An Airborne G-Band Water Vapor Radiometer and Dropsonde Validation of Reanalysis and NWP Precipitable Water Vapor over the Korean Peninsula
Highlights
- Global reanalysis ERA5 most accurately represents both upper-air and total column Precipitable Water Vapor (PWV) over the Korean Peninsula.
- Local high-resolution weather models exhibit a significant dry bias, underestimating PWV, especially under moist and cloudy conditions.
- For water vapor analysis in Korea, ERA5 serves as a more reliable benchmark than higher-resolution local models, despite their finer grid spacing.
- The systematic errors in local models highlight the need to improve their humidity data assimilation and cloud microphysics schemes.
Abstract
1. Introduction
- Development of a Unique Airborne Validation Dataset: We present a novel, high-quality validation dataset for PWV over the Korean Peninsula by creating a composite reference from airborne G-band Water Vapor Radiometer (GVR) and co-located dropsonde measurements.
- Implementation of a Rigorous QC System: We developed and implemented a comprehensive, multi-stage quality control (QC) system for airborne GVR data, ensuring the reliability of our observational benchmark by filtering data compromised by instrument instability, aircraft maneuvering, and radio-frequency interference.
- First Comprehensive Validation over the Korean Peninsula: This study provides the first multi-strategy validation of both leading global reanalysis (ERA5, MERRA-2) and high-resolution local NWP models (LDAPS, KLAPS) using a direct, observation-based airborne reference, offering critical region-specific insights into model performance.
2. Materials and Methods
2.1. Data Sources
2.1.1. GVR PWV Data
- Two-Point Calibration: The instrument uses a “Hot Load” (maintained at a constant high temperature) and a “Warm Load” (passively following the instrument’s ambient temperature) as stable references. The Hot and Warm Loads are engineered to act as near-perfect black bodies. A blackbody emits radiation at a Tb equal to its physical temperature. Since their precise physical temperatures (Thot and Twarm) are continuously measured, their corresponding frequency signals (PH and PW) provide two known points to create a linear conversion formula. This formula, defined by a slope (m) and intercept (c) according to Equations (1) and (2), is then used to convert a given raw frequency signal, such as from the sky (PS), into its corresponding physical unit, brightness temperature (Tb). The slope and intercept are calculated as follows:
- Noise Cancelation: To eliminate thermal noise from the instrument, the sky signal (PS) is referenced against the Warm Load signal (PW). This is because the Warm Load temperature accurately tracks the instrument’s own thermal fluctuations. The final, noise-corrected sky brightness temperature is calculated by applying the conversion formula from step 1 to the difference between the raw sky signal (PS) and warm load signal (PW), as embedded in the final retrieval Equation (3):
2.1.2. Dropsonde Data
2.1.3. Cloud Combination Probe
- The Cloud Droplet Probe (CDP) measures small cloud particles with diameters ranging from 2 to 50 µm by detecting forward-scattered light from a laser beam.
- The Cloud Imaging Probe (CIP) measures and images larger particles with diameters from 7.5 to 930 µm by recording changes in illumination across a 64-element diode array.
2.1.4. LDAPS and KLAPS Data
- LDAPS: This is the KMA’s high-resolution (1.5 km, 70 vertical levels) operational model, which is a configuration of the Met Office Unified Model (UM). Its physical parameterizations include a nonlocal boundary layer scheme [17] and the mixed-phase cloud microphysics scheme of Wilson and Ballard [18]. As a convection-permitting model, the cumulus parameterization is turned off. Lateral boundary conditions (LBCs) are provided by the KMA’s global model (GDAPS) [19]. The data, provided in the GRIB2 format, only had pressure-level information available for this study. From this, the PWV for the layer above the aircraft and the total column PWV were calculated.
- KLAPS: This model is based on the Weather Research and Forecasting (WRF) model. The configuration has a 5 km horizontal resolution and 23 vertical levels. It uses LBCs from the KMA’s UM (12 km). Its key physical parameterizations, adopted from the KMA operational setup, include the YonSei University (YSU) scheme for the planetary boundary layer (PBL) and the WRF Double-Moment 6-class (WDM6) microphysics scheme [20]. The data, provided in the NetCDF4 format, had both single- and pressure-level information available.
2.1.5. ERA5 Reanalysis Data
2.1.6. MERRA-2 Reanalysis Data
2.1.7. Satellite Imagery
2.2. GVR Data Processing and Quality Control
2.3. PWV Comparison Strategies
2.3.1. GVR Observational Layer PWV Comparison
- Spatial Matching: Each GVR observation (at ~7–8 s resolution) was matched to the model grid cell nearest to the aircraft’s latitude and longitude at the time of observation. For the regularly gridded ERA5 and MERRA-2 data, a standard “nearest neighbor” method was used. For the high-resolution, unstructured grids of KLAPS and LDAPS, a computationally efficient k-d tree algorithm (scipy.spatial.cKDTree) was employed to rapidly determine the closest grid point.
- Temporal Matching: The model output closest in time to the GVR observation was selected from the hourly model data, with a maximum tolerance of one hour.
2.3.2. Total Atmospheric Column PWV Comparison
- The GVR PWV, representing the column from the aircraft’s upward altitude.
- The dropsonde-derived PWV, representing the column from the surface to the altitude of the aircraft.
2.4. Statistical Evaluation Metrics
- Pearson correlation coefficient (r): evaluates the linear agreement between the datasets.
- Root Mean Square Deviation (RMSD): quantifies the overall magnitude of the error.
- Mean Bias (MB): indicates the systematic tendency of a dataset to overestimate or underestimate PWV relative to the GVR reference.
3. Results
3.1. Analysis of Observational Cases and Flight Strategies
3.1.1. Case 1: 18 February 2018
- Meteorology and Flight Strategy: Scattered clouds over the East Sea characterized the meteorological conditions for the flight on this day. NARA, after departing from Gimpo Airport (37.56°N, 126.80°E), passed over the western inland region of Gangwon-do Province at an altitude of approximately 3000 m and gradually ascended to approximately 4000 m (green), as it moved toward the East Sea. Subsequently, the aircraft turned northeastward over the East Sea and reached a maximum altitude of approximately 8000 m (orange–red). The primary objective of this high-altitude flight was to use dropsondes to map the vertical atmospheric structure over a wide, heterogeneous area. The flight path is shown in Figure 2a.
- GVR Quality Control: The flight was conducted on 18 February 2018, with a mission of approximately three hours (11:30–14:30 KST), and provided a baseline case for instrument stability (Figure 3a). The most significant feature of this flight was the complete absence of FLAG_NegTb (0 points), which indicated internal instrument stability during the initial ascent phase. This suggests that the instrument reached a stable state very quickly after powering on, yielding reliable data from the start of the flight. In addition, FLAG_Incomp was not triggered during this mission, confirming that all calibration blocks were fully completed and that no data were lost due to incomplete Hot–Warm–Sky sequences. Although FLAG_Att (248 points), indicating aircraft maneuvering, and FLAG_TbIDsc (29 points), indicating external RFI, were observed intermittently, the high initial stability of the instrument provided a critical benchmark for evaluating performance across all flights. The count for FLAG_Incomp was negligible (3 points), indicating that data block transmission was stable.
- GVR Signal Characteristics: The flight on 18 February 2018 presents ideal data for characterizing the GVR instrument’s unique performance, featuring a distinct stepped ascent and a long-duration, high-altitude flight (Figure 4a). The analysis focused on the “pure atmospheric signal” (PW − PS), which was inversely proportional to the amount of water vapor; a larger difference value signifies drier conditions. The flight began with a stepped ascent at approximately 11:35 KST. The aircraft elevated rapidly to 4 km, held a level altitude for approximately 10 min, and then resumed its climb to 9.2 km by 12:10 KST. Meanwhile, the four channel difference signals precisely tracked each stage, increasing in value as the aircraft ascended through progressively drier air. The most significant portion of this flight was the one-hour high-altitude cruise from 12:10 to 13:17 KST. During this period, the difference signal remained at its maximum, reflecting dry atmospheric conditions. Furthermore, each channel was clearly separated based on its unique sensitivity. However, this separation did not follow a simple monotonic order. Instead, the observed order of the difference magnitude was approximately 1 > 14 ≈ 3 > 7 GHz, with the 1 GHz channel showing the largest difference at ~1.45 Hz. This nonlinear ordering is caused by the complex vertical temperature profile of the atmosphere (troposphere, tropopause, and stratosphere) and the unique weighting function of each channel. This was consistent with findings from ground-based microwave radiometer studies, which have shown that the mean vertical profile of water vapor content is well described by a function of temperature, similar to that of the Clausius-Clapeyron equation [24].
3.1.2. Case 2: 24 February 2018
- Meteorology and Flight Strategy: A distinct cloud band with very sharp boundaries, oriented northwest-southeast along the Yeongdong region (approximately 37–38.5°N, east of 128.5°E on the coast), was the primary target for observation. This feature was analyzed as a “coastal front” or “convergence zone,” formed by the combined effects of the synoptic pressure pattern and local topography, including the blocking effect of the Taebaek Mountains on cold-modified air from a continental high-pressure system. The NARA flew eastward from the Korean Peninsula to determine the cross-sectional structure of the system. The flight path, ascending to a constant altitude of approximately 4500 m above the system, was designed to acquire a detailed profile of the atmospheric layers comprising this organized weather event via dropsonde deployment. The flight path is shown in Figure 2b.
- GVR Quality Control: In contrast to the February 18 flight, the flight on 24 February 2018, which lasted approximately 3.5 h (13:30–17:00 KST), exhibited a cluster of 11 FLAG_NegTb during its initial ascent phase between 14:15 and 14:30 KST. This trend demonstrates that a brief period of instability, during which the instrument acclimates to rapid environmental changes (e.g., pressure and temperature) after takeoff, is typical. The QC system played a key role in clearly identifying the invalid initial data; therefore, it was excluded from the analysis. FLAG_Incomp did not appear in this case, indicating that all calibration blocks were successfully completed and the internal two-point calibration remained intact throughout the mission. FLAG_Att was observed intermittently during altitude changes but was absent during the extended cruise phase. FLAG_TbIDsc was recorded only a few times as short spikes, classified as external RFI. The QC data are presented in Figure 3b.
- GVR Signal Characteristics: The flight on 24 February 2018, serves as a powerful cross-validation of the instrument characteristics observed in the February 18 case, featuring a similar high-altitude cruise profile and providing an ideal dataset for verifying the performance of GVR. The pure atmospheric signal was inversely proportional to the amount of water vapor, implying a larger difference value signifies drier conditions. The mission began with a stepped ascent between approximately 13:26 and 14:26 KST, during which the four-channel difference signals precisely tracked each stage of the ascent, increasing in value as the aircraft ascended through progressively drier air. The most critical portion of the flight for analysis was the subsequent one-hour high-altitude cruise from 14:26 to 15:26 KST at a stable altitude of ~9.2 km. Two key instrument characteristics were reconfirmed during this cruise. First, all four difference signals exhibited a slight but continuous increase, demonstrating the instrument’s stabilization process (“soak time”) to reach full thermal equilibrium, a pattern identical to that observed on 18 February. This characteristic has also been observed in other airborne GVR deployments, such as during the VOCALS-REx campaign [25]. Second, the channels settled into a distinct and stable separation. Following the cruise, the signals precisely tracked the stepped descent after 15:26 KST. In conclusion, the 24 February data generated a robust cross-validation of the GVR’s key performance characteristics, confirming the necessity of a significant “soak time” for thermal stabilization and demonstrating the consistent nature of the instrument’s multi-channel sensitivities. The signal characteristics are shown in Figure 4b.
3.1.3. Case 3: 8 March 2018
- Meteorology and Flight Strategy: On this day, an extensive mid-latitude cyclone produced widespread cloud bands over the southern Korean Peninsula and the East Sea. Departing from Gimpo Airport, the NARA made a continuous, steep ascent over the East Sea, climbing from below 1000 m (dark blue) to a peak altitude of approximately 8000 m (orange to red) near Uljin (36.98°N, 129.40°E). This ascent profile was performed to enable a comprehensive vertical sounding of the deep cloud system with a dropsonde deployed from the maximum altitude. The flight path is shown in Figure 2c.
- GVR Quality Control: The flight on 8 March 2018, spanning approximately three hours (14:00–17:00 KST), showed a significant cluster of 177 FLAG_NegTb points that appeared between 14:00 and 14:20 KST. This case was also notable for a high concentration of FLAG_Att flags (236 points) and FLAG_TbIDsc flags (75 points) during a low-altitude segment (approximately 15:45–16:45 KST). This indicated that the QC system successfully recorded the potential impact of aircraft maneuvers performed for targeted scientific observation, potentially impacting the data quality. FLAG_Incomp was observed sporadically during steep ascent and descent phases, suggesting that some calibration cycles were incomplete when the aircraft executed rapid altitude changes. The QC data are shown in Figure 3c.
- GVR Signal Characteristics: The flight on 8 March 2018, serves as a classic example of a mission designed for targeted low-altitude cloud observation, illustrating how the GVR’s pure atmospheric signal responds to the atmosphere’s vertical structure and the presence of clouds. The PW − PS difference was inversely proportional to the total amount of water (vapor and liquid), indicating that a larger value signifies drier conditions. The flight began at approximately 13:50 KST by transiting a low-level cloud layer near the surface. As the aircraft climbed through the clouds to a peak altitude of approximately 9.2 km by 14:30 KST, the pure atmospheric signal (PW − PS) difference increased proportionally to its maximum value. At this peak altitude, each channel was clearly separated according to its unique sensitivity. Immediately after approximately 15:45 KST, the aircraft entered the cloud layer at 2.2 km, as confirmed by the In-Cloud flags. In response, the PW − PS difference for all channels plummeted to a very small value, converging in the 0.1–0.2 Hz range, due to the strong microwave emission from liquid water droplets. In conclusion, the March 8 data demonstrates that the PW − PS difference not only tracks the general profile of water vapor with altitude but can also precisely detect fine structures, such as dry layers and the presence and inhomogeneous characteristics of clouds, on a channel-specific basis. The signal characteristics are shown in Figure 4c.
3.1.4. Case 4: 14 March 2018
- Meteorology and Flight Strategy: The observations on this day targeted a uniform, relatively low-brightness stratus-like cloud layer over the East Sea. The flight strategy involved a comprehensive sounding of the full atmospheric column, which was executed as a slow, gradual descent from a high altitude of 9 km (red) to a low altitude of 1 km (dark blue). This continuous descent allowed for a precise scan of the entire atmospheric cross-section. The objective was to acquire a deep understanding of the multilayered vertical structure by continuously tracking the upper-air water vapor with the GVR while deploying a dropsonde to observe the atmospheric layers below. The flight path is shown in Figure 2d.
- GVR Quality Control: The 14 March flight, which was a highly dynamic mission of approximately 3.5 h (14:30–18:00 KST), was the most complex case among those analyzed. This flight was characterized by a multilayered profile with repeated ascents and descents. This complexity was directly reflected through the QC flags. A dense cluster of 174 FLAG_NegTb points was observed during the initial rapid ascent and other maneuvering phases, indicating significant and recurring instrument instability. Furthermore, owing to the mission’s complexity, aircraft maneuvering (FLAG_Att, 214 points) and external radio frequency interference (FLAG_TbIDsc, 104 points) occurred consistently throughout the flight. FLAG_Incomp was intermittently triggered during abrupt transitions, showing that some calibration sequences were left incomplete when the aircraft executed sharp altitude changes. The large number of flagged data points demonstrates the QC system’s success in tracking and documenting factors affecting data quality, even under extremely dynamic conditions. The QC data are shown in Figure 3d.
- GVR Signal Characteristics: The flight data from 14 March 2018 provide an ideal case study of the GVR’s performance during a dynamic, multilayered sampling mission. Its complex flight profile, featuring multiple ascents and descents, validates the rapid response and reliability of the instrument. The pure atmospheric signal (PW − PS) was inversely proportional to the amount of water vapor, indicating that a larger value signifies drier conditions. The flight began by transiting a low-level cloud layer at approximately 14:30 KST. As the aircraft climbed out of the cloud to its peak altitude of ~9.4 km around 15:05 KST, the pure atmospheric signal increased to its maximum value, reflecting the dry upper atmosphere. At this altitude, the channels were clearly separated by their unique sensitivities, with the 1 GHz channel (blue) showing the largest difference at approximately 1.45 Hz, followed by the 14 GHz (purple), 3 GHz (green), and 7 GHz (red) channels. The most dramatic feature of this flight was the rapid descent and re-ascent maneuvers between 16:05 and 16:35 KST. The four PW − PS signals perfectly mirrored this “V-shaped” flight path, hitting their minimum values at the lowest altitude and rising again with the climb, clearly demonstrating the instrument’s immediate response to drastic changes in the atmospheric profile. During the subsequent hold at 5 km after 16:35 KST, the channels maintained their consistent separation, with the 1 GHz channel again demonstrating the largest difference. The signals then dropped to near zero during the final descent at approximately 17:30 KST as the aircraft passed through another cloud layer. In conclusion, the 14 March data validate the GVR’s reliability and rapid response time in complex sampling missions. Its ability to precisely track the vertical structure of water vapor on a channel-specific basis during aggressive maneuvering establishes that it is a highly effective instrument for studying complex meteorological conditions. The signal characteristics are shown in Figure 4d.
3.2. GVR Measurement Principle and Stability Validation
- First, the clear and stable curved relationship between the PW − PS difference and final PWV validated the measurement principle and retrieval algorithm. This signified that the instrument’s intermediate physical measurement (noise-corrected atmospheric signal) had a highly consistent relationship with the final scientific product, proving the stability of the entire GVR system.
- Second, each of the four channels drew a unique response curve visually demonstrating the operational basis of the multichannel retrieval algorithm. This shows that for a specific PWV value, the four channels formed a “unique signature” of distinct PW − PS values. The algorithm then used this combination to calculate an accurate PWV value from the complex atmospheric state.
- Third, the high degree of similarity in the shape of each channel’s curve across different flight days and atmospheric conditions represents strong evidence that validates the instrument’s stability and the reproducibility. This implies that the GVR’s calibration state is stably maintained and that observations conducted on different days can be reliably compared.
3.3. Comparative Analysis of GVR Layer PWV with Models
- Case 1: 18 February 2018: This case occurred under relatively dry atmospheric conditions. During the initial low-altitude flight (around 11:30 KST), all the datasets were consistent with the GVR observations, although LDAPS and KLAPS exhibited slightly lower values, indicating a dry bias (Figure 6a). As the aircraft rapidly ascended to 8.5 km (approximately 11:45–12:10 KST), the PWV decreased sharply and all the datasets simultaneously converged to near zero values, explaining very high consistency. During the subsequent cruising phase at high altitude (approximately 12:10–13:20 KST), ERA5 and MERRA-2 remained closely aligned with the GVR, whereas LDAPS and KLAPS persistently underestimated the PWV. Statistically, ERA5 (r = 1.00, RMSD = 0.36 mm, MB = −0.31 mm) and MERRA-2 (r = 0.99, RMSD = 0.35 mm, MB −0.33 mm) displayed the best performance, whereas LDAPS (−0.76 mm) and KLAPS (−0.63 mm) yielded significant negative biases.
- Case 2: 24 February 2018: This case was characterized by a coastal frontal system with distinct vertical moisture structures. During the stepwise ascent (13:30–14:30), the observed PWV gradually decreased (Figure 6b). ERA5 and MERRA-2 successfully reproduced this evolution, whereas LDAPS and KLAPS followed the overall trend but consistently underestimated PWV at each step. During the cruise phase at an altitude of 9 km altitude (14:30–15:30), ERA5 and MERRA-2 remained stable, showing good agreement with the GVR, whereas the local models continued to accumulate a dry bias. In terms of statistics, MERRA-2 (r = 0.99, RMSD = 0.4 mm, MB = −0.33 mm) showcased the smallest error, followed by ERA5 (r = 0.99, RMSD = 0.38 mm, MB = −0.35 mm). LDAPS and KLAPS, however, exhibited negative biases of −0.38 mm and −0.24 mm, respectively.
- Case 3: 8 March 2018: On this day, a widespread low-pressure system produced thick cloud bands over the Korean Peninsula and East Sea. During the rapid ascent through low-level clouds to 9 km (approximately 13:50–14:15 KST), ERA5 accurately reproduced the sharp PWV decrease, and MERRA-2 followed closely but with a slight wet bias (Figure 7a). In contrast, LDAPS and KLAPS substantially underestimated PWV, showing pronounced dry biases. While the aircraft descended through the lower stratiform cloud layer (15:40–16:45 KST), the GVR recorded strong PWV fluctuations. ERA5 reproduced the overall pattern but with smaller amplitudes, whereas MERRA-2 generated larger variations that were closer to the observations. Statistically, ERA5 (r = 0.99, RMSD = 0.49 mm, MB = −0.33 mm) yielded the most accurate results, followed by MERRA-2 (r = 0.95, RMSD = 0.73 mm, MB = 0.02 mm).
- Case 4: 14 March 2018: This case was dominated by extensive stratiform clouds over the East Sea. The aircraft ascended from the lower cloud layer to a maximum altitude of 9.4 km at 15:05 KST, during which the PWV decreased sharply (Figure 7b). ERA5 and MERRA-2 captured this decrease adequately, whereas LDAPS significantly underestimated it; KLAPS exhibited the largest deviations. In the sharp descent-ascent maneuver (approximately 15:20–16:40 KST), the GVR PWV increased and then decreased rapidly in a V-shaped pattern. ERA5 and MERRA-2 reasonably reproduced this feature; however, LDAPS and KLAPS underestimated the amplitude of variation. Statistically, ERA5 (r = 0.99, RMSD = 1.25 mm, MB −0.68 mm) was the most accurate, followed by MERRA-2 (r = 0.97, RMSD = 1.36 mm, MB = −0.54 mm).
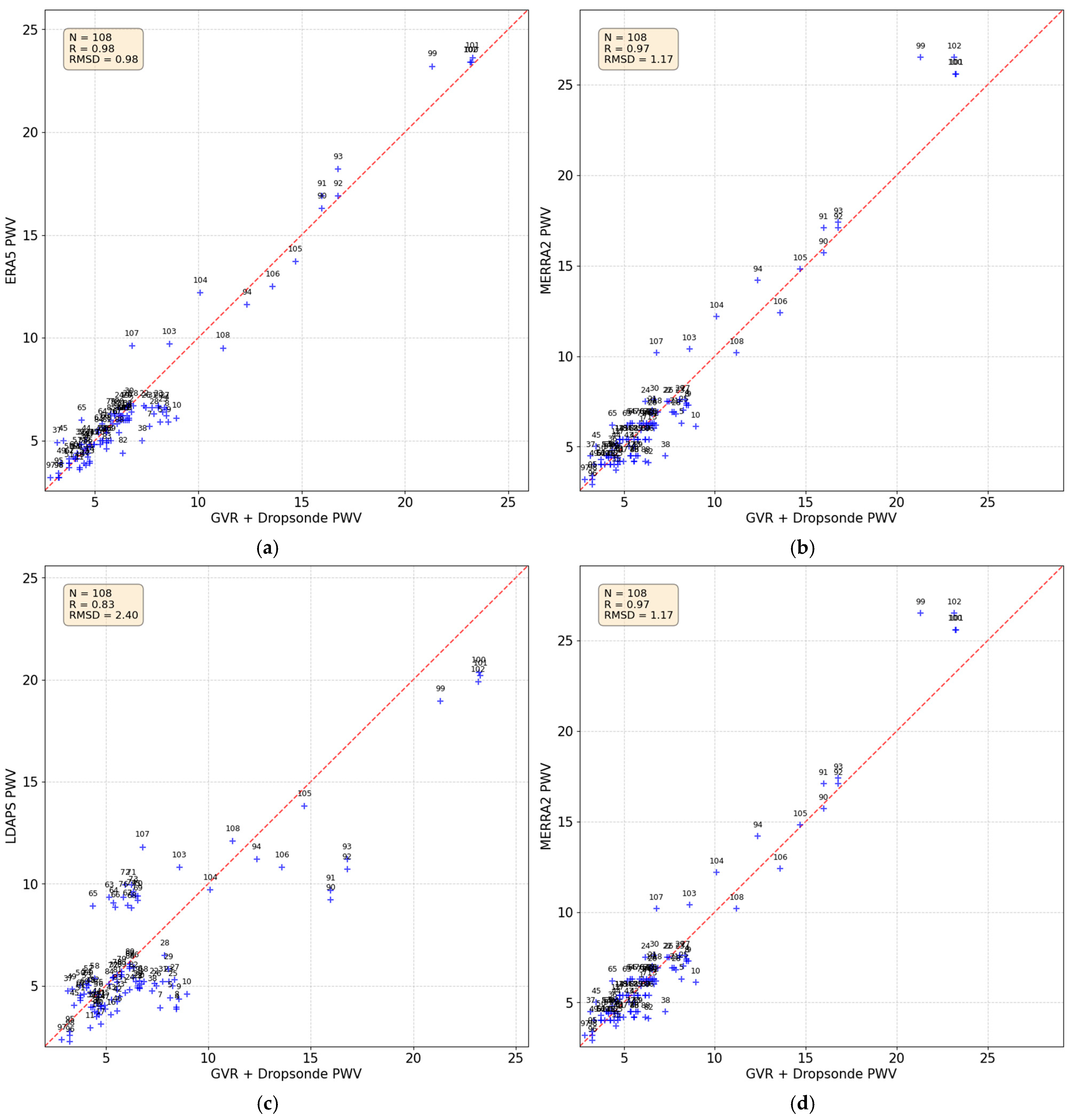
3.4. Evaluation of Total Atmospheric Column PWV
4. Discussion
5. Conclusions
Author Contributions
Funding
Institutional Review Board Statement
Informed Consent Statement
Data Availability Statement
Acknowledgments
Conflicts of Interest
References
- Kalogiros, J.; Wang, Q. Aircraft Observations of Sea-Surface Turbulent Fluxes Near the California Coast. Bound.-Layer Meteorol. 2011, 139, 283–306. [Google Scholar] [CrossRef]
- Yoshida, S.; Sakai, T.; Nagai, T.; Seko, H.; Kato, T.; Shiraishi, K.; Shimizu, S. Observation of a slanted moisture structure with weak updraft leading to localized heavy rainfalls. Sci. Rep. 2025, 15, 22979. [Google Scholar] [CrossRef]
- Noh, E.; Kim, J.; Jun, S.Y.; Cha, D.H.; Park, M.S.; Kim, J.H.; Kim, H.G. The Role of the Pacific-Japan Pattern in Extreme Heatwaves Over Korea and Japan. Geophys. Res. Lett. 2021, 48, e2021GL093990. [Google Scholar] [CrossRef]
- Li, H.; Choy, S.; Wang, X.; Liang, H.; Purwar, S.; Zhang, K. Investigating the Optimal Spatial Resolution for Assimilating GNSS PWV Into an NWP System to Improve the Accuracy of Humidity Field. IEEE J. Sel. Top. Appl. Earth Obs. Remote Sens. 2023, 16, 6876–6888. [Google Scholar] [CrossRef]
- Xian, T.; Su, K.; Zhang, J.; Hu, H.; Wang, H. Precipitable Water Vapor Retrieval Based on GNSS Data and Its Application in Extreme Rainfall. Remote Sens. 2025, 17, 2301. [Google Scholar] [CrossRef]
- Vaquero-Martínez, J.; Antón, M. Review on the Role of GNSS Meteorology in Monitoring Water Vapor for Atmospheric Physics. Remote Sens. 2021, 13, 2287. [Google Scholar] [CrossRef]
- Pazmany, A.L. A compact 183-GHz radiometer for water vapor and liquid water sensing. IEEE Trans. Geosci. Remote Sens. 2007, 45, 2202–2206. [Google Scholar] [CrossRef]
- Wang, Z.; French, J.; Vali, G.; Wechsler, P.; Haimov, S.; Rodi, A.; Deng, M.; Leon, D.; Snider, J.; Peng, L.; et al. Single Aircraft Integration of Remote Sensing and In Situ Sampling for the Study of Cloud Microphysics and Dynamics. Bull. Am. Meteorol. Soc. 2012, 93, 653–668. [Google Scholar] [CrossRef]
- Wang, W.; Pazmany, A.; Lei, H.-C.; Chen, C.; Nie, H.-H.; Zuo, D.-F. Measurement of supercooled liquid water path in cold clouds based on a 183GHz airborne microwave radiometer. Atmos. Res. 2023, 285, 106655. [Google Scholar] [CrossRef]
- Kim, J.-H.; Goo, T.-Y.; Jung, S.-P.; Kim, M.-S.; Lee, K.; Kang, M.; Lee, C.; Yang, J.; Hong, S.; Ko, H.; et al. Overview of the KMA/NIMS Atmospheric Research Aircraft (NARA) and its data archive: Annual airborne observations over the Korean peninsula. Wiley Online Libr. 2022, 10, 447–460. [Google Scholar] [CrossRef]
- Kim, M.S.; Kwon, B.H.; Goo, T.Y.; Jung, S.P. Dropsonde-Based Heat Fluxes and Mixed Layer Height over the Sea Surface near the Korean Peninsula. Remote Sens. 2022, 15, 25. [Google Scholar] [CrossRef]
- Bernstein, B.; DiVito, S.; Riley, J.T.; Landolt, S.; Haggerty, J.; Thompson, G.; Adriaansen, D.; Serke, D.; Kessinger, C.; Tessendorf, S.; et al. The In-Cloud Icing and Large-Drop Experiment Science and Operations Plan; United States. Department of Transportation. Federal Aviation Administration. William J. Hughes Technical Center: Washington, DC, USA, 2021. [Google Scholar]
- Zuo, D.; Liu, D.; Zhao, D.; Yang, L.; Chen, Y.; Zhou, W.; Huang, M.; He, H.; Tian, P.; Du, Y.; et al. Liquid water determination by airborne millimeter cloud radar and in-situ size distribution measurements. Atmos. Res. 2023, 284, 106607. [Google Scholar] [CrossRef]
- Fionda, E.; Cadeddu, M.; Mattioli, V.; Pacione, R. Intercomparison of Integrated Water Vapor Measurements at High Latitudes from Co-Located and Near-Located Instruments. Remote Sens. 2019, 11, 2130. [Google Scholar] [CrossRef]
- Triana-Gómez, A.M.; Heygster, G.; Melsheimer, C.; Spreen, G.; Negusini, M.; Petkov, B.H. Improved water vapour retrieval from AMSU-B and MHS in the Arctic. Atmos. Meas. Tech. 2020, 13, 3697–3715. [Google Scholar] [CrossRef]
- Hwang, B.H.; Yoo, S.; Chang, E.C.; Tapiador, F.J.; Kim, K.; Lee, G.W. Classification and Key Factors for the Snowfall over the Eastern Part of the Korean Peninsula. Asia-Pacific J. Atmos. Sci. 2025, 61, 15. [Google Scholar] [CrossRef]
- Lock, A.P.; Brown, A.R.; Bush, M.R.; Martin, G.M.; Smith, R.N.B. A New Boundary Layer Mixing Scheme. Part I: Scheme Description and Single-Column Model Tests. Mon. Weather Rev. 2000, 128, 3187–3199. [Google Scholar] [CrossRef]
- Wilson, D.R.; Ballard, S.P. A microphysically based precipitation scheme for the UK meteorological office unified model. Q. J. R. Meteorol. Soc. 1999, 125, 1607–1636. [Google Scholar] [CrossRef]
- Song, H.J.; Lim, B.; Joo, S. Evaluation of Rainfall Forecasts with Heavy Rain Types in the High-Resolution Unified Model over South Korea. Weather Forecast. 2019, 34, 1277–1293. [Google Scholar] [CrossRef]
- Jee, J.B.; Kim, S. Sensitivity Study on High-Resolution WRF Precipitation Forecast for a Heavy Rainfall Event. Atmosphere 2017, 8, 96. [Google Scholar] [CrossRef]
- Hersbach, H.; Bell, B.; Berrisford, P.; Hirahara, S.; Horányi, A.; Muñoz-Sabater, J.; Nicolas, J.; Peubey, C.; Radu, R.; Schepers, D.; et al. The ERA5 global reanalysis. Q. J. R. Meteorol. Soc. 2020, 146, 1999–2049. [Google Scholar] [CrossRef]
- Gelaro, R.; McCarty, W.; Suárez, M.J.; Todling, R.; Molod, A.; Takacs, L.; Randles, C.A.; Darmenov, A.; Bosilovich, M.G.; Reichle, R.; et al. The modern-era retrospective analysis for research and applications, version 2 (MERRA-2). J. Clim. 2017, 30, 5419–5454. [Google Scholar] [CrossRef]
- George, G.; Stevens, B.; Bony, S.; Klingebiel, M.; Vogel, R. Observed Impact of Mesoscale Vertical Motion on Cloudiness. J. Atmos. Sci. 2021, 78, 2413–2427. [Google Scholar]
- Iassamen, A.; Sauvageot, H.; Jeannin, N.; Ameur, S. Distribution of Tropospheric Water Vapor in Clear and Cloudy Conditions from Microwave Radiometric Profiling. J. Appl. Meteorol. Climatol. 2009, 48, 600–615. [Google Scholar] [CrossRef][Green Version]
- Zuidema, P.; Leon, D.; Pazmany, A.; Cadeddu, M. Aircraft millimeter-wave passive sensing of cloud liquid water and water vapor during VOCALS-REx. Atmos. Chem. Phys. 2012, 12, 355–369. [Google Scholar] [CrossRef]
- Huang, L.; Mo, Z.; Liu, L.; Zeng, Z.; Chen, J.; Xiong, S.; He, H. Evaluation of Hourly PWV Products Derived from ERA5 and MERRA-2 Over the Tibetan Plateau Using Ground-Based GNSS Observations by Two Enhanced Models. Earth Sp. Sci. 2021, 8, e2020EA001516. [Google Scholar] [CrossRef]
- Davies, H.C. Limitations of Some Common Lateral Boundary Schemes used in Regional NWP Models. Mon. Weather Rev. 1983, 111, 1002–1012. [Google Scholar] [CrossRef][Green Version]
- Warner, T.T.; Peterson, R.A.; Treadon, R.E. A Tutorial on Lateral Boundary Conditions as a Basic and Potentially Serious Limitation to Regional Numerical Weather Prediction. Bull. Am. Meteorol. Soc. 1997, 78, 2599–2618. [Google Scholar] [CrossRef]
- Skamarock, W.C.; Klemp, J.B.; Dudhia, J.; Gill, D.O.; Barker, D.M.; Duda, M.G.; Huang, X.-Y.; Wang, W.; Powers, J.G. A description of the advanced research WRF version 4. NCAR Tech. Note Ncar/Tn-556+ Str 2019, 145. [Google Scholar]
- Jang, S.; Lim, K.S.S.; Ko, J.; Kim, K.; Lee, G.; Cho, S.J.; Ahn, K.D.; Lee, Y.H. Revision of WDM7 Microphysics Scheme and Evaluation for Precipitating Convection over the Korean Peninsula. Remote Sens. 2021, 13, 3860. [Google Scholar] [CrossRef]
- Wang, S.; Xu, T.; Nie, W.; Jiang, C.; Yang, Y.; Fang, Z.; Li, M.; Zhang, Z. Evaluation of Precipitable Water Vapor from Five Reanalysis Products with Ground-Based GNSS Observations. Remote Sens. 2020, 12, 1817. [Google Scholar] [CrossRef]
- Morrison, H.; van Lier-Walqui, M.; Fridlind, A.M.; Grabowski, W.W.; Harrington, J.Y.; Hoose, C.; Korolev, A.; Kumjian, M.R.; Milbrandt, J.A.; Pawlowska, H.; et al. Confronting the challenge of modeling cloud and precipitation microphysics. J. Adv. Model. Earth Syst. 2020, 12, e2019MS001689. [Google Scholar] [CrossRef] [PubMed]
- Maurya, R.K.S.; Sinha, P.; Mohanty, M.R.; Mohanty, U.C. RegCM4 model sensitivity to horizontal resolution and domain size in simulating the Indian summer monsoon. Atmos. Res. 2018, 210, 15–33. [Google Scholar] [CrossRef]











| Parameters | Specification |
|---|---|
| Frequency | 183.31 ± 1, 183.3 ± 3, 183.3 ± 7, 183.3 ± 14 GHz |
| Bandwidth | 0.5 (1), 1.0 (3), 1.4 (7) and 2.0 (14) GHz |
| ∆T | 0.2 K @ 200 msec integration (5 Hz data rate) |
| 1750 K (1), 1610 K (3), 1600 K (7) and 2170 K (14) | |
| Data rate | 0.1–20 Hz with periodic calibration |
| Antenna Type | 4″ offset reflector, 2 degree beam width |
| Radome | Surface matched TPX window |
| Weight | 10 kg without canister |
| Power | 28 WAC, 28 VDC |
| Number | r | RMSD (mm) | Mean Bias (mm) | |||||
|---|---|---|---|---|---|---|---|---|
| 18 February | 24 February | 18 February | 24 February | 18 February | 24 February | 18 February | 24 February | |
| ERA5 | 1769 → 1514 | 2055 → 1730 | 0.62 → 1.00 | 0.53 → 0.99 | 2.16 → 0.36 | 2.31 → 0.38 | −0.39 → −0.31 | −0.46 → −0.35 |
| MERRA2 | 0.62 → 0.99 | 0.55 → 0.99 | 2.18 → 0.35 | 2.29 → 0.40 | −0.40 → −0.33 | −0.43 → −0.33 | ||
| LDAPS | 0.59 → 0.95 | 0.51 → 0.98 | 2.44 → 0.97 | 2.35 → 0.42 | −0.86 → −0.76 | −0.49 → −0.38 | ||
| KLAPS | 0.59 → 0.96 | 0.55 → 0.99 | 2.37 → 0.81 | 2.25 → 0.30 | −0.73 → −0.63 | −0.34 → −0.24 | ||
| Number | r | RMSD (mm) | Mean Bias (mm) | |||||
|---|---|---|---|---|---|---|---|---|
| 8 March | 14 March | 8 March | 14 March | 8 March | 14 March | 8 March | 14 March | |
| ERA5 | 1722 → 1457 | 1576 → 1313 | 0.70 → 0.99 | 0.86 → 0.99 | 2.34 → 0.49 | 2.79 → 1.25 | −0.49 → −0.33 | −0.81 → −0.68 |
| MERRA2 | 0.66 → 0.95 | 0.84 → 0.97 | 2.40 → 0.73 | 2.83 → 1.36 | −0.12 → 0.02 | −0.64 → −0.54 | ||
| LDAPS | 1712 → 1447 | 0.67 → 0.96 | 0.84 → 0.97 | 2.83 → 1.48 | 2.72 → 1.10 | −1.49 → −1.23 | 0.02 → 0.10 | |
| KLAPS | 0.67 → 0.99 | 0.86 → 0.98 | 2.53 → 0.87 | 3.35 → 2.27 | −0.97 → −0.76 | 1.26 → 1.21 | ||
| Date | Time (LST) | GVR (mm) | Dropsonde (mm) | ERA5 (mm) | MERRA2 (mm) | LDAPS (mm) | KLAPS (mm) |
|---|---|---|---|---|---|---|---|
| 2 February 2018 | 05:01 | 0.350 | 5.6 | 6.2 | 5.9 | 4.7 | 6.1 |
| 05:05 | 0.359 | 6.4 | 6.4 | 6.2 | 5.1 | 5.1 | |
| 05:10 | 0.360 | 6.3 | 6.0 | 6 | 4.9 | 6.3 | |
| 05:15 | 0.360 | 8.1 | 6.5 | 7.4 | 3.8 | 5.2 | |
| 05:26 | 0.360 | 7.8 | 5.9 | 6.3 | 4.4 | 5.4 | |
| 05:36 | 0.362 | 6.3 | 6.1 | 6.3 | 5.2 | 5.4 | |
| 06:01 | 0.359 | 7.3 | 5.7 | 6.9 | 3.9 | 6.8 | |
| 06:06 | 0.358 | 8.1 | 6.2 | 7.3 | 4.0 | 6.4 | |
| 06:11 | 0.358 | 8.2 | 5.9 | 7.3 | 4.4 | 6.4 | |
| 06:16 | 0.360 | 8.6 | 6.1 | 6.1 | 4.6 | 6.3 | |
| 5 February 2018 | 15:51 | 0.357 | 3.9 | 3.6 | 4.0 | 2.9 | 3.9 |
| 6 February 2018 | 05:14 | 0.358 | 4.2 | 3.8 | 5.2 | 3.5 | 4.4 |
| 05:19 | 0.358 | 4.4 | 3.9 | 5.4 | 4.0 | 4.4 | |
| 06:11 | 0.360 | 4.4 | 4.0 | 5.4 | 3.9 | 4.6 | |
| 7 February 2018 | 05:30 | 0.362 | 4.6 | 4.8 | 5.4 | 4.0 | 4.3 |
| 05:34 | 0.363 | 4.9 | 4.8 | 5.4 | 3.6 | 4.2 | |
| 05:40 | 0.363 | 4.4 | 4.7 | 5.2 | 3.1 | 4.2 | |
| 18 February 2018 | 03:15 | 0.371 | 6.5 | 6.7 | 6.9 | 5.2 | 5.8 |
| 03:19 | 0.371 | 6.1 | 6.6 | 6.9 | 5.2 | 5.7 | |
| 03:23 | 0.372 | 6.2 | 6.6 | 6.8 | 5.0 | 5.8 | |
| 03:27 | 0.373 | 6.2 | 6.7 | 7.0 | 4.9 | 5.9 | |
| 03:31 | 0.372 | 7.0 | 6.7 | 7.5 | 5.1 | 6.0 | |
| 03:35 | 0.374 | 7.7 | 6.7 | 7.5 | 5.2 | 6.1 | |
| 03:39 | 0.372 | 5.8 | 6.6 | 7.5 | 4.8 | 5.7 | |
| 03:43 | 0.375 | 7.9 | 6.4 | 7.0 | 5.0 | 5.5 | |
| 03:47 | 0.370 | 7.1 | 6.6 | 7.5 | 5.0 | 5.7 | |
| 03:51 | 0.372 | 8.0 | 6.6 | 7.6 | 5.3 | 5.9 | |
| 03:55 | 0.370 | 7.5 | 6.3 | 6.8 | 6.5 | 5.7 | |
| 04:03 | 0.370 | 7.7 | 6.6 | 7.6 | 5.8 | 5.7 | |
| 04:07 | 0.368 | 6.3 | 6.8 | 7.6 | 4.9 | 5.9 | |
| 04:15 | 0.371 | 7.4 | 6.6 | 6.9 | 5.2 | 5.9 | |
| 20 February 2018 | 02:43 | 0.374 | 5.0 | 5 | 4.5 | 5.4 | 5.1 |
| 02:47 | 0.370 | 5.3 | 5 | 4.5 | 4.5 | 4.8 | |
| 02:51 | 0.372 | 4.1 | 4.6 | 4.5 | 3.7 | 4.7 | |
| 02:55 | 0.375 | 4.2 | 4.5 | 3.7 | 3.7 | 4.9 | |
| 02:59 | 0.369 | 4.0 | 4.8 | 4.8 | 3.9 | 4.7 | |
| 03:03 | 0.367 | 2.8 | 4.9 | 4.5 | 4.7 | 5.1 | |
| 03:07 | 0.375 | 6.9 | 5 | 4.5 | 4.8 | 5.3 | |
| 03:11 | 0.377 | 3.9 | 4.8 | 4.5 | 3.9 | 5.1 | |
| 03:15 | 0.374 | 4.3 | 4.7 | 4.2 | 3.6 | 5.4 | |
| 03:19 | 0.372 | 4.4 | 4.8 | 4.2 | 4.0 | 5.3 | |
| 03:23 | 0.374 | 5.2 | 4.9 | 5 | 4.2 | 5.3 | |
| 03:27 | 0.374 | 4.9 | 5 | 5 | 4.3 | 5.5 | |
| 03:31 | 0.372 | 4.2 | 5 | 5 | 4.1 | 5.3 | |
| 03:35 | 0.373 | 3.1 | 5 | 5 | 4.0 | 5.4 | |
| 03:39 | 0.374 | 5.2 | 5 | 4.2 | 3.8 | 5.7 | |
| 03:43 | 0.374 | 4.6 | 4.8 | 4.2 | 3.9 | 5.5 | |
| 22 February 2018 | 05:45 | 0.357 | 3.9 | 3.7 | 4 | 4.7 | 5.2 |
| 05:49 | 0.359 | 3.0 | 3.9 | 4 | 4.8 | 5.6 | |
| 05:53 | 0.361 | 3.4 | 4.1 | 4.3 | 5.0 | 5.9 | |
| 05:58 | 0.360 | 3.4 | 3.7 | 4 | 4.3 | 5.6 | |
| 06:05 | 0.365 | 4.1 | 3.9 | 4 | 4.7 | 5.7 | |
| 06:09 | 0.360 | 3.7 | 4.1 | 4.5 | 4.9 | 5.9 | |
| 06:13 | 0.359 | 3.7 | 4.1 | 4.5 | 5.1 | 6.2 | |
| 06:17 | 0.360 | 4.3 | 4.2 | 4 | 4.6 | 5.7 | |
| 06:21 | 0.358 | 4.3 | 4.4 | 4.4 | 4.5 | 5.9 | |
| 06:25 | 0.357 | 3.8 | 4.4 | 4.4 | 5.2 | 6.3 | |
| 06:29 | 0.357 | 4.1 | 4.4 | 4.4 | 5.3 | 6.3 | |
| 06:33 | 0.358 | 3.8 | 4.1 | 4.5 | 5.0 | 6.1 | |
| 06:37 | 0.358 | 3.6 | 4.2 | 4 | 4.6 | 5.7 | |
| 06:41 | 0.357 | 3.4 | 3.9 | 4 | 4.4 | 5.6 | |
| 06:45 | 0.355 | 3.4 | 3.9 | 4 | 4.5 | 5.6 | |
| 23 February 2018 | 05:56 | 0.369 | 4.8 | 5.5 | 6.2 | 9.3 | 9.9 |
| 06:00 | 0.367 | 5.0 | 5.8 | 6.3 | 9.1 | 10.9 | |
| 06:04 | 0.366 | 4.0 | 6 | 6.2 | 8.9 | 10.6 | |
| 06:08 | 0.366 | 5.1 | 5.6 | 6.3 | 8.8 | 10.6 | |
| 06:12 | 0.366 | 5.7 | 5.8 | 6.3 | 9.0 | 10.7 | |
| 06:15 | 0.365 | 5.9 | 6 | 6.3 | 8.8 | 10.8 | |
| 06:20 | 0.370 | 6.2 | 6.2 | 6.2 | 9.2 | 10.7 | |
| 06:24 | 0.367 | 6.2 | 6 | 6.3 | 9.4 | 11.0 | |
| 06:28 | 0.367 | 5.9 | 6.2 | 6 | 10.0 | 10.9 | |
| 06:32 | 0.365 | 5.6 | 6.3 | 6.2 | 10.0 | 10.8 | |
| 06:36 | 0.365 | 6.0 | 6.2 | 6.2 | 9.6 | 10.8 | |
| 06:41 | 0.365 | 5.9 | 6 | 6.2 | 9.5 | 10.8 | |
| 06:44 | 0.366 | 6.1 | 6 | 6.3 | 9.4 | 11.0 | |
| 06:48 | 0.364 | 5.5 | 5.8 | 6.3 | 9.4 | 10.6 | |
| 24 February 2018 | 05:14 | 0.361 | 5.0 | 5.0 | 4.5 | 5.4 | 6.7 |
| 05:18 | 0.361 | 5.2 | 5.5 | 4.2 | 5.5 | 6.7 | |
| 05:22 | 0.366 | 5.4 | 6.3 | 5.4 | 5.7 | 6.7 | |
| 05:26 | 0.368 | 5.8 | 6.3 | 5.4 | 6.1 | 7.2 | |
| 05:37 | 0.364 | 5.2 | 5.4 | 5.4 | 5.2 | 6.7 | |
| 05:45 | 0.365 | 6.0 | 4.4 | 4.1 | 5.4 | 6.6 | |
| 05:49 | 0.364 | 5.2 | 4.6 | 4.2 | 4.8 | 6.3 | |
| 05:58 | 0.364 | 4.8 | 5.4 | 5.4 | 5.1 | 6.4 | |
| 06:02 | 0.372 | 5.4 | 6.0 | 5.4 | 5.5 | 6.4 | |
| 06:06 | 0.373 | 6.0 | 6.0 | 5.4 | 5.9 | 6.8 | |
| 06:10 | 0.374 | 5.8 | 6.0 | 5.4 | 6.0 | 7.1 | |
| 06:14 | 0.370 | 5.8 | 5.4 | 4.2 | 5.9 | 6.9 | |
| 06:18 | 0.371 | 5.4 | 5.0 | 4.5 | 5.4 | 6.4 | |
| 8 March 2018 | 05:34 | 0.378 | 15.6 | 16.3 | 15.7 | 9.2 | 10.4 |
| 05:38 | 0.379 | 15.6 | 16.9 | 17.1 | 9.7 | 10.7 | |
| 05:42 | 0.374 | 16.4 | 16.9 | 17.1 | 10.7 | 11.4 | |
| 05:46 | 0.376 | 16.4 | 18.2 | 17.4 | 11.2 | 12.1 | |
| 14 March 2018 | 06:10 | 0.362 | 12.0 | 11.6 | 14.2 | 11.2 | 14.2 |
| 16 March 2018 | 05:06 | 0.357 | 2.9 | 3.4 | 3.4 | 2.8 | 4.2 |
| 05:15 | 0.357 | 2.9 | 3.2 | 2.9 | 2.3 | 3.2 | |
| 05:26 | 0.357 | 2.5 | 3.2 | 3.2 | 2.4 | 3.5 | |
| 05:30 | 0.358 | 2.9 | 3.2 | 3.2 | 2.6 | 3.7 | |
| 10 September 2018 | 05:24 | 1.613 | 19.7 | 23.2 | 26.5 | 18.9 | 24.4 |
| 05:31 | 1.709 | 21.5 | 23.4 | 25.6 | 20.4 | 26.7 | |
| 05:37 | 1.576 | 21.7 | 23.6 | 25.6 | 20.2 | 29.4 | |
| 05:57 | 1.670 | 21.5 | 23.4 | 26.5 | 19.9 | 25.3 | |
| 18 November 2018 | 13:45 | 1.600 | 7.0 | 9.7 | 10.4 | 10.8 | 12.6 |
| 14:00 | 1.300 | 8.8 | 12.2 | 12.2 | 9.7 | 20.1 | |
| 14:15 | 1.100 | 13.6 | 13.7 | 14.8 | 13.8 | 19.7 | |
| 15:00 | 9.400 | 4.2 | 12.5 | 12.4 | 10.8 | 18.7 | |
| 15:15 | 2.200 | 4.6 | 9.6 | 10.2 | 11.8 | 11.5 | |
| 15:30 | 6.500 | 4.7 | 9.5 | 10.2 | 12.1 | 12.3 |
Disclaimer/Publisher’s Note: The statements, opinions and data contained in all publications are solely those of the individual author(s) and contributor(s) and not of MDPI and/or the editor(s). MDPI and/or the editor(s) disclaim responsibility for any injury to people or property resulting from any ideas, methods, instructions or products referred to in the content. |
© 2025 by the authors. Licensee MDPI, Basel, Switzerland. This article is an open access article distributed under the terms and conditions of the Creative Commons Attribution (CC BY) license (https://creativecommons.org/licenses/by/4.0/).
Share and Cite
Kim, M.-S.; Goo, T.-Y. An Airborne G-Band Water Vapor Radiometer and Dropsonde Validation of Reanalysis and NWP Precipitable Water Vapor over the Korean Peninsula. Remote Sens. 2025, 17, 3788. https://doi.org/10.3390/rs17233788
Kim M-S, Goo T-Y. An Airborne G-Band Water Vapor Radiometer and Dropsonde Validation of Reanalysis and NWP Precipitable Water Vapor over the Korean Peninsula. Remote Sensing. 2025; 17(23):3788. https://doi.org/10.3390/rs17233788
Chicago/Turabian StyleKim, Min-Seong, and Tae-Young Goo. 2025. "An Airborne G-Band Water Vapor Radiometer and Dropsonde Validation of Reanalysis and NWP Precipitable Water Vapor over the Korean Peninsula" Remote Sensing 17, no. 23: 3788. https://doi.org/10.3390/rs17233788
APA StyleKim, M.-S., & Goo, T.-Y. (2025). An Airborne G-Band Water Vapor Radiometer and Dropsonde Validation of Reanalysis and NWP Precipitable Water Vapor over the Korean Peninsula. Remote Sensing, 17(23), 3788. https://doi.org/10.3390/rs17233788

