Sign in to use this feature.

Years

Between: -

Subjects

remove_circle_outline
remove_circle_outline
remove_circle_outline
remove_circle_outline
remove_circle_outline
remove_circle_outline
remove_circle_outline

Journals

Article Types

Countries / Regions

Search Results (16)

Search Parameters:
Keywords = propanol isomers

Order results
Result details
Results per page
Select all
Export citation of selected articles as:
19 pages, 1042 KB  
Article
Efficient Separation of Isoamyl Alcohol from Fusel Oil Using Non-Polar Solvent and Hybrid Decanter–Distillation Process
by Mihaela Neagu, Diana-Luciana Cursaru, Alexey Missyurin and Octavian Goian
Appl. Sci. 2025, 15(18), 9954; https://doi.org/10.3390/app15189954 - 11 Sep 2025
Viewed by 898
Abstract
Fusel oil is a fermentation by-product composed of a complex mixture of alcohols (ethanol, isoamyl, propanol, and butanol isomers) and water. The primary challenges lie in water separation and the recovery of the valuable component, isoamyl alcohol. In this work, we demonstrate an [...] Read more.
Fusel oil is a fermentation by-product composed of a complex mixture of alcohols (ethanol, isoamyl, propanol, and butanol isomers) and water. The primary challenges lie in water separation and the recovery of the valuable component, isoamyl alcohol. In this work, we demonstrate an efficient separation process using a non-polar, non-toxic, water-immiscible solvent, namely hexane, to reduce the water content of fusel oil from an initial 14 wt.% to 1.46 wt.% at a solvent to fusel oil ratio of 1:1 and to 0.55 wt.% at a 4:1 ratio. The proposed separation process was designed with a 1:1 ratio to minimize equipment size. In the first step, a decanter vessel enabled phase separation, followed by two distillation columns. The bottom product from the second column achieved a purity of 99.29 wt.% isoamyl alcohol (97.91 wt.% isomers and 1.38 wt.% hexanol) with a recovery rate of 97.33%. The distillate flows were directed to the second decanter vessel, recovering 99.665% of hexane. This study confirms the effectiveness of the proposed process in separation of highly valuable isoamyl alcohol from fusel oil via a hybrid decanter–distillation scheme. The proposed process attains a specific energy consumption in the reboilers of 0.65 kWh per kilogram of product (equivalent to 1.21 kg of steam per kilogram of product). This represents a notable improvement compared to the configuration reported by other authors for the separation of isoamyl alcohol using divided-wall columns (DWC), which requires 2785 kJ per kilogram of product (i.e., 0.774 kWh per kilogram of product). An economic analysis was performed to compare the process of separating isoamyl alcohol from fusel oil using the minimum hexane ratio (1:1) and the maximum ratio (4:1). All cost values increased significantly with higher solvent ratio. Remaining challenges include the purification of waste aqueous streams and future valorization of the hexane–alcoholic mixture. Full article
(This article belongs to the Section Applied Industrial Technologies)
Show Figures

Figure 1

13 pages, 1022 KB  
Article
Fluorinated Analogs of Organosulfur Compounds from Garlic (Allium sativum): Synthesis and Chemistry
by Eric Block, Benjamin Bechand, Sivaji Gundala, Abith Vattekkatte and Kai Wang
Molecules 2025, 30(13), 2841; https://doi.org/10.3390/molecules30132841 - 2 Jul 2025
Cited by 1 | Viewed by 855
Abstract
We report the first syntheses—from commercially available 3-chloro-2-fluoroprop-1-ene (9)—of key garlic-derived compounds containing sp2-fluorine. We also report synthesis of fluoro-5,6-dihydrothiopyrans by trapping 2-fluorothioacrolein (15). Thus, difluoroallicin (12, S-(2-fluoro-2-propenyl) 2-fluoroprop-2-ene-1-sulfinothioate) is prepared by peracid oxidation [...] Read more.
We report the first syntheses—from commercially available 3-chloro-2-fluoroprop-1-ene (9)—of key garlic-derived compounds containing sp2-fluorine. We also report synthesis of fluoro-5,6-dihydrothiopyrans by trapping 2-fluorothioacrolein (15). Thus, difluoroallicin (12, S-(2-fluoro-2-propenyl) 2-fluoroprop-2-ene-1-sulfinothioate) is prepared by peracid oxidation of 1,2-bis(2-fluoro-2-propenyl)disulfane (11). S-2-Fluoro-2-propenyl-l-cysteine (2-fluorodeoxyalliin, 13), synthesized from cysteine and characterized by X-ray crystallography, is oxidized to its S-oxide, 2-fluoroalliin (22). The latter, with alliinase-containing powdered fresh garlic, gives a mixture of 12, allicin (1), and isomers of monofluoroallicin (23), indicating that 22 serves as a substrate for garlic alliinase. Upon heating, 12 generates transient 15, which dimerizes giving difluoro vinyl dithiins 6 and 7. Ethyl acrylate trapping of 15 affords 5- and 6-substituted 3-fluoro-5,6-dihydro-4H-thiopyrans (19 and 20). In 1,1,1,3,3,3-hexafluoro-2-propanol (HEFP) as solvent, 12 is converted into trifluoroajoene ((E,Z)-1-(2-fluoro-3-((2-fluoro-2-propenyl)sulfinyl)prop-1-en-1-yl)-2-(2-fluoro-2-propenyl)disulfane; 18). Liquid sulfur converts 11 to a (CH2=CFCH2)2Sn mixture (n = 4–15), characterized by UPLC-(Ag+)-coordination ion spray-mass spectrometry. Full article
Show Figures

Figure 1

28 pages, 6794 KB  
Article
Diastereoselective Transfer Hydrogenation of Cyclic and Bicyclic Ketones over Selected Metal Oxides as Catalysts
by Marek Gliński, Dorota Armusiewicz, Karolina Łukasik-Kwaśniewska, Michał Materowski, Adam Rułka, Ewa M. Iwanek (nee Wilczkowska) and Monika Kucharska
Molecules 2025, 30(10), 2153; https://doi.org/10.3390/molecules30102153 - 14 May 2025
Cited by 2 | Viewed by 1239
Abstract
The diastereoselectivity of the liquid- and vapor-phase Catalytic Transfer Hydrogenation (CTH) of cyclic ketones: x-methylcyclohexanones (x = 2, 3 or 4), 4-t-butylcyclohexanone, and bicyclic ketones: 2-norbornanone, camphor, fenchone, and a tricyclic ketone (2-adamantanone) with secondary alkanols (2-propanol, 2-butanol, 2-pentanol, or 2-octanol) [...] Read more.
The diastereoselectivity of the liquid- and vapor-phase Catalytic Transfer Hydrogenation (CTH) of cyclic ketones: x-methylcyclohexanones (x = 2, 3 or 4), 4-t-butylcyclohexanone, and bicyclic ketones: 2-norbornanone, camphor, fenchone, and a tricyclic ketone (2-adamantanone) with secondary alkanols (2-propanol, 2-butanol, 2-pentanol, or 2-octanol) as hydrogen donors in the presence of ten metal oxides as the catalysts was studied. Among the oxides, only four, namely, MgO, ZrO2·nH2O, ZrO2, and Al2O3, exhibited good or high activity. The reaction products are diastereoisomeric alcohols, the relative ratio of which depends on the structure of the ketone, mode of reaction, temperature, and, in the liquid-phase mode, reaction time. The results of vapor-phase CTH revealed that, in this mode of reaction, the diastereoselectivity to the trans isomer is lower than in the liquid phase. For the three x-methylcyclohexanones, the most pronounced difference between the experimental values and reference values was noted for x = 3. For bicyclic ketones, the implementation of heterogeneous catalysts allowed us to obtain a substantial excess of the less favorable diastereomer. In the case of 2-norbornanone, the thermodynamic equilibrium mixture contains 21% endo and 79% exo alcohols, whereas our product mixtures contained up to 79% of the endo isomer. Full article
Show Figures

Graphical abstract

32 pages, 2979 KB  
Article
Synthesis, Absolute Configuration, Biological Profile and Antiproliferative Activity of New 3,5-Disubstituted Hydantoins
by Mladenka Jurin, Ana Čikoš, Višnja Stepanić, Marcin Górecki, Gennaro Pescitelli, Darko Kontrec, Andreja Jakas, Tonko Dražić and Marin Roje
Pharmaceuticals 2024, 17(10), 1259; https://doi.org/10.3390/ph17101259 - 24 Sep 2024
Cited by 1 | Viewed by 2681
Abstract
Hydantoins, a class of five-membered heterocyclic compounds, exhibit diverse biological activities. The aim of this study was to synthesize and characterize a series of novel 3,5-disubstituted hydantoins and to investigate their antiproliferative activity against human cancer cell lines. The new hydantoin derivatives 5a [...] Read more.
Hydantoins, a class of five-membered heterocyclic compounds, exhibit diverse biological activities. The aim of this study was to synthesize and characterize a series of novel 3,5-disubstituted hydantoins and to investigate their antiproliferative activity against human cancer cell lines. The new hydantoin derivatives 5ai were prepared as racemic mixtures of syn- and anti-isomers via a base-assisted intramolecular amidolysis of C-3 functionalized β-lactams. The enantiomers of syn-5a and anti-hydantoins 5b were separated by preparative high-performance liquid chromatography (HPLC) using n-hexane/2-propanol (90/10, v/v) as the mobile phase. The absolute configuration of the four allyl hydantoin enantiomers 5a was assigned based on a comparison of the experimental electronic circular dichroism (ECD) and vibrational circular dichroism (VCD) spectra with those calculated using density functional theory (DFT). The antiproliferative activity evaluated in vitro against three different human cancer cell lines: HepG2 (liver hepatocellular carcinoma), A2780 (ovarian carcinoma), and MCF7 (breast adenocarcinoma), and on the non-tumor cell line HFF1 (normal human foreskin fibroblasts) using the MTT cell proliferation assay. In silico drug-like properties and ADMET profiles were estimated using the ADMET Predictor ver. 9.5 and the online server admetSAR. Eighteen new 3,5-disubstituted hydantoins were synthesized and characterized. The compound anti-5c showed potent cytotoxic activity against the human tumor cell line MCF7 (IC50 = 4.5 µmol/L) and the non-tumor cell line HFF1 (IC50 = 12.0 µmol/L). In silico analyzes revealed that the compounds exhibited moderate water solubility and membrane permeability and are likely substrates for CYP3A4 and P-glycoprotein and have a high probability of antiarthritic activity. Full article
(This article belongs to the Special Issue Heterocyclic Compounds in Medicinal Chemistry)
Show Figures

Graphical abstract

14 pages, 4579 KB  
Article
Effects of Temperature, Axial Ligand, and Photoexcitation on the Structure and Spin-State of Nickel(II) Complexes with Water-Soluble 5,10,15,20-Tetrakis(1-methylpyridinium-4-yl)porphyrin
by Máté Miklós Major, Zsolt Valicsek and Ottó Horváth
Molecules 2024, 29(2), 310; https://doi.org/10.3390/molecules29020310 - 8 Jan 2024
Cited by 3 | Viewed by 2176
Abstract
Water-soluble metalloporphyrins, depending on the metal center, possess special spectral, coordination, and photochemical features. In nickel(II) porphyrins, the Ni(II) center can occur with low-spin or high-spin electronic configuration. In aqueous solution, the cationic nickel(II) complex (Ni(II)TMPyP4+, where H2TMPyP4+ [...] Read more.
Water-soluble metalloporphyrins, depending on the metal center, possess special spectral, coordination, and photochemical features. In nickel(II) porphyrins, the Ni(II) center can occur with low-spin or high-spin electronic configuration. In aqueous solution, the cationic nickel(II) complex (Ni(II)TMPyP4+, where H2TMPyP4+ = 5,10,15,20-tetrakis(1-methylpyridinium-4-yl)porphyrin), exists in both forms in equilibrium. In this study, an equilibrium system involving the low-spin and high-spin forms of Ni(II)TMPyP4+ was investigated via application of irradiation, temperature change, and various potential axial ligands. Soret band excitation of this aqueous system, in the absence of additional axial ligands, resulted in a shift in the equilibrium toward the low-spin species due to the removal of axial solvent ligands. The kinetics and the thermodynamics of the processes were also studied via determination of the rate and equilibrium constants, as well as the ΔS, ΔH, and ΔG values. Temperature increase had a similar effect. The equilibrium of the spin isomers was also shifted by decreasing the solvent polarity (using n-propanol) as well as by the addition of a stronger coordinating axial ligand (such as ammonia). Since triethanolamine is an efficient electron donor in Ni(II)TMPyP4+-based photocatalytic systems, its interaction with this metalloporphyin was also studied. The results promote the development of efficient photocatalytic systems based on this complex. Full article
Show Figures

Figure 1

15 pages, 9284 KB  
Article
An Experimental Investigation into the Performance and Emission Characteristics of a Gasoline Direct Injection Engine Fueled with Isopropanol Gasoline Blends
by Simeon Iliev, Zdravko Ivanov, Radostin Dimitrov, Veselin Mihaylov, Daniel Ivanov, Stoyan Stoyanov and Slavena Atanasova
Machines 2023, 11(12), 1062; https://doi.org/10.3390/machines11121062 - 29 Nov 2023
Cited by 5 | Viewed by 3642
Abstract
Propanol isomers, which are oxygen-rich fuels, possess superior octane ratings and energy density in comparison to methanol and ethanol. Recently, due to advancements in fermentation techniques, these propanol isomers have garnered increased interest as additives for engines. They are being explored to decrease [...] Read more.
Propanol isomers, which are oxygen-rich fuels, possess superior octane ratings and energy density in comparison to methanol and ethanol. Recently, due to advancements in fermentation techniques, these propanol isomers have garnered increased interest as additives for engines. They are being explored to decrease emissions and reduce the usage of conventional fossil fuels. This study delves into this emerging field. One of the alternatives is the use of alcohol fuels in their pure state or as additives to traditional fuels. Alcohols, due to their higher volumetric energy density, are better fuels for spark ignition engines than hydrogen and biogas. Alcohol-blended fuels or alcohol fuels in their pure state may be used in gasoline engines to reduce exhaust emissions. The current research emphasizes the effect of isopropanol gasoline blends on the performance and emissions characteristics of a gasoline direct injection (GDI) engine. This investigation was conducted with different blends of isopropanol and gasoline (by volume: 10% isopropanol [IP10], 20% isopropanol [IP10], 30% isopropanol [IP30], 40% isopropanol [IP40], and 50% isopropanol [IP50]). The reviewed results showed that with increasing isopropanol in the fuel blends, engine brake power increased while BSFC decreased. In terms of emissions, with the increase in isopropanol in the fuel blends, CO and HC emissions decreased while CO2 and NOx emissions increased. Full article
(This article belongs to the Special Issue Advanced Engine Energy Saving Technology)
Show Figures

Figure 1

17 pages, 2505 KB  
Article
Silver Ion High-Performance Liquid Chromatography—Atmospheric Pressure Chemical Ionization Mass Spectrometry: A Tool for Analyzing Cuticular Hydrocarbons
by Vladimír Vrkoslav, Petra Horká, Jindřich Jindřich, Miloš Buděšínský and Josef Cvačka
Molecules 2023, 28(9), 3794; https://doi.org/10.3390/molecules28093794 - 28 Apr 2023
Cited by 3 | Viewed by 2736
Abstract
Aliphatic hydrocarbons (HCs) are usually analyzed by gas chromatography (GC) or matrix-assisted laser desorption/ionization (MALDI) mass spectrometry. However, analyzing long-chain HCs by GC is difficult because of their low volatility and the risk of decomposition at high temperatures. MALDI cannot distinguish between isomeric [...] Read more.
Aliphatic hydrocarbons (HCs) are usually analyzed by gas chromatography (GC) or matrix-assisted laser desorption/ionization (MALDI) mass spectrometry. However, analyzing long-chain HCs by GC is difficult because of their low volatility and the risk of decomposition at high temperatures. MALDI cannot distinguish between isomeric HCs. An alternative approach based on silver ion high-performance liquid chromatography (Ag-HPLC) is shown here. The separation of HC standards and cuticular HCs was accomplished using two ChromSpher Lipids columns connected in series. A gradient elution of the analytes was optimized using mobile phases prepared from hexane (or isooctane) and acetonitrile, 2-propanol, or toluene. HCs were detected by atmospheric pressure chemical ionization mass spectrometry (APCI-MS). Good separation of the analytes according to the number of double bonds, cis/trans geometry, and position of double bonds was achieved. The retention times increased with the number of double bonds, and trans isomers eluted ahead of cis isomers. The mobile phase significantly affected the mass spectra of HCs. Depending on the mobile phase composition, deprotonated molecules, molecular ions, protonated molecules, and various solvent-related adducts of HCs were observed. The optimized Ag-HPLC/APCI-MS was applied for characterizing cuticular HCs from a flesh fly, Neobellieria bullata, and cockroach, Periplaneta americana. The method made it possible to detect a significantly higher number of HCs than previously reported for GC or MALDI-MS. Unsaturated HCs were frequently detected as isomers differing by double-bond position(s). Minor HCs with trans double bonds were found beside the prevailing cis isomers. Ag-HPLC/APCI-MS has great potential to become a new tool in chemical ecology for studying cuticular HCs. Full article
(This article belongs to the Special Issue Exclusive Feature Papers on Molecular Structure)
Show Figures

Figure 1

13 pages, 2508 KB  
Article
Activation/Inhibition of Gene Expression Caused by Alcohols: Relationship with the Viscoelastic Property of a DNA Molecule
by Kohei Fujino, Takashi Nishio, Keita Fujioka, Yuko Yoshikawa, Takahiro Kenmotsu and Kenichi Yoshikawa
Polymers 2023, 15(1), 149; https://doi.org/10.3390/polym15010149 - 28 Dec 2022
Cited by 2 | Viewed by 2165
Abstract
Alcohols are used in the life sciences because they can condense and precipitate DNA. Alcohol consumption has been linked to many diseases and can alter genetic activity. In the present report, we carried out experiments to make clear how alcohols affect the efficiency [...] Read more.
Alcohols are used in the life sciences because they can condense and precipitate DNA. Alcohol consumption has been linked to many diseases and can alter genetic activity. In the present report, we carried out experiments to make clear how alcohols affect the efficiency of transcription-translation (TX-TL) and translation (TL) by adapting cell-free gene expression systems with plasmid DNA and RNA templates, respectively. In addition, we quantitatively analyzed intrachain fluctuations of single giant DNA molecules based on the fluctuation-dissipation theorem to gain insight into how alcohols affect the dynamical property of a DNA molecule. Ethanol (2–3%) increased gene expression levels four to five times higher than the control in the TX-TL reaction. A similar level of enhancement was observed with 2-propanol, in contrast to the inhibitory effect of 1-propanol. Similar alcohol effects were observed for the TL reaction. Intrachain fluctuation analysis through single DNA observation showed that 1-propanol markedly increased both the spring and damping constants of single DNA in contrast to the weak effects observed with ethanol, whereas 2-propanol exhibits an intermediate effect. This study indicates that the activation/inhibition effects of alcohol isomers on gene expression correlate with the changes in the viscoelastic mechanical properties of DNA molecules. Full article
(This article belongs to the Section Polymer Physics and Theory)
Show Figures

Figure 1

17 pages, 3206 KB  
Article
Volatile Organic Compounds and 16S Metabarcoding in Ice-Stored Red Seabream Pagrus major
by Dimitrios A. Anagnostopoulos, Foteini F. Parlapani, Athanasios Mallouchos, Aikaterini Angelidou, Faidra Syropoulou, George Minos and Ioannis S. Boziaris
Foods 2022, 11(5), 666; https://doi.org/10.3390/foods11050666 - 24 Feb 2022
Cited by 16 | Viewed by 2849
Abstract
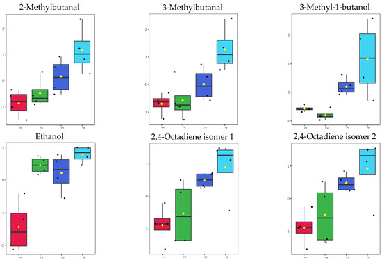
The profiles of bacterial communities and volatile organic compounds (VOCs) of farmed red seabream (Pagrus major) from two batches during ice storage were studied using 16S metabarcoding (culture independent approach) and headspace Solid Phase Micro-Extraction—Gas Chromatography/Mass Spectrometry (SPME-GC/MS) analysis, respectively. Sensory [...] Read more.
The profiles of bacterial communities and volatile organic compounds (VOCs) of farmed red seabream (Pagrus major) from two batches during ice storage were studied using 16S metabarcoding (culture independent approach) and headspace Solid Phase Micro-Extraction—Gas Chromatography/Mass Spectrometry (SPME-GC/MS) analysis, respectively. Sensory attributes and microbiological parameters were also evaluated. At Day 12 (shelf-life for both batches based on sensory evaluation), using classical microbiological analysis, Total Viable Counts (TVC) were found at the levels of 7–8 log cfu/g, and Pseudomonas and/or H2S producing bacteria dominated. On the other hand, the culture independent 16S metabarcoding analysis showed that Psychrobacter were the most abundant bacteria in fish tissue from batch 1, while Pseudomonas and Psychrobacter (at lower abundance) were the most abundant in fish from batch 2. Differences were also observed in VOC profiles between the two batches. However, combining the VOC results of the two batches, 15 compounds were found to present a similar trend during fish storage. Of them, 2-methylbutanal, 3-methylbutanal, 3-methyl-1-butanol, ethanol, 2,4 octadiene (2 isomers), ethyl lactate, acetaldehyde and (E)-2-penten-1-ol could be used as potential spoilage markers of red seabream because they increased during storage, mainly due to Psychrobacter and/or Pseudomonas activity and/or chemical activity (e.g., oxidation). Additionally, VOCs such as propanoic acid, nonanoic acid, decanoic acid, 1-propanol, 3,4-hexanediol and hexane decreased gradually with time, so they could be proposed as freshness markers of red seabream. Such information will be used to develop intelligent approaches for the rapid evaluation of spoilage course in red seabream during ice storage. Full article
(This article belongs to the Section Food Microbiology)
Show Figures

Figure 1

14 pages, 3182 KB  
Article
Catalytic Activity of High-Surface-Area Amorphous MgO Obtained from Upsalite
by Marek Gliński, Ewa M. Iwanek (nee Wilczkowska), Urszula Ulkowska, Agnieszka Czajka and Zbigniew Kaszkur
Catalysts 2021, 11(11), 1338; https://doi.org/10.3390/catal11111338 - 6 Nov 2021
Cited by 3 | Viewed by 2769
Abstract
The first aim of the research was to synthesize a pure Upsalite, which is an amorphous form of MgCO3, by modifying a procedure described in the literature, so that it would be the precursor of a high-surface, amorphous magnesium oxide. The [...] Read more.
The first aim of the research was to synthesize a pure Upsalite, which is an amorphous form of MgCO3, by modifying a procedure described in the literature, so that it would be the precursor of a high-surface, amorphous magnesium oxide. The results indicate that within the studied reaction conditions, the type of alcohol used as the reactant has the most pronounced effect on the yield of reaction. From the two alcohols that led to the highest yield of Upsalite, methanol gave a substantially larger surface area (794 vs. 191 m2 g−1). The optimized synthesis conditions of Upsalite were used to obtain MgO via thermolysis, whose activity in the transfer hydrogenation reaction (THR) from ethanol, 2-propanol and 2-pentanol to various carbonyl compounds was determined. The optimal conditions for the thermolysis were as follows: vacuum, T = 673 K as the final temperature, and a heating rate of 2 deg min−1. The high-surface, amorphous magnesia (SBET = 488 m2 g−1) was found to be a very selective catalyst to 4-t-butylcyclohexanone in THR, which led to a diastereoselectivity of over 94% to the E-isomer of 4-t-butylcyclohexanol for more than 3 h, with conversions of up to 97% with either 2-propanol or 2-pentanol as the hydrogen donor. In the case of acrolein and 2-n-propylacrolein being used as the hydrogen acceptors, the unsaturated alcohol (UOL) was the main product of the reaction, with higher UOL yields noted for ethanol than 2-propanol. Full article
Show Figures

Figure 1

26 pages, 11044 KB  
Article
Kinetic Modeling Study on the Combustion Characterization of Synthetic C3 and C4 Alcohols for Lean Premixed Prevaporized Combustion
by Solmaz Nadiri, Paul Zimmermann, Laxmi Sane, Ravi Fernandes, Friedrich Dinkelacker and Bo Shu
Energies 2021, 14(17), 5473; https://doi.org/10.3390/en14175473 - 2 Sep 2021
Cited by 6 | Viewed by 3309
Abstract
To reach sustainable aviation, one approach is to use electro-fuels (e-fuels) within the gas turbine engines. E-fuels are CO2-neutral synthetic fuels which are produced employing electrical energy generated from renewable resources, where the carbon is taken out of the atmosphere or [...] Read more.
To reach sustainable aviation, one approach is to use electro-fuels (e-fuels) within the gas turbine engines. E-fuels are CO2-neutral synthetic fuels which are produced employing electrical energy generated from renewable resources, where the carbon is taken out of the atmosphere or from biomass. Our approach is, to find e-fuels, which can be utilized in the lean premixed prevaporized (LPP) combustion, where most of the non-CO2 emissions are prevented. One of the suitable e-fuel classes is alcohols with a low number of carbons. In this work, the autoignition properties of propanol isomers and butanol isomers as e-fuels were investigated in a high-pressure shock tube (HPST) at temperatures from 1200 to 1500 K, the pressure of 10 bar, and lean fuel-air conditions. Additional investigations on the low-temperature oxidation and flame speed of C3 and C4 alcohols from the literature were employed to develop a comprehensive mechanism for the prediction of ignition delay time (IDT) and laminar burning velocity (LBV) of the above-mentioned fuels. A numerical model based on newly developed chemical kinetics was applied to further study the IDT and LBV of fuels in comparison to the Jet-A surrogate at the engine-related conditions along with the emissions prediction of the model at lean fuel-air conditions. Full article
(This article belongs to the Special Issue Kinetic Modelling of E-fuels Combustion)
Show Figures

Figure 1

12 pages, 2319 KB  
Article
Marked Difference in the Conformational Transition of DNA Caused by Propanol Isomer
by Yue Ma, Yuko Yoshikawa, Hidehiro Oana and Kenichi Yoshikawa
Polymers 2020, 12(7), 1607; https://doi.org/10.3390/polym12071607 - 19 Jul 2020
Cited by 3 | Viewed by 3394
Abstract
We measured the changes in the higher-order structure of DNA molecules (λ phage DNA, 48 kbp) at different concentrations of 1- and 2-propanol through single-molecular observation. It is known that 2-propanol is usually adapted for the procedure to isolate genomic DNA from living [...] Read more.
We measured the changes in the higher-order structure of DNA molecules (λ phage DNA, 48 kbp) at different concentrations of 1- and 2-propanol through single-molecular observation. It is known that 2-propanol is usually adapted for the procedure to isolate genomic DNA from living cells/organs in contrast to 1-propanol. In the present study, it was found that with an increasing concentration of 1-propanol, DNA exhibits reentrant conformational transitions from an elongated coil to a folded globule, and then to an unfolded state. On the other hand, with 2-propanol, DNA exhibits monotonous shrinkage into a compact state. Stretching experiments under direct current (DC) electrical potential revealed that single DNA molecules intermediately shrunk by 1- and 2-propanol exhibit intrachain phase segregation, i.e., coexistence of elongated and compact parts. The characteristic effect of 1-propanol causing the reentrant transition is argued in terms of the generation of water-rich nanoclusters. Full article
(This article belongs to the Special Issue Dynamics of Polyelectrolytes)
Show Figures

Graphical abstract

14 pages, 2477 KB  
Article
Co-Solvent Exfoliation of Hexagonal Boron Nitride: Effect of Raw Bulk Boron Nitride Size and Co-Solvent Composition
by Xiang Nie, Guo Li, Zhao Jiang, Wei Li, Ting Ouyang and Jianfeng Wang
Nanomaterials 2020, 10(6), 1035; https://doi.org/10.3390/nano10061035 - 28 May 2020
Cited by 26 | Viewed by 6483
Abstract
Exfoliation of two-dimensional boron nitride nanosheets (BNNSs) from parent bulk material has been receiving intensive attention because of its fascinating physical properties. Liquid exfoliation is a simple, scalable approach to produce single-layer or few-layer BNNS. In this paper, water/propanol co-solvent exfoliation of bulk [...] Read more.
Exfoliation of two-dimensional boron nitride nanosheets (BNNSs) from parent bulk material has been receiving intensive attention because of its fascinating physical properties. Liquid exfoliation is a simple, scalable approach to produce single-layer or few-layer BNNS. In this paper, water/propanol co-solvent exfoliation of bulk boron nitride under the assistance of sonication was investigated in detail. Special attention was paid on the effect of raw bulk boron nitride size and co-solvent composition. The results show that sonication of small-size hexagonal boron nitride tends to generate large nanosheets, due to a predominant solvent wedge effect. In addition, it is found that the composition of water/propanol co-solvent has an important effect on exfoliation efficiency. Interestingly, although two isomers of 1-propanol (NPA) and 2-propanol (IPA) have the same molecular weight and similar surface tension, their aqueous solutions allow the formation of boron nitride nanosheets dispersion with markedly different concentrations. It is proposed that due to their spatial configuration difference, NPA with its longer molecular chain and fewer hydrophobic methyl group tends to form dynamic water-NPA clusters with larger size than water-IPA clusters. The hydrodynamic radius of the co-solvent “clusters” was calculated to be 0.72 nm for water/NPA system and 0.44 nm for water/IPA system at their maximum, respectively. Their size changes, represented by two curves, indicate a strong “cluster size” effect on exfoliation efficiency. Our work provides an insight into co-solvent exfoliation of hexagonal boron nitride and emphasizes the importance of co-solvent cluster size in exfoliation efficiency. Full article
(This article belongs to the Special Issue Nano-Fabrication Technology and Applications)
Show Figures

Graphical abstract

15 pages, 3482 KB  
Article
Explosion Characteristics of Propanol Isomer–Air Mixtures
by Jan Skřínský and Tadeáš Ochodek
Energies 2019, 12(8), 1574; https://doi.org/10.3390/en12081574 - 25 Apr 2019
Cited by 9 | Viewed by 4480
Abstract
This paper describes a series of experiments performed to study the explosion characteristics of propanol isomer (1-propanol and 2-propanol)–air binary mixtures. The experiments were conducted in two different experimental arrangements—a 0.02 m3 oil-heated spherical vessel and a 1.00 m3 electro-heated spherical [...] Read more.
This paper describes a series of experiments performed to study the explosion characteristics of propanol isomer (1-propanol and 2-propanol)–air binary mixtures. The experiments were conducted in two different experimental arrangements—a 0.02 m3 oil-heated spherical vessel and a 1.00 m3 electro-heated spherical vessel—for different equivalence ratios between 0.3 and 1.7, and initial temperatures of 50, 100, and 150 °C. More than 150 pressure–time curves were recorded. The effects of temperature and test vessel volume on various explosion characteristics, such as the maximum explosion pressure, maximum rate of pressure rise, deflagration index, and the lower and upper explosion limits were investigated and the results were further compared with the results available in literature for other alcohols, namely methanol, ethanol, 1-butanol, and 1-pentanol. The most important results from evaluated experiments are the values of deflagration index 89–98 bar·m/s for 2-propanol and 105–108 bar·m/s for 1-propanol/2-propanol–air mixtures. These values are used to describe the effect of isomer blends on a deflagration process and to rate the effects of an explosion. Full article
Show Figures

Figure 1

21 pages, 1646 KB  
Article
Chemical Characterization of Craft Filuferru Spirit from Sardinia, Italy
by Ilaria Langasco, Marco Caredda, Gavino Sanna, Angelo Panzanelli, Maria Itria Pilo, Nadia Spano, Giacomo Petretto and Pietro Paolo Urgeghe
Beverages 2018, 4(3), 62; https://doi.org/10.3390/beverages4030062 - 20 Aug 2018
Cited by 1 | Viewed by 5995
Abstract
Traditional Filuferru is an ancient spirit from Sardinia, Italy, which is usually obtained from the distillation of wine or grape marc. In this contribution, the results of the first chemical characterization of a wide number of crafts Filuferru samples has been accomplished in [...] Read more.
Traditional Filuferru is an ancient spirit from Sardinia, Italy, which is usually obtained from the distillation of wine or grape marc. In this contribution, the results of the first chemical characterization of a wide number of crafts Filuferru samples has been accomplished in terms of an evaluation of the alcoholic strength, qualitative and quantitative gas-chromatography–mass spectrometry (GC-MS) analysis of the volatile composition of the distillate, and its trace element composition by means an inductively coupled plasma–mass spectrometry (ICP-MS) method. Both instrumental methods have been validated and applied on 21 craft samples of Filuferru, whereas one sample of commercial distillate has been analyzed for comparison purposes. Alcoholic strength ranged between 41.0 and 62.4% (v/v). Sixty volatile compounds were identified and ten of them have been quantified. Analogies and differences with Grappa (i.e., the Italian distilled spirit closer to Filuferru) have been highlighted in the qualitative and quantitative profile of this matrix. Often meaningful amounts of acetaldehyde, ethyl acetate, dietyl acetal, and acetic acid were measured. Elemental analysis, performed on toxic, non-toxic elements, and oligoelements, 18 in total, revealed a wide variability of concentrations in both analytes and samples. High concentrations of Cu are sometimes evidenced, which are likely caused by losses from the distillation apparatus. The principal components analysis (PCA) allowed the differentiation of the ten volatile compounds quantified in two groups: the former, as described mainly by PC1, constituted by acetic acid, ethyl acetate, dietyl acetal, and acetaldehyde, and the second, described by PC2, constituted by 1-propanol, 2-methyl-1-propanol, the two coeluiting isomers 2-methyl-1-butanol and 3-methyl-1-butanol,1-hexanol, 2-phenylethanol, and 2,3-butanediol. Data obtained may be useful in order to establish a regulation for the production of high-quality traditional Filuferru from Sardinia. Full article
(This article belongs to the Special Issue Distilled Beverages: Science and Technology Across the Supply Chain)
Show Figures

Figure 1

Back to TopTop