. 2025, 17(12), 2046; https://doi.org/10.3390/rs17122046 - 13 Jun 2025
Cited by 3 | Viewed by 1388
Abstract
Marine atmospheric boundary-layer height (MABLH) is crucial for ocean heat, momentum, and substance transfer, affecting ocean circulation, climate, and ecosystems. Due to the unique geographical location of the South China Sea (SCS), coupled with its complex atmospheric environment and sparse ground-based observation stations, [...] Read more.
Marine atmospheric boundary-layer height (MABLH) is crucial for ocean heat, momentum, and substance transfer, affecting ocean circulation, climate, and ecosystems. Due to the unique geographical location of the South China Sea (SCS), coupled with its complex atmospheric environment and sparse ground-based observation stations, accurately determining the MABLH remains challenging. Coherent Doppler wind lidar (CDWL), as a laser-based active remote sensing technology, provides high-resolution wind profiling by transmitting pulsed laser beams and analyzing backscattered signals from atmospheric aerosols. In this study, we developed a stacking optimal ensemble model (SOEM) to estimate MABLH in the vicinity of the site by integrating CDWL measurements from a representative SCS site with ERA5 (fifth-generation reanalysis dataset from the European Centre for Medium-Range Weather Forecasts) data from December 2019 to May 2021. Based on the categorization of the total cloud cover data into weather conditions such as clear/slightly cloudy, cloudy/transitional, and overcast/rainy, the SOEM demonstrates enhanced performance with an average mean absolute percentage error of 3.7%, significantly lower than the planetary boundary-layer-height products of ERA5. The SOEM outperformed random forest, extreme gradient boosting, and histogram-based gradient boosting models, achieving a robustness coefficient (R2) of 0.95 and the lowest mean absolute error of 32 m under the clear/slightly cloudy condition. The validation conducted in the coastal city of Qingdao further confirmed the superiority of the SOEM in resolving meteorological heterogeneity. The predictions of the SOEM aligned well with CDWL observations during Typhoon Sinlaku (2020), capturing dynamic disturbances in MABLH. Overall, the SOEM provides a precise approach for estimating convective boundary-layer height, supporting marine meteorology, onshore wind power, and coastal protection applications. Full article
Show Figures

Graphical abstract

21 pages, 6949 KB  
Article
Estimation of Atmospheric Boundary Layer Turbulence Parameters over the South China Sea Based on Multi-Source Data
by Ying Liu, Tao Luo, Kaixuan Yang, Hanjiu Zhang, Liming Zhu, Shiyong Shao, Shengcheng Cui, Xuebing Li and Ningquan Weng
Remote Sens. 2025, 17(11), 1929; https://doi.org/10.3390/rs17111929 - 2 Jun 2025
Cited by 2 | Viewed by 2099
Abstract
Understanding optical turbulence within the atmospheric boundary layer (ABL) is essential for refining atmospheric motion analyses, enhancing numerical weather prediction models, and improving light propagation assessments. This study develops an optical turbulence model for the boundary layer over the South China Sea (SCS) [...] Read more.
Understanding optical turbulence within the atmospheric boundary layer (ABL) is essential for refining atmospheric motion analyses, enhancing numerical weather prediction models, and improving light propagation assessments. This study develops an optical turbulence model for the boundary layer over the South China Sea (SCS) by integrating multiple observational and reanalysis datasets, including ERA5 data from the European Center for Medium-Range Weather Forecasts (ECMWF), radiosonde observations, coherent Doppler wind lidar (CDWL), and ultrasonic anemometer (CSAT3) measurements. Utilizing Monin–Obukhov Similarity Theory (MOST) as the theoretical foundation, the model’s performance is evaluated by comparing its outputs with the observed diurnal cycle of near-surface optical turbulence. Error analysis indicates a root mean square error (RMSE) of less than 1 and a correlation coefficient exceeding 0.6, validating the model’s predictive capability. Moreover, this study demonstrates the feasibility of employing ERA5-derived temperature and pressure profiles as alternative inputs for optical turbulence modeling while leveraging CDWL’s high-resolution observational capacity for all-weather turbulence characterization. A comprehensive statistical analysis of the atmospheric refractive index structure constant (Cn2) from November 2019 to September 2020 highlights its critical implications for optoelectronic system optimization and astronomical observatory site selection in the SCS region. Full article
(This article belongs to the Section Environmental Remote Sensing)
Show Figures

Graphical abstract

14 pages, 4842 KB  
Article
A CNN-Based Downscaling Model for Macau Temperature Prediction Using ERA5 Reanalysis Data
by Ningqing Pang, Hoiio Kong, Chanseng Wong, Zijun Li, Yu Du and Jeremy Cheuk-Hin Leung
Appl. Sci. 2025, 15(10), 5321; https://doi.org/10.3390/app15105321 - 9 May 2025
Viewed by 775
Abstract
Temperature is a core element of the regional climate system and plays a key role in energy exchange and weather evolution. The current reanalysis of temperature data faces difficulties in providing more accurate geographical temperature data due to insufficient spatial resolution (0.25° × [...] Read more.
Temperature is a core element of the regional climate system and plays a key role in energy exchange and weather evolution. The current reanalysis of temperature data faces difficulties in providing more accurate geographical temperature data due to insufficient spatial resolution (0.25° × 0.25°). In this study, a lightweight downscaling method incorporating a convolutional neural network is proposed to construct a high-resolution temperature prediction model for the Macau region based on ERA5 reanalysis data. Aiming at the existing data due to insufficient resolution, a two-stage convolutional feature extraction module is introduced to optimize the model parameters by combining them with the observation data of Macau meteorological stations. The experimental results show that the accuracy of this method is 21.4% higher than that of the traditional interpolation method in the instantaneous prediction, and the prediction effect in the next 3 h is also very good. The model is expected to be extended to other regions in the future, providing an effective solution for obtaining long-term high-resolution temperature data in other regions, which can support the refinement of meteorological services and climate research. Full article
(This article belongs to the Section Environmental Sciences)
Show Figures

Figure 1

Back to TopTop