In Vitro Refolding of Vault-like Protein Nanocapsules with a Novel Scaffolding Mechanism
Abstract
1. Introduction
2. Results
2.1. Purification of MVP and Tagged MVP Variants
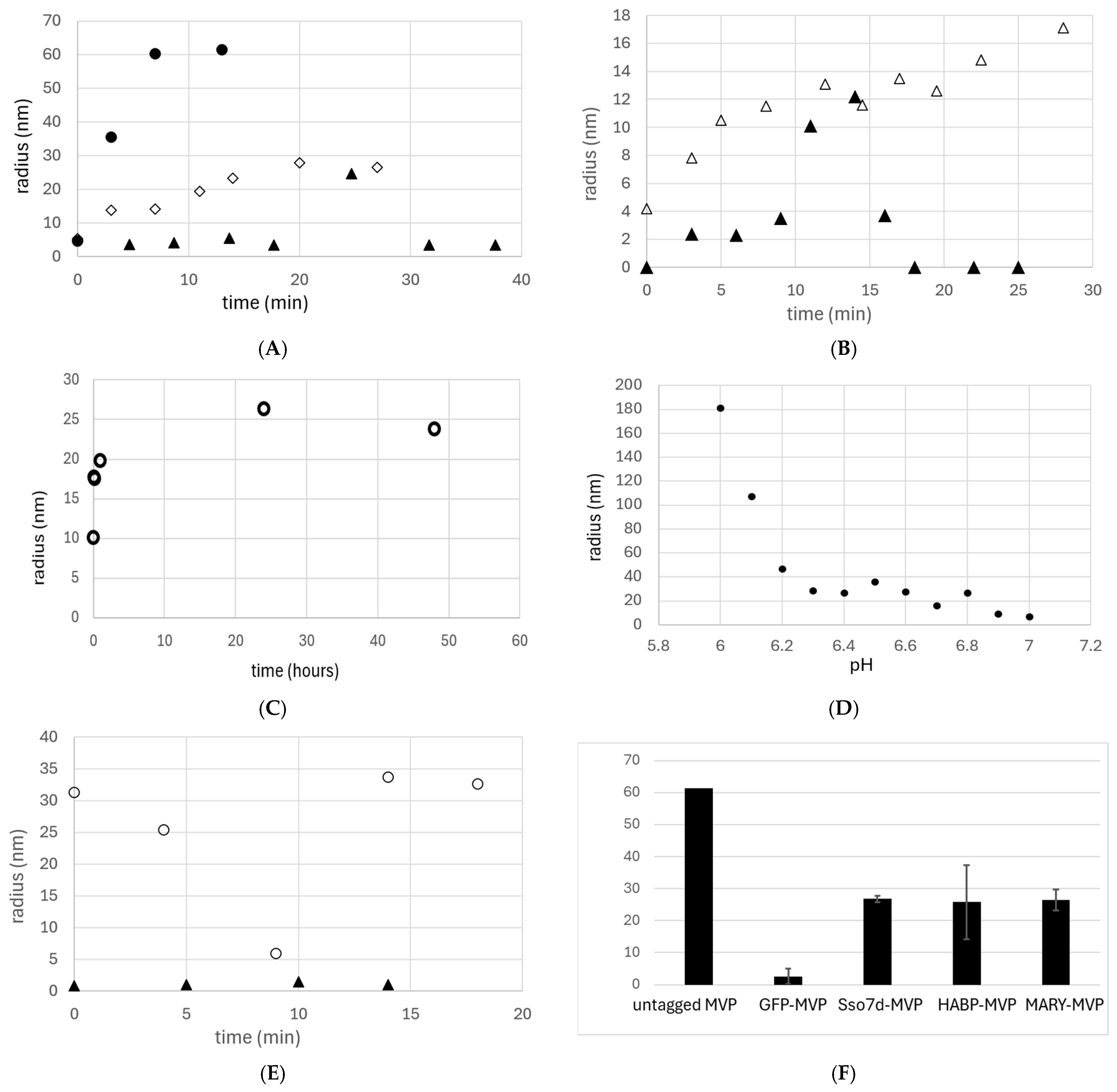
2.2. Dynamic Light Scattering Analysis
2.3. Transmission Electron Microscopy Imaging
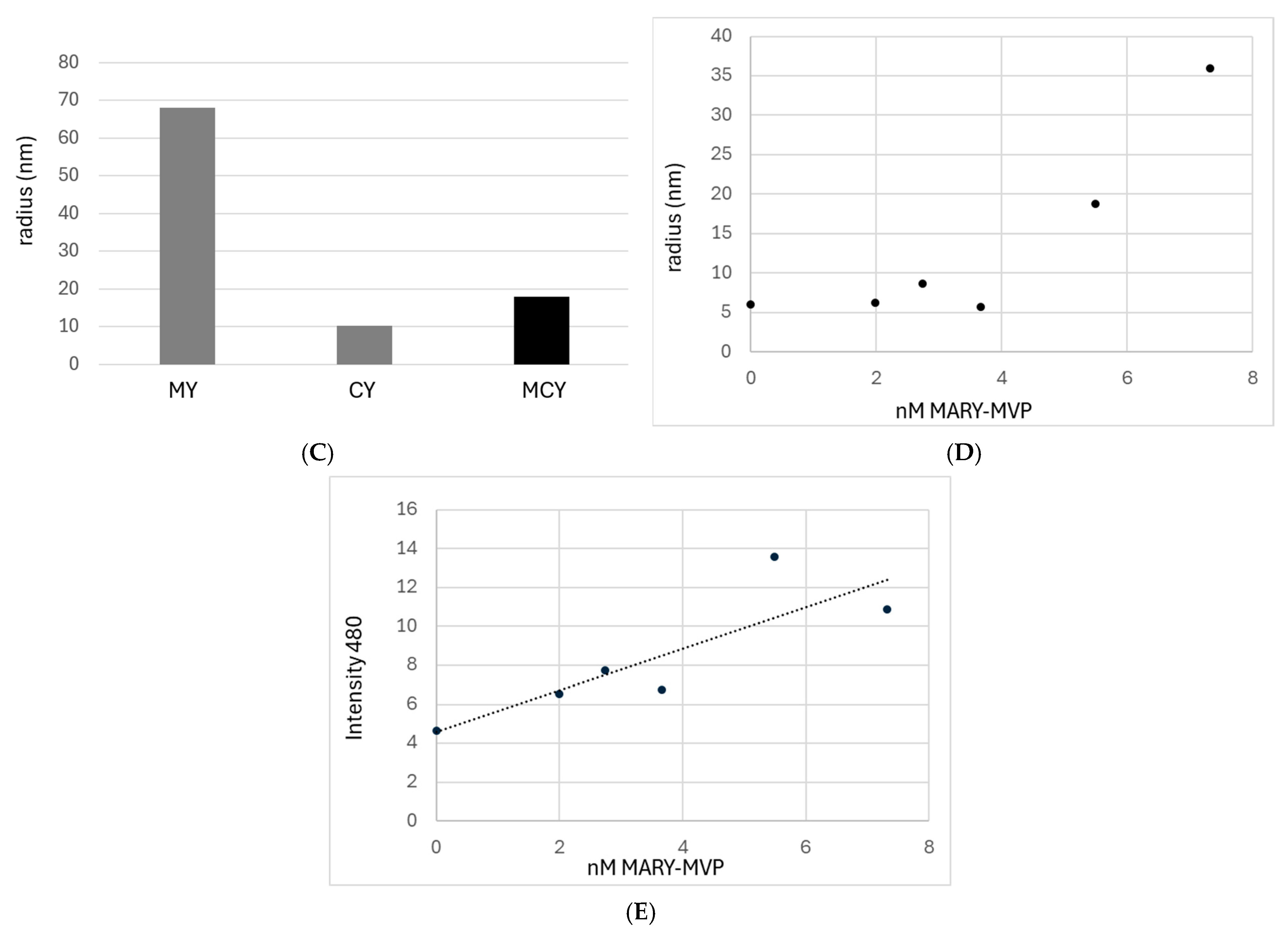
2.4. Heterogeneous Vault Formation and Cargo Loading
3. Conclusions
4. Materials and Methods
4.1. Transmission Electron Microscopy
4.2. Transformation and Growth of E. coli
4.3. Protein Purification
4.4. Refolding and Dynamic Light Scattering Experiments
4.5. Nuclease Controls: Eliminating Potential Contaminating DNA
4.6. Heterogeneous Vault Formation
4.7. INT-CFP Cargo Loading
Author Contributions
Funding
Institutional Review Board Statement
Informed Consent Statement
Data Availability Statement
Acknowledgments
Conflicts of Interest
References
- Taube, M.; Lisiak, N.; Totoń, E.; Rubiś, B. Human Vault RNAs: Exploring Their Potential Role in Cellular Metabolism. Int. J. Mol. Sci. 2024, 25, 4072. [Google Scholar] [CrossRef]
- Casañas, A.; Guerra, P.; Fita, I.; Verdaguer, N. Vault particles: A new generation of delivery nanodevices. Curr. Opin. Biotechnol. 2012, 23, 972–977. [Google Scholar] [CrossRef] [PubMed]
- Kedersha, N.L.; Rome, L.H. Isolation and characterization of a novel ribonucleoprotein particle: Large structures contain a single species of small RNA. J. Cell Biol. 1986, 103, 699–709. [Google Scholar] [CrossRef]
- Mossink, M.H.; van Zon, A.; Scheper, R.J.; Sonneveld, P.; Wiemer, E.A.C. Vaults: A ribonucleoprotein particle involved in drug resistance? Oncogene 2003, 22, 7458–7467. [Google Scholar] [CrossRef] [PubMed]
- Ma, C.; Luo, C.; Deng, F.; Yu, C.; Chen, Y.; Zhong, G.; Zhan, Y.; Nie, L.; Huang, Y.; Xia, Y.; et al. Major vault protein directly enhances adaptive immunity induced by Influenza A virus or indirectly through innate immunity. Biochim. Biophys. Acta Mol. Basis Dis. 2024, 1870, 167441. [Google Scholar] [CrossRef]
- Zhou, S.; Li, M.; Wang, S. Major vault protein in macrophages reprograms immune microenvironment and inhibits occurrence and development of liver cancer. Cancer Res. Prev. Treat. 2025, 52, 118–126. [Google Scholar]
- Martín, F.; Carreño, A.; Mendoza, R.; Caruana, P.; Rodriguez, F.; Bravo, M.; Benito, A.; Ferrer-Miralles, N.; Céspedes, M.V.; Corchero, J.L. All-in-one biofabrication and loading of recombinant vaults in human cells. Biofabrication 2022, 14, 025018. [Google Scholar] [CrossRef]
- Kickhoefer, V.A.; Garcia, Y.; Mikyas, Y.; Johansson, E.; Zhou, J.C.; Raval-Fernandes, S.; Minoofar, P.; Zink, J.I.; Dunn, B.; Stewart, P.L.; et al. Engineering of vault nanocapsules with enzymatic and fluorescent properties. Proc. Natl. Acad. Sci. USA 2005, 102, 4348–4352. [Google Scholar] [CrossRef]
- Muñoz-Juan, A.; Carreño, A.; Mendoza, R.; Corchero, J.L. Latest advances in the development of eukaryotic vaults as targeted drug delivery systems. Pharmaceutics 2019, 11, 300. [Google Scholar] [CrossRef]
- Demchuk, A.M.; Patel, T.R. The biomedical and bioengineering potential of protein nanocompartments. Biotechnol. Adv. 2020, 41, 107547. [Google Scholar] [CrossRef]
- Stephen, A.G.; Raval-Fernandes, S.; Huynh, T.; Torres, M.; Kickhoefer, V.A.; Rome, L.H. Assembly of vault-like particles in insect cells expressing only the major vault protein. J. Biol. Chem. 2001, 276, 23217–23220. [Google Scholar] [CrossRef]
- Mrazek, J.; Toso, D.; Ryazantsev, S.; Zhang, X.; Zhou, Z.H.; Fernandez, B.C.; Kickhoefer, V.A.; Rome, L.H. Polyribosomes are molecular 3D nanoprinters that orchestrate the assembly of vault particles. ACS Nano 2014, 8, 11552–11559. [Google Scholar] [CrossRef]
- Llauró, A.; Guerra, P.; Kant, R.; Bothner, B.; Verdaguer, N.; de Pablo, P.J. Decrease in pH destabilizes individual vault nanocages by weakening the inter-protein lateral interaction. Sci. Rep. 2016, 6, 34143. [Google Scholar] [CrossRef] [PubMed]
- Wang, M.; Kickhoefer, V.A.; Rome, L.H.; Foellmer, O.K.; Mahendra, S. Synthesis and assembly of human vault particles in yeast. Biotechnol. Bioeng. 2018, 115, 2941–2950. [Google Scholar] [CrossRef] [PubMed]
- Ding, K.; Zhang, X.; Mrazek, J.; Kickhoefer, V.A.; Lai, M.; Ng, H.L.; Yang, O.O.; Rome, L.H.; Zhou, Z.H. Solution Structures of engineered vault particles. Structure 2018, 26, 619–626. [Google Scholar] [CrossRef] [PubMed]
- Benner, N.L.; Zang, X.; Buehler, D.C.; Kickhoefer, V.A.; Rome, M.E.; Rome, L.H.; Wender, P.A. Vault nanoparticles: Chemical modifications for imaging and enhanced delivery. ACS Nano 2017, 11, 872–881. [Google Scholar] [CrossRef]
- Lundbäck, T.; Hansson, H.; Knapp, S.; Ladenstein, R.; Härd, T. Thermodynamic characterization of non-sequence-specific DNA-binding by the Sso7d protein from Sulfolobus solfataricus. J. Mol. Biol. 1998, 276, 775–786. [Google Scholar] [CrossRef]
- Guagliardi, A.; Cerchia, L.; Rossi, M.; Bartolucci, S. Reversion of protein aggregation by Sso7d in cell extracts of Sulfolobus solfataricus. Biochem. J. 2004, 381, 249–255. [Google Scholar] [CrossRef]
- McMillan, R.B.; Bediako, H.; Devenica, L.M.; Velasquez, A.; Hardy, I.P.; Ma, Y.E.; Roscoe, D.M.; Carter, A.R. Protamine folds DNA into flowers and loop stacks. Biophys. J. 2023, 122, 4288–4302. [Google Scholar] [CrossRef]
- Zaleski, K.J.; Kolodka, T.; Cywes-Bentley, C.; McLoughlin, R.M.; Delaney, M.L.; Charlton, B.T.; Johnson, W.; Tzianabos, A.O. Hyaluronic acid binding peptides prevent experimental staphylococcal wound infection. Antimicrob. Agents Chemother. 2006, 50, 3856–3860. [Google Scholar] [CrossRef]
- Yang, B.; Yang, B.L.; Savani, R.C.; Turley, E.A. Identification of a common hyaluronic acid binding motif in the hyaluronic acid binding proteins RHAMM, CD44 and link protein. J. Biol. Chem. 1994, 13, 286–296. [Google Scholar] [CrossRef]
- Michiels, E.; Liu, S.; Gallardo, R.; Louros, N.; Mathelie-Guinlet, M.; Dufrêne, Y.; Schymkowitz, J.; Vorberg, I.; Rousseau, F. Entropic bristles tune the seeding efficiency of prion-nucleating fragments. Cell Rep. 2020, 30, 2834–2845. [Google Scholar] [CrossRef] [PubMed]
- Graña-Montes, R.; Marinelli, P.; Reverter, D.; Ventura, S. N-terminal protein tails act as aggregation protective entropic bristles: The SUMO case. Biomacromolecules 2014, 15, 1194–1203. [Google Scholar] [CrossRef]
- Tomaino, G.; Pantaleoni, C.; D’urzo, A.; Santambrogio, C.; Testa, F.; Ciprandi, M.; Cotugno, D.; Frascotti, G.; Vanoni, M.; Tortora, P. An efficient method for vault nanoparticle conjugation with finely adjustable amounts of antibodies and small molecules. Int. J. Mol. Sci. 2024, 25, 6629. [Google Scholar] [CrossRef]
- Tanaka, H.; Tsukihara, T. Structural studies of large nucleoprotein particles, vaults. Proc. Jpn. Acad. Ser. B 2012, 88, 416–433. [Google Scholar] [CrossRef]
- Kong, L.B.; Siva, A.; Kickhoefer, V.A.; Stewart, P.L. RNA location and modeling of a WD40 repeat domain within the vault. RNA 2000, 6, 890–900. [Google Scholar] [CrossRef] [PubMed]
- Yu, K.; Yau, Y.H.; Sinha, A.; Tan, T.; Kickhoefer, V.A.; Rome, L.H.; Lee, H.; Shochat, S.G.; Lim, S. Modulation of the Vault Protein-Protein Interaction for Tuning of Molecular Release. Sci. Rep. 2017, 7, 14816. [Google Scholar] [CrossRef] [PubMed]
- New England Biolabs. Transformation Protocol. Available online: https://www.neb.com/en-us/protocols/2012/05/21/transformation-protocol?pdf=true (accessed on 12 June 2025).
- Thermo Fisher Scientific. Ni-NTA Purification System Manual. Available online: https://tools.thermofisher.com/content/sfs/manuals/ninta_system_man.pdf (accessed on 12 June 2025).







Disclaimer/Publisher’s Note: The statements, opinions and data contained in all publications are solely those of the individual author(s) and contributor(s) and not of MDPI and/or the editor(s). MDPI and/or the editor(s) disclaim responsibility for any injury to people or property resulting from any ideas, methods, instructions or products referred to in the content. |
© 2025 by the authors. Licensee MDPI, Basel, Switzerland. This article is an open access article distributed under the terms and conditions of the Creative Commons Attribution (CC BY) license.
Share and Cite
Breen, G.; Gonzales, M.; Yeh, G.; Delyon, T.; McNeill, C.; Lenci, A.; Thong, S.; Burton, R. In Vitro Refolding of Vault-like Protein Nanocapsules with a Novel Scaffolding Mechanism. Int. J. Mol. Sci. 2026, 27, 396. https://doi.org/10.3390/ijms27010396
Breen G, Gonzales M, Yeh G, Delyon T, McNeill C, Lenci A, Thong S, Burton R. In Vitro Refolding of Vault-like Protein Nanocapsules with a Novel Scaffolding Mechanism. International Journal of Molecular Sciences. 2026; 27(1):396. https://doi.org/10.3390/ijms27010396
Chicago/Turabian StyleBreen, Gabriela, Martin Gonzales, Gracemarie Yeh, Tyler Delyon, Clare McNeill, Anika Lenci, Stephen Thong, and Rodney Burton. 2026. "In Vitro Refolding of Vault-like Protein Nanocapsules with a Novel Scaffolding Mechanism" International Journal of Molecular Sciences 27, no. 1: 396. https://doi.org/10.3390/ijms27010396
APA StyleBreen, G., Gonzales, M., Yeh, G., Delyon, T., McNeill, C., Lenci, A., Thong, S., & Burton, R. (2026). In Vitro Refolding of Vault-like Protein Nanocapsules with a Novel Scaffolding Mechanism. International Journal of Molecular Sciences, 27(1), 396. https://doi.org/10.3390/ijms27010396

