Sign in to use this feature.

Years

Between: -

Subjects

remove_circle_outline
remove_circle_outline
remove_circle_outline
remove_circle_outline
remove_circle_outline
remove_circle_outline
remove_circle_outline
remove_circle_outline
remove_circle_outline

Journals

Article Types

Countries / Regions

remove_circle_outline
remove_circle_outline
remove_circle_outline
remove_circle_outline

Search Results (244)

Search Parameters:
Keywords = power-line cable

Order results
Result details
Results per page
Select all
Export citation of selected articles as:
19 pages, 6089 KB  
Article
Energy-Efficient Automated Detection of OPGW Features for Sustainable UAV-Based Inspection
by Xiaoling Yan, Wuxing Mao, Xiao Li, Ruiming Huang, Chi Ye, Faguang Li and Zheyu Fan
Sensors 2026, 26(2), 658; https://doi.org/10.3390/s26020658 - 19 Jan 2026
Viewed by 89
Abstract
Unmanned Aerial Vehicle (UAV)-based inspection is crucial for the maintenance and monitoring of high-voltage transmission lines, but detecting small objects in inspection images presents significant challenges, especially under complex backgrounds and varying lighting. These challenges are particularly evident when detecting the wire features [...] Read more.
Unmanned Aerial Vehicle (UAV)-based inspection is crucial for the maintenance and monitoring of high-voltage transmission lines, but detecting small objects in inspection images presents significant challenges, especially under complex backgrounds and varying lighting. These challenges are particularly evident when detecting the wire features of optical fiber composite overhead ground wire and conventional ground wires. Optical fiber composite overhead ground wire (OPGW) is a specialized cable designed to replace conventional shield wires on power utility towers. It contains one or more optical fibers housed in a protective tube, surrounded by layers of aluminum-clad steel and/or aluminum alloy wires, ensuring robust mechanical strength for grounding and high-bandwidth capabilities for remote sensing and control. Existing detection methods often struggle with low accuracy, insufficient performance, and high computational demands when dealing with small objects. To address these issues, this paper proposes an energy-efficient OPGW feature detection model for UAV-based inspection. The model incorporates a Feature Enhancement Module (FEM) to replace the C3K2 module in the sixth layer of the YOLO11 backbone, improving multi-scale feature extraction. A P2 shallow detection head is added to enhance the perception of small and edge features. Additionally, the traditional Intersection over Union (IoU) loss is replaced with Normalized Wasserstein Distance (NWD) loss function, which improves boundary regression accuracy for small objects. Experimental results show that the proposed method achieves a mAP50 of 78.3% and mAP5095 of 52.0%, surpassing the baseline by 2.3% and 1.1%, respectively. The proposed model offers the advantages of high detection accuracy and low computational resource requirements, providing a practical solution for sustainable UAV-based inspections. Full article
Show Figures

Figure 1

23 pages, 5292 KB  
Article
Research on Rapid 3D Model Reconstruction Based on 3D Gaussian Splatting for Power Scenarios
by Huanruo Qi, Yi Zhou, Chen Chen, Lu Zhang, Peipei He, Xiangyang Yan and Mengqi Zhai
Sustainability 2026, 18(2), 726; https://doi.org/10.3390/su18020726 - 10 Jan 2026
Viewed by 279
Abstract
As core infrastructure of power transmission networks, power towers require high-precision 3D models, which are critical for intelligent inspection and digital twin applications of power transmission lines. Traditional reconstruction methods, such as LiDAR scanning and oblique photogrammetry, suffer from issues including high operational [...] Read more.
As core infrastructure of power transmission networks, power towers require high-precision 3D models, which are critical for intelligent inspection and digital twin applications of power transmission lines. Traditional reconstruction methods, such as LiDAR scanning and oblique photogrammetry, suffer from issues including high operational risks, low modeling efficiency, and loss of fine details. To address these limitations, this paper proposes a 3D Gaussian Splatting (3DGS)-based method for power tower 3D reconstruction to enhance reconstruction efficiency and detail preservation capability. First, a multi-view data acquisition scheme combining “unmanned aerial vehicle + oblique photogrammetry” was designed to capture RGB images acquired by Unmanned Aerial Vehicle (UAV) platforms, which are used as the primary input for 3D reconstruction. Second, a sparse point cloud was generated via Structure from Motion. Finally, based on 3DGS, Gaussian model initialization, differentiable rendering, and adaptive density control were performed to produce high-precision 3D models of power towers. Taking two typical power tower types as experimental subjects, comparisons were made with the oblique photogrammetry + ContextCapture method. Experimental results demonstrate that 3DGS not only achieves high model completeness (with the reconstructed model nearly indistinguishable from the original images) but also excels in preserving fine details such as angle steels and cables. Additionally, the final modeling time is reduced by over 70% compared to traditional oblique photogrammetry. 3DGS enables efficient and high-precision reconstruction of power tower 3D models, providing a reliable technical foundation for digital twin applications in power transmission lines. By significantly improving reconstruction efficiency and reducing operational costs, the proposed method supports sustainable power infrastructure inspection, asset lifecycle management, and energy-efficient digital twin applications. Full article
Show Figures

Figure 1

12 pages, 475 KB  
Article
Absolutely Selective Single-Phase Ground-Fault Protection Systems for Bunched Cable Lines
by Aleksandr Novozhilov, Zhanat Issabekov, Timofey Novozhilov, Bibigul Issabekova and Lyazzat Tyulyugenova
Electricity 2026, 7(1), 2; https://doi.org/10.3390/electricity7010002 - 2 Jan 2026
Viewed by 213
Abstract
Electrical energy in urban and industrial power supply networks is mainly transmitted through 6–10-kV cable networks with an isolated neutral, where most lines are made as bunches of cables. Up to 75–90% of electrical faults in these cable networks belong to single-phase ground [...] Read more.
Electrical energy in urban and industrial power supply networks is mainly transmitted through 6–10-kV cable networks with an isolated neutral, where most lines are made as bunches of cables. Up to 75–90% of electrical faults in these cable networks belong to single-phase ground faults (SGFs), which can cause more severe accidents accompanied by significant economic damage. Widely known simple and directional protections against SGFs are relatively selective and, hence, often incapable of properly responding to SGFs in a network with such lines and detecting a cable with SGFs in the bunch of a damaged line. These disadvantages can be eliminated by using new, simple, and inexpensive, absolutely selective protections capable of detecting a cable with SGFs in a damaged line. We suggest the techniques and devices based on zero-sequence current transformers and ring measuring converters for building up such protection systems. The methods for calculating zero-sequence currents in cables of a bunched cable line, depending on the SGF point and the currents in the responding elements, are developed, as well as a procedure for determining a damaged cable and methods for estimating the responding element thresholds and the length of the protection dead zone. Full article
(This article belongs to the Topic Advances in Power Science and Technology, 2nd Edition)
Show Figures

Figure 1

16 pages, 3415 KB  
Article
An Indicator for Assessing the Hosting Capacity of Low-Voltage Power Networks for Distributed Energy Resources
by Grzegorz Hołdyński, Zbigniew Skibko and Andrzej Firlit
Energies 2025, 18(23), 6315; https://doi.org/10.3390/en18236315 - 30 Nov 2025
Cited by 1 | Viewed by 336
Abstract
The article analyses the hosting capacity of low-voltage (LV) power grids for connecting distributed energy sources (DER), mainly photovoltaic installations (PV), considering technical limitations imposed by power system operating conditions. The main objective of the research was to develop a simple equation that [...] Read more.
The article analyses the hosting capacity of low-voltage (LV) power grids for connecting distributed energy sources (DER), mainly photovoltaic installations (PV), considering technical limitations imposed by power system operating conditions. The main objective of the research was to develop a simple equation that enables the quick estimation of the maximum power of an energy source that can be safely connected at a given point in the network without causing excessive voltage rise or overloading the transformer and line cable. The analysis was performed on the basis of relevant calculation formulas and simulations carried out in DIgSILENT PowerFactory, where a representative low-voltage grid model was developed. The network model included four transformer power ratings (40, 63, 100, and 160 kVA) and four cable cross-sections (25, 35, 50, and 70 mm2), which made it possible to assess the impact of these parameters on grid hosting capacity as a function of the distance from the transformer station. Based on this, the PHCI indicator was developed to determine the hosting capacity of a low-voltage network, using only the transformer rating and the length and cross-section of the line for the calculations. A comparison of the results obtained using the proposed equation with detailed calculations showed that the approximation error does not exceed 15%, which confirms the high accuracy and practical applicability of the proposed approach. Full article
(This article belongs to the Special Issue New Technologies and Materials in the Energy Transformation)
Show Figures

Figure 1

16 pages, 1426 KB  
Article
Nighttime Reactive Power Optimization for Large-Scale PV Plants: Minimizing Compensation Equipment Investment
by Yu-Ming Liu, Cheng-Chien Kuo and Hung-Cheng Chen
Appl. Sci. 2025, 15(19), 10748; https://doi.org/10.3390/app151910748 - 6 Oct 2025
Cited by 3 | Viewed by 882
Abstract
The increasing integration of photovoltaic (PV) power systems poses challenges for nighttime voltage regulation because long high-voltage (HV) and ultra-high-voltage (UHV) underground cables generate capacitive reactive power that elevates the grid voltage. Conventional compensators based on passive inductors and capacitors are bulky, costly, [...] Read more.
The increasing integration of photovoltaic (PV) power systems poses challenges for nighttime voltage regulation because long high-voltage (HV) and ultra-high-voltage (UHV) underground cables generate capacitive reactive power that elevates the grid voltage. Conventional compensators based on passive inductors and capacitors are bulky, costly, and inflexible, rendering them unsuitable for substation use. This study proposes an optimization-based strategy that leverages the existing inverter infrastructure of PV plants to provide nighttime reactive power compensation without additional hardware. A genetic algorithm (GA) determines the optimal number and spatial deployment of inverters to minimize line losses. Field validation at a 120 MW PV plant with 1292 inverters shows that the strategy reduces reverse reactive power from 0.84 MVAr to 0.00214 MVAr and line losses from 1.8235 kW to 0.386 kW using only 55 inverters, achieving near-zero additional capital expenditure (CAPEX). This method enhances the voltage stability and system efficiency while reducing the investment and maintenance costs. Full article
(This article belongs to the Section Green Sustainable Science and Technology)
Show Figures

Figure 1

20 pages, 6771 KB  
Article
A Comparative Analysis of the Fatigue Strength of Aluminium and Copper Wires Used for Power Cables
by Tadeusz Knych, Beata Smyrak and Bartosz Jurkiewicz
Materials 2025, 18(18), 4426; https://doi.org/10.3390/ma18184426 - 22 Sep 2025
Viewed by 1276
Abstract
Recent studies have demonstrated that the utilisation of aluminium in electrical applications has increased substantially, particularly in the context of power cables. The substitution of copper with aluminium in cable fabrication is predominantly driven by economic considerations. When designing such cables, it is [...] Read more.
Recent studies have demonstrated that the utilisation of aluminium in electrical applications has increased substantially, particularly in the context of power cables. The substitution of copper with aluminium in cable fabrication is predominantly driven by economic considerations. When designing such cables, it is imperative to ascertain their functional properties, including their electrical conductivity and mechanical properties, and their operational properties, which include rheological, thermal, and material fatigue resistance. This is to ensure that the aluminium and copper cables are compatible. The primary challenge confronting researchers in this domain pertains to predicting and forecasting the failure of overhead cables during their operational lifecycle. One of the most significant and prevalent operational hazards is fatigue damage. This article presents the experimental results of fatigue tests on single Al and Cu wires in various states of mechanical reinforcement. The parameters of the Wöhler curve were determined, and a comparative analysis of the morphology of fatigue damage in single copper and aluminium wires was performed. It was found that copper wires are more fatigue-resistant than aluminium wires. In the case of high-cycle fatigue, this difference can amount to 106 cycles. An analysis of fatigue fracture morphology showed that fractures have a developed surface and that plastic deformation makes a significant contribution in the case of low-cycle fatigue. In the case of high-cycle fatigue, many cracks were observed in the copper wires. No such cracks were observed in the aluminium wires. Full article
Show Figures

Figure 1

21 pages, 1528 KB  
Article
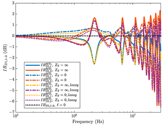
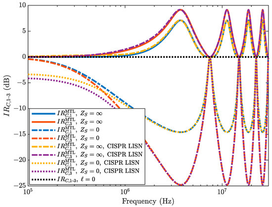
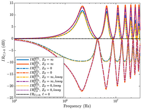
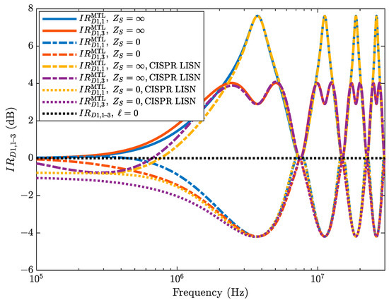
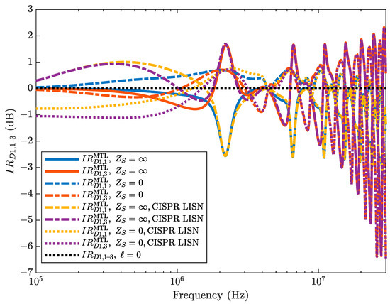
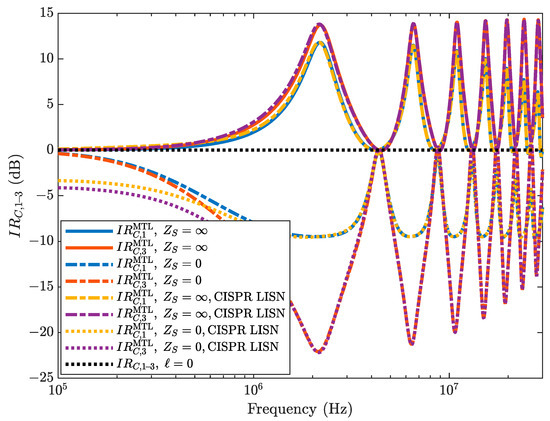
Influence of Asymmetric Three-Phase Cable Cross-Sections on Conducted Emission Measurements
by Ludovica Illiano, Xinglong Wu, Flavia Grassi and Sergio Amedeo Pignari
Energies 2025, 18(17), 4720; https://doi.org/10.3390/en18174720 - 4 Sep 2025
Viewed by 1132
Abstract
This work presents a frequency-domain and modal-domain model to analyze how the length of a three-phase power cable influences conducted emission (CE) voltages measured through a line impedance stabilization network (LISN). The measurement setup considered consists of an equipment under test (EUT) connected [...] Read more.
This work presents a frequency-domain and modal-domain model to analyze how the length of a three-phase power cable influences conducted emission (CE) voltages measured through a line impedance stabilization network (LISN). The measurement setup considered consists of an equipment under test (EUT) connected to the LISN via a power cable whose cross-section is defined in this study as quadrilateral, namely, four conductors arranged at the corners of a quadrilateral: typically the three phases and the protective earth or neutral conductor. The cable is modeled as a multiconductor transmission line (MTL). To evaluate the system performance both with and without the cable, the concept of voltage insertion ratio (IR) is introduced, defined as the reciprocal of the typical insertion loss. Closed-form expressions are derived for both common mode (CM) and differential mode (DM) emissions. The objective is twofold: to understand under which conditions the LISN measurements overestimate or underestimate the actual emissions at the EUT terminals, and to provide a predictive tool to assess the impact of electrically long cables on CE measurements. The model is validated through numerical simulations of quadrilateral cable configurations considering both a homogeneous and inhomogeneous cross-section, highlighting the need to account for cable length in system design and EMC test interpretation. Full article
(This article belongs to the Section F: Electrical Engineering)
Show Figures

Figure 1

16 pages, 2689 KB  
Article
A Calibration Approach for Short-Circuit Fault in Electrified Railway Bidirectional Power Supply System
by Yan Xia, Ke Huang, Yunchuan Deng, Zhigang Liu and Jingkun Liang
Infrastructures 2025, 10(9), 230; https://doi.org/10.3390/infrastructures10090230 - 1 Sep 2025
Viewed by 683
Abstract
Compared to the traditional unidirectional power supply system, the bidirectional traction power supply system in an electrified railway offers advantages like improved traction voltage and reduced energy losses, making it more suitable for steep gradient routes. However, its increased electrical complexity necessitates advanced [...] Read more.
Compared to the traditional unidirectional power supply system, the bidirectional traction power supply system in an electrified railway offers advantages like improved traction voltage and reduced energy losses, making it more suitable for steep gradient routes. However, its increased electrical complexity necessitates advanced catenary-rail short-circuit fault calculations and relay protection calibration. This paper proposes a fault calibration approach based on deriving electrical quantities with fault distance in the railway bidirectional traction grid system. A multi-loop circuit modeling method is used to accurately model the traction grid system and impedance parameters, incorporating real loop circuits formed by the grid transmission and return conductors for the first time. The approach is validated through real-life experiments on a Chinese railway line. A case study of a direct power supply system with a return cable is used to derive electrical quantities. Faults are categorized into two sections: between the substation and the parallel station (PS), and between the PS and the section post (SP). For each section, electrical quantities are derived under unidirectional substation excitation, and the results are superimposed to obtain fault distance variation curves for currents and voltages of substation, PS, SP, and Thévenin impedance. Finally, a calibration strategy for relay protection is presented. Full article
(This article belongs to the Special Issue The Resilience of Railway Networks: Enhancing Safety and Robustness)
Show Figures

Figure 1

16 pages, 3697 KB  
Article
Studies of Voltages Induced in the Screens of Power Cables Using Computer Simulation on an MV Network Model
by Aleksandra Schött-Szymczak and Krzysztof Walczak
Energies 2025, 18(17), 4607; https://doi.org/10.3390/en18174607 - 30 Aug 2025
Viewed by 1035
Abstract
One of the reasons for using metallic sheaths in power cables is to provide a path for fault current flow. The aim of the study will be to determine the effect of the type of short circuit, the current that flows in the [...] Read more.
One of the reasons for using metallic sheaths in power cables is to provide a path for fault current flow. The aim of the study will be to determine the effect of the type of short circuit, the current that flows in the conductor of a three-phase MV cable line, on the level of voltages and overvoltages induced in the metallic screens of these cables with different configurations of their grounding. The appearance of voltage exceeding safe values in the screen can lead to damage to the outer sheath insulation cable. The simulation studies were carried out using an MV network model created in the DIgSILENT Power Factory program, which consists of basic elements of the power system and a system that duplicates connections of sheaths and grounding. The test results show the waveforms of voltages induced in the cable screens and the maximum values of overvoltage resulting from the simulation of ground faults and phase faults. The main achievement obtained as a result of the simulation tests was obtaining information on the level of overvoltage hazard in the event of various types of short-circuit disturbances. The analysis of the obtained results indicates the possibility of overvoltage in the considered system, posing a threat to the outer sheath of the cable; therefore, a solution will be proposed to avoid damage. Full article
(This article belongs to the Special Issue Power System Voltage Stability, Modelling, Analysis and Control)
Show Figures

Figure 1

18 pages, 7499 KB  
Article
Transformer Winding Fault Locating Using Frequency Domain Reflectometry (FDR) Technology
by Hao Yun, Yizhou Zhang, Yufei Sun, Liang Wang, Lulin Xu, Daning Zhang and Jialu Cheng
Electronics 2025, 14(15), 3117; https://doi.org/10.3390/electronics14153117 - 5 Aug 2025
Viewed by 838
Abstract
Detecting power transformer winding degradations at an early stage is very important for the safe operation of nuclear power plants. Most transformer failures are caused by insulation breakdown; the winding turn-to-turn short circuit fault is frequently encountered. Experience has shown that routine testing [...] Read more.
Detecting power transformer winding degradations at an early stage is very important for the safe operation of nuclear power plants. Most transformer failures are caused by insulation breakdown; the winding turn-to-turn short circuit fault is frequently encountered. Experience has shown that routine testing techniques, e.g., winding resistance, leakage inductance, and sweep frequency response analysis (SFRA), are not sensitive enough to identify minor turn-to-turn short defects. The SFRA technique is effective only if the fault is in such a condition that the flux distribution in the core is prominently distorted. This paper proposes the frequency domain reflectometry (FDR) technique for detecting and locating transformer winding defects. FDR measures the wave impedance and its change along the measured windings. The wire over a plane model is selected as the transmission line model for the transformer winding. The effectiveness is verified through lab experiments on a twist pair cable simulating the transformer winding and field testing on a real transformer. The FDR technique successfully identified and located the turn-to-turn short fault that was not detected by other testing techniques. Using FDR as a complementary tool for winding condition assessment will be beneficial. Full article
(This article belongs to the Section Power Electronics)
Show Figures

Figure 1

36 pages, 7426 KB  
Article
PowerLine-MTYOLO: A Multitask YOLO Model for Simultaneous Cable Segmentation and Broken Strand Detection
by Badr-Eddine Benelmostafa and Hicham Medromi
Drones 2025, 9(7), 505; https://doi.org/10.3390/drones9070505 - 18 Jul 2025
Cited by 1 | Viewed by 2137
Abstract
Power transmission infrastructure requires continuous inspection to prevent failures and ensure grid stability. UAV-based systems, enhanced with deep learning, have emerged as an efficient alternative to traditional, labor-intensive inspection methods. However, most existing approaches rely on separate models for cable segmentation and anomaly [...] Read more.
Power transmission infrastructure requires continuous inspection to prevent failures and ensure grid stability. UAV-based systems, enhanced with deep learning, have emerged as an efficient alternative to traditional, labor-intensive inspection methods. However, most existing approaches rely on separate models for cable segmentation and anomaly detection, leading to increased computational overhead and reduced reliability in real-time applications. To address these limitations, we propose PowerLine-MTYOLO, a lightweight, one-stage, multitask model designed for simultaneous power cable segmentation and broken strand detection from UAV imagery. Built upon the A-YOLOM architecture, and leveraging the YOLOv8 foundation, our model introduces four novel specialized modules—SDPM, HAD, EFR, and the Shape-Aware Wise IoU loss—that improve geometric understanding, structural consistency, and bounding-box precision. We also present the Merged Public Power Cable Dataset (MPCD), a diverse, open-source dataset tailored for multitask training and evaluation. The experimental results show that our model achieves up to +10.68% mAP@50 and +1.7% IoU compared to A-YOLOM, while also outperforming recent YOLO-based detectors in both accuracy and efficiency. These gains are achieved with a smaller model memory footprint and a similar inference speed compared to A-YOLOM. By unifying detection and segmentation into a single framework, PowerLine-MTYOLO offers a promising solution for autonomous aerial inspection and lays the groundwork for future advances in fine-structure monitoring tasks. Full article
Show Figures

Figure 1

27 pages, 9584 KB  
Article
Dynamic Response of a Floating Dual Vertical-Axis Tidal Turbine System with Taut and Catenary Mooring Under Extreme Environmental Conditions in Non-Operating Mode
by Yunjun Lee, Jinsoon Park and Woo Chul Chung
J. Mar. Sci. Eng. 2025, 13(7), 1315; https://doi.org/10.3390/jmse13071315 - 8 Jul 2025
Viewed by 823
Abstract
This study analyzes the dynamic response of a floating dual vertical-axis tidal turbine platform under extreme environmental loads, focusing on two different mooring systems as follows: taut and catenary. The analysis assumes a non-operational turbine state where power generation is stopped, and the [...] Read more.
This study analyzes the dynamic response of a floating dual vertical-axis tidal turbine platform under extreme environmental loads, focusing on two different mooring systems as follows: taut and catenary. The analysis assumes a non-operational turbine state where power generation is stopped, and the vertical turbines are lifted for structural protection. Using time-domain simulations via OrcaFlex 11.4, the floating platform’s motion and mooring line effective tensions are evaluated under high waves, strong wind, and current loads. The results reveal that sway and heave motions are significantly influenced by wave excitation, with the catenary system exhibiting larger responses due to mooring system features, while the taut system experiences higher mooring effective tension but shows more restrained motion. Notably, in the roll direction, both systems exhibit peak frequencies unrelated to the wave spectrum, attributed instead to resonance with the system’s natural frequencies—0.12438 Hz for taut and 0.07332 Hz for catenary. Additionally, the failure scenario of ML02 (Mooring Line 02) and the application of dynamic power cables to the floating platform are analyzed. The results demonstrate that under non-operational and extreme load conditions, mooring system type plays a main role in determining platform stability and structural safety. This comparative analysis offers valuable insights for selecting and designing mooring configurations optimized for reliability in extreme environmental conditions. Full article
(This article belongs to the Special Issue Numerical Analysis and Modeling of Floating Structures)
Show Figures

Figure 1

25 pages, 10333 KB  
Article
Design of a Bionic Self-Insulating Mechanical Arm for Concealed Space Inspection in the Live Power Cable Tunnels
by Jingying Cao, Jie Chen, Xiao Tan and Jiahong He
Appl. Sci. 2025, 15(13), 7350; https://doi.org/10.3390/app15137350 - 30 Jun 2025
Viewed by 693
Abstract
Adopting mobile robots for high voltage (HV) live-line operations can mitigate personnel casualties and enhance operational efficiency. However, conventional mechanical arms cannot inspect concealed spaces in the power cable tunnel because their joint integrates metallic motors or hydraulic serial-drive mechanisms, which limit the [...] Read more.
Adopting mobile robots for high voltage (HV) live-line operations can mitigate personnel casualties and enhance operational efficiency. However, conventional mechanical arms cannot inspect concealed spaces in the power cable tunnel because their joint integrates metallic motors or hydraulic serial-drive mechanisms, which limit the arm’s length and insulation performance. Therefore, this study proposes a 7-degree-of-freedom (7-DOF) bionic mechanical arm with rigid-flexible coupling, mimicking human arm joints (shoulder, elbow, and wrist) designed for HV live-line operations in concealed cable tunnels. The arm employs a tendon-driven mechanism to remotely actuate joints, analogous to human musculoskeletal dynamics, thereby physically isolating conductive components (e.g., motors) from the mechanical arm. The arm’s structure utilizes dielectric materials and insulation-optimized geometries to reduce peak electric field intensity and increase creepage distance, achieving intrinsic self-insulation. Furthermore, the mechanical design addresses challenges posed by concealed spaces (e.g., shield tunnels and multi-circuit cable layouts) through the analysis of joint kinematics, drive mechanisms, and dielectric performance. The workspace of the proposed arm is an oblate ellipsoid with minor and major axes measuring 1.25 m and 1.65 m, respectively, covering the concealed space in the cable tunnel, while the arm’s quality is 4.7 kg. The maximum electric field intensity is 74.3 kV/m under 220 kV operating voltage. The field value is less than the air breakdown threshold. The proposed mechanical arm design significantly improves spatial adaptability, operational efficiency, and reliability in HV live-line inspection, offering theoretical and practical advancements for intelligent maintenance in cable tunnel environments. Full article
Show Figures

Figure 1

14 pages, 20112 KB  
Article
Design and Simulation Test of Non-Contact Voltage Sensor
by Haojie Peng, Hongwei Liu, Kuo Shang, Gaoyue Li and Liping Zhao
Sensors 2025, 25(10), 3118; https://doi.org/10.3390/s25103118 - 15 May 2025
Viewed by 1269
Abstract
The miniaturization of sensors and non-contact measurement techniques is currently at the forefront of smart grid development. This paper proposes a miniature voltage sensor whose size is significantly reduced while maintaining large bandwidth and high linearity. To minimize the impact of environmental factors [...] Read more.
The miniaturization of sensors and non-contact measurement techniques is currently at the forefront of smart grid development. This paper proposes a miniature voltage sensor whose size is significantly reduced while maintaining large bandwidth and high linearity. To minimize the impact of environmental factors on measurement accuracy, a differential structure is utilized to optimize the sensor. The sensor is designed with a dual-channel measurement mode for both high-frequency and power-frequency signals, addressing issues of signal refraction and reflection due to impedance mismatch. COMSOL Multiphysics 6.2 is employed to simulate the sensor’s structural design and placement. Moreover, the experimental analysis of key parameters, such as parallel resistance and capacitance, identifies the optimal parameter combination for low-voltage distribution lines and cables of 10 kV and below. Experiments show that the voltage sensor’s bandwidth ranges from 30 Hz–200 kHz when measured through a frequency response analyzer. Finally, through the measurement carried out on the overhead line and cable, we evaluate the linearity of the sensor according to the experimental data. Specifically, the nonlinear errors of the voltage measurement for the overhead line and cable are 0.62% and 0.57%, respectively. Full article
(This article belongs to the Section Physical Sensors)
Show Figures

Figure 1

9 pages, 2059 KB  
Proceeding Paper
Reliability Assessment of Power Distribution System in Freeport Area of Bataan
by Jomel R. Cristobal and Ronald Vincent M. Santiago
Eng. Proc. 2025, 92(1), 58; https://doi.org/10.3390/engproc2025092058 - 8 May 2025
Cited by 1 | Viewed by 2024
Abstract
The continuous distribution ability of electricity is defined as the effectiveness of the computation of reliability indices. Therefore, we conducted a reliability assessment and evaluated the performance of the distribution system in the Freeport Area of Bataan (FAB). For reliability assessment, software was [...] Read more.
The continuous distribution ability of electricity is defined as the effectiveness of the computation of reliability indices. Therefore, we conducted a reliability assessment and evaluated the performance of the distribution system in the Freeport Area of Bataan (FAB). For reliability assessment, software was developed to automate the computation of indices, including system average interruption frequency index (SAIFI), system average interruption duration index (SAIDI), customer average interruption frequency index (CAIFI), and customer average interruption duration index (CAIDI). Through reliability assessment and evaluation, the low-performing distribution network of the FAB was successfully identified. After the identification of the low-performing network, reconductoring and redundant feeder line projects were proposed to alleviate and reduce the occurrence of power interruptions. An analysis of its economy was also conducted, and the result showed that line reconductoring from bare conductor to insulated cable was the most feasible option since it resulted in a high benefit–cost ratio (BCR) and a positive net present value (NPV) for all evaluated cases. Full article
(This article belongs to the Proceedings of 2024 IEEE 6th Eurasia Conference on IoT, Communication and Engineering)
Show Figures

Figure 1

Back to TopTop