Sign in to use this feature.

Years

Between: -

Subjects

remove_circle_outline
remove_circle_outline
remove_circle_outline
remove_circle_outline
remove_circle_outline
remove_circle_outline
remove_circle_outline
remove_circle_outline
remove_circle_outline

Journals

remove_circle_outline
remove_circle_outline
remove_circle_outline
remove_circle_outline
remove_circle_outline
remove_circle_outline
remove_circle_outline
remove_circle_outline
remove_circle_outline
remove_circle_outline
remove_circle_outline
remove_circle_outline
remove_circle_outline

Article Types

Countries / Regions

remove_circle_outline
remove_circle_outline
remove_circle_outline
remove_circle_outline
remove_circle_outline

Search Results (924)

Search Parameters:
Keywords = protein denaturation

Order results
Result details
Results per page
Select all
Export citation of selected articles as:
14 pages, 1619 KB  
Article
Synergistic Effects of Sodium Lauryl Sulfate and Lauryl Dimethylamine Oxide Blends on Foam Properties and Skin Irritation Reduction
by Elena Herrero, Cristina Calabuig, Francisco Ríos and Manuela Lechuga
Cosmetics 2026, 13(1), 17; https://doi.org/10.3390/cosmetics13010017 - 13 Jan 2026
Abstract
Surfactants are commonly employed in cleaning, cosmetic, and pharmaceutical formulations due to their ability to lower surface tension and facilitate the formation of emulsions, foams, and dispersions. Recent research highlights the advantages of synergistic interactions between anionic and nonionic surfactants to improve overall [...] Read more.
Surfactants are commonly employed in cleaning, cosmetic, and pharmaceutical formulations due to their ability to lower surface tension and facilitate the formation of emulsions, foams, and dispersions. Recent research highlights the advantages of synergistic interactions between anionic and nonionic surfactants to improve overall performance. In this study, the physicochemical properties and performance of binary mixtures of the anionic surfactant sodium lauryl sulfate (SLS) and the amphoteric surfactant lauryl dimethyl amine oxide (LDAO) at varying ratios (100% SLS, 90:10, 80:20, 70:30, 60:40, and 50:50) were investigated. Key parameters analysed included critical micelle concentration (CMC), surface tension (γ), foam volume, and potential irritability, assessed via the Zein test. The results revealed a clear synergistic effect between SLS and LDAO: all mixtures showed reduced CMC and minimum surface tension compared to the individual surfactants, while exhibiting enhanced foam volume and stability. Regarding irritability, increasing LDAO content consistently led to decreased protein denaturation, indicating lower irritancy levels. Furthermore, the results obtained in the Zein test confirmed that mixtures induced less protein denaturation than the sum of their individual surfactant components, with formulations ranging from moderately to non-irritating. The results obtained indicate that the more stable mixed micelle systems (SLS + LDAO) might improve the performance of cleaning formulations (γ, CMC, foam) while reducing the irritability. Full article
(This article belongs to the Section Cosmetic Formulations)
Show Figures

Figure 1

17 pages, 2189 KB  
Article
Basal Heat Capacity of Skinned Skeletal Muscle with Selective Removal and Denaturation of Myoproteins: A Study with Differential Scanning Calorimetry
by Naoya Nakahara, Tetsuo Ohno, Sumiko Kimura, Maki Yamaguchi and Shigeru Takemori
Int. J. Mol. Sci. 2026, 27(2), 710; https://doi.org/10.3390/ijms27020710 - 10 Jan 2026
Viewed by 55
Abstract
The specific heat capacity of skinned muscle in an adhering rigor solution was studied with differential scanning calorimetry (DSC) heating runs to search for a heat sink in the sarcomere of the muscle. To elucidate the contribution of major myoproteins to heat capacity, [...] Read more.
The specific heat capacity of skinned muscle in an adhering rigor solution was studied with differential scanning calorimetry (DSC) heating runs to search for a heat sink in the sarcomere of the muscle. To elucidate the contribution of major myoproteins to heat capacity, myosin and actin were partially removed by high-KCl and gelsolin treatments, respectively. Differential heat denaturation of myosin (together with α-actinin) and actin was induced to confirm their contributions. On the DSC curve, aside from the endothermic peaks representing ice melting and protein denaturation, the steady baseline level showed a significant increase in basal heat capacity in the presence of skinned muscle compared to the rigor solution alone. In the physiological temperature range from 10 to 25 °C, untreated skinned muscle in the native state (non-denatured) introduced an extra basal heat capacity of 0.4 J K−1 (g evaporable weight)−1, which was diminished by both removing and denaturing actin and was additionally increased by removing myosin; myosin denaturation had little effect on the basal heat capacity. Based on these results, we considered actin to be the fundamental source of extra basal heat capacity, which was partly suppressed by the thermally stable region of myosin under rigor conditions. This extra basal heat capacity was roughly preserved at sub-zero temperatures, suggesting the involvement of non-freezing water molecules. The extra basal heat capacity may have contributed to thermal buffering during muscle function via actin-associated hydration. As a supplemental result, we found a small reversible endothermic peak around −21 °C, which was suppressed in the presence of skinned muscle. Heating beyond the denaturing temperatures reduced this suppression effect. Full article
(This article belongs to the Section Molecular Biophysics)
Show Figures

Figure 1

33 pages, 6524 KB  
Article
Development of Human Serum Albumin-Based Hydrogels for Potential Use as Wound Dressings
by Inna Zharkova, Irina Bauer, Oksana Gulyaeva, Evgenia Kozyreva, Zhanna Nazarkina and Elena Dmitrienko
Gels 2026, 12(1), 64; https://doi.org/10.3390/gels12010064 - 9 Jan 2026
Viewed by 97
Abstract
Protein-based materials such as human serum albumin (HSA) have demonstrated significant potential for the development of novel wound management materials. For the first time, the formation of HSA-based hydrogels was proposed using a combination of thermal- and ethanol-induced approaches. The combination of phosphate-buffered [...] Read more.
Protein-based materials such as human serum albumin (HSA) have demonstrated significant potential for the development of novel wound management materials. For the first time, the formation of HSA-based hydrogels was proposed using a combination of thermal- and ethanol-induced approaches. The combination of phosphate-buffered saline (PBS) and limited (up to 20% v/v) ethanol content offers a promising strategy for fabricating human serum albumin-based hydrogels with tunable properties. The hydrogel formation was studied using in situ dynamic light scattering (DLS) for qualitative and semi-quantitative analysis of the patterns of protein hydrogel formation through thermally induced gelation. The rheological properties of human serum albumin-based hydrogels were investigated. Hydrogels synthesized via thermally induced gelation using a denaturing agent exhibit a dynamic viscosity ranging from 100 to 10,000 mPa·s. The biocompatibility, biodegradability, and structural stability of human serum albumin-based hydrogels were comprehensively evaluated in physiologically relevant media. These human serum albumin-based hydrogels represent a promising platform for developing topical therapeutic agents for wound management and tissue engineering applications. This study investigated the kinetics of tetracycline release from human serum albumin-based hydrogels in PBS and fetal bovine serum (FBS). All tested formulations of HSA-based hydrogels loaded with tetracycline (1 mg/mL) demonstrated antibacterial activity against Staphylococcus aureus, Staphylococcus epidermidis, Staphylococcus haemolyticus, and Corynebacterium striatum strains. Full article
(This article belongs to the Section Gel Chemistry and Physics)
24 pages, 2590 KB  
Article
Soy Flour and Radish Leaf-Enriched Steamed Dumplings (Manti): Technological, Nutritional, and Sensory Characteristics
by Yurii Syromiatnykov, Shakhista Ishniyazova, Dildora Nurvafaeva, Zuxra Saidmuradova, Abdusator Yusupov, Giyos Tursunov, Ulmas Safarov, Shaxnoza Shamsieva and Shuxrat Yusupov
Foods 2026, 15(2), 243; https://doi.org/10.3390/foods15020243 - 9 Jan 2026
Viewed by 164
Abstract
This study investigated the technological, nutritional, and sensory effects of incorporating soybean flour and radish leaves into steamed manti, with emphasis on moisture-loss kinetics, protein denaturation, true retention (TR), and relative nutrient density (RND). Four formulations were examined: potato control (PC), [...] Read more.
This study investigated the technological, nutritional, and sensory effects of incorporating soybean flour and radish leaves into steamed manti, with emphasis on moisture-loss kinetics, protein denaturation, true retention (TR), and relative nutrient density (RND). Four formulations were examined: potato control (PC), potato + soy (PS), greens control (GC), and greens + soy (GS). Steaming induced compositional increases in dry matter, ash, protein, and fat due to moisture reduction rather than absolute changes in solids. Greens-based formulations exhibited significantly lower moisture-loss and protein-denaturation rate constants, indicating stronger hydration stability and structural resistance during thermal processing. These kinetic advantages translated into higher TR values for protein and fat in GC and GS compared with potato-based samples. Soy flour substantially increased protein and lipid content and improved dough cohesiveness but did not influence thermal behavior or moisture-loss kinetics within the same matrix. When nutrient delivery was normalized to energy content, soy- and greens-enriched manti showed the highest RND values, reflecting a favorable combination of nutrient retention and lower caloric density. Sensory evaluation confirmed that soy enhanced textural attributes, while radish leaves contributed desirable juiciness and aroma. Overall, the combined use of radish leaves and soybean flour offers a sustainable approach to producing nutrient-dense, sensory-acceptable traditional foods while supporting the valorisation of leafy by-products. Full article
Show Figures

Figure 1

18 pages, 6137 KB  
Article
Dissolving Silver Nanoparticles Modulate the Endothelial Monocyte-Activating Polypeptide II (EMAP II) by Partially Unfolding the Protein Leading to tRNA Binding Enhancement
by Lesia Kolomiiets, Paulina Szczerba, Wojciech Bal and Igor Zhukov
Int. J. Mol. Sci. 2026, 27(2), 605; https://doi.org/10.3390/ijms27020605 - 7 Jan 2026
Viewed by 109
Abstract
Metal nanoparticles (NP) are increasingly used in biomedical applications. Among them, silver NPs (AgNPs) are used as active components in antibacterial coatings for wound dressings, medical devices, implants, cosmetics, textiles, and food packaging. On the other hand, AgNPs can be toxic to humans, [...] Read more.
Metal nanoparticles (NP) are increasingly used in biomedical applications. Among them, silver NPs (AgNPs) are used as active components in antibacterial coatings for wound dressings, medical devices, implants, cosmetics, textiles, and food packaging. On the other hand, AgNPs can be toxic to humans, depending on the dose and route of exposure, as agents delivering silver to cells. The cysteine residues are the primary molecular targets in such exposures, due to the high affinity of Ag+ ions to thiol groups. The Endothelial monocyte-activating polypeptide II (EMAP II), a cleaved C-terminal peptide of the intracellular aminoacyl-tRNA synthetase multifunctional protein AIMP1, contains five cysteines exposed at its surface. This prompted the question of whether they can be targeted by Ag+ ions present at the AgNPs surface or released from AgNPs in the course of oxidative metabolism of the cell. We explored the interactions between recombinant EMAP II, tRNA, and AgNPs using UV-Vis and fluorescence spectroscopy, providing insight into the effects of AgNPs dissolution kinetics on interaction EMAP II with tRNA. In addition, the EMAP II fragments binding to intact AgNPs were established by heteronuclear 1H-15N HSQC spectra utilizing a paramagnetic probe. Structural analysis of the EMAP II reveal that the 3D structure of protein was destabilized (partially denatured) by the binding of Ag+ ions released from AgNPs at the most exposed cysteines. Surprisingly, this effect enhanced tRNA affinity to EMAP II, lowering its Kd. The course of the EMAP II/tRNA/AgNP reaction was also modulated by other factors, such as the presence of Mg2+ ions and TCEP, a thiol-group protector used to mimic the reducing conditions of the cell. Full article
(This article belongs to the Section Molecular Nanoscience)
Show Figures

Figure 1

44 pages, 2030 KB  
Review
Recent Developments in Protein-Based Hydrogels for Advanced Drug Delivery Applications
by Giuseppe Scopelliti, Claudia Ferraro, Ortensia Ilaria Parisi and Marco Dattilo
Pharmaceutics 2026, 18(1), 74; https://doi.org/10.3390/pharmaceutics18010074 - 6 Jan 2026
Viewed by 251
Abstract
Protein-based hydrogels are increasingly recognized as promising biomaterials for advanced drug delivery, owing to their biocompatibility, biodegradability, and ability to recreate extracellular matrix-like environments. By tailoring the protein source, crosslinking strategy, molecular architecture, and functionalization, these hydrogels can be engineered to mimic the [...] Read more.
Protein-based hydrogels are increasingly recognized as promising biomaterials for advanced drug delivery, owing to their biocompatibility, biodegradability, and ability to recreate extracellular matrix-like environments. By tailoring the protein source, crosslinking strategy, molecular architecture, and functionalization, these hydrogels can be engineered to mimic the mechanical and biological features of native tissues. Protein-derived hydrogels are currently explored across biomedical and pharmaceutical fields, including drug delivery systems, wound healing, tissue engineering, and, notably, cancer therapy. In recent years, growing attention has been directed toward natural protein hydrogels because of their inherent bioactivity and versatile physicochemical properties. This review provides an updated overview of protein-based hydrogel classification, properties, and fabrication methods. It highlights several widely studied natural proteins, such as gelatin, collagen, silk fibroin, soy protein, casein, and whey protein, that can form hydrogels through physical, chemical, or enzymatic crosslinking. These materials offer tunable mechanical behavior, controllable degradation rates, and abundant functional groups that support efficient drug loading and the development of stimuli-responsive platforms. Furthermore, we examine current advances in their application as drug delivery systems, with particular emphasis on cancer treatment. Protein-based hydrogels have demonstrated the ability to protect therapeutic molecules, provide sustained or targeted release, and enhance therapeutic effectiveness. Although critical challenges, such as batch-to-batch variability, sterilization-induced denaturation, and the requirement for comprehensive long-term immunogenicity assessment, must still be addressed to enable successful translation from preclinical studies to clinical application, ongoing advances in the design and functionalization of natural protein hydrogels highlight their promise as next-generation platforms for precision drug delivery. Full article
(This article belongs to the Section Drug Delivery and Controlled Release)
Show Figures

Figure 1

14 pages, 3966 KB  
Article
In Vitro Refolding of Vault-like Protein Nanocapsules with a Novel Scaffolding Mechanism
by Gabriela Breen, Martin Gonzales, Gracemarie Yeh, Tyler Delyon, Clare McNeill, Anika Lenci, Stephen Thong and Rodney Burton
Int. J. Mol. Sci. 2026, 27(1), 396; https://doi.org/10.3390/ijms27010396 - 30 Dec 2025
Viewed by 249
Abstract
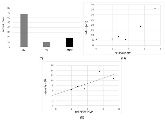
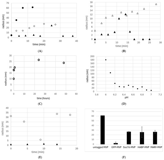
We attempted the in vitro scaffold-coordinated refolding of denatured major vault protein monomers into assembled vault-like nanoparticles. DNA or hyaluronic acid-binding tags were added to the MVP monomers, allowing MVP to align rotationally and translationally along these linear molecules. This was proposed to [...] Read more.
We attempted the in vitro scaffold-coordinated refolding of denatured major vault protein monomers into assembled vault-like nanoparticles. DNA or hyaluronic acid-binding tags were added to the MVP monomers, allowing MVP to align rotationally and translationally along these linear molecules. This was proposed to mimic the polyribosome assembly in vivo. Tagged MVP variants were expressed in E. coli and purified under denaturing conditions. Dynamic light scattering showed the formation of nanoparticles with a hydrodynamic radius of ~26 nm, consistent with the formation of vault-like nanoparticles. This was confirmed by transmission electron microscopy, FRET analysis, and cargo loading of CFP-INT fusion. CFP- and YFP-tagged MVP showed FRET only in the presence of MVP with a DNA-binding tag. This is the first successful instance of bioengineering of homogenous and heterogeneous vault-like nanoparticles, and at a potentially much larger scale than current protocols. Full article
(This article belongs to the Section Molecular Nanoscience)
Show Figures

Figure 1

16 pages, 681 KB  
Review
Research Progress on the Application of Trichoderma in Plant Abiotic Stress
by Meilan Zhao, Huanrui Zhao, Peng Wang, Longfei Jin, Yang Yue and Dejian Zhang
Horticulturae 2026, 12(1), 29; https://doi.org/10.3390/horticulturae12010029 - 26 Dec 2025
Cited by 1 | Viewed by 230
Abstract
Abiotic stresses, including salt stress, drought, extreme temperature, heavy metal pollution, and waterlogging, interfere with the normal physiological activities of plants through multiple pathways. These stresses destroy the structure and function of cell membranes, inhibit enzyme activity, cause protein denaturation, and trigger oxidative [...] Read more.
Abiotic stresses, including salt stress, drought, extreme temperature, heavy metal pollution, and waterlogging, interfere with the normal physiological activities of plants through multiple pathways. These stresses destroy the structure and function of cell membranes, inhibit enzyme activity, cause protein denaturation, and trigger oxidative stress. Such effects not only slow plant biomass accumulation but may also initiate a series of secondary metabolic reactions, increasing the metabolic burden on plants. Abiotic stress poses a serious threat to agricultural production through yield reductions, while exerting profound negative impacts on ecosystem stability, causing many adverse effects. This review focuses on how Trichoderma promotes plant growth and nutrient uptake through multiple mechanisms under abiotic stress conditions. Additionally, it produces abundant secondary metabolites to activate the antioxidant system, thereby enhancing plant tolerance to abiotic stress and their defense capabilities. It can boost soil nutrient availability, enhance agrochemical-contaminated soil, promote crop growth, and improve yield and quality, while reducing the use of chemical pesticides and lessening environmental impacts. Therefore, as a crucial soil microorganism, Trichoderma has great potential in alleviating crop abiotic stress. Through deep research and technological innovation, Trichoderma is expected to become an important tool for sustainable agricultural development. Full article
Show Figures

Figure 1

14 pages, 3032 KB  
Article
Protective and Restorative Effects of a Bio-Based Crosslinking Complex on Chemically Damaged Hair
by Flavio B. Camargo Junior, Alessandra M. Goshiyama, Gessica F. D. Oliveira, Marcos R. Rossan, Cleverson R. Princival, Edson Katekawa, Wagner Magalhães, Rafaela de Almeida Zito, Letícia Kakuda and Patrícia Maria Berardo Gonçalves Maia Campos
Cosmetics 2026, 13(1), 3; https://doi.org/10.3390/cosmetics13010003 - 24 Dec 2025
Viewed by 527
Abstract
This study addresses the growing consumer demand for effective and sustainable hair care solutions by evaluating a novel bioactive crosslink repair complex designed to restore chemically damaged hair. The complex comprises itaconic acid, arginine, D-panthenol, and polysaccharides from linseed and chia, which work [...] Read more.
This study addresses the growing consumer demand for effective and sustainable hair care solutions by evaluating a novel bioactive crosslink repair complex designed to restore chemically damaged hair. The complex comprises itaconic acid, arginine, D-panthenol, and polysaccharides from linseed and chia, which work synergistically to promote fiber crosslinking, protein restructuring, and cuticle barrier restoration. The complex was incorporated into two formulations: a bleaching mixture as a protective agent and a leave-in conditioner as a repair treatment for chemically damaged hair. The protective efficacy was assessed through tensile strength measurements, differential scanning calorimetry, combability tests, shine evaluation, and scanning electron microscopy. The repair potential was evaluated using differential scanning calorimetry and tensile strength analysis. Results demonstrated that incorporating the complex into the bleaching mixture significantly enhanced break stress, denaturation enthalpy, shine, and combability, while maintaining improved cuticle alignment. The hair repair evaluation showed that post-treatment application of the complex successfully restored hair tensile strength and denaturation. These findings confirm the dual functionality of Bioactive Crosslink Repair Complex as both a protective and reparative agent, highlighting synergistic mechanisms in preventing and reversing chemical damage to hair fibers. This bioactive approach offers a promising alternative for hair care formulations targeting chemically treated hair. Full article
(This article belongs to the Section Cosmetic Formulations)
Show Figures

Figure 1

12 pages, 1416 KB  
Article
Synergistic Effect of Nanoplastics and GenX on Human Serum Albumin: The Role of Protein Corona Formation and Co-Adsorption
by Yuntao Qi, Qianyue Yin, Penghang Ni, Wansong Zong, Qigui Niu and Rutao Liu
Toxics 2026, 14(1), 12; https://doi.org/10.3390/toxics14010012 - 22 Dec 2025
Viewed by 336
Abstract
GenX, also known as hexafluoroepoxypropane dimer acid (HFPO-DA), an emerging perfluoroalkyl substance alternative, is extensively used in industrial processes and is resistant to degradation. This persistence heightens the potential for co-occurrence and combined toxicity with other environmental pollutants. Nanoplastics (NPs), ubiquitous environmental contaminants, [...] Read more.
GenX, also known as hexafluoroepoxypropane dimer acid (HFPO-DA), an emerging perfluoroalkyl substance alternative, is extensively used in industrial processes and is resistant to degradation. This persistence heightens the potential for co-occurrence and combined toxicity with other environmental pollutants. Nanoplastics (NPs), ubiquitous environmental contaminants, can exacerbate the biological toxicity of GenX. However, the molecular mechanisms by which NPs influence GenX-induced structural damage to human serum albumin (HSA) remain unclear. This study, therefore, employed multi-spectroscopic techniques, characterization assays, and molecular simulations to investigate these mechanisms. A critical limitation is that the observed structural damage occurred at a GenX concentration of 0.05–0.1 mM. The results indicate that the presence of NPs exacerbated the loosening of the protein backbone and caused a more pronounced reduction in α-helical content (NPs@GenX: 37.3%; GenX alone: 41.5%). The binding is predicted to occur within the hydrophobic pocket of subdomain IIIA of HSA. Characterization assays further revealed significant protein aggregation in systems containing NPs. The study concludes that NPs adsorb HSA through the formation of a protein corona, while simultaneously binding GenX via hydrophobic interactions. This dual pathway—direct binding of HSA to GenX and an active surface-mediated perturbation by NPs—constitutes the primary mechanism leading to aggravated structural changes. Overall, this work elucidates the molecular mechanisms by which NPs exacerbate HSA denaturation in the presence of GenX, offering valuable insights for assessing the combined ecological risks of emerging and persistent environmental pollutants. Full article
(This article belongs to the Section Emerging Contaminants)
Show Figures

Graphical abstract

20 pages, 686 KB  
Review
Monitoring and Maintaining the Freshness of Royal Jelly: A Review of Analytical Approaches and Preservation Technologies
by Yu Zhang, Jing Sun, Rui Chen, Lin Zhang, Xuan Ma, Jiangying Heng, Feng Wang and Xiaofeng Xue
Foods 2025, 14(24), 4300; https://doi.org/10.3390/foods14244300 - 14 Dec 2025
Viewed by 627
Abstract
Royal jelly, a high-value natural product rich in bioactive compounds, is highly susceptible to quality deterioration during storage and processing. However, current quality standards rely predominantly on basic physicochemical parameters and measuring the content of 10-hydroxy-2-decenoic acid (10-HDA), which fail to capture the [...] Read more.
Royal jelly, a high-value natural product rich in bioactive compounds, is highly susceptible to quality deterioration during storage and processing. However, current quality standards rely predominantly on basic physicochemical parameters and measuring the content of 10-hydroxy-2-decenoic acid (10-HDA), which fail to capture the comprehensive and dynamic nature of its freshness. This significant knowledge gap hinders the accurate assessment, prediction, and control of royal jelly quality throughout its supply chain. To address this limitation, this review systematically elucidates the molecular mechanisms underlying the deterioration of royal jelly freshness, including key pathways such as protein denaturation, Maillard reactions, enzymatic inactivation, and lipid oxidation, and analyzes the combined effects of intrinsic and extrinsic factors on its quality stability. It highlights the potential applications of novel biochemical markers—including major royal jelly proteins (MRJPs), Maillard reaction products, enzymatic activity indicators, and energy metabolites—while comparing the advantages and limitations of traditional chromatographic techniques with modern rapid sensing and spectroscopic analysis methods. Regarding preservation, a critical yet inadequately summarized area, this review systematically evaluates the applicability and limitations of various approaches, including low-temperature storage, drying treatments, non-thermal sterilization, microencapsulation, and modified atmosphere packaging. Future directions for integrated quality control are outlined, providing a theoretical basis for holistic quality management of royal jelly. Full article
(This article belongs to the Section Food Quality and Safety)
Show Figures

Graphical abstract

18 pages, 3767 KB  
Article
Effect of Boiling on Meretrix lyrata Protein Structure Variation and Its Mechanism Based on Data-Independent Acquisition (DIA) Quantitative Proteomics
by Wen-Hui Shang, Zhi-Chao Chang, Yi-Wen Wang, Quzhen Luosang, Yu-Yu Hang, Zhi-Sheng Pei and Xuan-Ri Shen
Foods 2025, 14(24), 4278; https://doi.org/10.3390/foods14244278 - 12 Dec 2025
Viewed by 424
Abstract
This study employed a multi-technique approach to investigate the structural and conformational changes in proteins in Meretrix lyrata (M. lyrata) adductor, foot, and siphon tissues during boiling. Data-independent acquisition (DIA) quantitative proteomics was utilized to identify differentially expressed proteins (DEPs) in [...] Read more.
This study employed a multi-technique approach to investigate the structural and conformational changes in proteins in Meretrix lyrata (M. lyrata) adductor, foot, and siphon tissues during boiling. Data-independent acquisition (DIA) quantitative proteomics was utilized to identify differentially expressed proteins (DEPs) in six temporal comparison groups (20–0 s, 40–20 s, 60–40 s, 80–60 s, 100–80 s, and 120–100 s). The results showed that key myofibrillar proteins, including myosin heavy chain, paramyosin, and actin, exhibited tissue-specific expression patterns, while low-molecular-weight degradation fragments (<17 kDa) appeared with prolonged heating. Turbidity measurements peaked in adductor and siphon tissues at 60 s and in foot tissue at 80 s. Heating resulted in a narrowed particle size distribution (100–1000 nm), and a decreased zeta potential, indicating a reduction in protein surface charge. Fourier transform infrared spectroscopy revealed hydrogen bond disruption and secondary structure transitions, marked by a reduction in α-helix content with a corresponding increase in β-sheet and random coil structures. In total, 6527 proteins were identified, and Gene Ontology (GO) enrichment analysis highlighted the DEPs’ involvement in biological regulation and metabolic processes. Collectively, these results provide comprehensive characterization of protein denaturation, degradation, and structural reorganization in M. lyrata tissues during the boiling process. Full article
Show Figures

Figure 1

15 pages, 1073 KB  
Article
In Vitro Digestibility, Structural and Functional Properties of Millettia speciosa Champ. Seed Protein
by Qing Yang, Shuxian Ding, Qinglong Wang, Li Xu, Xiaoxia Yan, Huan Tang, Langxing Yuan, Xiaoyan Chen, Zhunian Wang and Maoyuan Wang
Biomolecules 2025, 15(12), 1722; https://doi.org/10.3390/biom15121722 - 11 Dec 2025
Viewed by 322
Abstract
As an underutilized industrial byproduct generated during bioactive compound extraction from Millettia speciosa Champ. seeds, the residual protein fraction represents a promising sustainable resource for valorization. Millettia speciosa Champ. seed protein (MP) was extracted, and its fundamental physicochemical and functional properties were evaluated [...] Read more.
As an underutilized industrial byproduct generated during bioactive compound extraction from Millettia speciosa Champ. seeds, the residual protein fraction represents a promising sustainable resource for valorization. Millettia speciosa Champ. seed protein (MP) was extracted, and its fundamental physicochemical and functional properties were evaluated for potential applications in the food industry. Structural characterization revealed that MP had a molecular weight distribution with major components at 14.0 kDa and 116.0 kDa, with respective denaturation temperatures of 79.75 °C and 91.77 °C. The main structure of MP included different proportions of intramolecular α-helices and random coils in different pH microenvironments, based on circular dichroism spectroscopy. The MP displayed similar solubility profiles to the soy protein isolate (SP), but with lower solubility at slightly acidic pH, low solubility at pH 5.0, and comparable solubility above pH 8.0. Functional assessments showed that MP possessed emulsifying, foaming, water-binding, and fat-absorption capacities comparable to those of SPI, although the in vitro digestibility was relatively lower. These findings indicate that MP may serve as a safe and nutritious functional ingredient for health-oriented food products. Full article
(This article belongs to the Section Biomacromolecules: Proteins, Nucleic Acids and Carbohydrates)
Show Figures

Graphical abstract

26 pages, 2642 KB  
Review
Differences and Similarities in Protein and Nucleic Acid Structures and Their Biological Interactions
by Tsutomu Arakawa, Taiji Oyama, Tomoto Ura, Suguru Nishinami, Kentaro Shiraki and Teruo Akuta
Curr. Issues Mol. Biol. 2025, 47(12), 1019; https://doi.org/10.3390/cimb47121019 - 6 Dec 2025
Cited by 1 | Viewed by 825
Abstract
Protein and nucleic acid play central roles in biology and pharmaceuticals. Both share a similar architecture made of a backbone and side chains. Protein has a peptide backbone and various side chains, whereas nucleic acid has a phosphate backbone and aromatic side chains. [...] Read more.
Protein and nucleic acid play central roles in biology and pharmaceuticals. Both share a similar architecture made of a backbone and side chains. Protein has a peptide backbone and various side chains, whereas nucleic acid has a phosphate backbone and aromatic side chains. However, they are significantly different in the chemical properties of the backbone and side chains. The protein backbone is uncharged, while nucleic acid backbone is negatively charged. The protein side chains comprise widely different chemical properties. On the other hand, the nucleic acid side chains comprise a uniform chemical property of aromatic bases. Such differences lead to fundamentally different folding, molecular interactions and co-solvent interactions, which are the focus of this review. In regular protein secondary structures, the peptide groups form polar hydrogen bonds, making the interior hydrophilic. The side chains of different chemical properties are exposed on the outside of the protein secondary structures and participate in molecular and co-solvent interactions. On the other hand, hydrophobic/aromatic nucleobase side chains are located inside the typical double helix or quadruplex structures. The charged phosphate groups of the nucleic acid backbone are located outside, participating in electrostatic interactions. The nucleobases are also involved in molecular interactions, when exposed in breaks, hairpins, kinks and loops. These structural differences between protein and nucleic acid confer different interactions with commonly used co-solvents, such as denaturants, organic solvents and polymers. Full article
Show Figures

Figure 1

14 pages, 3378 KB  
Article
Features of Chaperone Induction by 9-Aminoacridine and Acridine Orange
by Vadim V. Fomin, Svetlana V. Smirnova, Sergey V. Bazhenov, Aminat G. Kurkieva, Nikolay A. Bondarev, Daria M. Egorenkova, Daniil I. Sakharov, Ilya V. Manukhov and Serikbai K. Abilev
Biosensors 2025, 15(12), 800; https://doi.org/10.3390/bios15120800 - 6 Dec 2025
Viewed by 389
Abstract
The fluorescent dyes 9-aminoacridine (9-AA) and acridine orange (AO) are known mutagens that induce frameshift mutations in cells by intercalating between DNA bases. However, these chemicals can also affect other cellular components, such as proteins. In this study, we tested the ability of [...] Read more.
The fluorescent dyes 9-aminoacridine (9-AA) and acridine orange (AO) are known mutagens that induce frameshift mutations in cells by intercalating between DNA bases. However, these chemicals can also affect other cellular components, such as proteins. In this study, we tested the ability of 9-AA and AO to induce heat shock in bacteria using the following methods: lux-biosensors based on Escherichia coli cells with the luxCDABE genes transcriptionally fused to heat shock-specific inducible promoters, RT-qPCR, and nanoDSF. We demonstrated that acridine dyes not only induce mutagenesis but also cause heat shock in bacterial cells. AO significantly reduced the melting temperature of proteins and strongly activated σE- and σ32-dependent promoters, but not PluxC, which is activated by elevated temperatures via a different mechanism. In contrast, 9-AA weakly denatured the proteins and induced the σE-dependent promoter; however, it activated the σ32-dependent promoters and PluxC, supporting the hypothesis that the σ32 heat shock response system is activated via hairpin RNA denaturation by 9-AA. The study on the application of lux-biosensors was hampered by the high general toxicity and luminescence shielding effect of AO, and RT-qPCR’s sensitivity was insufficient for detection of the response to 9-AA. Thus, methodologically, it is justified to conduct a comprehensive study of substances that cause heat shock or affect bioluminescence by both RT-qPCR and lux-biosensors. Full article
(This article belongs to the Section Environmental Biosensors and Biosensing)
Show Figures

Figure 1

Back to TopTop