Sign in to use this feature.

Years

Between: -

Subjects

remove_circle_outline
remove_circle_outline
remove_circle_outline
remove_circle_outline
remove_circle_outline
remove_circle_outline
remove_circle_outline
remove_circle_outline

Journals

Article Types

Countries / Regions

Search Results (57)

Search Parameters:
Keywords = porosity-cement index

Order results
Result details
Results per page
Select all
Export citation of selected articles as:
22 pages, 3213 KB  
Article
Porosity/Cement Index and Machine Learning Models for Predicting Tensile and Compressive Strength of Cemented Silt in Varying Compaction Conditions
by Jair Arrieta Baldovino, Oscar E. Coronado-Hernández and Yamid E. Nuñez de la Rosa
Materials 2026, 19(3), 498; https://doi.org/10.3390/ma19030498 - 27 Jan 2026
Abstract
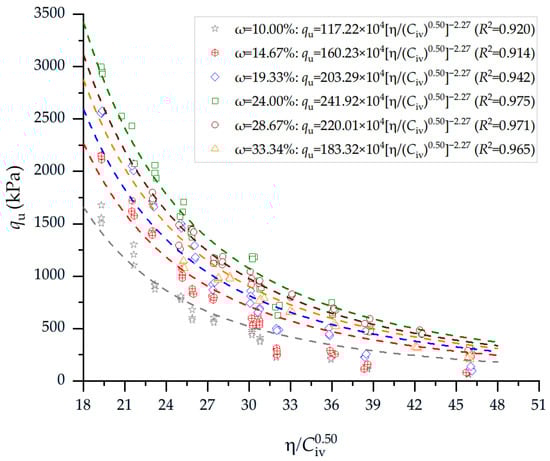
This study investigates the mechanical response of cemented silt subjected to 28 days of curing by integrating two predictive methodologies: porosity–cement index (η/Civ) and machine learning (ML) models. The soil was compacted over a wide range of molding water contents and [...] Read more.
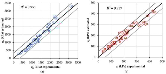
This study investigates the mechanical response of cemented silt subjected to 28 days of curing by integrating two predictive methodologies: porosity–cement index (η/Civ) and machine learning (ML) models. The soil was compacted over a wide range of molding water contents and dry densities, including optimum and off-optimum states, and stabilized with varying cement contents. Unconfined compressive strength (qu) and splitting tensile strength (qt) were evaluated as functions of cement dosage, curing time, porosity, water content, and the specific gravities of the soil and cement. The η/Civ index demonstrated a strong predictive capability for both qu and qt, with determination coefficients exceeding 0.980, and exhibited the expected power-law decay with increasing η/Civ. ML algorithms—particularly Gaussian Process Regression with a Matern 5/2 kernel—outperformed the empirical model, achieving R2 values of 0.963 (validation) and 0.997 (testing) for qu prediction. The qt model similarly reached R2 = 0.984–0.988, demonstrating high generalization and stability across curing and compaction conditions. Experimental results revealed substantial strength gains with decreasing η/Civ, with qu increasing from 100 kPa at η/Civ = 46 to 2900 kPa at η/Civ = 19, while qt rose from 10–15 kPa to 300 kPa across the same range. Full article
Show Figures

Figure 1

26 pages, 6879 KB  
Article
Integrating the Porosity/Binder Index and Machine Learning Approaches for Simulating the Strength and Stiffness of Cemented Soil
by Jair De Jesús Arrieta Baldovino, Oscar E. Coronado-Hernandez and Yamid E. Nuñez de la Rosa
Materials 2025, 18(24), 5504; https://doi.org/10.3390/ma18245504 - 7 Dec 2025
Viewed by 301
Abstract
This study evaluates the mechanical performance and predictive modeling of fine-grained soils stabilized with crushed aggregate residue (CAR) or crushed limestone waste (CLW) and Portland cement by integrating the porosity–binder index (η/Civ) and Machine Learning (ML) techniques. [...] Read more.
This study evaluates the mechanical performance and predictive modeling of fine-grained soils stabilized with crushed aggregate residue (CAR) or crushed limestone waste (CLW) and Portland cement by integrating the porosity–binder index (η/Civ) and Machine Learning (ML) techniques. Laboratory testing included unconfined compressive strength (qu) and small-strain shear modulus (Go) measurements on mixtures containing 15% and 30% CAR and 3% and 6% cement, compacted at dry unit weights between 1.69 and 1.81 g·cm−3 and cured for 7 and 28 days. Results revealed that strength and stiffness increased significantly with both cement and CAR contents. The mixture with 30% CAR and 6% cement exhibited the highest mechanical performance at 28 days (qu = 1550 kPa and Go = 6790 MPa). When mixtures are compared within the same curing period, the role of CAR and cement becomes evident. At 28 days, increasing CAR from 15% to 30% led to a moderate rise in qu (from 1390 to 1550 kPa) and Go (from 6220 to 6790 MPa). Likewise, at 7 days, increasing cement from 3% to 6% at 15% CAR produced significant gains in qu (207 to 693 kPa) and Go (2090 to 4120 MPa). The porosity–binder index showed strong correlations with qu (R2 = 0.94) and Go (R2 = 0.92). The ML models further improved accuracy, achieving R2 values of 0.99 for qu and 0.97 for Go. Although the index already performed well, the additional gain provided by ML is meaningful because it reduces prediction errors and better captures nonlinear interactions among mixture variables. This results in more reliable estimates for mix design, confirming that the combined use of η/Civ and ML offers a robust framework for predicting the behavior of soil–cement–CAR mixtures. Full article
(This article belongs to the Section Construction and Building Materials)
Show Figures

Figure 1

27 pages, 7061 KB  
Article
Evaluation of the Influence of Different Color Glass on Cementitious Mortar Properties
by Leonardo Caniato Martioli, Maria Eduarda Almeida Gomes, Cézar Augusto Casagrande, Marcelo Henrique F. Medeiros and Lidiane Fernanda Jochem
Buildings 2025, 15(21), 3925; https://doi.org/10.3390/buildings15213925 - 30 Oct 2025
Viewed by 521
Abstract
The growing generation of solid waste, driven by urbanization and industrialization, represents one of today’s greatest environmental challenges. The construction industry can play a key role in this scenario by incorporating recycling and waste reuse practices. Glass, a fully recyclable material, is still [...] Read more.
The growing generation of solid waste, driven by urbanization and industrialization, represents one of today’s greatest environmental challenges. The construction industry can play a key role in this scenario by incorporating recycling and waste reuse practices. Glass, a fully recyclable material, is still largely disposed of in landfills. A promising alternative is the use of ground glass in cementitious materials, partially or completely replacing cement or aggregates. Thus, in this paper, the effect of partially replacing Portland cement with ground glass of different colors including green, blue, transparent, amber, and colorful (all colors used mixed) in proportions of 15 and 35% in mortars was evaluated. The ground glasses were characterized by laser granulometry and chemical analysis. The properties of the mortars were then evaluated in the fresh and hardened state (apparent specific gravity, mechanical strength, water absorption, and open porosity). Regarding workability, the highest improvement observed was 6.8% for the 35% colored glass series compared to the reference series. In terms of entrapped air, there was an increase of up to 18.8% in the 35% green glass series. At 28 days of hydration, the 15% colored glass series obtained a 33% increase in flexural strength compared to the REF series. In the microstructure, it was found that a 15% glass presence was sufficient to reduce the portlandite index from 16.04 to 13.53, while a 35% glass presence was sufficient to reduce it to 7.51% portlandite, equivalent to a 54% reduction, suggesting significant potential for the reaction of the finer glass fractions with portlandite. This study suggests that the use of glass waste in a cementitious matrix can provide an environmentally appropriate alternative for recycling this material, contributing to a sustainable application and increased recycling rates of glass waste. Full article
Show Figures

Figure 1

27 pages, 8461 KB  
Article
Novel Proposal for Strength Prediction of Cement-Stabilized Soils Considering Porosity, Cement Index, and Curing Time
by Maciej Miturski
Appl. Sci. 2025, 15(21), 11448; https://doi.org/10.3390/app152111448 - 27 Oct 2025
Cited by 1 | Viewed by 732
Abstract
Stabilized soils are used as structural components in pavement construction and highway engineering. Due to their broad application, practical methods for predicting their strength are essential. The unconfined compressive strength (UCS) test is a fundamental technique for assessing mechanical properties. This study focuses [...] Read more.
Stabilized soils are used as structural components in pavement construction and highway engineering. Due to their broad application, practical methods for predicting their strength are essential. The unconfined compressive strength (UCS) test is a fundamental technique for assessing mechanical properties. This study focuses on the development of a new method for predicting the strength of cement-stabilized soils. The analysis was based on three series of tests. The first series examined the effect of variable initial moisture content, ranging from 6% to 13%. The second series focused on the impact of cement content, ranging from 1% to 9%. The third series examined the effect of cement content on strength increase over a period of 1 to 56 days of curing. Based on the collected data, an empirical relationship was developed to predict strength using three key parameters: porosity (n), cement index (Ci), and curing time (TC). Nomograms were created using this relationship, allowing strength to be easily predicted. Additionally, the study presents correlations between the proposed model and deformation parameters, as determined by both destructive testing (DT) and non-destructive testing (NDT), including the E50 modulus, EUPV, and GUPV. The statistical validation of the determined empirical relationship showed a MAPE value of 15.928% and an RMSE value of 0.318 MPa. The results confirm the accuracy of the developed model and the derived correlations. Full article
Show Figures

Figure 1

19 pages, 2295 KB  
Article
Effect of Winter Cropping Forage on Soil Aggregate Distribution and Stability
by Yao Xiang, Chuting Zhang, Mengyan Cao, Shuangqi Jiang, Chuntao He and Guorong Xin
Agriculture 2025, 15(19), 2039; https://doi.org/10.3390/agriculture15192039 - 29 Sep 2025
Viewed by 590
Abstract
Soil structure is crucial for maintaining soil health and can be improved through winter cropping. This study evaluated the effects of winter cropping Italian ryegrass (WI), rye (WR), oat (WO), and winter fallow (CK) on soil aggregate structure and explored the role of [...] Read more.
Soil structure is crucial for maintaining soil health and can be improved through winter cropping. This study evaluated the effects of winter cropping Italian ryegrass (WI), rye (WR), oat (WO), and winter fallow (CK) on soil aggregate structure and explored the role of soil-cementing materials and arbuscular mycorrhizal fungi (AMF) communities in regulating soil aggregate distribution and stability. Compared to CK, the WI and WR treatments increased the proportion of water-stable large macroaggregates (>2 mm diameter) by 45.7% and 41.5%, respectively. Both WI and WR treatments enhanced the mean weight diameter and geometric mean diameter of soil aggregates, while soil porosity increased by 15.7% and 21.7%, respectively. The contents of amorphous iron oxide, humic acid, and fulvic acid were significantly higher in the WI and WR treatments. The WR treatment improved the Shannon index of AMF communities by 14.6%, and the relative abundances of Claroideoglomus increased by 55.3%, 51.3%, and 43.5% in the WI, WR, and WO treatments, compared to CK, respectively. Dominant AMF genera had a substantial impact on soil aggregate distribution. The partial least squares path model indicated that distinct AMF communities contributed to variations in soil aggregate distribution following winter cropping forages. Both Italian ryegrass and rye showed the greatest potential for enhancing soil structure and are recommended for winter cropping in Southern China. These findings suggest that winter cropping forages can improve soil aggregate structure primarily by enhancing AMF communities, providing a promising strategy for improving soil health. Full article
(This article belongs to the Section Agricultural Soils)
Show Figures

Graphical abstract

24 pages, 11795 KB  
Article
Effects of Sodium Chloride in Soil Stabilization: Improving the Behavior of Clay Deposits in Northern Cartagena, Colombia
by Jair Arrieta Baldovino, Jesús David Torres Parra and Yamid E. Nuñez de la Rosa
Sustainability 2025, 17(19), 8715; https://doi.org/10.3390/su17198715 - 28 Sep 2025
Cited by 1 | Viewed by 933
Abstract
This research evaluates the stabilization of a clay collected from the northern expansion zone of Cartagena de Indias, Colombia. Laboratory analyses, including particle size distribution, Atterberg limits, compaction, specific gravity, and XRF/XRD, classified the soil as a highly plastic clay (CH) with moderate [...] Read more.
This research evaluates the stabilization of a clay collected from the northern expansion zone of Cartagena de Indias, Colombia. Laboratory analyses, including particle size distribution, Atterberg limits, compaction, specific gravity, and XRF/XRD, classified the soil as a highly plastic clay (CH) with moderate dispersivity, as confirmed by pinhole and crumb tests. The soil was treated with 3–9% lime, with and without the addition of NaCl (0% and 2%), and tested for unconfined compressive strength (qu), small-strain stiffness (Go), and microstructural properties under curing periods of 14 and 28 days at two compaction densities. Results showed that lime significantly improved mechanical behavior, while the inclusion of NaCl further enhanced qu (up to 185%) and Go (up to 3-fold), particularly at higher lime contents and curing times. Regression models demonstrated that both qu and Go follow power-type relationships with the porosity-to-lime index, with consistent exponents (−4.75 and −5.23, respectively) and high coefficients of determination (R2 > 0.79). Normalization of the data yielded master curves with R2 values above 0.90, confirming the robustness of the porosity-to-lime framework as a predictive tool. The Go/qu ratio obtained (3737.4) falls within the range reported for cemented geomaterials, reinforcing its relevance for comparative analysis. SEM observations revealed the transition from a porous, weakly aggregated structure to a dense matrix filled with C–S–H and C–A–H gels, corroborating the macro–micro correlation. Overall, the combined use of lime and NaCl effectively converts dispersive clays into non-dispersive, mechanically improved geomaterials, providing a practical and sustainable approach for stabilizing problematic coastal soils in tropical environments. Full article
Show Figures

Figure 1

13 pages, 1606 KB  
Article
The Correlation of Microscopic Particle Components and Prediction of the Compressive Strength of Fly-Ash-Based Bubble Lightweight Soil
by Yaqiang Shi, Hao Li, Hongzhao Li, Zhiming Yuan, Wenjun Zhang, Like Niu and Xu Zhang
Buildings 2025, 15(15), 2674; https://doi.org/10.3390/buildings15152674 - 29 Jul 2025
Viewed by 435
Abstract
Fly-ash-based bubble lightweight soil is widely used due to its environmental friendliness, load reduction, ease of construction, and low costs. In this study, 41 sets of 28 d compressive strength data on lightweight soils with different water–cement ratios, blowing agent dosages, and fly [...] Read more.
Fly-ash-based bubble lightweight soil is widely used due to its environmental friendliness, load reduction, ease of construction, and low costs. In this study, 41 sets of 28 d compressive strength data on lightweight soils with different water–cement ratios, blowing agent dosages, and fly ash dosages were collected through a literature search and indoor tests. Using the compressive strength index and SEM tests, the correlation between the mix ratio design and the microscopic particle components was investigated. The findings were as follows: carbonation reactions occurred in lightweight soil during the maintenance process, and the particles were spherical; increasing the dosage of blowing agent increased the soil’s porosity and pore diameter, leading to the formation of through-holes and reducing the compressive strength and mobility; increasing the fly ash dosage and water–cement ratio increased the soil’s mobility but reduced its compressive strength; and the strength decreased significantly when the fly ash dosage was more than 16% (e.g., the strength at a 20% dosage was 17.8% lower than that at a 15% dosage). Feature importance analysis showed that the water–cement ratio (57.7%), fly ash dosage (30.9%), and blowing agent dosage (11.1%) had a significant effect on strength. ExtraTrees, LightGBM, and Bayesian-optimized Random Forest models were used for 28d strength prediction with coefficients of determination (R2) of 0.695, 0.731, and 0.794, respectively. The Bayesian-optimized Random Forest model performed optimally in terms of the mean square error (MSE), root mean square error (RMSE), and mean absolute error (MAE), and the prediction performance was best. The accuracy of the model is expected to be further improved with expansions in the database. A 28 d compressive strength prediction platform for fly-ash-based bubble lightweight soil was ultimately developed, providing a convenient tool for researchers and engineers to predict material properties and mix ratios. Full article
(This article belongs to the Section Building Materials, and Repair & Renovation)
Show Figures

Figure 1

29 pages, 12425 KB  
Article
Investigation of the Evolutionary Patterns of Pore Structures and Mechanical Properties During the Hydration Process of Basalt-Fiber-Reinforced Concrete
by Junqin Zhao, Xuewei Wang, Fuheng Yan, Xin Cai, Shengcai Xiao, Shengai Cui and Ping Liu
Materials 2025, 18(14), 3212; https://doi.org/10.3390/ma18143212 - 8 Jul 2025
Viewed by 902
Abstract
Recent studies primarily focus on how the fiber content and curing age influence the pore structure and strength of concrete. However, The interfacial bonding mechanism in basalt-fiber-reinforced concrete hydration remains unclear. The lack of a long-term performance-prediction model and insufficient research on multi-field [...] Read more.
Recent studies primarily focus on how the fiber content and curing age influence the pore structure and strength of concrete. However, The interfacial bonding mechanism in basalt-fiber-reinforced concrete hydration remains unclear. The lack of a long-term performance-prediction model and insufficient research on multi-field coupling effects form key knowledge gaps, hindering the systematic optimal design and wider engineering applications of such materials. By integrating X-ray computed tomography (CT) with the watershed algorithm, this study proposes an innovative gray scale threshold method for pore quantification, enabling a quantitative analysis of pore structure evolution and its correlation with mechanical properties in basalt-fiber-reinforced concrete (BFRC) and normal concrete (NC). The results show the following: (1) Mechanical Enhancement: the incorporation of 0.2% basalt fiber by volume demonstrates significant enhancement in the mechanical performance index. At 28 days, BFRC exhibits compressive and splitting tensile strengths of 50.78 MPa and 4.07 MPa, surpassing NC by 19.88% and 43.3%, respectively. The early strength reduction in BFRC (13.13 MPa vs. 22.81 MPa for NC at 3 days) is attributed to fiber-induced interference through physical obstruction of cement particle hydration pathways, which diminishes as hydration progresses. (2) Porosity Reduction: BFRC demonstrates a 64.83% lower porosity (5.13%) than NC (11.66%) at 28 days, with microscopic analysis revealing a 77.5% proportion of harmless pores (<1.104 × 107 μm3) in BFRC versus 67.6% in NC, driven by densified interfacial transition zones (ITZs). (3) Predictive Modeling: a two dimensional strength-porosity model and a three-dimensional age-dependent model are developed. The proposed multi-factor model demonstrates exceptional predictive capability (R2 = 0.9994), establishing a quantitative relationship between pore micro structure and mechanical performance. The innovative pore extraction method and mathematical modeling approach offer valuable insights into the micro-structural evolution mechanism of fiber concrete. Full article
(This article belongs to the Section Construction and Building Materials)
Show Figures

Figure 1

25 pages, 4783 KB  
Article
Experimental Study on Carbonization and Strengthening Performance of Recycled Aggregate
by Mingqiang Lin, Xiang Li, Maozhi Wei and Qun Xie
Buildings 2025, 15(13), 2309; https://doi.org/10.3390/buildings15132309 - 1 Jul 2025
Cited by 1 | Viewed by 936
Abstract
In order to address a challenging issue in the recycling of construction debris, the impact of carbonization treatment on the characteristics of recycled aggregates (RCAs) was experimentally examined in this work. Both direct carbonization and carbonization following calcium hydroxide pretreatment were used in [...] Read more.
In order to address a challenging issue in the recycling of construction debris, the impact of carbonization treatment on the characteristics of recycled aggregates (RCAs) was experimentally examined in this work. Both direct carbonization and carbonization following calcium hydroxide pretreatment were used in the study to assess the impact of carbonization on the physical characteristics of recycled aggregates. According to the findings, carbonization raised the recycled aggregates’ apparent density while drastically lowering their porosity and water absorption (by as much as 20–30%). Although the recycled aggregate’s crushing index marginally increased with age, its overall physical qualities remained excellent. Pretreatment with calcium hydroxide can improve the physical characteristics of recycled aggregates, further optimize their pore structure, and efficiently encourage the carbonation process. Furthermore, recycled aggregate’s crushing index can be considerably decreased and its quality much enhanced by the ultrasonic cavitation treatment. According to the study, the carbonation-treated recycled aggregate’s microstructure was denser in the interfacial transition zone and had a stronger link with the cement paste, improving the recycled aggregate concrete’s overall performance. XRD, infrared spectral analysis, and SEM scanning were used to determine the increased calcium carbonate content in the recycled aggregate following carbonation treatment as well as its microstructure improvement process. The findings offer fresh concepts for achieving resource efficiency and environmental preservation through the use of recycled aggregates in concrete, as well as theoretical backing for their use. Full article
(This article belongs to the Section Building Materials, and Repair & Renovation)
Show Figures

Figure 1

40 pages, 8540 KB  
Article
Performance Prediction and Optimization of High-Plasticity Clay Lime–Cement Stabilization Based on Principal Component Analysis and Principal Component Regression
by Ibrahim Haruna Umar, Zaharaddeen Ali Tarauni, Abdullahi Balarabe Bello, Hang Lin, Jubril Izge Hassan and Rihong Cao
Appl. Sci. 2025, 15(13), 7150; https://doi.org/10.3390/app15137150 - 25 Jun 2025
Cited by 1 | Viewed by 1532
Abstract
High-plasticity clay soils pose significant challenges in geotechnical engineering due to their poor mechanical properties, such as low strength and high compressibility. Lime–cement stabilization offers a sustainable solution, but optimizing additive proportions requires advanced analytical approaches to decipher complex soil-stabilizer interactions. This study [...] Read more.
High-plasticity clay soils pose significant challenges in geotechnical engineering due to their poor mechanical properties, such as low strength and high compressibility. Lime–cement stabilization offers a sustainable solution, but optimizing additive proportions requires advanced analytical approaches to decipher complex soil-stabilizer interactions. This study investigates the stabilization of high-plasticity clay soil (CH) sourced from Kano, Nigeria, using lime (0–30%) and cement (0–8%) for thirty (30) sample combinations to optimize consolidation and strength properties. Geotechnical laboratory tests (consolidation and UCS) were evaluated per ASTM standards. Multivariate analysis integrated principal component analysis (PCA) with regression modeling (PCR) for sensitivity and causality assessment. Optimal stabilization (15% lime + 6% cement) significantly improved soil properties: void ratio reduced by 58% (0.60→0.25), porosity by 49.5% (0.38→0.19), UCS increased by 222.5% to 2670 kPa (28 days), preconsolidation stress by 206% (355.63→1088.92 kPa), and compressibility modulus by 16% (7048→10,474.28 kPa). PCR sensitivity analysis attributed 46% of UCS variance to PC1 (compressibility parameters: void ratio, porosity, compression index; β = 0.72). PCR Causality analysis shows improvment with curing (R2: 68.7% at 7 days→83.0% at 28 days; RMSE: 11.2→7.8 kPa). PCR establishes compressibility reduction as the dominant causal mechanism for strength gain, providing a robust framework for dosage optimization beyond empirical approaches. Full article
(This article belongs to the Section Civil Engineering)
Show Figures

Figure 1

22 pages, 4653 KB  
Article
Recycled Clay Brick Powder as a Dual-Function Additive: Mitigating the Alkali–Silica Reaction (ASR) and Enhancing Strength in Eco-Friendly Mortar with Hybrid Waste Glass and Clay Brick Aggregates
by Xue-Fei Chen, Xiu-Cheng Zhang and Ying Peng
Materials 2025, 18(12), 2838; https://doi.org/10.3390/ma18122838 - 16 Jun 2025
Cited by 3 | Viewed by 1026
Abstract
The construction industry’s escalating environmental footprint, coupled with the underutilization of construction waste streams, necessitates innovative approaches to sustainable material design. This study investigates the dual functionality of recycled clay brick powder (RCBP) as both a supplementary cementitious material (SCM) and an alkali–silica [...] Read more.
The construction industry’s escalating environmental footprint, coupled with the underutilization of construction waste streams, necessitates innovative approaches to sustainable material design. This study investigates the dual functionality of recycled clay brick powder (RCBP) as both a supplementary cementitious material (SCM) and an alkali–silica reaction (ASR) inhibitor in hybrid mortar systems incorporating recycled glass (RG) and recycled clay brick (RCB) aggregates. Leveraging the pozzolanic activity of RCBP’s residual aluminosilicate phases, the research quantifies its influence on mortar durability and mechanical performance under varying substitution scenarios. Experimental findings reveal a nonlinear relationship between RCBP dosage and mortar properties. A 30% cement replacement with RCBP yields a 28-day activity index of 96.95%, confirming significant pozzolanic contributions. Critically, RCBP substitution ≥20% effectively mitigates ASRs induced by RG aggregates, with optimal suppression observed at 25% replacement. This threshold aligns with microstructural analyses showing RCBP’s Al3+ ions preferentially reacting with alkali hydroxides to form non-expansive gels, reducing pore solution pH and silica dissolution rates. Mechanical characterization reveals trade-offs between workability and strength development. Increasing RCBP substitution decreases mortar consistency and fluidity, which is more pronounced in RG-RCBS blends due to glass aggregates’ smooth texture. Compressively, both SS-RCBS and RG-RCBS mortars exhibit strength reduction with higher RCBP content, yet all specimens show accelerated compressive strength gain relative to flexural strength over curing time. Notably, 28-day water absorption increases with RCBP substitution, correlating with microstructural porosity modifications. These findings position recycled construction wastes and glass as valuable resources in circular economy frameworks, offering municipalities a pathway to meet recycled content mandates without sacrificing structural integrity. The study underscores the importance of waste synergy in advancing sustainable mortar technology, with implications for net-zero building practices and industrial waste valorization. Full article
(This article belongs to the Section Construction and Building Materials)
Show Figures

Figure 1

24 pages, 3644 KB  
Article
Experimental Stabilization of Clay Soils in Cartagena de Indias Colombia: Influence of Porosity/Binder Index
by Jair de Jesús Arrieta Baldovino, Ramon Torres Ortega and Yamid E. Nuñez de la Rosa
Appl. Sci. 2025, 15(11), 5895; https://doi.org/10.3390/app15115895 - 23 May 2025
Cited by 1 | Viewed by 1297
Abstract
In response to the need for sustainable soil stabilization alternatives, this study explores the use of waste materials and biopolymers to improve the mechanical behavior of clay from Cartagena, Colombia. Crushed limestone waste (CLW), ground glass powder (GG), recycled gypsum (GY), xanthan gum [...] Read more.
In response to the need for sustainable soil stabilization alternatives, this study explores the use of waste materials and biopolymers to improve the mechanical behavior of clay from Cartagena, Colombia. Crushed limestone waste (CLW), ground glass powder (GG), recycled gypsum (GY), xanthan gum (XG), and the combination of XG with polypropylene fibers (XG–PPF) were used as stabilizing agents. Samples were compacted at different dry densities and cured for 28 days. Unconfined compressive strength (UCS) and ultrasonic pulse velocity (UPV) tests were conducted to assess the strength and stiffness of the treated mixtures. Results were normalized using the porosity/binder index (η/Biv), leading to predictive equations with high determination coefficients (R2 = 0.94 for UCS and R2 = 0.96 for stiffness). However, XG-treated mixtures exhibited distinct behavior that prevented their inclusion in a unified predictive model, as the fitted exponent x in the porosity/binder index (η/Bivx) differed markedly from the others. While an exponent of 0.28 was suitable for blends with mineral binders, the optimal x values for XG and XG–PPF mixtures were significantly lower at 0.02 and 0.03, respectively, reflecting their unique gel-like and fiber-reinforced characteristics. The analysis of variance (ANOVA) identified cement content and compaction density as the most influential factors, while some interactions involving the residues were not statistically significant, despite aligning with experimental trends. The findings support the technical viability of using sustainable additives to enhance soil properties with reduced environmental impact. Full article
Show Figures

Figure 1

24 pages, 4734 KB  
Article
Development and Optimization of Self-Healing Cement for CO2 Injection and Storage Wells: Enhancing Long-Term Wellbore Integrity in Extreme Subsurface Conditions
by Ahmed Alsubaih, Kamy Sepehrnoori and Mojdeh Delshad
Appl. Sci. 2025, 15(10), 5428; https://doi.org/10.3390/app15105428 - 13 May 2025
Cited by 5 | Viewed by 2782
Abstract
Ensuring long-term wellbore integrity is critical for CO2 injection and storage operations. Conventional cement degrades in CO2-rich environments, compromising zonal isolation and increasing leakage risks. This study presents a novel self-healing cement formulation incorporating Barite, Pozzolan, and Chalcedony, optimized using [...] Read more.
Ensuring long-term wellbore integrity is critical for CO2 injection and storage operations. Conventional cement degrades in CO2-rich environments, compromising zonal isolation and increasing leakage risks. This study presents a novel self-healing cement formulation incorporating Barite, Pozzolan, and Chalcedony, optimized using a Design of Experiment (DOE) approach. Geochemical simulations were conducted using PHREEQC and Python to evaluate porosity evolution, mineral stability, and self-sealing efficiency under CO2 exposure. The results demonstrate that the optimized formulations significantly reduce porosity (within 7–14 days) through the formation of calcium silicate hydrate (C-S-H) gels, enhancing crack sealing and mechanical resilience. Saturation index and phase volume analyses confirm the long-term stability of ECSH2 and Calcite, reinforcing the cement matrix. Compared to conventional cement, the self-healing formulations exhibit improved durability, lower permeability, and superior resistance to CO2-induced degradation. These findings support the use of self-healing cement in carbon capture and storage (CCS), geothermal energy, and deep-well applications, offering a cost-effective and durable solution for long-term wellbore integrity. However, further experimental validation and field-scale evaluation are needed to confirm the practical performance of these formulations under real-world reservoir conditions. Full article
Show Figures

Figure 1

17 pages, 4046 KB  
Article
Effects of Ettringite Formation on the Stability of Cement-Treated Sediments
by Inácio Soares Ribeiro, Diego de Freitas Fagundes and Helena Paula Nierwinski
Resources 2025, 14(5), 73; https://doi.org/10.3390/resources14050073 - 28 Apr 2025
Cited by 1 | Viewed by 3218
Abstract
This study explores the stabilization of dredged sediments classified as lean clay (CL) using hydrated lime, type III Portland cement, and compaction. While quicklime is commonly used in practice, this research explores alternative calcium-based binders with the aim of valorizing sediments for civil [...] Read more.
This study explores the stabilization of dredged sediments classified as lean clay (CL) using hydrated lime, type III Portland cement, and compaction. While quicklime is commonly used in practice, this research explores alternative calcium-based binders with the aim of valorizing sediments for civil engineering applications. The mechanical behavior of the treated materials was evaluated through an Unconfined Compressive Strength (UCS) test campaign, with the results interpreted using the porosity/volumetric cement content (η/Civ) index. This relationship assesses the influence of apparent dry density and cement content on the strength improvement of sediments, aiming to evaluate the suitability of the dredged sediments for engineering applications. A key feature of this study is the extended curing period of up to 90 days, which goes beyond the typical 28-day evaluations commonly found in the literature. Interestingly, strength degradation occurred at advanced curing ages compared to shorter curing times. To understand the mechanisms underlying this resistance degradation, the mixtures were subjected to X-ray fluorescence spectroscopy (XRF), X-ray diffraction (XRD), and thermogravimetric analysis (TGA). These tests identified the presence of the expansive sulfate-based compound ettringite, which is associated with swelling and failure in soils stabilized with calcium-based stabilizers. This research contributes to the field by demonstrating the limitations of calcium-based binders in stabilizing sulfate-bearing dredged materials and emphasizing the importance of long-term curing in assessing the durability of treated sediments. Full article
Show Figures

Figure 1

28 pages, 12079 KB  
Article
Ultrasound Reconstruction Tomography Using Neural Networks Trained with Simulated Data: A Case of Theoretical Gradient Damage in Concrete
by Carles Gallardo-Llopis, Jorge Gosálbez, Sergio Morell-Monzó, Santiago Vázquez, Alba Font and Jordi Payá
Appl. Sci. 2025, 15(8), 4273; https://doi.org/10.3390/app15084273 - 12 Apr 2025
Cited by 1 | Viewed by 1149
Abstract
Gradient damage processes in cementitious materials are generally produced by chemical and/or physical processes that travel from outside to inside. Depending on the type of damage, it can cause different effects such as decreased porosity, cracking, or steel corrosion in the case of [...] Read more.
Gradient damage processes in cementitious materials are generally produced by chemical and/or physical processes that travel from outside to inside. Depending on the type of damage, it can cause different effects such as decreased porosity, cracking, or steel corrosion in the case of carbonation, or increased porosity, micro-cracks, expansion, and spalling (also present in thermal damage) in the case of external attack by sulphates or acid attack. Therefore, estimating the boundaries of this damage is an essential task for concrete quality assessment. The first objective of this work was to use neural networks (NNs) for ultrasound tomographic reconstruction of concrete samples in order to estimate the advance front in gradient damage. Unlike the usual X-ray tomography, ultrasound tomography is affected by diffraction, among other factors. NNs can learn to compensate for these effects; however, they require a large amount of training data to achieve accurate results. In the case of cement-based materials, obtaining and measuring a real training database could be complicated, expensive, and time-consuming. For this purpose, a training process using simulated measurements was carried out. The second objective of this work was to demonstrate the feasibility of training neural networks through simulations, which reduces costs. Finally, the trained neural network for tomographic reconstruction was evaluated using real cylindrical concrete specimens. Each specimen consisted of an outer cylinder, representing externally exposed cement, and an inner cylinder, simulating the unaffected core. The Structural Similarity Index (SSIM) was used as a metric to assess the reconstruction accuracy, achieving values of 0.95 for simulated signals and up to 0.82 for real signals. Full article
(This article belongs to the Special Issue Application of Ultrasonic Non-destructive Testing)
Show Figures

Figure 1

Back to TopTop