Abstract
Polyphosphoric acid (PPA), a chemical modifier widely used in petroleum asphalt, results in significant performance improvements. However, its effectiveness for modified emulsified asphalt has not yet been thoroughly verified. This study aims to investigate the emulsification properties, rheological characteristics, compatibility, and modification mechanisms of PPA-modified emulsified asphalt and validate the feasibility of applying PPA for modification. Initially, PPA-modified emulsified asphalt was prepared at different dosages (0%, 0.5%, 1.0%, 1.5%, and 2.0%), and its emulsification characteristics, including evaporation residue properties and storage stability, were evaluated. Subsequently, the rheological performance and compatibility of PPA-modified emulsified asphalt at various temperatures were evaluated using a dynamic shear rheometer. Finally, Fourier transform infrared spectroscopy (FTIR) and fluorescence microscopy (FM) were utilized to investigate the effects of PPA modification on the chemical composition and microscopic characteristics of emulsified asphalt. The results indicated that, with increasing PPA dosage, the softening point of modified emulsified asphalt initially decreased and then increased, while penetration and ductility first increased and then decreased, accompanied by reduced storage stability. Furthermore, PPA modification can enhance the high-temperature stability, fatigue properties, and low-temperature performance of emulsified asphalt, but the effectiveness depended on the dosage of PPA. Specifically, optimal compatibility of modified emulsified asphalt was achieved at a PPA dosage of 1.0%. Notably, PPA underwent hydrolysis within the emulsified asphalt system, leading to modification mechanisms distinct from those observed in base asphalt modification. At a PPA dosage of 1.0%, asphalt particles within the emulsified asphalt exhibited the most uniform distribution. Conversely, excessive PPA dosage (e.g., 2.0%) caused significant particle aggregation, consequently weakening the modification effect.
1. Introduction
Emulsified asphalt is formed by dispersing melted asphalt particles in an aqueous medium containing an emulsifier, resulting in a stable emulsion [1]. Emulsified asphalt is widely employed in pavement construction and maintenance due to its excellent workability and stability. However, ordinary emulsified asphalt suffers from issues such as poor bonding properties, slow strength formation, and susceptibility to aging, which hinder its widespread use in road engineering [2]. Previous research and engineering practices have demonstrated that modified emulsified asphalt can significantly enhance its bonding properties, high-temperature stability, low-temperature crack resistance, water stability, and durability [3,4,5]. Therefore, modifying emulsified asphalt is a crucial research focus for this material and a key factor in ensuring the efficient performance of emulsified asphalt-based road materials.
Currently, the primary method for modifying emulsified asphalt is the addition of polymer modifiers. Commonly used polymer modifiers include styrene–butadiene rubber (SBR), waterborne epoxy resin (WER), and styrene–butadiene block copolymer (SBS). Among these, styrene–butadiene rubber (SBR) is widely used in modified asphalt and emulsified asphalt due to its significant improvements in low-temperature crack resistance, high-temperature stability, adhesion, and other properties. Additionally, SBR can effectively enhance the impermeability and rutting resistance of emulsified asphalt under high-temperature conditions [5,6,7]. However, SBR-modified emulsified asphalt faces challenges, such as insufficient storage stability, limiting its widespread application [8]. Waterborne epoxy resin (WER) is a liquid-phase system in which epoxy resin particles act as the dispersed phase and an aqueous solution serves as the continuous phase. WER can significantly enhance the thermal stability and mechanical properties of emulsified asphalt after curing. However, cured emulsified asphalt exhibits high brittleness, poor ductility, and insufficient adhesion [9,10,11,12]. As a thermoplastic elastomer, styrene–butadiene block copolymer (SBS) enhances the high- and low-temperature performance as well as the water stability of emulsified asphalt. However, SBS-modified asphalt is often difficult to emulsify and lacks long-term storage stability [13,14,15]. Moreover, polymer-modified emulsified asphalt faces challenges, such as high costs and a complex modification process, which require urgent solutions. In contrast, polyphosphoric acid (PPA), as a chemical asphalt modifier, offers several technical advantages, including high modification efficiency, a simple process, good storage stability, and low cost, making it a highly promising option for emulsified asphalt modification [16].
In recent years, PPA, as an economically viable and effective modifier, has attracted significant attention from the pavement engineering applications. Studies indicate that adding PPA increases the content and dispersion of asphaltenes in asphalt, significantly improving its high-temperature stability. However, unlike PPA’s effect on the high-temperature performance of asphalt, its impact on the low-temperature performance of asphalt remains inconclusive due to variations in test temperature, asphalt source, and test methods. Current findings suggest three potential outcomes: PPA may have a positive effect, a negative effect, or no significant effect on low-temperature performance [17,18,19,20,21]. Additionally, PPA-modified asphalt exhibits greater stability during the aging process, with the incorporation of PPA enhancing the asphalt’s aging resistance. By comparing the changes in functional groups before and after asphalt aging, Baumgardner and Dourado observed that PPA exhibits antioxidant properties, which reduce the intensity of oxygen absorption during aging and enhance the asphalt’s anti-aging performance [22,23]. Xu et al. measured the molecular weight and chemical structure of SBR- and PPA/SBR-modified asphalt using Fourier transform infrared spectroscopy (FTIR) and gel permeation chromatography (GPC). They found that PPA- and-SBR modified asphalt undergo complex chemical reactions, leading to changes in its molecular structure, enhancing the stability of composite asphalt, inhibiting polymer macromolecule degradation in SBR, and slowing asphalt aging [24]. Additionally, PPA, a protonic acid with strong polarity, can enhance the compatibility and storage stability of emulsified asphalt when compounded with SBS for modification [25]. Although numerous studies have focused on PPA’s modification of asphalt, most research adds PPA as a polar component to SBS-modified emulsified asphalt to enhance compatibility and storage stability between SBS and asphalt. Therefore, research on using PPA for the sole modification of emulsified asphalt remains relatively limited. Specifically, the impact of PPA on asphalt performance in the water emulsion system requires systematic verification, and the mechanism of PPA’s effect on emulsified asphalt needs further clarification.
This study aims to investigate the modification effects and mechanisms of PPA on emulsified asphalt. Emulsified asphalts with varying PPA contents were prepared, and their storage stability after PPA incorporation was analyzed. Additionally, the basic physical properties, high-temperature stability, low-temperature crack resistance, fatigue performance, and compatibility of emulsified asphalt residue with varying PPA contents were compared and analyzed. Building upon this, the effects of PPA modification on the chemical composition and microstructure of emulsified asphalt residues were investigated using Fourier transform infrared spectroscopy (FTIR) and fluorescence microscopy (FM).
2. Materials and Methods
2.1. Materials
2.1.1. Matrix Asphalt
In this study, Shell 70# petroleum asphalt was used to prepare emulsified asphalt. The technical performance was evaluated based on the standard test methods for bitumen and bituminous mixtures in highway engineering (JTG E20-2011) [26], and the results are presented in Table 1.
Table 1.
Technical indexes of matrix asphalt.
2.1.2. PPA
In this study, industrial-grade PPA was used to modify emulsified asphalt, with an H3PO4 content of 115.8%, which is provide by JiangSu YunTong New Material Technology Co., Ltd., Nantong, China. The main technical indexes are presented in Table 2. PPA is an inorganic acid with corrosive properties. PPA reacts with water to form orthophosphoric acid, though its toxicity is relatively low. In this study, all modification procedures adhered strictly to chemical safety protocols.
Table 2.
Technical indexes of polyphosphoric acid.
2.1.3. Emulsifier and Other Additives
In this study, cetyltrimethylammonium bromide (CTAB), a cationic quaternary ammonium salt emulsifier provided by Zhiyuan Chemical Products, Tianjing, China, was used. The hydrophilic–lipophilic balance (HLB) value of this emulsifier is 15.8, close to that of asphalt, and it exhibits good chemical stability and emulsifying properties, making it ideal for asphalt interaction. Its main technical indexes are presented in Table 3. To facilitate the comparison of the effects of PPA content on emulsified asphalt, the emulsifier content in this study was standardized to 2% of the matrix asphalt’s mass.
Table 3.
Technical indexes of hexadecyl trimethyl ammonium bromide (CTAB).
Additionally, similar to the preparation of conventionally emulsified asphalt, this study used anhydrous calcium chloride (pH 8–10) as the stabilizer and a hydrochloric acid standard titration solution (1.0009 mol/L) as the pH regulator.
2.2. Preparation of PPA-Modified Emulsified Asphalt
The preparation of modified emulsified asphalt includes three processes: pre-modification emulsification, post-emulsification modification, and simultaneous modification and emulsification [28,29]. Previous studies have shown that emulsified asphalt modified before emulsification exhibits better uniformity and storage stability [30]. Therefore, in this study, the process of modification followed by emulsification was used to prepare PPA-modified emulsified asphalt, as shown in Figure 1. First, the predetermined amount of PPA was added to the matrix asphalt, which was preheated to 155 °C and stirred for 30 min at a mechanical stirring speed of 800 rpm. In addition, the predetermined amount of emulsifier CTAB, stabilizer, and pH regulator were added to the water at 60–65 °C, and the soap lye was formed by uniform mixing and maintained at around 65 °C. Finally, the soap lye and PPA-modified asphalt were sheared for 30 min at a shear speed of 4000 rpm. After stopping the shear, the PPA-modified emulsified asphalt was obtained by cooling it to room temperature. To simplify the expression, PPA-modified emulsified asphalt with PPA contents of 0%, 0.5%, 1.0%, 1.5%, and 2.0% are referred to as 0.0% PPA, 0.5% PPA, 1.0% PPA, 1.5% PPA, and 2.0% PPA, respectively.
Figure 1.
Preparation process of PPA-modified emulsified asphalt.
Figure 2 illustrates the technical approach used in this study. First, PPA-modified emulsified asphalt with varying PPA contents was prepared using the method outlined in Figure 1, and its storage stability was assessed. Next, the basic physical properties of the PPA-modified emulsified asphalt residues with different PPA contents were compared and analyzed through softening point, penetration, and ductility tests. Additionally, the high, medium, and low-temperature rheological properties of the PPA-modified emulsified asphalt residues were characterized based on the dynamic shear rheological test results. Simultaneously, the compatibility of PPA-modified emulsified asphalt was analyzed using frequency sweeping tests. Finally, the chemical composition and microstructure of the emulsified asphalt residues before and after PPA modification were compared and analyzed using FTIR and FM tests.
Figure 2.
Research content roadmap.
2.3. Methods
2.3.1. Emulsification Characteristic Test
The emulsifying properties of PPA-modified emulsified asphalt with varying ratios were evaluated based on 5-day storage stability and basic physical properties (penetration, softening point, and ductility) of the evaporation residues. The tests were conducted according to the standard test methods for bitumen and mixtures in highway engineering (JTG E20-2011) [26].
2.3.2. Dynamic Shear Rheological Test
The high-, medium-, and low-temperature rheological properties of different PPA-modified emulsified asphalt evaporation residues were analyzed using a dynamic shear rheometer, including multistress creep (MSCR) tests, temperature sweeping (TS) tests, linear amplitude sweeping (LAS) tests, and the 4 mm DSR test. Additionally, the compatibility of PPA-modified emulsified asphalt was analyzed using the frequency sweeping (FS) test. The specific parameters for the different DSR tests are provided in Table 4.
Table 4.
Test parameters of dynamic shear rheological tests.
2.3.3. Fourier Transform Infrared Spectroscopy Test
Fourier transform infrared spectra (FTIR) of the evaporation residue samples from different PPA-modified emulsified asphalts were obtained in a specific wavenumber range. The specific steps are as follows: The sample is placed on the ATR crystal of the FTIR, ensuring complete coverage of the crystal’s surface. A pressure clamp is then applied to uniformly compress the sample for testing. The test wavelength range is 650–4000 cm−1, with a resolution of 4 cm−1.
2.3.4. Fluorescence Microscope Test
The microstructure of various PPA-modified emulsified asphalts was observed using a fluorescence microscope (FM). The specific steps are as follows: PPA-modified emulsified asphalt is dropped onto a glass slide, covered with a cover glass, and placed in an oven at 163 °C for 1 min to allow even diffusion. The specimen is then removed from the oven and naturally cooled to room temperature. Finally, the microstructure of the PPA-modified emulsified asphalt was observed using a fluorescence microscope, and the particle size of the asphalt was analyzed.
3. Results and Discussion
3.1. Emulsification Characteristic Analysis
3.1.1. Effect of PPA on the Basic Physical Properties
The test results of basic physical properties (softening point, penetration, and ductility) of PPA-modified emulsified asphalt evaporation residue are shown in Figure 3. Compared to the unmodified sample, the addition of 0.5% PPA increases the penetration and ductility of emulsified asphalt, while decreasing the softening point. This trend differs from that observed in PPA-modified matrix asphalt [35]. The test results suggest that PPA interacts differently with matrix asphalt in the emulsified asphalt system, altering its modification effect. As the PPA content increased, the penetration and ductility of emulsified asphalt decreased, while the softening point increased, indicating improved high-temperature performance and reduced low-temperature performance. The possible reason is that PPA dissociates in emulsified asphalt into H2 and H+. The H+ ions then react with asphalt components, breaking asphaltene clusters and dispersing them into smaller asphaltene units [36]. Therefore, the effect of PPA on improving the high-temperature performance of emulsified asphalt becomes more apparent, while its low-temperature performance begins to decline. However, except for the 2.0% content, all the samples meet the specification requirement of being higher than 40 cm [37]. Notably, as the PPA content increases, the softening point of emulsified asphalt evaporation residue initially decreases and then increases, while the penetration and ductility first increase and then decrease. The cause of this nonlinear behavior requires further investigation.
Figure 3.
Basic properties of evaporative residue of PPA-modified emulsified asphalt ((a): Softening point, (b): Penetration, (c): Ductility).
3.1.2. Effect of PPA on the Storage Stability
Following the standardized procedure in Section 2.3.1, we quantitatively assessed the 5-day storage stability of PPA-modified asphalt emulsions. The results, shown in Figure 4, indicate that the storage stability of PPA-modified emulsified asphalt is poor. As the PPA content increases, the storage stability index shows an upward trend, suggesting that the storage stability of emulsified asphalt decreases with higher PPA content. The likely cause is that, during the standing process, the modified emulsified asphalt undergoes demulsification, leading to the aggregation of asphalt particles into a continuous phase. Additionally, the incorporation of PPA increases the viscosity of the continuous phase. Furthermore, the addition of PPA may reduce the adsorption of CTAB emulsifier molecules at the water–asphalt interface, leading to decreased storage stability of the emulsified asphalt [38]. As shown in Figure 4, as the PPA content increases, the color of the upper liquid in the emulsified asphalt after stratification gradually fades, while its pH value remains in the range of 2 to 3. This may be due to the hydration of PPA or its interaction with the emulsifier, though the exact mechanism requires further investigation.
Figure 4.
Storage stability of PPA-modified emulsified asphalt (5 days).
3.2. Rheological Properties of PPA-Modified Emulsified Asphalt
3.2.1. MSCR Analysis
The recovery rate (R0.1, R3.2) and nonrecoverable creep compliance (Jnr0.1, Jnr3.2) of PPA-modified emulsified asphalt evaporation residue were determined through the MSCR test at two stress levels: 0.1 kPa and 3.2 kPa. The results are shown in Figure 5. A higher recovery rate and smaller nonrecoverable creep compliance indicate better high-temperature stability of the asphalt. Figure 5 shows that, at stress levels of 0.1 kPa and 3.2 kPa, the nonrecoverable creep compliance of PPA-modified emulsified asphalt follows a similar overall trend. Additionally, it increases nonlinearly with increasing PPA content. Additionally, R0.1 increases significantly with increasing PPA content, indicating that PPA enhances the deformation recovery ability of emulsified asphalt under low-stress at high temperatures. The key difference is that, at a stress level of 3.2 kPa, R3.2 is highest and Jnr3.2 is lowest when the PPA content is 1.0%. This result indicates that PPA enhances the high-temperature stability of emulsified asphalt evaporation residue at high-stress levels, but its effectiveness depends on the PPA content. In summary, a higher PPA content generally enhances the deformation resistance of PPA-modified asphalt [39]. However, excessively low- or high-PPA content does not improve the deformation resistance of emulsified asphalt under high stress. Therefore, selecting an appropriate PPA content is crucial for optimizing the performance of PPA-modified emulsified asphalt.
Figure 5.
R and Jnr of different PPA-modified emulsified asphalt ((a): 0.1 kPa, (b): 3.2 kPa).
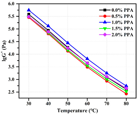
3.2.2. Temperature Sweep Analysis
Asphalt, as a typical viscoelastic material, exhibits significant temperature-dependent mechanical behavior. The complex shear modulus (G*) from the temperature sweeping test effectively reflects the viscoelastic properties of emulsified asphalt. A higher G* indicates a larger elastic component and improved resistance to high-temperature deformation [40]. Figure 6 presents the temperature sweeping test results of emulsified asphalt modified with different PPA contents. Overall, as the temperature increases, the G* of the PPA-modified emulsified asphalt evaporation residue decreases significantly. Notably, under the same temperature conditions, G* exhibits a nonlinear trend as PPA content increases. Compared to 0.0% PPA, the G* of emulsified asphalt decreased after adding 0.5% PPA. Subsequently, G* first increased and then decreased as PPA content increased. When the PPA content is 1.0%, the G* of PPA-modified emulsified asphalt evaporation residue reaches its maximum. The test results show that 1.0% PPA-modified emulsified asphalt consistently exhibits better high-temperature deformation resistance, in line with the conclusion in Section 3.2.1.
Figure 6.
Complex shear modulus of different PPA-modified emulsified asphalt.
To further compare the temperature sensitivity of different PPA-modified emulsified asphalts, the G* of modified emulsified asphalt with varying PPA content was fitted based on the temperature sweeping results using Equation (1). Here, T represents the test temperature, while k and b are the slope and intercept of the linear fit, respectively. The absolute value of the slope |K| obtained from the fitting represents the temperature coefficient of emulsified asphalt, as shown in Figure 7. The smaller the |K| value, the less the influence of temperature change on modified emulsified asphalt [41]. As shown in Figure 7, with increasing PPA content, the |K| value first increases and then decreases, indicating that the temperature sensitivity of emulsified asphalt evaporation residue decreases first and then increases. When the PPA content reaches 1.5%, the temperature sensitivity of PPA-modified emulsified asphalt is lower than that of the 0.0% PPA.
Figure 7.
Temperature sensitivity coefficient |K| of different PPA-modified emulsified asphalt.
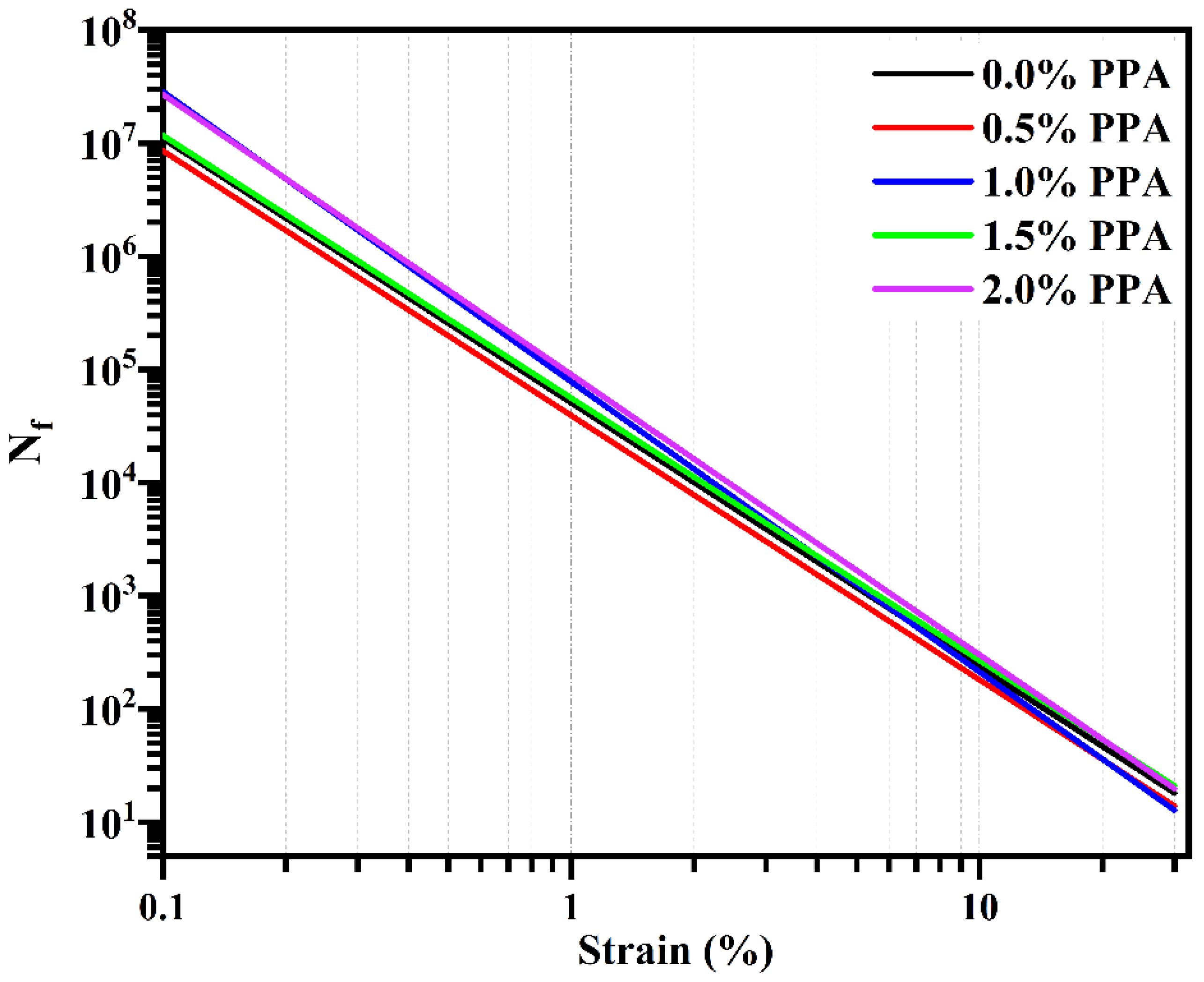
3.2.3. Fatigue Characteristic Analysis
Applying viscoelastic continuum damage (VECD) theory to linear amplitude sweep (LAS) test data [42], the fatigue damage parameters of different PPA-modified emulsified asphalt evaporation residues are obtained, as shown in Table 5. The A value represents the variation in material integrity due to accumulated damage [43], while the B value reflects the sensitivity of fatigue life (Nf) to loading strain [43]. A higher A value indicates that the material exhibits greater fatigue life under low strain, while a higher B value means that the Nf of the material decreases more rapidly with increasing strain. Additionally, Df represents the damage parameter when the material is approaching fatigue failure, i.e., the fatigue failure point. A larger Df indicates that the material can withstand more cumulative damage before failure occurs [33]. Cpeak represents the material integrity at the peak [33], while Stressmax denotes the peak stress.
Table 5.
Fatigue parameters of VECD analysis.
Table 5 shows that the A value of 0.5% PPA-modified emulsified asphalt is lower than that of the unmodified asphalt, while the B value remains relatively unchanged. This suggests that the addition of PPA reduces the fatigue resistance of emulsified asphalt but has no significant effect on its stress sensitivity. In contrast, the A value of 1.0%, 1.5%, and 2.0% is higher than that of the unmodified asphalt, with the A values of 1.0% and 2.0% showing more significant increases. However, this is accompanied by higher B values. This indicates that, when the PPA content reaches 1.0%, PPA modification enhances the fatigue resistance of emulsified asphalt but also increases its strain sensitivity. The results of Df and Cpeak also demonstrate that, as PPA content increases, the anti-fatigue performance of emulsified asphalt evaporation residue changes nonlinearly. Based on the parameters in Table 5, the fatigue life (Nf) of different PPA-modified emulsified asphalts was calculated, and the results are shown in Figure 8. In summary, PPA content is a key factor influencing the fatigue life of emulsified asphalt. When the PPA content is low (0.5%), the fatigue performance of PPA-modified emulsified asphalt decreases. When the PPA content reaches 1.0%, its incorporation effectively enhances the fatigue resistance of emulsified asphalt.
Figure 8.
Nf of different PPA-modified emulsified asphalt.
3.2.4. 4 mm DSR Analysis
In this study, a 4 mm DSR test was used to evaluate the low-temperature rheological properties of PPA-modified emulsified asphalt evaporation residue.
The master curve of relaxation modulus (Figure A1) is fitted, and G(60s) and mr(60s) are calculated using Equations (2) and (3), respectively. These values can then be used to quantitatively evaluate the low-temperature performance of PPA-modified emulsified asphalt evaporation residue. The better the low-temperature performance of asphalt, the smaller the absolute value of G(60s) and the larger the absolute value of mr(60s).
Figure 9 presents the relaxation modulus G(60s) and relaxation rate index mr(60s) for evaporation residues across PPA concentrations (0–2.0 wt%). The results shown in Figure 9(b) indicate that the incorporation of PPA increases the absolute value of the relaxation rate index mr(60s) to varying degrees, allowing PPA-modified emulsified asphalt to more effectively disperse temperature stress. Overall, PPA modification helps improve the low-temperature performance of emulsified asphalt.
Figure 9.
Low-temperature properties index of PPA-modified emulsified asphalt ((a): G(60s), (b): mr(60s)).
3.3. Compatibilization Analysis
Optimum compatibility component is essential to ensuring the effective modification of emulsified asphalt by PPA. The Cole–Cole plots is an effective method for evaluating the compatibility of the modified asphalt system. In the complex viscosity (η*), the real part (η′) is plotted on the x-axis, and the imaginary part (η″) is plotted on the y-axis. A semi-circular or parabolic curve indicates better compatibility of the asphalt [44,45,46]. Additionally, when the curve predominantly lies on the left side of the parabolic peak, the asphalt exhibits more elastic properties. When the curve is predominantly on the right side of the parabolic peak, the asphalt demonstrates more viscous properties [46]. The Cole–Cole diagram of PPA-modified emulsified asphalt under different temperature conditions is shown in Figure 10. At 40 °C, the curves of the five types of emulsified asphalt are semi-arc, indicating good compatibility. The curves for 1.0% and 2.0% PPA-modified emulsified asphalt are primarily located on the left side of the parabola, indicating greater elasticity, while the other three types of emulsified asphalt exhibit symmetrical semi-arcs, suggesting good viscoelasticity. At 50 °C, the curve for 1.0% PPA is semi-circular, indicating the best compatibility. In contrast, 0.0% and 2.0% PPA exhibit a trailing shape, suggesting poor compatibility. For 0.5% and 1.5% PPA, the curves are primarily located on the right side of the parabola, indicating greater viscosity. As the temperature increases further, all samples, except for 1.0% PPA, deviate more from the arc shape, with the data becoming increasingly scattered. In summary, both temperature increase and dosage variation significantly affect the compatibility of emulsified asphalt. Overall, as the PPA content increases, the compatibility of PPA-modified emulsified asphalt first improves and then declines. The compatibility of PPA-modified emulsified asphalt is optimal when the PPA content is 1.0%.
Figure 10.
Cole–Cole diagram of PPA-modified emulsified asphalt ((a): 40 °C, (b): 50 °C, (c): 60 °C, (d): 70 °C, (e): 80 °C).
3.4. Analysis of Variance
To further analyze the impact of PPA content on the properties of PPA-modified emulsified asphalt, variance analysis (ANOVA) at a 95% confidence level was performed using IBM SPSS (22.0) software, with PPA content as the variable. The results are presented in Table 6. Table 6 shows that the p-values for Jnr3.2, G(60s), ductility, and 5-day storage stability are all less than 0.05, indicating that PPA content significantly affects the high-temperature, low-temperature, and storage stability properties of emulsified asphalt.
Table 6.
The results of variance analysis of PPA content on various indexes.
3.5. Micro-Analysis of PPA-Modified Emulsified Asphalt
3.5.1. FTIR Analysis
Figure 11 shows the FTIR test results for different PPA-modified emulsified asphalt evaporation residues. The PPA-modified emulsified asphalt exhibits a distinct absorption peak in the range of 2800~3000 cm−1, likely attributed to the C-H vibrations of cycloalkanes and alkanes. The absorption peaks at 2930 cm−1 and 2860 cm−1 are attributed to the antisymmetric and symmetric stretching vibrations of -CH2, while the absorption peaks in the range of 1300~1500 cm−1 correspond to the angular vibrations of -CH3. In addition, the frequency of the asymmetric angular vibration of PPA-modified emulsified asphalt falls within the range of 1454~1465 cm−1, while the frequency of the symmetric angular vibration is around 1380 cm−1. The absorption peak at 1611 cm−1 is primarily attributed to the stretching vibration of the C=C double bond in PPA-modified emulsified asphalt, with its absorption intensity higher than that of the unmodified emulsified asphalt at this peak.
Figure 11.
Infrared spectrum of PPA-modified emulsified asphalt.
The macroscopic property test results reveal a significant difference in the modification effects of PPA on emulsified asphalt compared to matrix asphalt. Notably, the cationic emulsified asphalt soap has an acidic pH, which facilitates the hydrolysis of PPA into orthophosphate. This reaction process is illustrated in Equation (4) [47].
To further investigate the potential reactions of PPA in the emulsified asphalt system, this study compared the FTIR spectra of 1.0% PPA-modified matrix asphalt and 1.0% PPA-modified emulsified asphalt. The results are presented in Figure 12. Overall, the absorption peaks of the two samples exhibit significant differences in the fingerprint region (400~1330 cm−1). Compared to PPA-modified asphalt, PPA-modified emulsified asphalt exhibits a new absorption peak at 1066 cm−1, likely attributed to the antisymmetric stretching vibration of PO4 in following PPA hydrolysis. Therefore, it is hypothesized that PPA undergoes distinct chemical reactions in the emulsified asphalt system compared to the matrix asphalt, leading to significant differences in their modification effects.
Figure 12.
Infrared spectrum of 1.0% PPA-modified emulsified asphalt and 1.0% PPA-modified asphalt.
3.5.2. Fluorescent Microscope Analysis
Using fluorescence microscopy (FM), images of various PPA-modified emulsified asphalt samples were captured at 400× magnification, as shown in Figure 13. The particle size of asphalt particles was analyzed using ImageJ (Fiji) with JAVA8 software, and the results are presented in Figure 14. Compared to unmodified emulsified asphalt, the incorporation of varying PPA amounts significantly altered the microstructure of the modified emulsified asphalt. As the PPA content increases, the particle size of asphalt particles first decreases and then increases. The emulsified asphalt system exhibited the best compatibility and the smallest particle size at 1.0% PPA. Specifically, compared to 0.0% PPA, the asphalt particle sizes for 1.0% PPA and 1.5% PPA were 7.289 μm and 7.355 μm, respectively. In contrast, the asphalt particle distribution in 1.0% PPA is more uniform. When the PPA content reaches 2.0%, the asphalt particles in the modified emulsified asphalt exhibit significant agglomeration, resulting in larger particle sizes and a more discrete distribution. In conclusion, when the PPA content is no higher than 1.5%, PPA promotes uniform dispersion of asphalt particles, significantly reducing their size. However, excessive PPA content may destabilize the emulsifier, causing uneven dispersion or even aggregation of the asphalt particles during emulsification.
Figure 13.
Fluorescence micrographs of different PPA-modified emulsified asphalts.
Figure 14.
Asphalt particle size of PPA-modified emulsified asphalt.
4. Discussion
This study systematically investigated the feasibility of using polyphosphoric acid (PPA) to modify emulsified asphalt, focusing on its emulsification characteristics, rheological behavior, compatibility, and modification mechanism. Based on the experimental results, the main conclusions are as follows:
- As the PPA dosage increased, the softening point of evaporation residues from modified emulsified asphalt initially decreased and subsequently increased, whereas penetration and ductility exhibited an initial increase followed by a decrease. Additionally, incorporating PPA can reduce the storage stability of emulsified asphalt.
- PPA modification can improve the high-temperature stability of evaporation residues from emulsified asphalt, though the extent of improvement depends on the PPA dosage. The optimal high-temperature stability was achieved with a PPA dosage of 1.0%. Additionally, the temperature sensitivity of evaporation residues first decreased and then increased as the PPA content rose. When the dosage is 1.0% or more, PPA-modified emulsified asphalt shows better temperature sensitivity than unmodified emulsified asphalt.
- At a low PPA dosage (0.5%), the fatigue performance of emulsified asphalt decreased after modification. However, when the PPA content reached 1.0%, incorporation of PPA effectively enhanced fatigue resistance. Moreover, PPA enhanced low-temperature performance of evaporation residues, particularly when added at an appropriate dosage (e.g., 0.5%) where its effect is especially pronounced.
- The compatibility of PPA-modified emulsified asphalt initially increased and subsequently decreased as the PPA dosage increased. The optimal compatibility was observed at a PPA dosage of 1.0%.
- Hydrolysis of PPA in the emulsion system altered its chemical structure, resulting in a modification mechanism distinct from that in base asphalt. At a PPA dosage of 1.0%, asphalt particles exhibited a more uniform distribution. However, excessive PPA dosage (e.g., 2.0%) led to significant aggregation of asphalt particles, resulting in larger particle sizes and greater dispersion.
Despite these insights, this study has certain limitations. The long-term aging behavior and field performance of PPA-modified emulsified asphalt require additional validation through future studies. Additionally, further investigation into the interaction mechanisms between PPA and emulsifiers is required to optimize storage stability and elucidate the specific reasons for the nonlinear responses observed with varying PPA dosages.
Author Contributions
Conceptualization, X.L. (Xiang Liu); methodology, S.P. and X.L. (Xiang Liu); validation, S.P., X.L. (Xiang Liu) and J.Y.; formal analysis, S.P. and J.Y.; investigation, S.P., X.L. (Xiaolong Li) and J.J.; resources, X.L. (Xiang Liu), X.L. (Xiaolong Li) and J.J.; data curation, S.P.; writing—original draft preparation, S.P. and X.L. (Xiang Liu); writing—review and editing, X.L. (Xiaolong Li), J.J. and J.Y.; visualization, S.P. and X.L. (Xiang Liu); supervision, X.L. (Xiang Liu), X.L. (Xiaolong Li) and J.J.; funding acquisition, X.L. (Xiang Liu), X.L. (Xiaolong Li) and J.J. All authors have read and agreed to the published version of the manuscript.
Funding
This research was funded by Yunnan Fundamental Research Projects, grant number 202301AU070065, the Scientific Research Foundation of Education Department of Yunnan Province, grant number 2023J0132, Yunnan Provincial Department of Transportation Technology Innovation and Demonstration Project grant number 2022-73, the Fundamental Research Funds for the Central Universities grant number 30010221351, and the Analysis and Measurement Fund of Kunming University of Science and Technology grant number 2023M20212206036 and 2023M20222206062.
Institutional Review Board Statement
Not applicable.
Informed Consent Statement
Not applicable.
Data Availability Statement
Data will be made available on request.
Acknowledgments
We would like to thank Yunnan Science & Technology Research Institute of Highway for providing some of the test instruments.
Conflicts of Interest
The authors declare no conflicts of interest.
Abbreviations
The following abbreviations are used in this manuscript:
| PPA | Polyphosphoric acid |
| FTIR | Fourier transform infrared spectroscopy |
| FM | Fluorescence microscopy |
| SBR | Styrene–butadiene rubber |
| WER | Waterborne epoxy resin |
| SBS | Styrene–butadiene rubber |
| GPC | Gel permeation chromatography |
| CTAB | Hexadecyl trimethyl ammonium bromide |
| MSCR | Multistress creep test |
| LAS | Linear amplitude sweeping test |
| TS | Temperature sweeping test |
| FS | Frequency sweeping test |
| 4mmDSR | Frequency sweeping test in low temperature |
| DSR | Dynamic shear rheological test |
| ATR | Attenuated total reflection |
| R | recovery rate |
| Jnr | nonrecoverable creep compliance |
| G* | complex shear modulus |
| VECD | viscoelastic continuous damage theory |
| Nf | fatigue life |
| G′(ω) | low-temperature storage modulus |
| G(t) | relaxation modulus |
| G(60s) | |
| mr(60s) | |
| η* | complex viscosity |
| η′ | real part |
| η″ | imaginary part |
| ANOVA | variance analysis |
Appendix A
Figure A1.
Master curve of different PPA-modified emulsified asphalt ((a): Storage modulus G′(ω), (b): Relaxation modulus G(t)).
Figure A1.
Master curve of different PPA-modified emulsified asphalt ((a): Storage modulus G′(ω), (b): Relaxation modulus G(t)).

References
- Meng, Y.; Chen, J.; Kong, W.; Hu, Y. Review of emulsified asphalt modification mechanisms and performance influencing factors. J. Road Eng. 2023, 3, 141–155. [Google Scholar]
- Wu, J.; Zhang, Y.-X.; Zhang, C.-S. Research of In-situ Polymerization and Core-shell Structure Modified Emulsified Asphalt. In Proceedings of the International Conference on Green Building, Materials and Civil Engineering (GBMCE 2011), Shangri La, China, 22–23 August 2011; pp. 928–931. [Google Scholar]
- Hu, Z. Asphalt EMULSION and Slurry Surfacing; China Communication Press: Beijing, China, 2001. [Google Scholar]
- Zhang, S. Study on the Performance of High Viscosity Emulsified Asphalt Cold Recycled Mixture. Master’s Thesis, Chongqing Jiaotong University, Chongqing, China, 2024. [Google Scholar]
- Abedini, M.; Hassani, A.; Kaymanesh, M.R.; Yousefi, A.A. The rheological properties of a bitumen emulsion modified with two types of SBR latex. Pet. Sci. Technol. 2016, 34, 1589–1594. [Google Scholar] [CrossRef]
- Zhang, Q.; Fan, W.; Wang, T.; Nan, G. Studies on the temperature performance of SBR modified asphalt emulsion. In Proceedings of the 2011 International Conference on Electric Technology and Civil Engineering (ICETCE), Lushan, China, 22–24 April 2011; pp. 730–733. [Google Scholar]
- Cong, Y.; Liao, K.; Huang, W.; Zhai, Y. Performance of SBR-Modified Asphalt. Pet. Sci. Technol. 2006, 24, 1187–1194. [Google Scholar] [CrossRef]
- Zhang, F.; Yu, J. The research for high-performance SBR compound modified asphalt. Constr. Build. Mater. 2010, 24, 410–418. [Google Scholar] [CrossRef]
- Zhao, X. Research on Application of Cold In-Place Recycled Technology with Modified Emulsified Asphalt in Middle Surface Layer of Highway. Master’s Thesis, Southeast University, Nanjing, China, 2020. [Google Scholar]
- Xiang, Q.; Xiao, F. Applications of epoxy materials in pavement engineering. Constr. Build. Mater. 2020, 235, 117529. [Google Scholar] [CrossRef]
- He, L.; Hou, Y.; Yang, F. Study of the Properties of Waterborne Epoxy Resin Emulsified Asphalt and Its Modification Mechanism. J. Mater. Civ. Eng 2023, 35, 14627. [Google Scholar] [CrossRef]
- Wang, P.; Tian, X.; Zhang, R.; Zhen, S. Effect of Waterborne Epoxy Resin on Properties of Modified Emulsified Asphalt and Its Microstructure. J. Mater. Civ. Eng. 2021, 33, 0003793. [Google Scholar] [CrossRef]
- Wang, H.; Wang, Z.; Wang, C.; She, Y. Investigation on Storage Stability of SBS Modified Asphalt Emulsion. Acta Pet. Sin. Pet. Process. Sect. 2013, 29, 1009–1014. [Google Scholar] [CrossRef]
- Wang, H.; Li, C.; Xu, G.; Zhou, Y.; Wang, R. Study of High-Temperature Rheological Properties of Emulsified Asphalt Residues. Coatings 2024, 14, 522. [Google Scholar] [CrossRef]
- Lei, L.; Gao, Y.; Zhang, X.; Cao, J.; Wang, X.; Zhao, X. Rheological mechanism and adhesion properties of SBS latex modified emulsified asphalt. J. Taiyuan Univ. Technol. 2024, 1–12. [Google Scholar]
- Wei, J.; Shi, S.; Zhou, Y.; Li, P.; Chen, Z.; Guan, Y. Rheological property of polyphosphoric acid modified asphalt. J. Traffic Transp. Eng. Engl. Ed. 2019, 19, 14–26. [Google Scholar] [CrossRef]
- Baldino, N.; Gabriele, D.; Lupi, F.R.; Rossi, C.O.; Caputo, P.; Falvo, T. Rheological effects on bitumen of polyphosphoric acid (PPA) addition. Constr. Build. Mater. 2013, 40, 397–404. [Google Scholar] [CrossRef]
- Edwards, Y.; Tasdemir, Y.; Isacsson, U. Rheological effects of commercial waxes and polyphosphoric acid in bitumen 160/220—Low temperature performance. Fuel 2006, 85, 989–997. [Google Scholar]
- Wang, L.; Pei, K.; Li, C. Analysis of Chemical Modification Mechanism and Rheological Properties of Polyphosphoric Acid Modified Asphalt. J. Wuhan Univ. Technol.-Mater. Sci. Ed. 2022, 37, 876–884. [Google Scholar] [CrossRef]
- Aflaki, S.; Hajikarimi, P.; Fini, E.H.; Zada, B. Comparing Effects of Biobinder with Other Asphalt Modifiers on Low-Temperature Characteristics of Asphalt. J. Mater. Civ. Eng. 2014, 26, 429–439. [Google Scholar] [CrossRef]
- Sarnowski, M. Rheological properties of road bitumen binders modified with SBS polymer and polyphosphoric acid. RaBDiM 2015, 14, 47–65. [Google Scholar] [CrossRef]
- Baumgardner, G.L. Why and How of Polyphosphoric Acid Modification: An Industry Perspective. In Proceedings of the Asphalt Paving Technology, Sacramento, CA, USA, 7–10 March 2010; pp. 663–678. [Google Scholar]
- Dourado, E.R.; Pizzorno, B.S.; Motta, L.M.G.; Simao, R.A.; Leite, L.F.M. Analysis of asphaltic binders modified with PPA by surface techniques. J. Microsc. 2014, 254, 122–128. [Google Scholar] [CrossRef]
- Xu, Y.; Niu, K.; Zhu, H.; Chen, R.; Ou, L. Evaluating the Effects of Polyphosphoric Acid (PPA) on the Anti-Ultraviolet Aging Properties of SBR-Modified Asphalt. Materials 2023, 16, 2784. [Google Scholar] [CrossRef]
- Wu, S.; Zhang, Y.; Li, C.; Chen, H.; Zhang, H.; Kuang, D. Preparation and performance evaluation of SBS/PPA composite modified emulsified asphalt. Appl. Chem. Ind. 2020, 49, 1438–1442. [Google Scholar] [CrossRef]
- JTG E20-2011E; Standard Test Methods of Bitumen and Bituminous Mixtures for Highway Engineering. China Communication Press: Beijing, China, 2011.
- GB25592-2010; National Standard of Food Additives and Aluminum Ammonium Sulfate for Food Safety. National Health Commission of the PRC: Beijing, China, 2010.
- Fang, Y. Analysis on Permeability of High Permeability Layer-Penetration Oil Influencing Factors. Appl. Mech. Mater. 2014, 580–583, 2524–2527. [Google Scholar]
- Tang, Y. Study on the Preparation and Properties of High-performance Prime Coat and Tack Coat Materials. Master’s Thesis, Zhengzhou University, Zhengzhou, China, 2021. [Google Scholar]
- Han, Y. Study on the Raveling Resistance of Thin Friction Course (TFC) Based on the Modified Asphalt Emulsion. Master’s Thesis, Southeast University, Nanjing, China, 2019. [Google Scholar]
- ASTM-D7405; Standard Test Method for Multiple Stress Creep Recovery Test (MSCR) of Asphalt Binder Using Dynamic Shear Rheometer. ASTM: West Conshohocken, PE, USA, 2020.
- ASTM-D7175; Standard Test Method for Determining the Rheological Properties of Asphalt Binder Using a Dynamic Shear Rheometer. ASTM: West Conshohocken, PE, USA, 2015.
- TP 101-14; Standard Method of Test for Estimating Damage Tolerance of Asphalt Binders Using the Linear Amplitude Sweep. American Association of State Highway and Transportation Officials: Washington, DC, USA, 2014.
- Sui, C.; Farrar, M.; Tuminello, W.H.; Turner, T. New Technique for Measuring Low-Temperature Properties of Asphalt Binders with Small Amounts of Material. Proc. Transp. Res. Rec. J. Transp. Res. Board 2010, 2179, 23–28. [Google Scholar] [CrossRef]
- Zhang, H.; Shi, C.; Yu, J.; Shen, J. Modification and Its Mechanism of Different Asphalts by Polyphosphorie Acid. J. Build. Mater. 2013, 16, 255–260. [Google Scholar]
- Liu, G.; Yang, X.; Zhu, X.; Rong, H. Characterising the modifying efficiency of polyphosphoric acid to bitumens with different oil sources. Int. J. Pavement Eng. 2024, 25, 2308170. [Google Scholar] [CrossRef]
- Qian, C.; Fan, W.; Yang, G.; Han, L.; Xing, B.; Lv, X. Influence of crumb rubber particle size and SBS structure on properties of CR/SBS composite modified asphalt. Constr. Build. Mater. 2020, 235, 117517. [Google Scholar] [CrossRef]
- Li, H.P.; Zhao, H.; Liao, K.J.; Li, Y.G.; Li, X.Q. A Study on the Preparation and Storage Stability of Modified Emulsified Asphalt. Pet. Sci. Technol. 2012, 30, 699–708. [Google Scholar] [CrossRef]
- Jiang, S.; Jiang, X.; Li, H.; Ding, Z.; Li, P.; Zhou, M. Experimental Study on Creep–Recovery Behavior of Polyphosphoric Acid (PPA) Modified Asphalt Binders under Multiple Factors. Materials 2023, 16, 2740. [Google Scholar] [CrossRef] [PubMed]
- Liu, B.; Lyu, D.; Zhang, Z.; Chen, J. Differentiation Analysis of Viscoelastic Properties of High-ViscosityModified Asphalt at High Temperature. J. Build. Mater. 2020, 23, 692–699. [Google Scholar]
- Cai, Z. Temperature Sensitivity Evaluation of PPA Modified Asphalt. Highw. Eng. 2017, 42, 111–114. [Google Scholar]
- Kim, Y.R.; Little, D.N. Development of Specification-Type Tests to Assess the Impact of Fine Aggregate and Mineral Filler on Fatigue Damage; 0-1707-10; Texas Transportation Institute: Bryan, TX, USA, 2005. [Google Scholar]
- Johnson, C.M. Estimating Asphalt Binder Fatigue Resistance Using an Accelerated Test Method. Ph.D. Thesis, The University of Wisconsin, Madison, WI, USA, 2010. [Google Scholar]
- Liang, M.; Liang, P.; Fan, W.; Qian, C.; Nan, G. Thermo-rheological behavior and compatibility of modified asphalt with various styrene-butadiene structures in SBS copolymers. Mater. Des. 2015, 88, 177–185. [Google Scholar] [CrossRef]
- Dong, F.; Yu, X.; Liu, S.; Wei, J. Rheological behaviors and microstructure of SBS/CR composite modified hard asphalt. Constr. Build. Mater. 2016, 115, 285–293. [Google Scholar] [CrossRef]
- Kumar, A.; Choudhary, R.; Kumar, A. Storage Stability of Waste Tire Pyrolytic Char–Modified Asphalt Binders: Rheological and Chemical Characterization. J. Mater. Civ. Eng. 2022, 34, 0004129. [Google Scholar] [CrossRef]
- Corbridge, D.E.C. Phosphorus. An Outline of its Chemistry, Biochemistry and Technology; Elsevier Science Publishers: Amsterdam, The Netherlands, 1985. [Google Scholar] [CrossRef]
Disclaimer/Publisher’s Note: The statements, opinions and data contained in all publications are solely those of the individual author(s) and contributor(s) and not of MDPI and/or the editor(s). MDPI and/or the editor(s) disclaim responsibility for any injury to people or property resulting from any ideas, methods, instructions or products referred to in the content. |
© 2025 by the authors. Licensee MDPI, Basel, Switzerland. This article is an open access article distributed under the terms and conditions of the Creative Commons Attribution (CC BY) license (https://creativecommons.org/licenses/by/4.0/).













