Experimental Stabilization of Clay Soils in Cartagena de Indias Colombia: Influence of Porosity/Binder Index
Abstract
1. Introduction
2. Materials and Methods
2.1. Materials
2.1.1. Soil Sample: Clay
| Property of Soil | Standard/Reference | Unit | Value |
|---|---|---|---|
| Activity of Clay, A [A = PI/(% < 0.002 mm)] | Skempton [29] | - | 1.60 |
| The specific gravity | ASTM D854 [30] | - | 2.8 |
| Plasticity limit (P.L.) | ASTM 4318 [31] | % | 26.05 |
| Plastic index (P.I.) | ASTM 4318 [31] | % | 15.95 |
| Fine Sand (0.075–0.425 mm) | ASTM D2487 [28] | % | 12 |
| Silt (0.002–0.075 mm) | ASTM D2487 [28] | % | 78 |
| Clay (<0.002 mm) | ASTM D2487 [28] | % | 10 |
| Mean Diameter (d50) | ASTM D2487 [28] | mm | 0.011 |
| Effective Diameter (d10) | ASTM D2487 [28] | mm | 0.0021 |
| Uniformity Coefficient (Cu) | ASTM D2487 [28] | - | 7.14 |
| Coefficient of Curvature (Cc) | ASTM D2487 [28] | - | 0.96 |
| USCS Classification | ASTM D2487 [28] | - | CL |
| Optimum Moisture Content | ASTM D1557 [32] | % | 18.20 |
| Maximum Dry Unit Weight | ASTM D1557 [32] | g/cm3 | 1.76 |
| Materials | SiO2 | Al2O3 | SO3 | K2O | CaO | Fe2O3 | TiO2 | LOI |
|---|---|---|---|---|---|---|---|---|
| Soil (CL) | 66 | 21.1 | 4 | 3.1 | 3 | 0.9 | 0.3 | 1.6 |
2.1.2. Properties of Recycled Materials (CLW, GG, and GY) and XG
2.2. Specimen Molding and Preparation
2.3. Stiffness (Non-Destructive) and UCS Program
2.4. Statistical Analysis
3. Results
3.1. Assessment of the Mechanical Behavior (Strength and Stiffness) of Novel Geomaterials
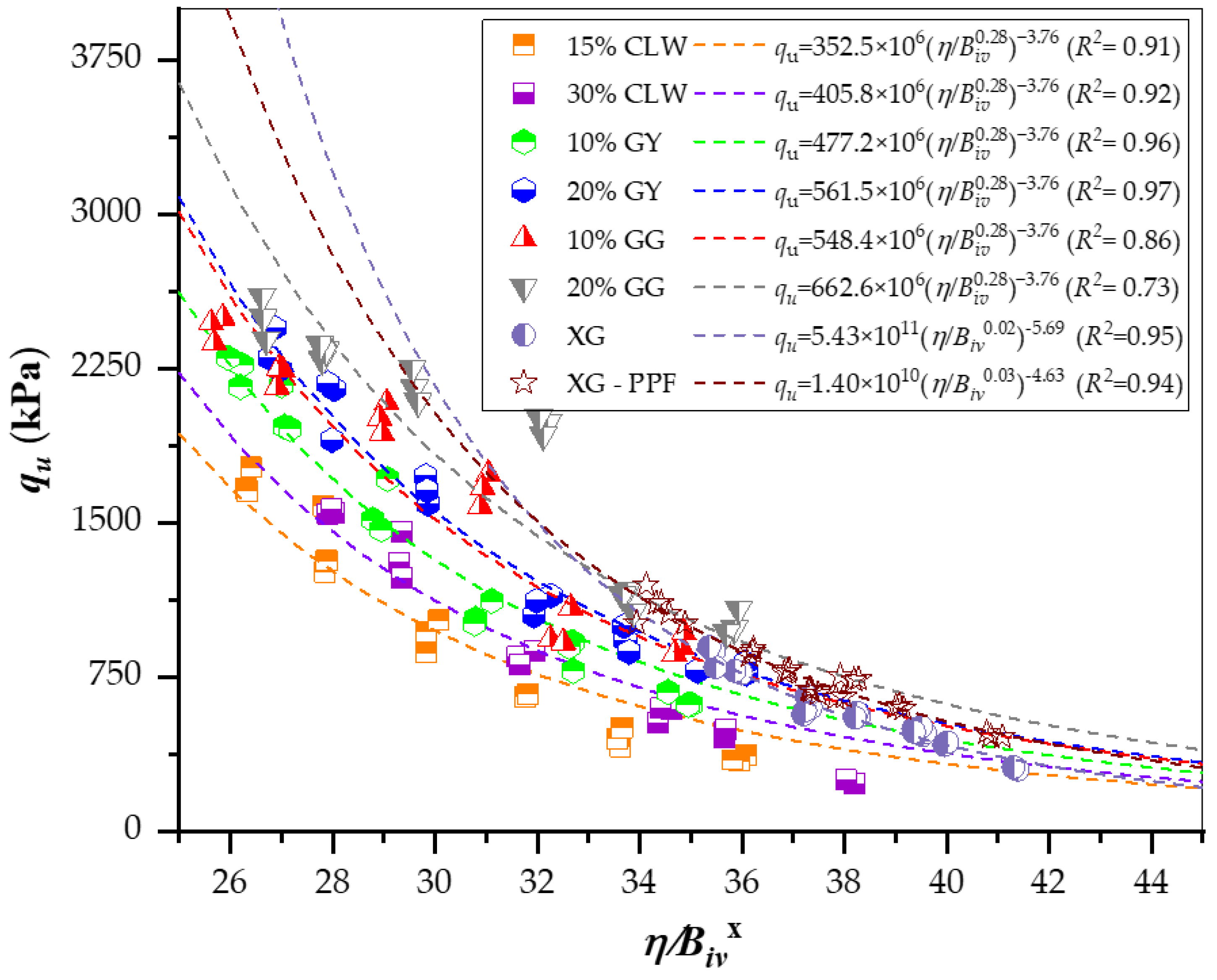
3.2. Application of the Porosity/Binder Index in Predicting the Compressive Strength and Stiffness of Novel Geomaterials
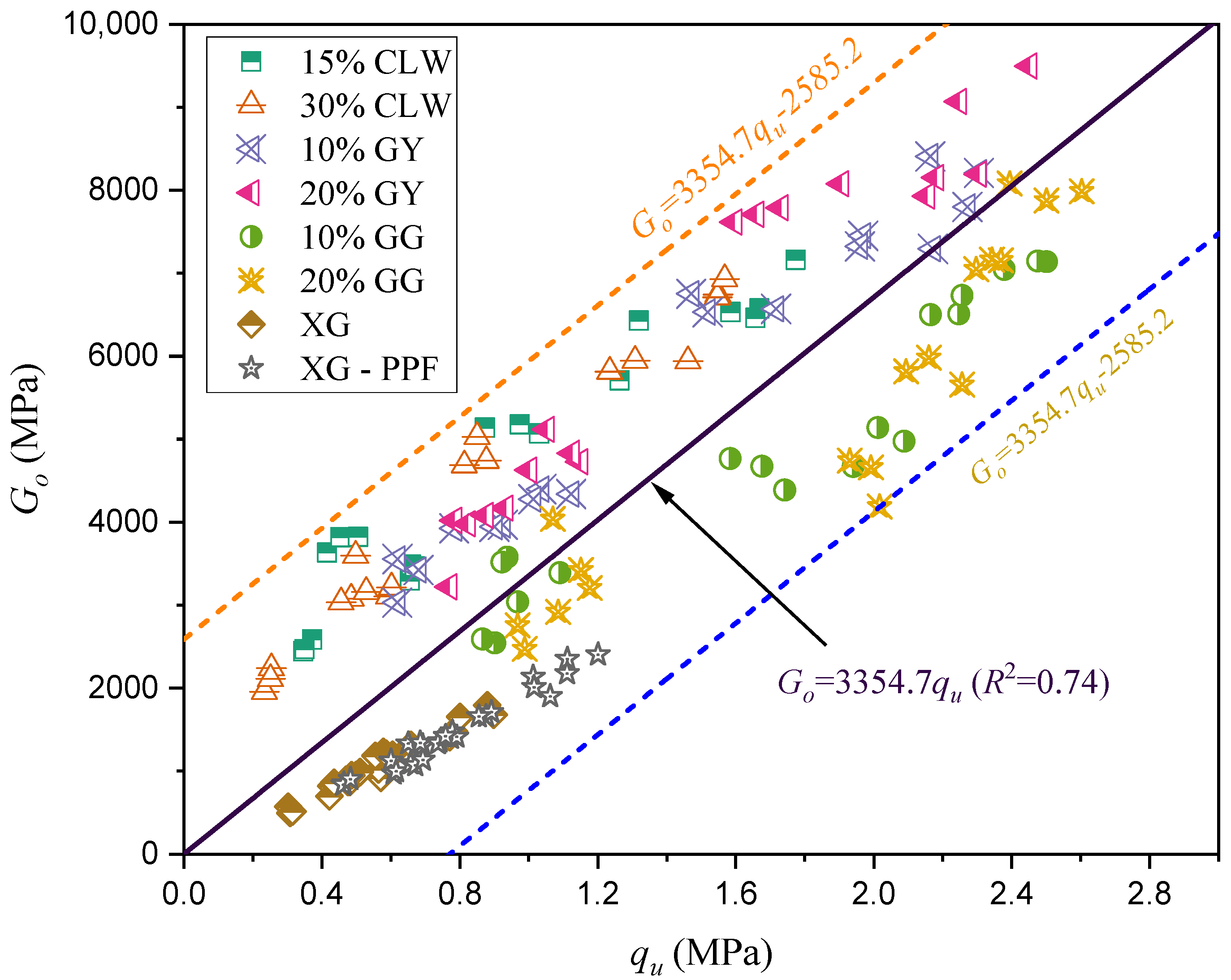
3.3. Normalization of the Strength and Stiffness of the Materials
3.4. Statistical Analysis of the Influence of Cement Mixed with Residues (CLW, GY, and GG), Xanthan Gum (XG) Addition, and XG–PPF Improvement on the Strength and Stiffness of Compacted Blends
4. Conclusions
Author Contributions
Funding
Institutional Review Board Statement
Informed Consent Statement
Data Availability Statement
Acknowledgments
Conflicts of Interest
Abbreviations
| XG | Xanthan Gum |
| PPF | Polypropylene Fibers |
| PC | Portland Cement |
| CLW | Crushed Limestone Waste |
| GG | Ground Glass Powder |
| GY | Recycled Gypsum |
| Gs | Specific Gravity |
| Cu | Uniformity Coefficient |
| Cc | Coefficient of Curvature |
| η/Biv | Porosity/Binder Index |
| UCS | Unconfined Compressive Strength |
| UPV | Ultrasonic Pulse Velocity |
| SEM | Scanning Electron Microscopy |
| EDX | Energy Dispersive X-ray Spectroscopy |
| Go | Small-Strain Shear Modulus |
| LOI | Loss on Ignition |
| R2 | Coefficient of Determination |
| ANOVA | Analysis of Variance |
| BM | Ball Mill |
| USCS | Unified Soil Classification System |
Appendix A
Statistical ANOVA Analysis
| Source | Sum of Squares | Degrees of Freedom | Mean Squares | Z | p-Value | Significance (p-Value < 0.05) |
|---|---|---|---|---|---|---|
| Corrected Model | 8260101.000 * | 9 | 917789.000 | 198.823 | <0.001 | yes |
| Cement | 6266677.778 | 1 | 6266677.778 | 1357.566 | <0.001 | yes |
| CLW | 59049.000 | 1 | 59049.000 | 12.792 | 0.001 | yes |
| γd | 1647094.222 | 2 | 823547.111 | 178.407 | <0.001 | yes |
| CLW * Cement | 4715.111 | 1 | 4715.111 | 1.021 | 0.321 | no |
| Cement * γd | 263902.889 | 2 | 131951.444 | 28.585 | <0.001 | yes |
| CLW * γd | 18662.000 | 2 | 9331.000 | 2.021 | 0.153 | no |
| Error | 120018.889 | 26 | 4616.111 | |||
| Total | 36262040.000 | 36 |
| Source | Sum of Squares | Degrees of Freedom | Mean Squares | Z | p-Value | Significance (p-Value < 0.05) |
|---|---|---|---|---|---|---|
| Corrected Model | 12341565.028 * | 9 | 1371285.003 | 228.894 | <0.001 | yes |
| Cement | 9013004.694 | 1 | 9013004.694 | 1504.446 | <0.001 | yes |
| GG | 194040.250 | 1 | 194040.250 | 32.389 | <0.001 | yes |
| γd | 2554313.167 | 2 | 1277156.583 | 213.182 | <0.001 | yes |
| GG * Cement | 15088.028 | 1 | 15088.028 | 2.518 | 0.125 | no |
| Cement * γd | 560159.389 | 2 | 280079.694 | 46.751 | <0.001 | yes |
| GG * γd | 4959.500 | 2 | 2479.750 | 0.414 | 0.665 | no |
| Error | 155763.722 | 26 | 5990.912 | |||
| Total | 126762739.000 | 36 |
| Source | Sum of Squares | Degrees of Freedom | Mean Squares | Z | p-Value | Significance (p-Value < 0.05) |
|---|---|---|---|---|---|---|
| Corrected Model | 12341565.028 * | 9 | 1371285.003 | 228.894 | <0.001 | yes |
| Cement | 9013004.694 | 1 | 9013004.694 | 1504.446 | <0.001 | yes |
| GG | 194040.250 | 1 | 194040.250 | 32.389 | <0.001 | yes |
| γd | 2554313.167 | 2 | 1277156.583 | 213.182 | <0.001 | yes |
| GG * Cement | 15088.028 | 1 | 15088.028 | 2.518 | 0.125 | no |
| Cement * γd | 560159.389 | 2 | 280079.694 | 46.751 | <0.001 | yes |
| GG * γd | 4959.500 | 2 | 2479.750 | 0.414 | 0.665 | no |
| Error | 155763.722 | 26 | 5990.912 | |||
| Total | 126762739.000 | 36 |
| Source | Sum of Squares | Degrees of Freedom | Mean Squares | Z | p-Value | Significance (p-Value < 0.05) |
|---|---|---|---|---|---|---|
| Corrected Model | 194003429.667 * | 11 | 17636675.42 | 3677.45705 | <0.001 | yes |
| XG | 195570.8889 | 2 | 97785.44444 | 20.3894308 | <0.001 | yes |
| γd | 6355590.222 | 4 | 1588897.556 | 331.30408 | <0.001 | yes |
| XG * γd | 16812.22222 | 4 | 4203.055556 | 0.87638718 | 0.493 | no |
| Error | 115101.3333 | 24 | 4795.888889 | |||
| Total | 322057252.000 | 36 |
| Source | Sum of Squares | Degrees of Freedom | Mean Squares | Z | p-Value | Significance (p-Value < 0.05) |
|---|---|---|---|---|---|---|
| Corrected Model | 62048663434.602 * | 17 | 3649921378.506 | 15.739 | <0.001 | yes |
| PPF | 15047101801 | 1 | 15047101801.120 | 64.887 | <0.001 | yes |
| XG | 8772548306 | 2 | 4386274153.009 | 18.915 | <0.001 | yes |
| γd | 35523437203.463 | 2 | 17761718601.732 | 76.593 | <0.001 | yes |
| PPF * XG | 825268482.352 | 2 | 412634241.176 | 1.779 | 0.175 | no |
| PPF * γd | 504936189.241 | 2 | 252468094.620 | 1.089 | 0.341 | no |
| XG * γd | 988520774.537 | 4 | 247130193.634 | 1.066 | 0.378 | no |
| PPF * XG * γd | 386850677.870 | 4 | 96712669.468 | 0.417 | 0.796 | no |
| Error | 20870669113.500 | 90 | 231896323.483 | |||
| Total | 765501403557.000 | 108 |
| Source | Sum of Squares | Degrees of Freedom | Mean Squares | Z | p-Value | Significance (p-Value < 0.05) |
|---|---|---|---|---|---|---|
| Corrected Model | 91530339.000 * | 9 | 10170037.667 | 237.598 | <0.001 | yes |
| Cement | 75846681.000 | 1 | 75846681.000 | 1771.971 | <0.001 | yes |
| CLW | 761547.111 | 1 | 761547.111 | 17.792 | <0.001 | yes |
| γd | 13167074.889 | 2 | 6583537.444 | 153.808 | <0.001 | yes |
| CLW * Cement | 90801.778 | 1 | 90801.778 | 2.121 | 0.157 | no |
| Cement * γd | 1487786.000 | 2 | 743893.000 | 17.379 | <0.001 | yes |
| CLW * γd | 176448.222 | 2 | 88224.111 | 2.061 | 0.148 | no |
| Error | 1112892.889 | 26 | 42803.573 | |||
| Total | 815518152.000 | 36 |
| Source | Sum of Squares | Degrees of Freedom | Mean Squares | Z | p-Value | Significance (p-Value < 0.05) |
|---|---|---|---|---|---|---|
| Corrected Model | 137025039.194 * | 9 | 15225004.355 | 192.521 | <0.001 | yes |
| Cement | 123643280.250 | 1 | 123643280.250 | 1563.476 | <0.001 | yes |
| GY | 3742290.250 | 1 | 3742290.250 | 47.321 | <0.001 | yes |
| γd | 8969138.667 | 2 | 4484569.333 | 56.708 | <0.001 | yes |
| GY * Cement | 397950.694 | 1 | 397950.694 | 5.032 | 0.034 | yes |
| Cement * γd | 194216.667 | 2 | 97108.333 | 1.228 | 0.309 | no |
| GY * γd | 78162.667 | 2 | 39081.333 | 0.494 | 0.616 | no |
| Error | 2056139.556 | 26 | 79082.291 | |||
| Total | 1410895085.000 | 36 |
| Source | Sum of Squares | Degrees of Freedom | Mean Squares | Z | p-Value | Significance (p-Value < 0.05) |
|---|---|---|---|---|---|---|
| Corrected Model | 107912179.250 * | 9 | 11990242.139 | 252.140 | <0.001 | yes |
| Cement | 80153224.694 | 1 | 80153224.694 | 1685.523 | <0.001 | yes |
| GG | 1296941.361 | 1 | 1296941.361 | 27.273 | <0.001 | yes |
| γd | 24403275.389 | 2 | 12201637.694 | 256.585 | <0.001 | yes |
| GG * Cement | 1352181.361 | 1 | 1352181.361 | 28.435 | <0.001 | yes |
| Cement * γd | 676057.056 | 2 | 338028.528 | 7.108 | 0.003 | yes |
| GG * γd | 30499.389 | 2 | 15249.694 | 0.321 | 0.728 | no |
| Error | 1236401.722 | 26 | 47553.912 | |||
| Total | 1044580611.000 | 36 |
| Source | Sum of Squares | Degrees of Freedom | Mean Squares | Z | p-Value | Significance (p-Value < 0.05) |
|---|---|---|---|---|---|---|
| Corrected Model | 161574489.889 * | 11 | 14688589.99 | 1581.685 | <0.001 | yes |
| XG | 1107749.407 | 2 | 553874.7037 | 59.641 | <0.001 | yes |
| γd | 7675187.852 | 4 | 1918796.963 | 206.618 | <0.001 | yes |
| XG * γd | 85903.7037 | 4 | 21475.92593 | 2.31255 | 0.087 | no |
| Error | 222880 | 24 | 9286.666667 | |||
| Total | 347310850.000 | 36 |
| Source | Sum of Squares | Degrees of Freedom | Mean Squares | Z | p-Value | Significance (p-Value < 0.05) |
|---|---|---|---|---|---|---|
| Corrected Model | 243202513905.083 * | 17 | 14306030229.711 | 14.389 | <0.001 | yes |
| PPF | 54202221480 | 1 | 54202221480.009 | 54.516 | <0.001 | yes |
| XG | 38570349880 | 2 | 19285174940.111 | 19.397 | <0.001 | yes |
| γd | 135718650040.056 | 2 | 67859325020.028 | 68.252 | <0.001 | yes |
| PPF * XG | 4910631158.741 | 2 | 2455315579.370 | 2.470 | 0.090 | no |
| PPF * γd | 3306215997.796 | 2 | 1653107998.898 | 1.663 | 0.195 | no |
| XG * γd | 4222841336.556 | 4 | 1055710334.139 | 1.062 | 0.380 | no |
| PPF * XG * γd | 2271604011.704 | 4 | 567901002.926 | 0.571 | 0.684 | no |
| Error | 89482790697.833 | 90 | 994253229.976 | |||
| Total | 2806399655105.000 | 108 |
References
- Modarres, A.; Nosoudy, Y. Clay stabilization using coal waste and lime—Technical and environmental impacts. Appl. Clay Sci. 2015, 116, 281–288. [Google Scholar] [CrossRef]
- Bazarbekova, A.; Shon, C.S.; Kissambinova, A.; Zhang, D.; Kim, J. Evaluating the Efficacy of Limestone Powder as a Partial Replacement of Ordinary Portland Cement for the Sustainable Stabilization of Sulfate-Bearing Saline Soil. Sustainability 2024, 16, 9224. [Google Scholar] [CrossRef]
- Wang, D.; Wang, Z.; Wang, H. Feasibility and performance assessment of novel framework for soil stabilization using multiple industrial wastes. Constr. Build. Mater. 2024, 449, 138228. [Google Scholar] [CrossRef]
- Perri, G.; De Rose, M.; Domitrović, J.; Vaiana, R. CO2 impact analysis for road embankment construction: Comparison of lignin and lime soil stabilization treatments. Sustainability 2023, 15, 1912. [Google Scholar] [CrossRef]
- Vukićević, M.; Marjanović, M.; Pujević, V.; Jocković, S. The alternatives to traditional materials for subsoil stabilization and embankments. Materials 2019, 12, 3018. [Google Scholar] [CrossRef]
- Baldovino, J.D.J.A.; Nuñez de la Rosa, Y.E.; Calabokis, O.P. Effect of porosity/binder index on strength, stiffness and microstructure of cemented clay: The impact of sustainable development geomaterials. Materials 2024, 17, 921. [Google Scholar] [CrossRef] [PubMed]
- Pastor, J.L.; Gutierrez, E.; Cano, M.; Tomás, R.; Riquelme, A.; Hino, T. Embankment construction with limestone powder waste: From laboratory to full-scale implementation. Transp. Geotech. 2025, 50, 101476. [Google Scholar] [CrossRef]
- Cabalar, A.F.; Omar, R.A. Stabilizing a silt using waste limestone powder. Bull. Eng. Geol. Environ. 2023, 82, 300. [Google Scholar] [CrossRef]
- Al-Khafaji, R.; Dulaimi, A.; Jafer, H.; Mashaan, N.S.; Qaidi, S.; Obaid, Z.S.; Jwaida, Z. Stabilization of Soft Soil by a Sustainable Binder Comprises Ground Granulated Blast Slag (GGBS) and Cement Kiln Dust (CKD). Recycling 2023, 8, 10. [Google Scholar] [CrossRef]
- Rouaiguia, A.; El Aal, A.K.A. Enhancement of the Geotechnical Properties of Soils Using Marble and Lime Powders, Guelma City, Algeria. Geotech. Geol. Eng. 2023, 38, 5649–5665. [Google Scholar] [CrossRef]
- Núñez, V.; Lotero, A.; Bastos, C.A.; Sargent, P.; Consoli, N.C. Mechanical and microstructure analysis of mass-stabilized organic clay thermally cured using a ternary binder. Acta Geotech. 2024, 19, 741–762. [Google Scholar] [CrossRef]
- Román Martínez, C.; Nuñez de la Rosa, Y.E.; Estrada Luna, D.; Baldovino, J.A.; Jordi Bruschi, G. Strength, Stiffness, and Microstructure of Stabilized Marine Clay-Crushed Limestone Waste Blends: Insight on Characterization through Porosity-to-Cement Index. Materials 2023, 16, 4983. [Google Scholar] [CrossRef] [PubMed]
- Javed, S.A.; Chakraborty, S. Effects of waste glass powder on subgrade soil improvement. World Sci. News 2020, 144, 30–42. [Google Scholar]
- Jalal, F.E.; Zahid, A.; Iqbal, M.; Naseem, A.; Nabil, M. Sustainable use of soda lime glass powder (SLGP) in expansive soil stabilization. Case Stud. Constr. Mater. 2020, 17, e01559. [Google Scholar] [CrossRef]
- Lai, Z.; Chen, Y. Enhancing the mechanical and environmental performance of solidified soil using construction waste and glass micro-powder. Heliyon 2024, 10, e40187. [Google Scholar] [CrossRef] [PubMed]
- Akoğuz, H. Performance evaluation of waste glass in soil improvement: Influence of particle size of waste glass on mechanical, microstructural, and durability characteristics. Case Stud. Constr. Mater. 2025, 22, e04241. [Google Scholar] [CrossRef]
- Niyomukiza, J.B.; Eisazadeh, A.; Akamumpa, J.; Kiwanuka, M.; Lukwago, A.; Tiboti, P. Use of waste glass powder in improving the properties of expansive clay soils. Glob. NEST Int. J. Glob. NEST J 2023, 25, 139–145. [Google Scholar] [CrossRef]
- Ordoñez Muñoz, Y.; Villota-Mora, A.J.E.; Perretto, F.; dos Santos Izzo, R.L. Eco-friendly stabilization of clayey soil with waste glass powder-based geopolymer. Geomech. Geoengin. 2024, 1–30. [Google Scholar] [CrossRef]
- Abdolvand, Y.; Sadeghiamirshahidi, M. Soil stabilization with gypsum: A review. J. Rock Mech. Geotech. Eng. 2024, 16, 5278–5296. [Google Scholar] [CrossRef]
- Wu, J.; Liu, L.; Deng, Y.; Zhang, G.; Zhou, A.; Xiao, H. Use of recycled gypsum in the cement-based stabilization of very soft clays and its micro-mechanism. J. Rock Mech. Geotech. Eng. 2022, 14, 909–921. [Google Scholar] [CrossRef]
- Pu, S.; Zhu, Z.; Huo, W. Evaluation of engineering properties and environmental effect of recycled gypsum stabilized soil in geotechnical engineering: A comprehensive review. Resour. Conserv. Recycl. 2021, 174, 105780. [Google Scholar] [CrossRef]
- Ahmed, A.; Ugai, K. Environmental effects on durability of soil stabilized with recycled gypsum. Cold Reg. Sci. Technol. 2011, 66, 84–92. [Google Scholar] [CrossRef]
- Chang, I.; Im, J.; Prasidhi, A.K.; Cho, G.C. Effects of Xanthan gum biopolymer on soil strengthening. Constr. Build. Mater. 2015, 74, 65–72. [Google Scholar] [CrossRef]
- Abbasi, F.; Choobbasti, A.J.; Roushan, K. Advanced stabilization of clayey sand using xanthan gum: Insights from multiscale evaluation and ultrasonic pulse velocity analysis. Results Eng. 2025, 25, 104419. [Google Scholar] [CrossRef]
- Baldovino, J.d.J.A.; de la Rosa, Y.E.N.; Calabokis, O.P.; Vergara, J.A.A.; López, L.C.S. Geotechnical Behavior of Xanthan Gum-Stabilized Clay Reinforced with Polypropylene Fibers. Polymers 2025, 17, 363. [Google Scholar] [CrossRef] [PubMed]
- Baldovino, J.d.J.A.; Palma Calabokis, O.; Saba, M. From Bibliometric Analysis to Experimental Validation: Bibliometric and Literature Review of Four Cementing Agents in Soil Stabilization with Experimental Focus on Xanthan Gum. Sustainability 2024, 16, 5363. [Google Scholar] [CrossRef]
- Acuña, C.; Betancur, J.; Baldovino, J.A.; Barboza, G.; Saba, M. Analysis of Dispersivity in Marine Clays of Cartagena de Indias, Colombia. Geosciences 2023, 13, 162. [Google Scholar] [CrossRef]
- ASTM D2487-11; Standard Practice for Classification of Soils for Engineering Purposes (Unified Soil Classification System). ASTM Stand. Guide; ASTM International: West Conshohocken, PA, USA, 2017; p. 11.
- Skempton, A.W. The Colloidal “Activity” of Clays. In Proceedings of the 3rd International Conference on Soil Mechanics 1, Zurich, Switzerland, 16–27 August 1953; pp. 57–61. [Google Scholar]
- ASTM D854; Standard Test Methods for Specific Gravity of Soil Solids by Water Pycnometer. ASTM International: West Conshohocken, PA, USA, 2014.
- ASTM 4318; Standard Test Methods for Liquid Limit, Plastic Limit and Plasticity Index of Soils. ASTM International: West Conshohocken, PA, USA, 2010.
- ASTM D1557-12; Standard Test Methods for Laboratory Compaction Characteristics of Soil Using Modified Effort (56,000 ft-lbf/ft3 or 2,700 kN-m/m3). ASTM International: West Conshohocken, PA, USA, 2012.
- Sulaiman, H.; Taha, M.R.; Abd Rahman, N.; Mohd Taib, A. Performance of Soil Stabilized with Biopolymer Materials—Xanthan Gum and Guar Gum. Phys. Chem. Earth Parts A/B/C 2022, 128, 103276. [Google Scholar] [CrossRef]
- Ni, J.; Li, S.S.; Ma, L.; Geng, X.Y. Performance of soils enhanced with eco-friendly biopolymers in unconfined compression strength tests and fatigue loading tests. Constr. Build. Mater. 2020, 263, 120039. [Google Scholar] [CrossRef]
- Baldovino, J.A.; Moreira, E.B.; Teixeira, W.; Izzo, R.L.; Rose, J.L. Effects of lime addition on geotechnical properties of sedimentary soil in Curitiba, Brazil. J. Rock Mech. Geotech. Eng. 2018, 10, 188–194. [Google Scholar] [CrossRef]
- López, L.C.S.; Vergara, J.A.A.; de la Rosa, Y.E.N.; Arrieta, A.; Baldovino, J.d.J.A. Effect of Grain Size and Porosity/Binder Index on the Unconfined Compressive Strength, Stiffness and Microstructure of Cemented Colombian Sands. Materials 2024, 17, 5193. [Google Scholar] [CrossRef] [PubMed]
- ASTM C597-22; Standard Test Method for Ultrasonic Pulse Velocity Through Concrete. ASTM International: West Conshohocken, PA, USA, 2022; pp. 1–4.
- ASTM D 2166-03; Standard Test Method for Unconfined Compressive Strength of Cohesive Soil 1. ASTM International: West Conshohocken, PA, USA, 2003; p. 4.
- Consoli, N.C.; Foppa, D.; Festugato, L.; Heineck, K.S. Key Parameters for Strength Control of Artificially Cemented Soils. J. Geotech. Geoenviron. Eng. 2007, 133, 197–205. [Google Scholar] [CrossRef]
- Scheuermann Filho, H.C.; Dias Miguel, G.; Cesar Consoli, N. Porosity/Cement Index over a Wide Range of Porosities and Cement Contents. J. Mater. Civ. Eng. 2022, 34, 06021011. [Google Scholar] [CrossRef]
- Consoli, N.C.; da Silva Lopes, L., Jr.; Heineck, K.S. Key parameters for the strength control of lime stabilized soils. J. Mater. Civ. Eng. 2009, 21, 210–216. [Google Scholar] [CrossRef]
- Hanafi, M.; Javed, I.; Ekinci, A. Evaluating the strength, durability and porosity characteristics of alluvial clay stabilized with marble dust as a sustainable binder. Results Eng. 2025, 25, 103978. [Google Scholar] [CrossRef]
- Diambra, A.; Ibraim, E.; Peccin, A.; Consoli, N.C.; Festugato, L. Theoretical Derivation of Artificially Cemented Granular Soil Strength. J. Geotech. Geoenviron. Eng. 2017, 143, 04017003. [Google Scholar] [CrossRef]
- Diambra, A.; Festugato, L.; Ibraim, E.; da Silva, A.P.; Consoli, N.C. Modelling tensile/compressive strength ratio of artificially cemented clean sand. Soils Found. 2018, 58, 199–211. [Google Scholar] [CrossRef]
- Festugato, L.; da Silva, A.P.; Diambra, A.; Consoli, N.C.; Ibraim, E. Modelling tensile/compressive strength ratio of fibre reinforced cemented soils. Geotext. Geomembr. 2018, 46, 155–165. [Google Scholar] [CrossRef]
- Consoli, N.C.; Marques, S.F.V.; Floss, M.F.; Festugato, L. Broad-Spectrum Empirical Correlation Determining Tensile and Compressive Strength of Cement-Bonded Clean Granular Soils. J. Mater. Civ. Eng. 2017, 29, 06017004. [Google Scholar] [CrossRef]














| Compound | Chemical Contents by Weight (%) | |||
|---|---|---|---|---|
| Cement | CLW | GG | GY | |
| CaO | 62.7 | 72.4 | 7.1 | 50.5 |
| MgO | 3.8 | 2.1 | 2.2 | - |
| SiO2 | 21.1 | 9.0 | 78.2 | 0.4 |
| Al2O3 | 5.2 | 1.3 | 2.2 | - |
| Fe2O3 | 2.6 | 0.9 | 0.19 | 0.3 |
| SO3 | 3.5 | - | - | 37.6 |
| Na2O | 0.1 | - | 9.3 | 1.3 |
| MnO | 0.2 | 14.3 | - | - |
| P2O5 | - | 72.4 | - | 1.9 |
| LOI | 0.8 | 2.1 | 0.7 | 8.0 |
| Mix | Weight (%) | Molding | Number of Samples | ||||||
|---|---|---|---|---|---|---|---|---|---|
| Soil | Cement | CLW | GG | GY | XG | PPF | γd (kN/m3) | ||
| Soil–PC–CLW | 100 | 3, 6 | 15 | - | - | - | - | 17, 17.6, 18 | 18 |
| 100 | 3, 6 | 30 | - | - | - | - | 17, 17.6, 18 | 18 | |
| Soil–PC–GG | 100 | 3, 6 | - | 10 | - | - | - | 17, 17.6, 18 | 18 |
| 100 | 3, 6 | - | 20 | - | - | - | 17, 17.6, 18 | 18 | |
| Soil–PC–GY | 100 | 3, 6 | - | - | 10 | - | - | 17, 17.6, 18 | 18 |
| 100 | 3, 6 | - | - | 20 | - | - | 17, 17.6, 18 | 18 | |
| Soil–XG | 100 | - | - | - | - | 1, 3, 5 | - | 16.5, 17, 17.6 | 27 |
| Soil–XG-PPF | 100 | - | - | - | - | 1, 3, 5 | 0.5 | 16.5, 17, 17.6 | 27 |
| Mix | For Normalization | |||
|---|---|---|---|---|
| Soil–cement–15%CLW | 975.04 | 4692.11 | ||
| Soil–cement–30%CLW | 1122.56 | 5426.83 | ||
| Soil–cement–10%GG | 1320.01 | 5300.33 | ||
| Soil–cement–20%GG | 1553.16 | 6515.44 | ||
| Soil–cement–10%GY | 1516.83 | 4523.20 | ||
| Soil–cement–20%GY | 1832.77 | 5471.41 | ||
| Soil–XG | 2165.62 | 4118.58 | ||
| Soil–XG-PPF | 2034.72 | 4345.75 | ||
Disclaimer/Publisher’s Note: The statements, opinions and data contained in all publications are solely those of the individual author(s) and contributor(s) and not of MDPI and/or the editor(s). MDPI and/or the editor(s) disclaim responsibility for any injury to people or property resulting from any ideas, methods, instructions or products referred to in the content. |
© 2025 by the authors. Licensee MDPI, Basel, Switzerland. This article is an open access article distributed under the terms and conditions of the Creative Commons Attribution (CC BY) license (https://creativecommons.org/licenses/by/4.0/).
Share and Cite
Baldovino, J.d.J.A.; Ortega, R.T.; Nuñez de la Rosa, Y.E. Experimental Stabilization of Clay Soils in Cartagena de Indias Colombia: Influence of Porosity/Binder Index. Appl. Sci. 2025, 15, 5895. https://doi.org/10.3390/app15115895
Baldovino JdJA, Ortega RT, Nuñez de la Rosa YE. Experimental Stabilization of Clay Soils in Cartagena de Indias Colombia: Influence of Porosity/Binder Index. Applied Sciences. 2025; 15(11):5895. https://doi.org/10.3390/app15115895
Chicago/Turabian StyleBaldovino, Jair de Jesús Arrieta, Ramon Torres Ortega, and Yamid E. Nuñez de la Rosa. 2025. "Experimental Stabilization of Clay Soils in Cartagena de Indias Colombia: Influence of Porosity/Binder Index" Applied Sciences 15, no. 11: 5895. https://doi.org/10.3390/app15115895
APA StyleBaldovino, J. d. J. A., Ortega, R. T., & Nuñez de la Rosa, Y. E. (2025). Experimental Stabilization of Clay Soils in Cartagena de Indias Colombia: Influence of Porosity/Binder Index. Applied Sciences, 15(11), 5895. https://doi.org/10.3390/app15115895

