Physics-Informed Transformer Networks for Interpretable GNSS-R Wind Speed Retrieval
Highlights
- Physics-informed Transformer-GNN achieves 32% overall improvement in GNSS-R wind speed retrieval (RMSE reduced from 1.98 to 1.35 m/s) with improved performance in extreme weather conditions.
- Mathematical equivalence between Transformers and Graph Neural Networks enables interpretable attention mechanisms that quantify spatiotemporal physical influences in ocean-atmosphere interactions.
- Attention weights provide physically meaningful interpretations of multi-scale atmospheric processes from local (25–100 km) to synoptic (>500 km) scales without sacrificing prediction accuracy.
- The framework addresses the fundamental accuracy-interpretability trade-off in operational meteorology, enabling both improved extreme weather forecasting and actionable insights for meteorologists.
Abstract
1. Introduction
2. Methods
2.1. GNSS-R Physical Foundation and Data Processing
2.1.1. Multi-Source Spatial Alignment Strategy
2.1.2. Temporal Synchronization Framework
2.2. Theoretical Foundation: Transformer-GNN Equivalence for Physical Interpretability
2.2.1. Physical Interpretation Framework
2.2.2. Physics-Informed Multi-Scale Integration
2.2.3. Multi-Scale Physical Process Decomposition
2.3. GNSS-R Physical Node Representation
2.4. Implementation: Hybrid Local-Global Graph Transformer
2.4.1. Spatiotemporal Scale-Aware Encoding
2.4.2. Dual-Stage Processing Framework
2.4.3. Hardware Lottery for Atmospheric Physics
2.4.4. Physical Consistency and Training
2.5. Physics-Informed Training Framework
Loss Formulation
3. Experimental Setup
3.1. Dataset Description
3.1.1. Primary GNSS-R Dataset
3.1.2. Ground Truth and Validation Datasets
3.1.3. Ground Truth Selection and Validation
- Spatiotemporal resolution aligns with CYGNSS sampling, simplifying robust collocation.
- High-quality reanalysis with demonstrated skill over open ocean; widely used as a reference in GNSS-R validation studies [2].
- Global and continuous coverage across 2023–2024, enabling seasonally balanced training.
3.1.4. Data Partitioning Strategy
3.2. Baseline Methods
3.2.1. Traditional Approaches
3.2.2. Machine Learning Baselines
3.2.3. Ablation Study Components
3.3. Evaluation Metrics
3.3.1. Regression Performance Metrics
3.3.2. Wind Speed Range Analysis
3.3.3. Interpretability Metrics
3.4. Implementation Details
3.4.1. Model Architecture Specifications
3.4.2. Training Configuration
3.4.3. Computational Environment
3.4.4. Reproducibility Protocol
4. Results
4.1. Wind Speed Retrieval Performance
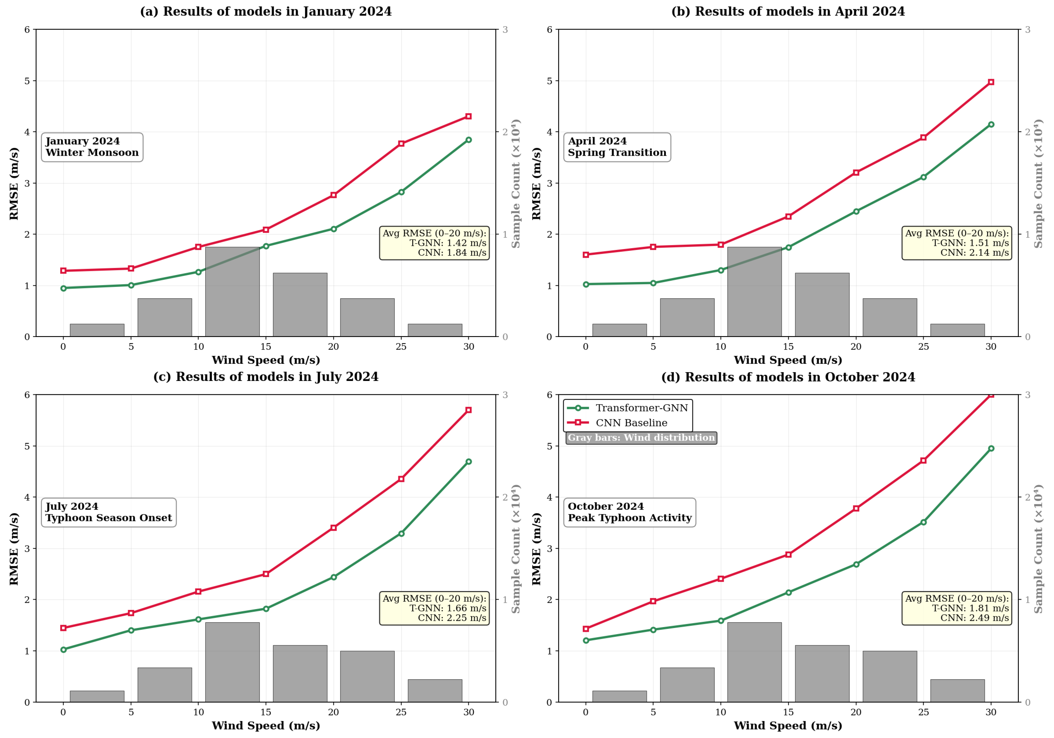
4.2. Temporal Performance Consistency
4.3. Comparison with Operational Wind Products
CYGNSS Official Products
4.4. High Wind Performance Analysis
4.5. Interpretability Validation: Design Logic Confirmation
4.6. Ablation Studies
4.7. Computational Efficiency Analysis
5. Discussion
5.1. Interpretability Analysis
5.2. Ground Truth Choice and Physics Role
5.3. Comparison with Hybrid CNN-Transformer Approaches
5.4. Operational Considerations
5.5. Operational Use Cases for Forecasters
5.6. Limitations and Future Directions
6. Conclusions
6.1. Research Contributions
6.2. Operational Implications
6.3. Limitations and Future Work
6.4. Summary
Author Contributions
Funding
Institutional Review Board Statement
Informed Consent Statement
Data Availability Statement
Acknowledgments
Conflicts of Interest
Abbreviations
| GNSS-R | Global Navigation Satellite System Reflectometry |
| CYGNSS | Cyclone Global Navigation Satellite System |
| GNN | Graph Neural Network |
| CNN | Convolutional Neural Network |
| RMSE | Root Mean Square Error |
| SHAP | SHapley Additive exPlanations |
| DDM | Delay Doppler Map |
| RCG | Radar Cross-Section Gain |
| SFMR | Stepped Frequency Microwave Radiometer |
| ERA5 | Fifth-Generation ECMWF Reanalysis |
| SNR | Signal-to-Noise Ratio |
References
- Ruf, C.S.; Unwin, M.; Dickinson, J.; Rose, R.; Rose, D.; Vincent, M.; Lyons, A. CYGNSS: Enabling the Future of Hurricane Prediction. IEEE Geosci. Remote Sens. Mag. 2013, 1, 52–67. [Google Scholar] [CrossRef]
- Asharaf, S.; Waliser, D.E.; Posselt, D.J.; Ruf, C.S.; Zhang, C.; Putra, A.W. CYGNSS Ocean Surface Wind Validation in the Tropics. J. Atmos. Ocean. Technol. 2021, 38, 711–724. [Google Scholar] [CrossRef]
- Zhu, X.X.; Tuia, D.; Mou, L.; Xia, G.S.; Zhang, L.; Xu, F.; Fraundorfer, F. Deep Learning in Remote Sensing: A Comprehensive Review and List of Resources. IEEE Geosci. Remote Sens. Mag. 2017, 5, 8–36. [Google Scholar] [CrossRef]
- Yuan, Q.; Shen, H.; Li, T.; Li, Z.; Li, S.; Jiang, Y.; Xu, H.; Tan, W.; Yang, Q.; Wang, J.; et al. Deep Learning in Environmental Remote Sensing: Achievements and Challenges. Remote Sens. Environ. 2020, 241, 111716. [Google Scholar] [CrossRef]
- Lundberg, S.M.; Lee, S.I. A Unified Approach to Interpreting Model Predictions. In Proceedings of the Advances in Neural Information Processing Systems, Long Beach, CA, USA, 4–9 December 2017; Volume 30, pp. 4768–4777. [Google Scholar] [CrossRef]
- Ribeiro, M.T.; Singh, S.; Guestrin, C. Why Should I Trust You? Explaining the Predictions of Any Classifier. In Proceedings of the 22nd ACM SIGKDD International Conference on Knowledge Discovery and Data Mining, San Francisco, CA, USA, 13–17 August 2016; pp. 1135–1144. [Google Scholar] [CrossRef]
- Joshi, C.K. Transformers are Graph Neural Networks. arXiv 2025, arXiv:2506.22084. [Google Scholar] [CrossRef]
- Vaswani, A.; Shazeer, N.; Parmar, N.; Uszkoreit, J.; Jones, L.; Gomez, A.N.; Kaiser, L.; Polosukhin, I. Attention Is All You Need. In Proceedings of the Advances in Neural Information Processing Systems, Long Beach, CA, USA, 4–9 December 2017; Curran Associates Inc.: Red Hook, NY, USA, 2017; Volume 30, pp. 5998–6008. [Google Scholar] [CrossRef]
- Veličković, P.; Cucurull, G.; Casanova, A.; Romero, A.; Liò, P.; Bengio, Y. Graph Attention Networks. In Proceedings of the International Conference on Learning Representations (ICLR), Vancouver, BC, Canada, 30 April–3 May 2018. [Google Scholar] [CrossRef]
- Ying, C.; Cai, T.; Luo, S.; Zheng, S.; Ke, G.; He, D.; Shen, Y.; Liu, T.Y. Do Transformers Really Perform Badly for Graph Representation? In Proceedings of the Advances in Neural Information Processing Systems, Online, 6–14 December 2021; Volume 34, pp. 28877–28888. [Google Scholar] [CrossRef]
- Kipf, T.N.; Welling, M. Semi-Supervised Classification with Graph Convolutional Networks. In Proceedings of the International Conference on Learning Representations (ICLR), Toulon, France, 24–26 April 2017. [Google Scholar] [CrossRef]
- Kreuzer, D.; Beaini, D.; Hamilton, W.L.; Létourneau, V.; Tossou, P. Rethinking Graph Transformers with Spectral Attention. In Proceedings of the Advances in Neural Information Processing Systems, Online, 6–14 December 2021; Volume 34, pp. 21618–21629. [Google Scholar] [CrossRef]
- Warnock, A.M.; Ruf, C.S.; Russel, A.; Al-Khaldi, M.M.; Balasubramaniam, R. CYGNSS Level 3 Merged Wind Speed Data Product for Storm Force and Surrounding Environmental Winds. IEEE J. Sel. Top. Appl. Earth Obs. Remote Sens. 2024, 17, 6189–6200. [Google Scholar] [CrossRef]
- Asgarimehr, M.; Arnold, C.; Weigel, T.; Ruf, C.; Wickert, J. GNSS reflectometry global ocean wind speed using deep learning: Development and assessment of CyGNSSnet. Remote Sens. Environ. 2022, 269, 112801. [Google Scholar] [CrossRef]
- Arabi, S.; Asgarimehr, M.; Kada, M.; Wickert, J. Hybrid CNN-LSTM Deep Learning for Track-Wise GNSS-R Ocean Wind Speed Retrieval. Remote Sens. 2023, 15, 4169. [Google Scholar] [CrossRef]
- Lu, C.; Wang, Z.; Wu, Z.; Zheng, Y.; Liu, Y. Global ocean wind speed retrieval from GNSS reflectometry using CNN-LSTM network. IEEE Trans. Geosci. Remote Sens. 2023, 61, 5801112. [Google Scholar] [CrossRef]
- Qiao, X.; Yan, Q.; Huang, W. Hybrid CNN-Transformer Network With a Weighted MSE Loss for Global Sea Surface Wind Speed Retrieval From GNSS-R Data. IEEE Trans. Geosci. Remote Sens. 2025, 63, 4207013. [Google Scholar] [CrossRef]
- Zhang, Z.; Lin, L.; Gao, S.; Wang, J.; Zhao, H.; Yu, H. A machine learning model for hub-height short-term wind speed prediction. Nat. Commun. 2025, 16, 3195. [Google Scholar] [CrossRef] [PubMed]
- Xia, Y.; Guan, D.; Zhou, Z. CNN-SENet: A GNSS-R ocean wind speed retrieval model integrating CNN and SENet attention mechanism. Satell. Navig. 2025, 6, 3. [Google Scholar] [CrossRef]
- Bu, J.; Yu, K.; Zuo, X.; Ni, J.; Li, Y.; Huang, W. GloWS-Net: A deep learning framework for retrieving global sea surface wind speed using spaceborne GNSS-R data. Remote Sens. 2023, 15, 590. [Google Scholar] [CrossRef]
- Zhao, D.; Heidler, K.; Asgarimehr, M.; Arnold, C.; Xiao, T.; Wickert, J.; Zhu, X.X.; Mou, L. DDM-Former: Global ocean wind speed retrieval with Transformer networks. In Proceedings of the IGARSS 2023 - 2023 IEEE International Geoscience and Remote Sensing Symposium, Pasadena, CA, USA, 16–21 July 2023; IEEE: Piscataway, NJ, USA, 2023; pp. 1182–1185. [Google Scholar] [CrossRef]
- Qiao, X.; Huang, W. Ocean Surface Wind Speed Estimation From GNSS-R Data Using Physics-Informed Attention-Aided Convolutional Neural Network. IEEE Trans. Geosci. Remote Sens. 2025, 63, 4210116. [Google Scholar] [CrossRef]
- Anagnostopoulos, S.J.; Toscano, J.D.; Stergiopulos, N.; Karniadakis, G.E. Residual-based attention in physics-informed neural networks. Comput. Methods Appl. Mech. Eng. 2024, 421, 116805. [Google Scholar] [CrossRef]
- Fuks, O.; Tchelepi, H.A.; Schiassi, E.; Lagaris, I.E. Physics-informed attention-based neural networks for hyperbolic partial differential equations: Application to the Buckley-Leverett problem. Sci. Rep. 2022, 12, 7557. [Google Scholar] [CrossRef]
- Ramirez, I.; Pino, J.; Pardo, D.; Sanz, M.; del Rio, L.; Ortiz, A.; Aizpurua, J.I. Residual-based attention physics-informed neural networks for spatio-temporal ageing assessment of transformers operated in renewable power plants. Eng. Appl. Artif. Intell. 2025, 139, 109556. [Google Scholar] [CrossRef]
- Wu, S.; Bao, S.; Dong, W.; Wang, S.; Zhang, X.; Shao, C.; Zhu, J.; Li, X. PGTransNet: A physics-guided transformer network for 3D ocean temperature and salinity predicting in tropical Pacific. Front. Mar. Sci. 2024, 11, 1477710. [Google Scholar] [CrossRef]
- Wang, R.; Ma, L.; He, G.; Johnson, B.A.; Yan, Z.; Chang, M.; Liang, Y. Transformers for Remote Sensing: A Systematic Review and Analysis. Sensors 2024, 24, 3495. [Google Scholar] [CrossRef] [PubMed]
- Yang, J.; Wan, H.; Shang, Z. Enhanced hybrid CNN and transformer network for remote sensing image change detection. Sci. Rep. 2025, 15, 10161. [Google Scholar] [CrossRef]
- Bu, J.; Yu, K.; Ni, J.; Huang, W. Combining ERA5 Data and CYGNSS Observations for the Joint Retrieval of Global Significant Wave Height of Ocean Swell and Wind Wave: A Deep Convolutional Neural Network Approach. J. Geod. 2023, 97, 81. [Google Scholar] [CrossRef]
- Powell, C.E.; Ruf, C.S.; McKague, D.S.; Wang, T.; Russell, A. An Instrument Error Correlation Model for Global Navigation Satellite System Reflectometry. Remote Sens. 2024, 16, 742. [Google Scholar] [CrossRef]
- Ruf, C. CYGNSS Handbook 2022; Michigan Publishing: Ann Arbor, MI, USA, 2022. [Google Scholar] [CrossRef]
- Cressie, N.A. Statistics for Spatial Data, Revised Edition; Wiley: Hoboken, NJ, USA, 2015; p. 928. [Google Scholar]
- Zarco-Perello, S.; Simões, N. Ordinary Kriging vs Inverse Distance Weighting: Spatial Interpolation of the Sessile Community of Madagascar Reef, Gulf of Mexico. PeerJ 2017, 5, e4078. [Google Scholar] [CrossRef]
- Li, J.; Heap, A.D. Spatial interpolation methods applied in the environmental sciences: A review. Environ. Model. Softw. 2014, 53, 173–189. [Google Scholar] [CrossRef]
- Zimmerman, D.; Pavlik, C.; Ruggles, A.; Armstrong, M.P. An Experimental Comparison of Ordinary and Universal Kriging and Inverse Distance Weighting. Math. Geol. 1999, 31, 375–390. [Google Scholar] [CrossRef]
- Hersbach, H.; Bell, B.; Berrisford, P.; Hirahara, S.; Horányi, A.; Muñoz-Sabater, J.; Nicolas, J.; Peubey, C.; Radu, R.; Schepers, D.; et al. The ERA5 Global Reanalysis. Q. J. R. Meteorol. Soc. 2020, 146, 1999–2049. [Google Scholar] [CrossRef]
- Ramon, J.; Lledó, L.; Torralba, V.; Soret, A.; Doblas-Reyes, F.J. What Global Reanalysis Best Represents Near-Surface Winds? Q. J. R. Meteorol. Soc. 2019, 145, 3236–3251. [Google Scholar] [CrossRef]
- Olauson, J. ERA5: The New Champion of Wind Power Modelling? Renew. Energy 2018, 126, 322–331. [Google Scholar] [CrossRef]
- Hochreiter, S.; Schmidhuber, J. Long Short-Term Memory. Neural Comput. 1997, 9, 1735–1780. [Google Scholar] [CrossRef]
- Clare, M.C.; Piggott, M.D. Bayesian neural networks for the probabilistic forecasting of wind direction and speed using ocean data. arXiv 2022, arXiv:2206.08953. [Google Scholar] [CrossRef]
- Shi, Y.; Wang, Y.; Zheng, H. Wind Speed Prediction for Offshore Sites Using a Clockwork Recurrent Network. Energies 2022, 15, 751. [Google Scholar] [CrossRef]
- Stull, R.B. An Introduction to Boundary Layer Meteorology; Springer: Dordrecht, The Netherlands, 1988; Volume 13. [Google Scholar] [CrossRef]
- Clarizia, M.P.; Ruf, C.S. Wind Speed Retrieval Algorithm for the Cyclone Global Navigation Satellite System (CYGNSS) Mission. IEEE Trans. Geosci. Remote Sens. 2016, 54, 4419–4432. [Google Scholar] [CrossRef]
- Asharaf, S.; Posselt, D.J.; Said, F.; Ruf, C.S. Updates on CYGNSS Ocean Surface Wind Validation in the Tropics. J. Atmos. Ocean. Technol. 2023, 40, 37–51. [Google Scholar] [CrossRef]
- Li, X.; Yang, D.; Yang, J.; Zheng, G.; Han, G.; Nan, Y.; Li, W. Analysis of Coastal Wind Speed Retrieval from CYGNSS Mission Using Artificial Neural Network. Remote Sens. Environ. 2021, 263, 112454. [Google Scholar] [CrossRef]
- Uhlhorn, E.W.; Black, P.G.; Franklin, J.L.; Goodberlet, M.; Carswell, J.; Goldstein, A.S. Hurricane Surface Wind Measurements from an Operational Stepped Frequency Microwave Radiometer. Mon. Weather. Rev. 2007, 135, 3070–3085. [Google Scholar] [CrossRef]
- McPhaden, M.J.; Busalacchi, A.J.; Cheney, R.; Donguy, J.R.; Gage, K.S.; Halpern, D.; Ji, M.; Julian, P.; Meyers, G.; Mitchum, G.T.; et al. The Tropical Ocean–Global Atmosphere (TOGA) Observing System: A Decade of Progress. J. Geophys. Res. Ocean. 1998, 103, 14169–14240. [Google Scholar] [CrossRef]
- Fairall, C.W.; Bradley, E.F.; Hare, J.E.; Grachev, A.A.; Edson, J.B. Bulk parameterization of air-sea fluxes: Updates and verification for the COARE algorithm. J. Clim. 2003, 16, 571–591. [Google Scholar] [CrossRef]
- Ruf, C.; Al-Khaldi, M.; Asharaf, S.; Balasubramaniam, R.; McKague, D.; Pascual, D.; Russel, A.; Twigg, D.; Warnock, A. Characterization of CYGNSS Ocean Surface Wind Speed Products. Remote Sens. 2024, 16, 4341. [Google Scholar] [CrossRef]
- Said, F.; Jelenak, Z.; Park, J.; Chang, P.S. The NOAA Track-Wise Wind Retrieval Algorithm and Product Assessment for CyGNSS. IEEE Trans. Geosci. Remote Sens. 2022, 60, 4202524. [Google Scholar] [CrossRef]
- Li, X.; Yang, D.; Yang, J.; Han, G.; Zheng, G.; Li, W. Validation of NOAA CyGNSS Wind Speed Product with the CCMP Data. Remote Sens. 2021, 13, 1832. [Google Scholar] [CrossRef]
- Tsang, L.; Kong, J.A.; Ding, K.H. Scattering of Electromagnetic Waves: Theories and Applications; John Wiley & Sons: Hoboken, NJ, USA, 2004; Volume 27, p. 440. [Google Scholar]
- Ulaby, F.T.; Moore, R.K.; Fung, A.K. Microwave Remote Sensing: Active and Passive. Volume 2-Radar Remote Sensing and Surface Scattering and Emission Theory; Addison-Wesley Publishing Company: Reading, MA, USA, 1982. [Google Scholar]
- Gal, Y.; Ghahramani, Z. Dropout as a Bayesian Approximation: Representing Model Uncertainty in Deep Learning. In Proceedings of the 33rd International Conference on Machine Learning, New York, NY, USA, 20–22 June 2016; Balcan, M.F., Weinberger, K.Q., Eds.; PMLR: New York, NY, USA, 2016; Volume 48, pp. 1050–1059. [Google Scholar]
- Montenbruck, O.; Steigenberger, P.; Prange, L.; Deng, Z.; Zhao, Q.; Perosanz, F.; Romero, I.; Noll, C.; Stürze, A.; Weber, G.; et al. The Multi-GNSS Experiment (MGEX) of the International GNSS Service (IGS)–Achievements, Prospects and Challenges. Adv. Space Res. 2017, 59, 1671–1697. [Google Scholar] [CrossRef]









| Wind Range | Transformer-GNN | Comparison (RMSE, m/s) | |||||
|---|---|---|---|---|---|---|---|
| RMSE | Bias | Local GNN | Pure Trans. | CNN | GMF | ||
| 0–10 m/s | 1.1 | 0.65 | 1.4 | 1.3 | 1.8 | 1.7 | |
| 10–20 m/s | 1.4 | 0.63 | 1.6 | 1.5 | 2.1 | 2.0 | |
| 20–30 m/s | 2.4 | 0.60 | 2.8 | 2.6 | 3.4 | 3.1 | |
| High Winds (>25 m/s) | 3.2 | 0.59 | 3.9 | 3.6 | 4.2 | 4.8 | |
| Overall | 1.35 | 0.612 | 1.7 | 1.5 | 1.52 | 1.98 | |
| Product | RMSE (m s−1) | Bias (m s−1) | |
|---|---|---|---|
| CYGNSS NOAA L2 (v1.1/1.2) [49,50] | 0.98 † | 0.03 ‡ | 0.90 § |
| CYGNSS NASA L2 v3.2 (FDS) [49] | 1.35 † | 0.10 ‡ | 0.84 § |
| ERA5 (reanalysis reference) [49] | 0.74 † | n/a | n/a |
| Transformer-GNN (ours) | 1.35 ¶ | −0.4 | 0.612 |
| Model Variant | RMSE (m/s) | Training Time (h) | |
|---|---|---|---|
| Local-only GNN | 1.7 | 0.58 | 9.4 |
| Global-only Transformer | 1.5 | 0.59 | 12.7 |
| Single-head attention | 1.4 | 0.60 | 11.9 |
| No physics constraints | 1.6 | 0.58 | 12.1 |
| Static graph topology | 1.8 | 0.56 | 10.6 |
| Full Transformer-GNN | 1.35 | 0.612 | 18.6 h |
| Method | Training Time | Inference Speed | Memory Usage | RMSE (m/s) |
|---|---|---|---|---|
| Random Forest | Fast | Very Fast | Low | 2.4 |
| Standard CNN | Fast | Fast | Low | 2.1 |
| Local GNN | Moderate | Moderate | Moderate | 1.7 |
| Pure Transformer | Moderate | Moderate | High | 1.5 |
| Transformer-GNN | Extended | 150 ms | Moderate | 1.35 |
Disclaimer/Publisher’s Note: The statements, opinions and data contained in all publications are solely those of the individual author(s) and contributor(s) and not of MDPI and/or the editor(s). MDPI and/or the editor(s) disclaim responsibility for any injury to people or property resulting from any ideas, methods, instructions or products referred to in the content. |
© 2025 by the authors. Licensee MDPI, Basel, Switzerland. This article is an open access article distributed under the terms and conditions of the Creative Commons Attribution (CC BY) license (https://creativecommons.org/licenses/by/4.0/).
Share and Cite
Zhang, Z.; Xu, J.; Jing, G.; Yang, D.; Zhang, Y. Physics-Informed Transformer Networks for Interpretable GNSS-R Wind Speed Retrieval. Remote Sens. 2025, 17, 3805. https://doi.org/10.3390/rs17233805
Zhang Z, Xu J, Jing G, Yang D, Zhang Y. Physics-Informed Transformer Networks for Interpretable GNSS-R Wind Speed Retrieval. Remote Sensing. 2025; 17(23):3805. https://doi.org/10.3390/rs17233805
Chicago/Turabian StyleZhang, Zao, Jingru Xu, Guifei Jing, Dongkai Yang, and Yue Zhang. 2025. "Physics-Informed Transformer Networks for Interpretable GNSS-R Wind Speed Retrieval" Remote Sensing 17, no. 23: 3805. https://doi.org/10.3390/rs17233805
APA StyleZhang, Z., Xu, J., Jing, G., Yang, D., & Zhang, Y. (2025). Physics-Informed Transformer Networks for Interpretable GNSS-R Wind Speed Retrieval. Remote Sensing, 17(23), 3805. https://doi.org/10.3390/rs17233805

