Sign in to use this feature.

Years

Between: -

Subjects

remove_circle_outline
remove_circle_outline
remove_circle_outline
remove_circle_outline
remove_circle_outline
remove_circle_outline
remove_circle_outline
remove_circle_outline
remove_circle_outline

Journals

remove_circle_outline
remove_circle_outline
remove_circle_outline

Article Types

Countries / Regions

remove_circle_outline
remove_circle_outline
remove_circle_outline

Search Results (328)

Search Parameters:
Keywords = rayleigh wave

Order results
Result details
Results per page
Select all
Export citation of selected articles as:
23 pages, 5645 KB  
Article
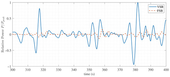
A Theoretical Limit on Power Absorption in Variable-Shape Buoy Wave Energy Converters
by Mohammed Atallah and Ossama Abdelkhalik
J. Mar. Sci. Eng. 2026, 14(8), 737; https://doi.org/10.3390/jmse14080737 - 16 Apr 2026
Viewed by 197
Abstract
Despite the significant potential of ocean wave energy, the high cost of the generated power remains a major challenge. This highlights the need for innovative conceptual designs that enhance energy conversion while maintaining comparable implementation and installation costs. Recently, the concept of Variable-Shape [...] Read more.
Despite the significant potential of ocean wave energy, the high cost of the generated power remains a major challenge. This highlights the need for innovative conceptual designs that enhance energy conversion while maintaining comparable implementation and installation costs. Recently, the concept of Variable-Shape Buoy Wave Energy Converters (VSB WECs) was introduced that uses flexible buoy material. While many studies have demonstrated the improved performance of VSB WECs compared to Fixed-Shape Buoy Wave Energy Converters (FSB WECs) through numerical simulations, analytical validation is essential to support these findings. This paper presents an analytical derivation of the theoretical limit of power absorption for VSB WECs using the complex-conjugate criteria for the heave motion. In this study, a multi-degree-of-freedom (multi-DoF) VSB WEC model is developed using a thin spherical shell representation, incorporating Rayleigh–Ritz and Love approximations under the assumptions of small deformations and axisymmetric vibration. Hydrodynamic coefficients are computed using a Boundary Element Method (BEM) software. The variation in the theoretical power absorption limit with Young’s modulus is analyzed across a range of elastic materials. As a validation step, the derived theoretical limit criterion is applied to the standard reduced-order single-DoF model of an FSBWEC, successfully yielding the exact theoretical limit reported in the literature. Full article
Show Figures

Figure 1

17 pages, 1562 KB  
Article
Thickness Effects on Acoustic Parameters of TiO2 Layers on SiO2, Ti, Al2O3, and Si Substrates
by Houssem Eddine Doghmane, Elfahem Sakher, Djamila Nebti, Ibtissem Touati, Djemâa Ben Othmane, Tourkia Tahri, Talia Tene, Cristian Vacacela Gomez, Lala Gahramanli, Rana Khankishiyeva and Abdellaziz Doghmane
Coatings 2026, 16(4), 410; https://doi.org/10.3390/coatings16040410 - 28 Mar 2026
Viewed by 457
Abstract
We investigated the effect of film thickness d on the acoustic response of titanium dioxide (TiO2) layers deposited on Ti, SiO2, Al2O3, and Si substrates. For each TiO2 thickness–substrate pair, we computed reflection coefficients [...] Read more.
We investigated the effect of film thickness d on the acoustic response of titanium dioxide (TiO2) layers deposited on Ti, SiO2, Al2O3, and Si substrates. For each TiO2 thickness–substrate pair, we computed reflection coefficients and acoustic signatures under normal operating conditions of a conventional scanning acoustic microscope, then deduced the Rayleigh-wave velocity VR from spectral analysis of the oscillatory layer–substrate signatures. As d increased, VR either rose or fell, depending on the layer/substrate pair, and eventually approached a saturation value. For TiO2/SiO2 and TiO2/Ti, VR increased from those of the bare substrates (SiO2: 3415 m/s; Ti: 2965 m/s) toward 3830 m·s−1, the bulk TiO2 value. For TiO2/Al2O3 and TiO2/Si, VR decreased from the substrate values (Al2O3: 5700 m/s; Si: 4712 m/s) toward the same TiO2 saturation. These dispersion trends are consistent with stiffening (VR (TiO2) > VR (Substrate)) or loading (VR (TiO2) < VR (Substrate)) effects. The resulting VRd dispersion charts provide theoretical reference trends relating thickness and Rayleigh-wave velocity for the idealized TiO2/substrate systems considered here. Full article
(This article belongs to the Special Issue Thin Films and Nanostructures Deposition Techniques)
Show Figures

Figure 1

26 pages, 93626 KB  
Article
On the Interaction of Tropical Easterly Waves and the Caribbean Low-Level Jet Using Observed, ERA5 and WWLLN Data over the Intra-Americas Seas During OTREC 2019
by Jorge A. Amador, Dayanna Arce-Fernández, Tito Maldonado and Erick R. Rivera
Meteorology 2026, 5(1), 6; https://doi.org/10.3390/meteorology5010006 - 19 Mar 2026
Viewed by 336
Abstract
Propagating easterly waves (EW) are analyzed here, within the dynamical environment of the Caribbean Low-Level Jet (CLLJ) using radiosondes from the Organization of Tropical East Pacific Convection (OTREC) field campaign, ERA5 reanalysis, and lightning from the World Wide Lightning Location Network (WWLLN) over  [...] Read more.
Propagating easterly waves (EW) are analyzed here, within the dynamical environment of the Caribbean Low-Level Jet (CLLJ) using radiosondes from the Organization of Tropical East Pacific Convection (OTREC) field campaign, ERA5 reanalysis, and lightning from the World Wide Lightning Location Network (WWLLN) over 520 N, 60100 W during 21 August–30 September 2019. Radiosondes resolve the vertical structure of the waves at San Andrés (Colombia), Limón and Santa Cruz–Guanacaste (Costa Rica), while ERA5 provides spatial–temporal continuity and vertically integrated diagnostics—namely, the vertically integrated moisture flux divergence (VIMFD) and the vertically integrated geopotential flux divergence (VIGFD). Lightning from WWLLN and precipitation from ERA5 and the Integrated Multi-satellite Retrievals for the Global Precipitation Measurement mission (GPM IMERG) offer independent convective proxies to track disturbances. Mean profiles from radiosondes and ERA5 show strong agreement at Limón and Guanacaste and some differences at San Andrés, yet all datasets capture coherent, phase-locked anomalies in zonal wind, meridional wind, temperature, humidity, vertical velocity and vorticity used to diagnose EW–CLLJ interactions. VIMFD, VIGFD, lightning and precipitation exhibit westward-propagating cores that align with the above anomalies, indicating that organized convection is coupled to the disturbances, whereas the mean state preconditions the environment to enable wave-induced upward motion. A robust vertical adjustment of the CLLJ is documented: the core shifts from near 925 hPa over the Caribbean Sea to about 700 hPa over the Eastern Tropical Pacific (Δp150 hPa). This feature is reproduced by a 30-year ERA5 climatology, consistent with jet-exit forcing and enhanced boundary-layer coupling over land. Conditions favorable for barotropic instability using the Rayleigh–Kuo criterion, were present over most of the period. A qualitative barotropic conversion proxy, computed from the eddy momentum covariance uv, shows positive values in the lower troposphere at Guanacaste and in the layer 850–700 hPa at San Andrés, suggesting mean-to-eddy momentum transfer, whereas the signal at Limón is weaker. Together, these results provide a physically consistent view of EW–CLLJ interactions across the IAS; therefore, a schematic of those mechanisms is proposed here. The results highlight the need for high-resolution modeling and full energy-budget analyses. Full article
Show Figures

Figure 1

18 pages, 5229 KB  
Article
Harnessing Elastic Metasurfaces Composed of In-Filled Pipes for Surface Wave Attenuation in Layered Half-Space
by Yue Yang, Xiaoguo Chen and Anchen Ni
Coatings 2026, 16(3), 350; https://doi.org/10.3390/coatings16030350 - 11 Mar 2026
Viewed by 347
Abstract
In this work, we further investigate the surface wave attenuation performance of elastic metasurfaces composed of in-filled pipes in a layered half-space, focusing on the dispersion relations and transmission properties. Particularly, both Rayleigh waves and Love waves are considered. The introduction of soil [...] Read more.
In this work, we further investigate the surface wave attenuation performance of elastic metasurfaces composed of in-filled pipes in a layered half-space, focusing on the dispersion relations and transmission properties. Particularly, both Rayleigh waves and Love waves are considered. The introduction of soil layers will reduce the width of attenuation zones. Additionally, transmission simulations reveal complex propagation patterns for elastic metasurfaces in a layered half-space, including wave reflection, wave resonance, and higher-order wave modes, which will hinder the penetration of converted shear waves into the half-space. In contrast, in reference cases, only surface-shear wave mode conversion is observed. Moreover, the attenuation performance of elastic metasurfaces is also diminished in layered soils in the frequency domain, and a nonuniform displacement distribution behind the elastic metasurface is also found. Last but not least, the feasibility of elastic metasurfaces to train-induced ground-borne vibration mitigation is numerically verified in the time domain. Although the performance of elastic metasurfaces in layered soils is inferior to that in homogeneous soils, they are better than traditional trenches within the main frequency range. Snapshots from the transient simulation clearly show the evolution of wave fields, reinforcing the observed key findings. Due to excellent surface-wave-attenuation performance and ease of realization, these novel elastic metasurfaces hold great potential in ambient vibration mitigation. Full article
Show Figures

Figure 1

25 pages, 1171 KB  
Article
Transverse Mode Instability in High-Power Yb-Doped Double-Clad Fiber Amplifiers: A Three-Layer Optical–Thermal Analysis Based on Stimulated Thermal Rayleigh Scattering
by Elbis Santos Cardoso, Ricardo Elgul Samad and Cláudio Costa Motta
Micromachines 2026, 17(3), 326; https://doi.org/10.3390/mi17030326 - 5 Mar 2026
Viewed by 525
Abstract
Transverse mode instability (TMI) in high-power ytterbium-doped double-clad fiber lasers is widely interpreted as being a consequence of a thermo-optic nonlinear phenomenon driven by stimulated thermal Rayleigh scattering. This work presents a coupled optical–thermal model for a continuous-wave forward-pumped ( [...] Read more.
Transverse mode instability (TMI) in high-power ytterbium-doped double-clad fiber lasers is widely interpreted as being a consequence of a thermo-optic nonlinear phenomenon driven by stimulated thermal Rayleigh scattering. This work presents a coupled optical–thermal model for a continuous-wave forward-pumped (λp=976nm) fiber amplifier emitting at λs=1064nm over an optimal length of 12 m. The formulation explicitly resolves the three radial regions of a double-clad fiber, avoiding single-clad approximations. Modal fields are computed using the weakly guiding approximation (WGA) in the core combined with the semi-WGA at the cladding interfaces, enabling accurate calculation of higher-order modes of penetration into the inner cladding and of the transverse eigenvalues U01 and Umn relevant to TMI. Within this framework, the nonlinear stimulated thermal Rayleigh scattering coupling coefficient is evaluated, including gain saturation and the thermal eigenmodes of the multi-layer geometry. The results show that the inner cladding modifies both the optical and thermal mode structures, altering the optical–thermal overlap between LP01 and higher-order modes and changing the effective strength of STRS, directly influencing the predicted TMI threshold. The proposed formulation provides a quantitative and physically consistent tool for analyzing thermo–optic dynamics in Yb-double-clad fiber amplifiers and supports the design of next-generation high-power fiber lasers with improved modal stability. Full article
(This article belongs to the Special Issue Recent Advancements in Microwave and Optoelectronics Devices)
Show Figures

Figure 1

23 pages, 19719 KB  
Article
Subduction Zones Beneath Indonesia Imaged by Phase Velocity Tomography
by Fang Liu, Dongjun Sun, Ting Yang and Yuhang Dai
Geosciences 2026, 16(3), 101; https://doi.org/10.3390/geosciences16030101 - 1 Mar 2026
Viewed by 638
Abstract
We present a high-resolution 3-D shear-wave velocity model of the Indonesian lithosphere and upper mantle, constructed through a weighted joint inversion of complementary surface wave datasets. Our model integrates teleseismic Rayleigh waves from 387 earthquakes recorded at 31 stations, analyzed using a modified [...] Read more.
We present a high-resolution 3-D shear-wave velocity model of the Indonesian lithosphere and upper mantle, constructed through a weighted joint inversion of complementary surface wave datasets. Our model integrates teleseismic Rayleigh waves from 387 earthquakes recorded at 31 stations, analyzed using a modified two-plane-wave tomography method, with two years of ambient noise data from 30 stations processed via image transformation techniques. Our results provide new structural constraints on the four principal subduction systems in Indonesia. Along the Sunda–Java Trench, the slab exhibits a systematic along-strike transition from a continuous and well-defined geometry in the west to increasingly disrupted and thickened structures toward the east. This evolution correlates with the subduction of progressively older lithosphere. Beneath the Banda Arc, we image a continuous slab whose dramatic 180° curvature and deep coalescence of distinct segments provide direct evidence for a single-slab rollback and folding origin. In the Molucca Sea region, tomography reveals a shallow low-velocity zone and resolves the complex geometry of an active double-sided subduction system associated with arc–arc collision. Collectively, these findings provide unprecedented constraints on slab segmentation and deformation, highlighting the dominant control of lithospheric age and complex plate interactions on the geodynamic evolution of this exceptional convergent boundary. Full article
Show Figures

Figure 1

16 pages, 4238 KB  
Article
Research on Defect Detection of Ceramic Matrix Composites Based on Terahertz Frequency Modulated Continuous Wave Technology
by Wenna Zhang, Bei Jia, Youxing Chen, Zhaoba Wang and Kailiang Xue
Photonics 2026, 13(3), 231; https://doi.org/10.3390/photonics13030231 - 27 Feb 2026
Viewed by 500
Abstract
Ceramic Matrix Composites (CMC) are widely used in critical applications such as leading edges of aircraft wings and thermal insulation layers of thermal protection systems due to their advantages of being lightweight, high-temperature resistant, and impact-resistant. However, influenced by manufacturing processes and service [...] Read more.
Ceramic Matrix Composites (CMC) are widely used in critical applications such as leading edges of aircraft wings and thermal insulation layers of thermal protection systems due to their advantages of being lightweight, high-temperature resistant, and impact-resistant. However, influenced by manufacturing processes and service environments, internal defects such as pores and delamination are prone to occur, significantly compromising the mechanical properties and service reliability of the material. This paper primarily evaluates the feasibility and applicability of using Terahertz Frequency Modulated Continuous Wave (FMCW) technology for the non-contact detection of CMC. First, the measurement principle of FMCW is introduced, and the structure of the detection system, including a two-dimensional mechanical scanning platform, optical lenses, a control platform, and a data acquisition unit, is outlined. Subsequently, scanning imaging was performed on CMC specimens and their bonded thermal protection structure (TPS) specimens, demonstrating the feasibility of Terahertz FMCW technology as an advanced non-destructive testing tool for CMC inspection. The issues of diffraction and the Rayleigh limit inherent in real-aperture terahertz imaging were analyzed and discussed. A multi-scale fusion defect detection method incorporating background estimation is proposed to enable precise delineation of defect regions. Experimental results show that, after processing with the proposed algorithm, the minimum detectable pore diameter at the focal plane is 1 mm, with a regional error of approximately 3%. The detection error for pores and debonding areas in CMC is maintained within 6.44%. Analysis indicates that combining terahertz imaging technology with image processing algorithms enables the quantitative analysis of internal defects in composite materials, offering a new technical approach for defect detection in composite materials. Full article
(This article belongs to the Special Issue Emerging Terahertz Devices and Applications)
Show Figures

Figure 1

23 pages, 1084 KB  
Review
Molecular Dissipative Structuring: The Fundamental Creative Force in Biology
by Karo Michaelian
Entropy 2026, 28(2), 246; https://doi.org/10.3390/e28020246 - 20 Feb 2026
Viewed by 689
Abstract
The spontaneous emergence of macroscopic dissipative structures in systems driven by generalized chemical potentials is well established in non-equilibrium thermodynamics. Examples include atmospheric/oceanic currents, hurricanes and tornadoes, Rayleigh–Bénard convection cells and reaction–diffusion patterns. Less well recognized, however, are microscopic dissipative structures that form [...] Read more.
The spontaneous emergence of macroscopic dissipative structures in systems driven by generalized chemical potentials is well established in non-equilibrium thermodynamics. Examples include atmospheric/oceanic currents, hurricanes and tornadoes, Rayleigh–Bénard convection cells and reaction–diffusion patterns. Less well recognized, however, are microscopic dissipative structures that form when the driving potential excites internal molecular degrees of freedom (electronic states and nuclear coordinates), typically via high-energy photons or coupling with ATP. Examples include dynamic nanoscale lipid rafts, kinesin or dynein motors along microtubules, and spatiotemporal Ca2+ signaling waves propagating through the cytoplasm. The thermodynamic dissipation theory of the origin of life asserts that the core biomolecules of all three domains of life originated as self-organized molecular dissipative structures—chromophores or pigments—that proliferated on the Archean ocean surface to absorb and dissipate the intense “soft” UV-C (205–280 nm) and UV-B (280–315 nm) solar flux into heat. Thermodynamic coupling to ancillary antenna and surface-anchoring molecules subsequently increased photon dissipation and enabled more complex dissipative processes, including photosynthesis, to dissipate lower-energy but higher-intensity UV-A and visible light. Further thermodynamic coupling to abiotic geophysical cycles (e.g., the water cycle, winds, and ocean currents) ultimately led to today’s biosphere, efficiently dissipating the incident solar spectrum well into the infrared. This paper reviews historical considerations of UV light in life’s origin and our proposal of UV-C molecular dissipative structuring of three classes of fundamental biomolecules: nucleobases, fatty acids, and pigments. Increases in structural complexity and assembly into larger complexes are shown to be driven by the thermodynamic imperative of enhancing solar photon dissipation. We conclude that thermodynamic selection of dissipative structures, rather than Darwinian natural selection, is the fundamental creative force in biology at all levels of hierarchy. Full article
(This article belongs to the Special Issue Alive or Not Alive: Entropy and Living Things)
Show Figures

Figure 1

21 pages, 4627 KB  
Article
Analytical Non-Decoupled Solution and Dispersion Characteristics of Rayleigh Waves in Multi-Layered Vertical Transverse Isotropic Media
by Xiaobo Liu, Linjing Zhao and Alexey Stovas
Mathematics 2026, 14(4), 700; https://doi.org/10.3390/math14040700 - 16 Feb 2026
Viewed by 320
Abstract
Seismic wavefield simulation is the primary technique used to study the effects of vertical transverse isotropy (VTI) on the propagation of Rayleigh waves. However, conventional Rayleigh wave dispersion equations are based on isotropic assumptions and cannot be applied to the dispersion characteristics of [...] Read more.
Seismic wavefield simulation is the primary technique used to study the effects of vertical transverse isotropy (VTI) on the propagation of Rayleigh waves. However, conventional Rayleigh wave dispersion equations are based on isotropic assumptions and cannot be applied to the dispersion characteristics of multi-layered VTI media. Based on the Rayleigh wave potential functions in VTI media, this study derives inhomogeneous wave equations governing the Rayleigh wave potentials. These equations exhibit a distinctive duality; the particular solution associated with the inhomogeneous term in the P-wave equation coincides exactly with the solution of the homogeneous SV-wave equation. Compared to existing methods, the solution to the wave equations does not require decoupling. Using conventional exponential-form potential function solutions, this study realizes the analytical computation of Rayleigh wave inhomogeneous wave equations in VTI media and establishes a dispersion equation for multi-layered VTI media. The reliability of the method is verified through mathematical back substitution and numerical validation. To further explore the dispersion characteristics of Rayleigh waves in VTI media, a three-layered model is designed, and the dispersion response features under different VTI parameters are computed, indicating the high sensitivity of the dispersion curves to changes in any of the five VTI parameters. This paper presents a non-decoupled recursive analytical method for computing Rayleigh wave wavefields and dispersion curves in VTI media. The approach requires solving only a second-order inhomogeneous boundary-value differential equation and adopts the standard exponential potential representation used for isotropic media. This makes the method more practical and yields a fast, convenient algorithm for seismic parameter inversion and data processing in VTI media. Full article
(This article belongs to the Section C1: Difference and Differential Equations)
Show Figures

Figure 1

16 pages, 23180 KB  
Article
Noise Characteristics and Shallow Subsurface Structure Detection in Coastal Zones: A Case Study from Dong’ao Island, Zhuhai
by Siqing Liu, Sixu Han, Yongzhi Liang, Shuji Yang, Yi Chai, Tongying Hu, Ruifeng Wu, Yu Li, Qingxian Zhao, Zengjia Li, Wei Zhang, Xianqing Wang and Rui Wang
J. Mar. Sci. Eng. 2026, 14(4), 334; https://doi.org/10.3390/jmse14040334 - 9 Feb 2026
Viewed by 433
Abstract
Shallow subsurface structure detection in coastal zones serves as a critical foundation for resource development and engineering construction. However, conventional geophysical methods exhibit significant limitations in land–sea transition zones, where pronounced “boundary effects” create substantial “exploration gaps” due to difficulties in merging terrestrial [...] Read more.
Shallow subsurface structure detection in coastal zones serves as a critical foundation for resource development and engineering construction. However, conventional geophysical methods exhibit significant limitations in land–sea transition zones, where pronounced “boundary effects” create substantial “exploration gaps” due to difficulties in merging terrestrial and marine datasets. To achieve truly seamless subsurface imaging across the coastal boundary, this study develops and implements an integrated cross-boundary survey approach utilizing nodal seismometers and seismic ambient noise. At Dong’ao Island, Zhuhai, we deployed a comprehensive seismic profile spanning hillside, sandbeach, and seafloor environments to evaluate the method’s applicability in complex coastal settings systematically. Results demonstrate substantially stronger ambient noise energy in submarine environments compared to terrestrial settings. All stations recorded abundant and stable high-frequency (>1 Hz) noise signals, which are adequate for shallow subsurface imaging. Rayleigh wave dispersion curves extracted via the advanced Frequency-Bessel transform method enabled inversion of a continuous 2D shear-wave velocity profile along the survey line. Bedrock interface depths determined using the Horizontal-to-Vertical Spectral Ratio (HVSR) method showed remarkable consistency with the bedrock morphology revealed by the shear-wave velocity structure, validating the reliability of our approach in coastal environments. This research successfully demonstrates the feasibility of seismic ambient noise imaging as a bridging technique for land–sea exploration, providing an efficient, environmentally friendly, and continuous technical solution to overcome coastal zone exploration challenges. Full article
(This article belongs to the Special Issue Advances in Sedimentology and Coastal and Marine Geology, 3rd Edition)
Show Figures

Figure 1

19 pages, 4758 KB  
Article
An Experimental Investigation on Hypersonic Boundary Layer Stability over a Fin–Cone Configuration
by Dailin Lv, Fu Zhang, Yifan Yang, Xueliang Li and Jie Wu
Aerospace 2026, 13(2), 151; https://doi.org/10.3390/aerospace13020151 - 6 Feb 2026
Viewed by 459
Abstract
To investigate the hypersonic boundary layer transition over complex three-dimensional configurations, this study conducted an experiment using infrared thermography, Rayleigh scattering visualization, and high-frequency pressure sensors in a Mach 6 Ludwieg wind tunnel. The infrared results indicate that increasing the Reynolds number promotes [...] Read more.
To investigate the hypersonic boundary layer transition over complex three-dimensional configurations, this study conducted an experiment using infrared thermography, Rayleigh scattering visualization, and high-frequency pressure sensors in a Mach 6 Ludwieg wind tunnel. The infrared results indicate that increasing the Reynolds number promotes boundary layer transition on the model surface. Spectral analysis reveals a high-frequency peak centered at 250 kHz on the finless side of the windward surface. Comprehensive analysis indicates this represents high-frequency secondary instability triggered by the traveling crossflow mode in its nonlinear phase. On the finless side of the leeward surface, a typical Mack second-mode high-frequency instability amplification process is observed within the 140–280 kHz frequency band. Additionally, the spectrum results for the fin–cone junction became more complex. On the windward side, the primary energy concentration in the junction zone is observed between 80 and 200 kHz, with calculated wave packet velocities higher than those on the finless side. Wavelet analysis reveals that low-frequency modes are amplified first and gradually excite high-frequency components, with significant modal coupling appearing in the high-frequency region of the bicoherence. The leeward fin–cone junction exhibits dual-band characteristics at 60–120 kHz and 180–260 kHz, demonstrating stronger intermodal interactions. Both the windward and leeward surfaces of the fin show low-frequency transverse flow-like modes around 70–180 kHz. The spectral results for the windward and leeward sides are largely consistent, with only slight differences in amplitude levels and saturation positions. Full article
(This article belongs to the Special Issue Instability and Transition of Compressible Flows)
Show Figures

Figure 1

14 pages, 3454 KB  
Article
Study on Non-Contact Defect Detection Using the Laser Ultrasonic Method for Friction Stir-Welded Cu–Al Dissimilar Material Joints
by Kazufumi Nomura, Shogo Ishifuro and Satoru Asai
Appl. Sci. 2026, 16(2), 688; https://doi.org/10.3390/app16020688 - 9 Jan 2026
Cited by 1 | Viewed by 589
Abstract
Ensuring friction stir welding (FSW) joint quality typically relies on ultrasonic testing (UT) and radiographic testing (RT), but achieving complete coverage is challenging, and echo-based defect discrimination becomes difficult in dissimilar joints. Laser ultrasonics is a promising non-contact technique that remotely assesses weld [...] Read more.
Ensuring friction stir welding (FSW) joint quality typically relies on ultrasonic testing (UT) and radiographic testing (RT), but achieving complete coverage is challenging, and echo-based defect discrimination becomes difficult in dissimilar joints. Laser ultrasonics is a promising non-contact technique that remotely assesses weld quality and provides high spatial resolution at the generation and detection points. This study establishes a laser-ultrasonic method for defect detection in dissimilar Cu–Al FSW joints. Slit-like artificial defects (0.1–2.5 mm deep in 5 mm thick plates) were introduced at the Al-side interface of specimens fabricated with an Al-offset tool. Experiments and numerical simulations were used to evaluate wave modes and irradiation configurations, focusing on intensity-attenuation ratios of specific wave types, including longitudinal and Rayleigh waves. On the non-slit surface, attenuation of reflected longitudinal waves enabled detection of defects ≥0.5 mm deep. On the slit surface, Rayleigh-wave attenuation allowed identification of defects as shallow as 0.1 mm, although slit-side irradiation may be less practical during joining. These results demonstrate that defect identification in dissimilar materials can be achieved by evaluating wave-intensity attenuation rather than relying solely on the presence of reflected echoes, suggesting potential for implementing laser ultrasonics in in-process monitoring of FSW joints. Full article
(This article belongs to the Special Issue Industrial Applications of Laser Ultrasonics)
Show Figures

Figure 1

18 pages, 4000 KB  
Article
Broadband Seismic Metamaterials Based on Gammadion-Shaped Chiral Structures
by Yawen Shen, Boyang Zhang, Pengcheng Ma, Qiujiao Du, Hongwu Yang, Pai Peng and Fengming Liu
Crystals 2025, 15(12), 1063; https://doi.org/10.3390/cryst15121063 - 18 Dec 2025
Cited by 1 | Viewed by 556
Abstract
Controlling seismic wave propagation to protect critical infrastructure through metamaterials has emerged as a frontier research topic. The narrow bandgap and heavy weight of a resonant seismic metamaterial (SM) limit its application for securing buildings. In this research, we first develop a two-dimensional [...] Read more.
Controlling seismic wave propagation to protect critical infrastructure through metamaterials has emerged as a frontier research topic. The narrow bandgap and heavy weight of a resonant seismic metamaterial (SM) limit its application for securing buildings. In this research, we first develop a two-dimensional (2D) seismic metamaterial with gammadion-shaped chiral inclusions, achieving a high relative bandgap width of 77.34%. Its effective mass density is investigated to clarify the generation mechanism of the bandgap due to negative mass density between 12.53 and 28.33 Hz. Then, the gammadion-shaped pillars are introduced on a half-space to design a three-dimensional (3D) chiral SM to attenuate Rayleigh waves within a wider low-frequency range. Further, time-frequency analyses for real seismic waves and scaled experimental tests confirm the practical feasibility of the 3D SM. Compared with common resonant SMs, our chiral configurations offer a wider attenuation zone and lighter weight. Full article
(This article belongs to the Special Issue Research and Applications of Acoustic Metamaterials)
Show Figures

Figure 1

19 pages, 6064 KB  
Article
Distributed Acoustic Sensing of Urban Telecommunication Cables for Subsurface Tomography
by Yanzhe Zhang, Cai Liu, Jing Li and Qi Lu
Appl. Sci. 2025, 15(24), 13145; https://doi.org/10.3390/app152413145 - 14 Dec 2025
Viewed by 559
Abstract
With the continuous development of cities and the increasing utilization of underground space, ambient noise seismic imaging has become an essential approach for exploring and monitoring the urban subsurface. The integration of Distributed Acoustic Sensing (DAS) with ambient noise imaging offers a more [...] Read more.
With the continuous development of cities and the increasing utilization of underground space, ambient noise seismic imaging has become an essential approach for exploring and monitoring the urban subsurface. The integration of Distributed Acoustic Sensing (DAS) with ambient noise imaging offers a more convenient and effective solution for investigating shallow subsurface structures in urban environments. To overcome the limitations of conventional ambient noise seismic nodes, which are costly and incapable of achieving high-density data acquisition, this work makes use of existing urban telecommunication fibers to record ambient noise and perform sliding-window cross-correlation on it. Then the Phase-Weighted Stack (PWS) technique is applied to enhance the quality and stability of the cross-correlation signals, and fundamental-mode Rayleigh wave dispersion curves are extracted from the cross-correlation functions through the High-Resolution Linear Radon Transform (HRLRT). In the inversion stage, an adaptive regularization strategy based on automatic L-curve corner detection is introduced, which, in combination with the Preconditioned Steepest Descent (PSD) method, enables efficient and automated dispersion inversion, resulting in a well-resolved near-surface S-wave velocity structure. The results indicate that the proposed workflow can extract useful surface-wave dispersion information under typical urban noise conditions, achieving a feasible level of subsurface velocity imaging and providing a practical technical means for urban underground space exploration and utilization. Full article
(This article belongs to the Section Earth Sciences)
Show Figures

Figure 1

22 pages, 8740 KB  
Article
Application of Multi-Station High-Frequency Microtremor Surface Wave Exploration in Coastal Engineering Research: A Case Study of Dongzhou Peninsula in Fujian Province
by Fei Cheng, Daicheng Peng, Daohuang Yang and Jiangping Liu
J. Mar. Sci. Eng. 2025, 13(12), 2364; https://doi.org/10.3390/jmse13122364 - 12 Dec 2025
Viewed by 582
Abstract
This study proposes a multi-station high-frequency microtremor surface-wave exploration method for high-resolution characterization of shallow subsurface structures in coastal engineering environments. Three representative layered geological models were established, and Rayleigh-wave theoretical dispersion curves were calculated using a fast vector transfer algorithm to analyze [...] Read more.
This study proposes a multi-station high-frequency microtremor surface-wave exploration method for high-resolution characterization of shallow subsurface structures in coastal engineering environments. Three representative layered geological models were established, and Rayleigh-wave theoretical dispersion curves were calculated using a fast vector transfer algorithm to analyze dispersion characteristics associated with different stratigraphic conditions. Five array geometries were then employed to acquire high-frequency ambient-noise data, and dispersion curves were extracted using the Extended Spatial Autocorrelation (ESPAC) method. Comparative analysis revealed that the rectangular, triangular, and circular arrays provided the most stable and accurate dispersion imaging, with mismatch errors below 0.5%, and their inverted S-wave velocity structures closely matched theoretical models. Field application on the Dongzhou Peninsula in Fujian Province further demonstrated the effectiveness of the proposed method. The inverted shear-wave (S-wave) velocity profiles from three survey lines successfully delineated the original and reclaimed coastlines, showing strong agreement with known geological boundaries. These results demonstrate that the proposed approach provides a non-invasive, cost-effective, and high-resolution tool for evaluating geological conditions in coastal engineering settings. It shows substantial potential for broader application in coastal site characterization and marine engineering development. Full article
(This article belongs to the Special Issue Advances in Marine Geomechanics and Geotechnics)
Show Figures

Figure 1

Back to TopTop