Sign in to use this feature.

Years

Between: -

Subjects

remove_circle_outline
remove_circle_outline
remove_circle_outline
remove_circle_outline
remove_circle_outline

Journals

Article Types

Countries / Regions

Search Results (15)

Search Parameters:
Keywords = polyphosphoric acid (PPA) modified asphalt

Order results
Result details
Results per page
Select all
Export citation of selected articles as:
19 pages, 5881 KB  
Article
Feasibility of Polyphosphoric Acid in Emulsified Asphalt Modification: Emulsification Characteristics, Rheological Properties, and Modification Mechanism
by Simiao Pan, Xiang Liu, Xiaolong Li, Jingpeng Jia and Jun Yang
Coatings 2025, 15(4), 471; https://doi.org/10.3390/coatings15040471 - 16 Apr 2025
Cited by 1 | Viewed by 1035
Abstract
Polyphosphoric acid (PPA), a chemical modifier widely used in petroleum asphalt, results in significant performance improvements. However, its effectiveness for modified emulsified asphalt has not yet been thoroughly verified. This study aims to investigate the emulsification properties, rheological characteristics, compatibility, and modification mechanisms [...] Read more.
Polyphosphoric acid (PPA), a chemical modifier widely used in petroleum asphalt, results in significant performance improvements. However, its effectiveness for modified emulsified asphalt has not yet been thoroughly verified. This study aims to investigate the emulsification properties, rheological characteristics, compatibility, and modification mechanisms of PPA-modified emulsified asphalt and validate the feasibility of applying PPA for modification. Initially, PPA-modified emulsified asphalt was prepared at different dosages (0%, 0.5%, 1.0%, 1.5%, and 2.0%), and its emulsification characteristics, including evaporation residue properties and storage stability, were evaluated. Subsequently, the rheological performance and compatibility of PPA-modified emulsified asphalt at various temperatures were evaluated using a dynamic shear rheometer. Finally, Fourier transform infrared spectroscopy (FTIR) and fluorescence microscopy (FM) were utilized to investigate the effects of PPA modification on the chemical composition and microscopic characteristics of emulsified asphalt. The results indicated that, with increasing PPA dosage, the softening point of modified emulsified asphalt initially decreased and then increased, while penetration and ductility first increased and then decreased, accompanied by reduced storage stability. Furthermore, PPA modification can enhance the high-temperature stability, fatigue properties, and low-temperature performance of emulsified asphalt, but the effectiveness depended on the dosage of PPA. Specifically, optimal compatibility of modified emulsified asphalt was achieved at a PPA dosage of 1.0%. Notably, PPA underwent hydrolysis within the emulsified asphalt system, leading to modification mechanisms distinct from those observed in base asphalt modification. At a PPA dosage of 1.0%, asphalt particles within the emulsified asphalt exhibited the most uniform distribution. Conversely, excessive PPA dosage (e.g., 2.0%) caused significant particle aggregation, consequently weakening the modification effect. Full article
(This article belongs to the Special Issue Synthesis and Application of Functional Polymer Coatings)
Show Figures

Figure 1

20 pages, 10269 KB  
Article
Viscoelasticity of PPA/SBS/SBR Composite Modified Asphalt and Asphalt Mixtures Under Pressure Aging Conditions
by Zongjie Yu, Xinpeng Ling, Ze Fan, Yueming Zhou and Zhu Ma
Polymers 2025, 17(5), 698; https://doi.org/10.3390/polym17050698 - 6 Mar 2025
Cited by 1 | Viewed by 1337
Abstract
The viscoelastic behavior of asphalt mixtures is a crucial consideration in the analysis of pavement mechanical responses and structural design. This study aims to elucidate the molecular structure and component evolution trends of polyphosphoric acid (PPA)/styrene butadiene styrene block copolymer (SBS)/styrene butadiene rubber [...] Read more.
The viscoelastic behavior of asphalt mixtures is a crucial consideration in the analysis of pavement mechanical responses and structural design. This study aims to elucidate the molecular structure and component evolution trends of polyphosphoric acid (PPA)/styrene butadiene styrene block copolymer (SBS)/styrene butadiene rubber copolymer (SBR) composite modified asphalt (CMA) under rolling thin film oven test (RTFOT) and pressure aging (PAV) conditions, as well as to analyze the viscoelastic evolution of CMA mixtures. First, accelerated aging was conducted in the laboratory through RTFOT, along with PAV tests for 20 h and 40 h. Next, the microscopic characteristics of the binder at different aging stages were explored using Fourier-transform infrared spectroscopy (FTIR) and gel permeation chromatography (GPC) tests. Additionally, fundamental rheological properties and temperature sweep tests were performed to reveal the viscoelastic evolution characteristics of CMA. Ultimately, the viscoelastic properties of CMA mixtures under dynamic loading at different aging stages were clarified. The results indicate that the incorporation of SBS and SBR increased the levels of carbonyl and sulfoxide factors while decreasing the level of long-chain factors, which slowed down the rate of change of large molecule content and reduced the rate of change of LMS by more than 6%, with the rate of change of overall molecular weight distribution narrowing to below 50%. The simultaneous incorporation of SBS and SBR into CMA mixtures enhanced the dynamic modulus in the 25 Hz and −10 °C range by 24.3% (AC-13), 15.4% (AC-16), and reduced the φ by 55.8% (AC-13), 40% (AC-16). This research provides a reference for the application of CMA mixtures in the repair of pavement pothole damage. Full article
Show Figures

Figure 1

22 pages, 13197 KB  
Article
Effects of Polyphosphoric Acid on Physical, Rheological, and Chemical Properties of Styrene-Butadiene-Styrene (SBS)-Modified Asphalt Binder
by Amjad H. Albayati, Mazen J. Al-Kheetan, Aliaa F. Al-ani, Yu Wang, Ahmed M. Mohammed and Mustafa M. Moudhafar
J. Compos. Sci. 2025, 9(2), 78; https://doi.org/10.3390/jcs9020078 - 9 Feb 2025
Cited by 1 | Viewed by 1650
Abstract
High temperatures combined with heavy traffic load necessitate asphalt binder modification to enhance its performance and durability. This research examines the effects of polyphosphoric acid (PPA) on the physical, rheological, and chemical properties of styrene-butadiene-styrene (SBS)-modified asphalt binders. Asphalt binders were prepared by [...] Read more.
High temperatures combined with heavy traffic load necessitate asphalt binder modification to enhance its performance and durability. This research examines the effects of polyphosphoric acid (PPA) on the physical, rheological, and chemical properties of styrene-butadiene-styrene (SBS)-modified asphalt binders. Asphalt binders were prepared by adding 3% SBS and varying PPA dosages of 0.3%, 0.6%, and 0.9% by weight of asphalt cement. The experiment investigated the physical properties (penetration, softening point, ductility, viscosity, and specific gravity), the rheological properties (the performance grading (PG), multi-stress creep recovery (MSCR), and linear amplitude sweep (LAS)), and the microstructure and chemical composition of the modified asphalt binder. The results demonstrated impressive improvements in rutting resistance and stiffness. Adding 3% SBS and 0.9% PPA increased the rutting factor (G*/sin δ) by 165% and the high-temperature PG from 74.2 °C to 93.6 °C compared to the virgin asphalt binder. However, the optimum fatigue resistance was obtained by adding 0.3% PPA to the SBS asphalt binder. The microstructure and composition analysis revealed that using SBS and PPA together enhanced binder homogeneity and reduced voids. Lastly, an Overall Desirability (OD) analysis suggested the 3% SBS and 0.3% PPA to be the most effectively balanced formulation for the demand of high temperature and heavy traffic conditions. However, further field studies are recommended to validate the results under real-world conditions. Full article
(This article belongs to the Special Issue Advanced Asphalt Composite Materials)
Show Figures

Figure 1

19 pages, 4159 KB  
Article
High-Temperature Characteristics of Polyphosphoric Acid-Modified Asphalt and High-Temperature Performance Prediction Analysis of Its Mixtures
by Meiyan Huang, Jianguo Wei, Yuming Zhou, Ping Li, Jinming Li, Haolong Ju and Song Shi
Sustainability 2024, 16(12), 4922; https://doi.org/10.3390/su16124922 - 8 Jun 2024
Cited by 2 | Viewed by 1957
Abstract
To promote the application of economical and sustainable polyphosphoric acid (PPA)-modified asphalt in road engineering, styrene-butadiene block copolymer (SBS), styrene-butadiene rubber (SBR), and PPA were used to prepare PPA/SBS and PPA/SBR composite-modified asphalts, which were tested and the data analyzed. Fourier transform infrared [...] Read more.
To promote the application of economical and sustainable polyphosphoric acid (PPA)-modified asphalt in road engineering, styrene-butadiene block copolymer (SBS), styrene-butadiene rubber (SBR), and PPA were used to prepare PPA/SBS and PPA/SBR composite-modified asphalts, which were tested and the data analyzed. Fourier transform infrared spectroscopy (FTIR) tests and thermogravimetric analysis (TG) tests were carried out to study the modification mechanisms of the composite-modified asphalts, and the high-temperature performance of the PPA-modified asphalt and asphalt mixtures was analyzed by dynamic shear rheology (DSR) tests and wheel tracking tests. A gray correlation analysis and a back-propagation (BP) neural network were utilized to construct a prediction model of the high-temperature performance of the asphalt and asphalt mixtures. The test results indicate that PPA chemically interacts with the base asphalt and physically integrates with SBS and SBR. The PPA-modified asphalt has a higher decomposition temperature than the base asphalt, indicating superior thermal stability. As the PPA dosage increases, the G*/sinδ value of the PPA-modified asphalt also increases. In particular, when 0.6% PPA is combined with 2% SBS/SBR, it surpasses the high-temperature performance achieved with 4% SBS/SBR, suggesting that PPA may be a good alternative for polymer modifiers. In addition, the creep recovery of PPA-modified asphalt is influenced by the stress level, and as the stress increases, the R-value decreases, resulting in reduced elastic deformation. Furthermore, the BP neural network model achieved a fit of 0.991 in predicting dynamic stability, with a mean percentage of relative error (MAPE) of 6.15% between measured and predicted values. This underscores the feasibility of using BP neural networks in predictive dynamic stability models. Full article
(This article belongs to the Special Issue Sustainability of Pavement Engineering and Road Materials)
Show Figures

Figure 1

19 pages, 10051 KB  
Article
Study on the Performance of SBS/Polyphosphoric Acid Composite Modified Asphalt
by Chaojie Li, Zhenxia Li, Tengteng Guo, Yuanzhao Chen, Qi Liu, Jing Wang and Lihui Jin
Coatings 2024, 14(1), 72; https://doi.org/10.3390/coatings14010072 - 4 Jan 2024
Cited by 10 | Viewed by 2056
Abstract
To address the issue of bad compatibility between a single polymer modifier and asphalt and high preparation cost, the composite modified asphalt with polyphosphoric acid (PPA) and SBS as a modifier was prepared. Basic properties, viscosity characteristics, high-temperature and low-temperature rheological performance, and [...] Read more.
To address the issue of bad compatibility between a single polymer modifier and asphalt and high preparation cost, the composite modified asphalt with polyphosphoric acid (PPA) and SBS as a modifier was prepared. Basic properties, viscosity characteristics, high-temperature and low-temperature rheological performance, and aging-resistant performance of SBS/PPA composite modified asphalt were comprehensively evaluated, and the best content of PPA was obtained through the experimental results below. By performing an infrared spectrum test and a scanning electron microscope test, structural changes and modifying mechanisms of composite modified asphalt were analyzed. The results indicate the optimal PPA content is 0.75%. After adding PPA, the penetration and ductility of composite modified asphalt were reduced, while the softening point increased. At 135 °C, the viscosity was 1.2 times that of SBS modified asphalt. The average weight loss ratio was 0.163%. When the content of PPA was 0.75% and 1%, the rutting factor increased significantly. Therefore, PPA can not only improve the thermal oxidation aging resistance of asphalt, it can also improve the shear resistance, high-temperature performance, and temperature sensitivity of asphalt. Between 1027 and 1150 cm−1, the composite modified asphalt forms a new absorption peak, and from 1610 cm−1, the absorption peak presents an upward trend, suggesting that PPA reacts chemically with asphalt, produces the new substance, and also increases a large number of hydrocarbon components with chain structure. The surface appearance of the compound modified asphalt gradually presents a smooth wrinkle state due to the increase of PPA, so the issue of easy segregation of SBS in asphalt is improved. Full article
(This article belongs to the Special Issue Recent Development in Novel Green Asphalt Materials for Pavement)
Show Figures

Figure 1

21 pages, 5546 KB  
Article
Study on the Performance and Modification Mechanism of Polyphosphoric Acid (PPA)/Styrene–Butadiene–Styrene (SBS) Composite Modified Asphalt
by Xiangjie Niu, Yuanzhao Chen, Zhenxia Li, Tengteng Guo, Jing Wang and Lihui Jin
Coatings 2023, 13(12), 2003; https://doi.org/10.3390/coatings13122003 - 25 Nov 2023
Cited by 6 | Viewed by 1743
Abstract
In order to address the high preparation cost of styrene–butadiene–styrene block copolymer (SBS) modified asphalt, four kinds of polyphosphoric acid (PPA) content (0%, 0.5%, 0.75%, and 1% PPA by weight of the matrix asphalt) were selected to prepare composite modified asphalt with better [...] Read more.
In order to address the high preparation cost of styrene–butadiene–styrene block copolymer (SBS) modified asphalt, four kinds of polyphosphoric acid (PPA) content (0%, 0.5%, 0.75%, and 1% PPA by weight of the matrix asphalt) were selected to prepare composite modified asphalt with better high-temperature performance. The physical properties of composite modified asphalt were evaluated by conventional performance tests. The rheological properties of composite modified asphalt were evaluated by dynamic shear rheometer (DSR) test and bending beam rheometer (BBR) test. The synergistic modification mechanism of PPA and SBS was revealed by the Fourier transform infrared spectroscopy test. The results show that with the increase of PPA content, the penetration of PPA/SBS composite modified asphalt is reduced by 20.92%, 25.07% and 28.94%, respectively, compared with matrix asphalt, and the softening point is increased by 5.46%, 22.69% and 34.03%, respectively. In addition, PPA can improve the thermal oxidative aging resistance of asphalt. PPA can improve the shear resistance, high-temperature performance and temperature sensitivity of asphalt. At 82 °C, compared with SBS modified asphalt, the phase angle of PPA/SBS composite modified asphalt can be decreased by 8.63%, 13.23% and 19.24%, respectively, and G*/sinδ can be increased by 41.97%, 67.62% and 70.97%, respectively. SBS mainly exists in asphalt in the form of physical blending, and PPA has a new chemical reaction with asphalt, which increases the macromolecules and chain hydrocarbon components in asphalt, and the macroscopic performance is the improvement of high-temperature performance of asphalt. However, PPA has a negative effect on the low-temperature performance of the SBS modified asphalt. Full article
(This article belongs to the Special Issue Recent Development in Novel Green Asphalt Materials for Pavement)
Show Figures

Figure 1

20 pages, 2704 KB  
Article
Evaluating the Effects of Polyphosphoric Acid (PPA) on the Anti-Ultraviolet Aging Properties of SBR-Modified Asphalt
by Yanling Xu, Kaimin Niu, Hongzhou Zhu, Ruipu Chen and Li Ou
Materials 2023, 16(7), 2784; https://doi.org/10.3390/ma16072784 - 30 Mar 2023
Cited by 15 | Viewed by 2627
Abstract
The ultraviolet (UV) aging of asphalt is an important factor affecting the long-term performance of asphalt pavement, especially in high altitude cold regions. The current studies have reported that styrene butadiene rubber-modified asphalt (SBRMA) has a good cracking resistance at low temperatures. In [...] Read more.
The ultraviolet (UV) aging of asphalt is an important factor affecting the long-term performance of asphalt pavement, especially in high altitude cold regions. The current studies have reported that styrene butadiene rubber-modified asphalt (SBRMA) has a good cracking resistance at low temperatures. In addition, polyphosphoric acid (PPA) is an effective modifier that can enhance the anti-UV aging properties of asphalt. However, the understanding of the improvement mechanism of PPA on the anti-aging of SBRMA remains unclear. Therefore, this study aimed to evaluate the effect of PPA on the UV aging resistance of SBRMA. The rheological properties of PEN90 asphalt(90#A), SBRMA, and PPA/SBR modified (PPA/SBR-MA) before and after UV aging were evaluated by dynamic shear rheometer (DSR) and bending beam rheometer (BBR) tests. The molecular weight and chemical structure of 90#A, SBRMA, and PPA/SBR-MA were determined by Fourier transform infrared spectroscopy (FTIR) and gel permeation chromatography (GPC), and the interaction and modification mechanism of the modifiers were analyzed. The rheological analysis shows that the high and low temperature performances of SBRMA are improved by adding PPA, and PPA also significantly reduces the sensitivity of SBRMA to UV aging. The microscopic test results show that PPA has a complex chemical reaction with SBRMA, which results in changes in its molecular structure. This condition enhances SBRMA with a more stable dispersion system, inhibits the degradation of the polymer macromolecules of the SBR modifier, and slows down the aging process of base asphalt. In general, PPA can significantly improve the anti-UV aging performance of SBRMA. The Pearson correlations between the aging indexes of the macro and micro properties are also significant. In summary, PPA/SBRMA material is more suitable for high altitude cold regions than SBRMA, which provides a reference for selecting and designing asphalt pavement materials in high altitude cold regions. Full article
Show Figures

Figure 1

19 pages, 6654 KB  
Article
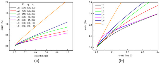
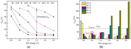
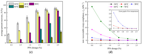
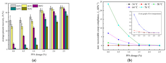
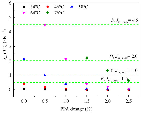
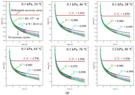
Experimental Study on Creep–Recovery Behavior of Polyphosphoric Acid (PPA) Modified Asphalt Binders under Multiple Factors
by Shuangquan Jiang, Xiuming Jiang, Huifeng Li, Zhan Ding, Peilong Li and Mingkai Zhou
Materials 2023, 16(7), 2740; https://doi.org/10.3390/ma16072740 - 29 Mar 2023
Cited by 2 | Viewed by 2190
Abstract
The polyphosphoric acid (PPA) modified asphalt binder is a potential choice as one of the pavement materials for its excellent high-temperature performance and low cost. To further analyze the influences of temperature and load on the service life of pavement from the perspective [...] Read more.
The polyphosphoric acid (PPA) modified asphalt binder is a potential choice as one of the pavement materials for its excellent high-temperature performance and low cost. To further analyze the influences of temperature and load on the service life of pavement from the perspective of deformation behavior, six kinds of asphalt binders with different PPA dosages were prepared for Multiple Stress Creep and Recovery (MSCR) tests at five temperature levels. The deformation behavior is investigated by basic deformation parameters, rheological simulation, and energy parameter changes. The results show that the percent recovery (R) drops sharply while non-recoverable creep compliance (Jnr) goes up slightly with the increase in temperature. Three-element model, composed by E1, η1, and η2, can be used to describe the creep behavior. PPA-modified asphalt binder exhibits nonlinear creep behavior, and the logarithmic model can simulate recovery behavior better than the power–law model. Stored energy and dissipated energy can characterize the change of energy in the creep process under different conditions and show a significant correlation to deformation parameters. It is concluded that the elastic component of asphalt binders is increased by PPA, which is beneficial to the improvement of the deformation resistance and recovery capacity of asphalt binders. The recommended dosage of PPA is 1.5%. This investigation is conducive to a better understanding of the deformation behavior of PPA-modified asphalt binders and provides a reference for its engineering applications. Full article
Show Figures

Figure 1

14 pages, 2417 KB  
Article
Study on Anti-Aging Performance Enhancement of Polymer Modified Asphalt with High Linear SBS Content
by Daqian Han, Guosheng Hu and Jingting Zhang
Polymers 2023, 15(2), 256; https://doi.org/10.3390/polym15020256 - 4 Jan 2023
Cited by 22 | Viewed by 3505
Abstract
Modified asphalt with high content SBS is widely used in asphalt pavement due to its excellent high and low temperature performance. However, its anti-aging performance is insufficient. In order to improve the anti-aging performance of SBS modified asphalt, nano-ZnO, nano-TiO2, nano-SiO [...] Read more.
Modified asphalt with high content SBS is widely used in asphalt pavement due to its excellent high and low temperature performance. However, its anti-aging performance is insufficient. In order to improve the anti-aging performance of SBS modified asphalt, nano-ZnO, nano-TiO2, nano-SiO2 and polyphosphoric acid (PPA) were added to high content (6.5 wt%) linear SBS modified asphalt as anti-aging agents in this study. Moreover, Dynamic Shear Rheometer (DSR), Fluorescence Microscope, and Fourier Transform Infrared Spectroscopy were employed to reveal the mechanism, through the investigation of the rheological and microscopic properties of modified asphalt before and after aging. The results showed that the influence of nanoparticles on the rutting resistance and fatigue resistance of high content SBS modified asphalt is weak, mainly because there is only weak physical interaction between nanoparticles and the SBS modifier, but no obvious chemical reaction. The significant cross-networking structure of high content SBS modified asphalt even has an adverse effect on the anti-aging performance of nano-modifiers. However, PPA obviously makes the cross-linked network structure of SBS modified asphalt more compact, and significantly improves the performance after short-term aging and long-term aging, mainly due to the chemical reaction between PPA and the active groups in SBS modified asphalt. Full article
Show Figures

Figure 1

19 pages, 7517 KB  
Article
Research of Low-Temperature Performance of Polyphosphoric Acid-Modified Asphalt
by Jianguo Wei, Meiyan Huang, Yuming Zhou, Ping Li, Fan Yu, Haolong Ju and Song Shi
Materials 2023, 16(1), 111; https://doi.org/10.3390/ma16010111 - 22 Dec 2022
Cited by 10 | Viewed by 2600
Abstract
Polyphosphoric acid (PPA) modifier, which can effectively improve the rheological properties of asphalt, is widely used in pavement engineering. In order to accurately evaluate the low-temperature performance of PPA-modified asphalt, in this study, PPA-modified asphalt and PPA/SBR-modified asphalt were prepared. The modification mechanism [...] Read more.
Polyphosphoric acid (PPA) modifier, which can effectively improve the rheological properties of asphalt, is widely used in pavement engineering. In order to accurately evaluate the low-temperature performance of PPA-modified asphalt, in this study, PPA-modified asphalt and PPA/SBR-modified asphalt were prepared. The modification mechanism was explored by scanning electron microscopy (SEM) and fourier transform infrared spectroscopy (FTIR). Bending Beam Rheology (BBR) test was carried out, and four indexes, including K index, viscous flow (η1), low-temperature integrated flexibility (Jc), and relaxation time (λ), were obtained by combining the Burgers model. The optimal low-temperature performance evaluation index of modified asphalt was determined by the analytic hierarchy process (AHP). The test results show that PPA addition to asphalt will produce chemical reactions, which can effectively improve the compatibility between SBR and neat asphalt. In the multi-index evaluation based on K, η1, Jc, and λ, the same optimum content of PPA was obtained. AHP analysis further demonstrates that Jc is the optimal evaluation index for laboratory research on the low-temperature performance of PPA-modified asphalt, and λ index is the ideal evaluation index for the low-temperature performance of asphalt in engineering applications. Full article
Show Figures

Figure 1

15 pages, 4460 KB  
Article
Shear Viscosity Overshoots in Polymer Modified Asphalts
by Martin Jasso, Giovanni Polacco and Ludovit Zanzotto
Materials 2022, 15(21), 7551; https://doi.org/10.3390/ma15217551 - 27 Oct 2022
Cited by 7 | Viewed by 1826
Abstract
Polymer modification is one of the most common methods for improving the performance of asphalt binders. Despite in-depth research, the structural modifications induced by polymers are still not well understood. In this work, steady shear viscosity measurements and cryo-scanning electron microscopy (cryo-SEM) were [...] Read more.
Polymer modification is one of the most common methods for improving the performance of asphalt binders. Despite in-depth research, the structural modifications induced by polymers are still not well understood. In this work, steady shear viscosity measurements and cryo-scanning electron microscopy (cryo-SEM) were used to better understand the internal structure of asphalts modified by styrene-butadiene-styrene with and without sulfur as a crosslinking agent, asphalts modified by polyphosphoric acid (PPA), and quaternary asphalt blends modified by SBS, sulfur, and PPA. The results showed that polymer and asphaltenes collaborate, thus SBS forms a three-dimensional network strengthened by asphaltenes clusters. The strength, extension, and physical nature of such a network is revealed by the appearance of overshoots in the viscosity curves. Moreover, the indirect information deduced from the magnitude and shape of the shear viscosity curves successfully correlated with direct observations of the internal structure by cryo-SEM. Steady shear viscosity is thus recommended as a useful tool in studying the structural development of asphalts modified by different technologies. Full article
(This article belongs to the Section Construction and Building Materials)
Show Figures

Figure 1

13 pages, 4094 KB  
Article
Study on the Conventional Performance and Microscopic Properties of PPA/SBS-Modified Bio-Mixed Asphalt
by Guiyong Liu, Wei Zhang, Xiaolong Yang and Zhikang Ning
Materials 2022, 15(12), 4101; https://doi.org/10.3390/ma15124101 - 9 Jun 2022
Cited by 16 | Viewed by 2600
Abstract
To promote the construction of environmentally friendly, sustainable pavements and solve the impact of the scarcity of asphalt resources on highway development, bio-mixed asphalt (BMA) modified by SBS and polyphosphoric acid (PPA) was prepared, and the influence of the ratio of bio-asphalt (BA) [...] Read more.
To promote the construction of environmentally friendly, sustainable pavements and solve the impact of the scarcity of asphalt resources on highway development, bio-mixed asphalt (BMA) modified by SBS and polyphosphoric acid (PPA) was prepared, and the influence of the ratio of bio-asphalt (BA) replacing petroleum asphalt on different PPA/SBS blending schemes was explored through conventional property tests. According to each PPA/SBS blending scheme, the optimal replacement ratio of bio-asphalt was optimized, and the microstructure and distribution morphology of different PPA/SBS-modified BMA were evaluated. Conventional property test results show that with the same PPA/SBS content, the replacement ratio of bio-asphalt has a significant impact on the conventional performance of composite-modified asphalt, but the appropriate replacement ratio of bio-asphalt can improve the storage stability and conventional performance of composite-modified asphalt; in micromorphological analysis, it was found that the number of bee-like structures on the surface of the modified BMA decreased significantly, which indicated that the molecular heterogeneity of various components in the asphalt was reduced. In addition, bio-asphalt changed the particle morphology and improved the dispersity of SBS in asphalt. The composite-modified BMA had a lower SBS content, but its conventional performance was still excellent—so it has significant application prospects in road engineering. Full article
Show Figures

Figure 1

23 pages, 9967 KB  
Article
Research on Performance of SBS-PPA and SBR-PPA Compound Modified Asphalts
by Jianguo Wei, Song Shi, Yuming Zhou, Zhiyuan Chen, Fan Yu, Zhuyi Peng and Xurui Duan
Materials 2022, 15(6), 2112; https://doi.org/10.3390/ma15062112 - 13 Mar 2022
Cited by 22 | Viewed by 3074
Abstract
Although several studies indicated that the addition of Styrene-Butadiene-Styrene (SBS) and Styrene-Butadiene Rubber (SBR) bring a lot of benefits on properties of asphalt binders, high production costs and poor storage stability confine the manufacture of better modified asphalt. To reduce the production costs, [...] Read more.
Although several studies indicated that the addition of Styrene-Butadiene-Styrene (SBS) and Styrene-Butadiene Rubber (SBR) bring a lot of benefits on properties of asphalt binders, high production costs and poor storage stability confine the manufacture of better modified asphalt. To reduce the production costs, polyphosphoric acid (PPA) was applied to prepare better compound modified asphalt binders. In this research, five PPA (0.5%, 0.75%, 1.0%, 1.25% and 1.5%) and two SBR/SBS (4% and 6%) concentrations were selected. Dynamic shear rheometer (DSR) and Bending Beam Rheometer (BBR) tests were performed to evaluate the rheological properties of the compound modified asphalt. Rolling Thin Film Oven (RTFO) test was performed to evaluate the aging properties of the compound modified asphalts. The results indicate that SBS/SBR modified asphalts with the addition of PPA show better high-temperature properties significantly, the ability of asphalt to resist rutting is improved, and the elastic recovery is increased. However, the low-temperature properties of the compound modified asphalts are degraded by increasing the creep stiffness (S) and decreasing the creep rate (m). At the same time, RTFO tests results show that PPA was less prone to oxidation to improve the anti-aging ability of modified asphalts. Overall, the combination of 4% SBS and 0.75–1.0% PPA, the combination of 4% SBR and 0.5–0.75% PPA is recommended based on a comprehensive analysis of the performance of compound modified asphalt, respectively, which can be equivalent to 6% SBS/SBR modified asphalt with high-temperature properties, low-temperature properties, temperature sensitivity and aging properties. Full article
Show Figures

Figure 1

26 pages, 5425 KB  
Article
Effects of Amorphous Poly Alpha Olefin (APAO) and Polyphosphoric Acid (PPA) on the Rheological Properties, Compatibility and Stability of Asphalt Binder
by Xiaoguang Pei and Weiyu Fan
Materials 2021, 14(9), 2458; https://doi.org/10.3390/ma14092458 - 10 May 2021
Cited by 15 | Viewed by 4028
Abstract
High production costs and poor storage stability have become important constraints in the manufacture of modified asphalt binder. To simplify the production process and reduce the production cost, amorphous poly alpha olefin (APAO) and polyphosphoric acid (PPA) were applied to prepare highly stable [...] Read more.
High production costs and poor storage stability have become important constraints in the manufacture of modified asphalt binder. To simplify the production process and reduce the production cost, amorphous poly alpha olefin (APAO) and polyphosphoric acid (PPA) were applied to prepare highly stable modified asphalt binder. The influence of APAO/PPA on the temperature sensitivity, rheological property, storage stability, compatibility and microstructure of neat binder were studied by rotational viscosity (RV), dynamic shear rheometer (DSR), bending beam rheometer (BBR) and Fourier transform infrared (FTIR) spectroscopy. The results show that the incorporation of APAO/PPA reduced the temperature sensitivity of neat binder. The combined effect of APAO/PPA contributed to the improvement in deformation resistance, which was evidenced by the increase in failure temperature and percent recovery. However, the compound modification of APAO/PPA decreased the binder’s low-temperature performance. APAO strengthened the fatigue resistance of the binder, while PPA reduced the anti-fatigue performance. Composite modified asphalt binder with superior storage stability could be prepared, which was confirmed by the desired Cole–Cole plots and fluorescence imaging. Furthermore, chemical and physical reactions occurred during the APAO/PPA modification process. Overall, 2 wt.% (weight percentage) APAO and 1.5 wt.% PPA are recommended for the production of modified asphalt binder with remarkable rheological performance and storage stability. Full article
(This article belongs to the Special Issue Research and Development of Modified Building Materials)
Show Figures

Graphical abstract

22 pages, 59447 KB  
Article
Influence of Compound Modification of Oil Sands De-Oiled Asphalt and Polyphosphoric Acid on High- and Low-Temperature Performance of Styrene-Butadiene-Styrene-Modified Asphalt
by Xiaoguang Pei and Weiyu Fan
Materials 2021, 14(4), 797; https://doi.org/10.3390/ma14040797 - 8 Feb 2021
Cited by 8 | Viewed by 2806
Abstract
Oil sands de-oiled asphalt (OSDOA) has become a bottleneck for refineries due to its enormous production and huge landfill costs. Applying OSDOA as a modifier is an effective way to reduce environmental pollution and disposal cost. In this study, the influences of OSDOA [...] Read more.
Oil sands de-oiled asphalt (OSDOA) has become a bottleneck for refineries due to its enormous production and huge landfill costs. Applying OSDOA as a modifier is an effective way to reduce environmental pollution and disposal cost. In this study, the influences of OSDOA and polyphosphoric acid (PPA) compound modification on styrene-butadiene-styrene (SBS)-modified binder were investigated. The high-temperature rutting resistance, low-temperature anti-crack performance and fatigue resistance were obtained by dynamic shear rheometer (DSR) and bending beam rheometer (BBR) test. Storage stability and microstructure were also investigated by storage test and Fourier-transform infrared (FTIR) spectroscopy. The results demonstrated that the compound modification of OSDOA/PPA dramatically enhanced the deformation resistance of SBS-modified binder and reduced its low-temperature cracking resistance. The anti-fatigue performance was also decreased. Moreover, the combined effect of OSDOA and PPA could produce composite modified asphalt with excellent storage stability, which was verified by desirable fluorescence images. Furthermore, both physical and chemical interactions coexisted during the OSDOA/PPA compound modification process. Consequently, the optimal doses of OSDOA and PPA were determined to be 10 wt% and 1.0 wt%, considering of the balance between high- and low-temperature characteristics and storage stability of composite modified asphalt. Full article
(This article belongs to the Special Issue Advances in Asphalt Materials)
Show Figures

Graphical abstract

Back to TopTop