Next Article in Journal
Mechanical and Lubrication Properties of Double Network Ion Gels Obtained by a One-Step Process
Next Article in Special Issue
Reducing Compaction Temperature of Asphalt Mixtures by GNP Modification and Aggregate Packing Optimization
Previous Article in Journal
Recent Advancements in the Fabrication of Functional Nanoporous Materials and Their Biomedical Applications
Previous Article in Special Issue
Development of Water Retentive and Thermal Resistant Cement Concrete and Cooling Effects Evaluation
 
 
Font Type:
Arial Georgia Verdana
Font Size:
Aa Aa Aa
Line Spacing:
Column Width:
Background:
Article

Research on Performance of SBS-PPA and SBR-PPA Compound Modified Asphalts

1
School of Traffic and Transportation Engineering, Changsha University of Science and Technology, Changsha 410004, China
2
Henan Railway Construction & Investment Group Co., Ltd., Zhengzhou 450018, China
3
National Engineering Laboratory of Highway Maintenance Technology, Changsha University of Science and Technology, Changsha 410004, China
*
Author to whom correspondence should be addressed.
Materials 2022, 15(6), 2112; https://doi.org/10.3390/ma15062112
Submission received: 4 January 2022 / Revised: 6 March 2022 / Accepted: 9 March 2022 / Published: 13 March 2022

Abstract

:
Although several studies indicated that the addition of Styrene-Butadiene-Styrene (SBS) and Styrene-Butadiene Rubber (SBR) bring a lot of benefits on properties of asphalt binders, high production costs and poor storage stability confine the manufacture of better modified asphalt. To reduce the production costs, polyphosphoric acid (PPA) was applied to prepare better compound modified asphalt binders. In this research, five PPA (0.5%, 0.75%, 1.0%, 1.25% and 1.5%) and two SBR/SBS (4% and 6%) concentrations were selected. Dynamic shear rheometer (DSR) and Bending Beam Rheometer (BBR) tests were performed to evaluate the rheological properties of the compound modified asphalt. Rolling Thin Film Oven (RTFO) test was performed to evaluate the aging properties of the compound modified asphalts. The results indicate that SBS/SBR modified asphalts with the addition of PPA show better high-temperature properties significantly, the ability of asphalt to resist rutting is improved, and the elastic recovery is increased. However, the low-temperature properties of the compound modified asphalts are degraded by increasing the creep stiffness (S) and decreasing the creep rate (m). At the same time, RTFO tests results show that PPA was less prone to oxidation to improve the anti-aging ability of modified asphalts. Overall, the combination of 4% SBS and 0.75–1.0% PPA, the combination of 4% SBR and 0.5–0.75% PPA is recommended based on a comprehensive analysis of the performance of compound modified asphalt, respectively, which can be equivalent to 6% SBS/SBR modified asphalt with high-temperature properties, low-temperature properties, temperature sensitivity and aging properties.

1. Introduction

Bituminous pavement has become the main highway pavement structure due to its characteristics of good smoothness, low noise, safe driving and ease of mechanized construction. With growing traffic volumes and various natural environments, a variety of pavement stresses such as ruts, cracks and water damage have emerged [1,2,3]. Many researchers came to the conclusion that it is needed modified asphalt binders to resist against distresses and improve the performance and longevity of bituminous pavement [4,5,6,7].
In recent years, the most commonly used asphalt modifiers are polymers such as styrene-butadiene-styrene (SBS), styrene-butadiene rubber (SBR), crumb rubber (CR) and polyethylene (PE). Among polymers, SBS polymer modification could be the most accepted and wide application all over the world. Many studies showed that the addition of SBS to the asphalt increases the softening point, decreases the penetration slightly, lessens the thermal susceptibility, increases the viscosity and decreases the Frass breaking point [8]. However, the SBS polymer is not chemically stable and vulnerable to aging due to a number of unsaturated double carbon bonds inside SBS molecular [9]. Meanwhile, SBR is a kind of synthetic rubber that can improve the elastic recovery and low-temperature ductility of asphalt binders. Furthermore, it could apply as a modifier along with other modifiers to produce compound modified binders [10]. According to Zhang and Yu, their results indicated that the addition of SBR could improve the thermal cracking resistance of the Polyphosphoric acid (PPA) modified binders [11]. However, the limited effect of SBR on asphalt high temperature performance makes it difficult to meet the demand for applying in hot areas. In addition, the great discrepancy in structure and solubility parameter between SBR and asphalt leads to potential instability for blends [12].
Polyphosphoric acid (PPA) is a polymer of orthophosphoric acid (H3PO4) which can be used alone and also with a combination of other additives in the modification of neat binders [4,13]. Past experience has shown PPA increases the high temperature stiffness of an asphalt binders with only minor effects on the intermediate and low temperature properties [14]. One of the first patents involved adding PPA to the asphalt binders to increase viscosity without increasing the penetration for asphalt modification was in 1973 [13]. Nunez et al. Their indicated that the addition of PPA into asphalt could increase its fatigue and rutting resistance [15]. Ho et al. studied the temperature sensitivity of PPA modified asphalt with different contents. The results showed that PPA has little effect on the low-temperature properties of asphalt [16]. Zhou Yan et al. evaluated the influence of PPA on the low-temperature properties of asphalt through 5 °C ductility test and beam bending creep test, and these results demonstrated that the modification effect of PPA on the low-temperature properties of asphalt was affected by the chemical composition of asphalt [17]. Ramasamy, B.S. et al. compared the rheological properties and aging properties of polymer modified asphalt and neat asphalt, their results showed that PPA can significantly improve the stiffness modulus and aging resistance of asphalt [18]. Based on the low price of PPA, the utilization of PPA to make SBR-modified binders of lower amount of SBR percentage. Peng Liang et al. comprehensively analyzed the influence of PPA on the rheological properties of SBR modified asphalt at high and low temperatures. The outcomes revealed that the gelation of PPA can improve the bonding between asphalts and enhance their elastic properties [12]. According to John D’Angelo, the multistress creep and recovery test were conducted to evaluate the interaction of PPA and polymer modification. The testing demonstrated that there is an interaction between PPA and SBS polymers which improved the high-temperature stiffness of the SBS-PPA compound modified asphalt [13]. Darrell Fee et al. studied the rheological properties of PPA compound SBS modified asphalt at low and high temperatures. The results showed that the performance was not obvious at low temperatures [19]. In a word, researchers have reached a relatively unified understanding of the high-temperature properties of PPA modified asphalt.
Considering the characteristics of PPA, SBS and SBR modified asphalt binders, the primary objective of this study is to investigate partially replacing SBS/SBR with PPA as asphalt modifiers, which can not only achieve lower cost, but also show better performances such as rutting resistance, high-temperature properties and anti-aging. To achieve the objective, the specific work is to investigate the effects of different PPA content on high-temperature properties, low-temperature properties, temperature sensitivity and aging properties of SBS/SBR modified asphalt binders using Dynamic Shear Rheometer (DSR), Bending Beam Rheometer (BBR) and Rolling Thin Film Oven (RTFO) testing.

2. Materials and Methods

2.1. Materials

2.1.1. Asphalt

In order to analyze the effect of PPA on the properties of different neat asphalt, two types of neat asphalt widely used in China were selected in this study: DH-70# produced by SINOPEC (Beijing, China) and LH-90# produced by Liaohe Petrochemical Asphalt Corporation (Panjin, China) (the number represents the penetration grade). The asphalt technical indexes were tested according to the relevant test methods in the “Standard Test Methods of Bitumen and Bituminous Mixtures for Highway Engineering” (JTG E20-2011).The results are listed in Table 1.

2.1.2. PPA

The 110% PPA (PPA-110) was produced by Nanjing Chemical Reagent Corporation (Nanjing, China) and was selected for the preparation of modified asphalt.

2.1.3. Polymer Modifier

Two types of polymer modifiers were selected: SBS1401(YH-792, linear) produced by SINOPEC (Beijing, China) and SBR produced by Beijing Yudahang Industry and Trade Corporation (Beijng, China). The basic technical indexes are listed in Table 2.

2.1.4. Schemes of Modified Asphalt with PPA and SBS/SBR Compound Ratio

The SBS/SBR content (by weight of neat asphalt) of SBS/SBR modified asphalt is usually 3–6%, and the PPA content of polymer modified asphalt is generally 0.5–1.5% [20,21]. Different contents of SBS/SBR and PPA were used to prepare different modified asphalt binders. Based on the recommendations of the past studies, the polymer content was set as 4%, and the PPA content was 0.5%, 0.75%, 1.0%, 1.25% and 1.5% respectively. Seven test schemes are shown in Table 3.

2.2. Specimen Preparation

The following process is adopted for the preparation of PPA and SBS/SBR compound modified asphalt:
(1)
The neat asphalt was heated to 150 °C until it became fluid before mixing;
(2)
The weighed SBS/SBR particles were added into the asphalt and conducted high-speed shear at the speed of 4500 rpm for 30 min;
(3)
Then, the weighed PPA was added into the prepared modified asphalt and conducted high-speed shear at the speed of 4500 rpm for 30 min;
(4)
The sheared PPA and SBS/SBR compound modified asphalt were put into an oven at 180 °C for swelling and developing for 1 h; therefore, PPA and SBS/SBR compound modified asphalt was prepared, then the prepared PPA and SBS/SBR compound modified asphalt was poured into corresponding containers for storage.

2.3. Experimental Program

2.3.1. DSR Test

The Physica MCR 301 DSR was used to investigate the high-temperature properties of the compound modified asphalt binders. The test modes include temperature sweep test and frequency sweep test to obtain the phase angle (δ) reflecting the viscoelasticity of asphalt and the complex shear modulus (G*) reflecting the high temperature stability of asphalt [22]. The loading frequency of temperature sweep test was 1.59 Hz [23]. Considering that in the frequency sweep test, the driving speeds of 8~16 and 80~100 km/h correspond to the frequencies of 0.15 and 1.5 Hz, respectively, in order to cover the driving speed range of vehicles specified on roads, the frequency are set at 0.01~16.0 Hz [24]. The test temperature of frequency sweep test is 60 °C. The viscosity temperature index (VTS) method and complex modulus index (GTS) method can be used to evaluate asphalt temperature sensitivity based on DSR test. In this study, G*, δ and other rheological parameters of each sample was tested to evaluate the temperature sensing performance of modified asphalt binders.

2.3.2. BBR Test

The TE-BBR was used to evaluate the low-temperature performance of asphalt binders. Small beam specimens were prepared and tested to obtain the creep rate m-value and creep stiffness (S) under constant load at different temperatures. The m-value and S were used as the evaluation indexes of asphalt low-temperature performance. The asphalt binder with low S value and high m-value showed better low-temperature properties [25].

2.3.3. RTFO Test

The Rolling thin film oven (RTFO) test was used to simulate the short-term aging of asphalt. The heating temperature was kept at 163 ± 0.5 °C, and the penetration, softening point and asphalt quality of PPA modified asphalt with different contents are tested before and after aging.

3. Results and Discussion

3.1. High-Temperature Properties

3.1.1. Temperature Sweep Test

SHRP proposes to adopt rutting factor G*/sin δ to characterize the ability of asphalt to resist high temperature rutting deformation, the larger G*/sin δ, the stronger the rutting resistance of asphalt. G* is the complex shear modulus, which is the ratio of the maximum shear stress to the maximum shear strain of the material, and represents the measurement parameter of the total deformation resistance of the material under repeated shear load; δ is the phase angle, which represents the viscoelastic characteristics of the material, most materials are between ideal elasticity and ideal viscosity. The smaller δ, the stronger the elasticity of the material.
This can be seen in Figure 1, Figure 2, Figure 3 and Figure 4.
Under the same neat asphalt type and temperature, adding PPA modifier can significantly improve the G* of modified asphalt, reduce the phase angle δ, it shows that PPA can reduce the viscosity characteristics at the same temperature, improve the elastic characteristics of modified asphalt and enhance the shear deformation resistance of asphalt at high temperature. The larger the content of PPA, the more obvious the modification effect is.
The rutting factor G*/sinδ decreases with the increase of temperature.S6 shows higher G*/sinδ value than S4 and R6 shows higher G*/sinδ value than R4. At the same temperature, by comparing the G*/sinδ values of SBS-PPA and SBR-PPA compound modified asphalt binders, it can be found that the G*/sinδ increased with the increase of PPA concentration, indicating that PPA can improve the rutting resistance ability of the SBS/SBR modified asphalt binders
The same high-temperature properties can be achieved through replacing 2% SBS with 0.75–1.0% PPA or replacing 2% SBR with 0.5% PPA, which also cost less.

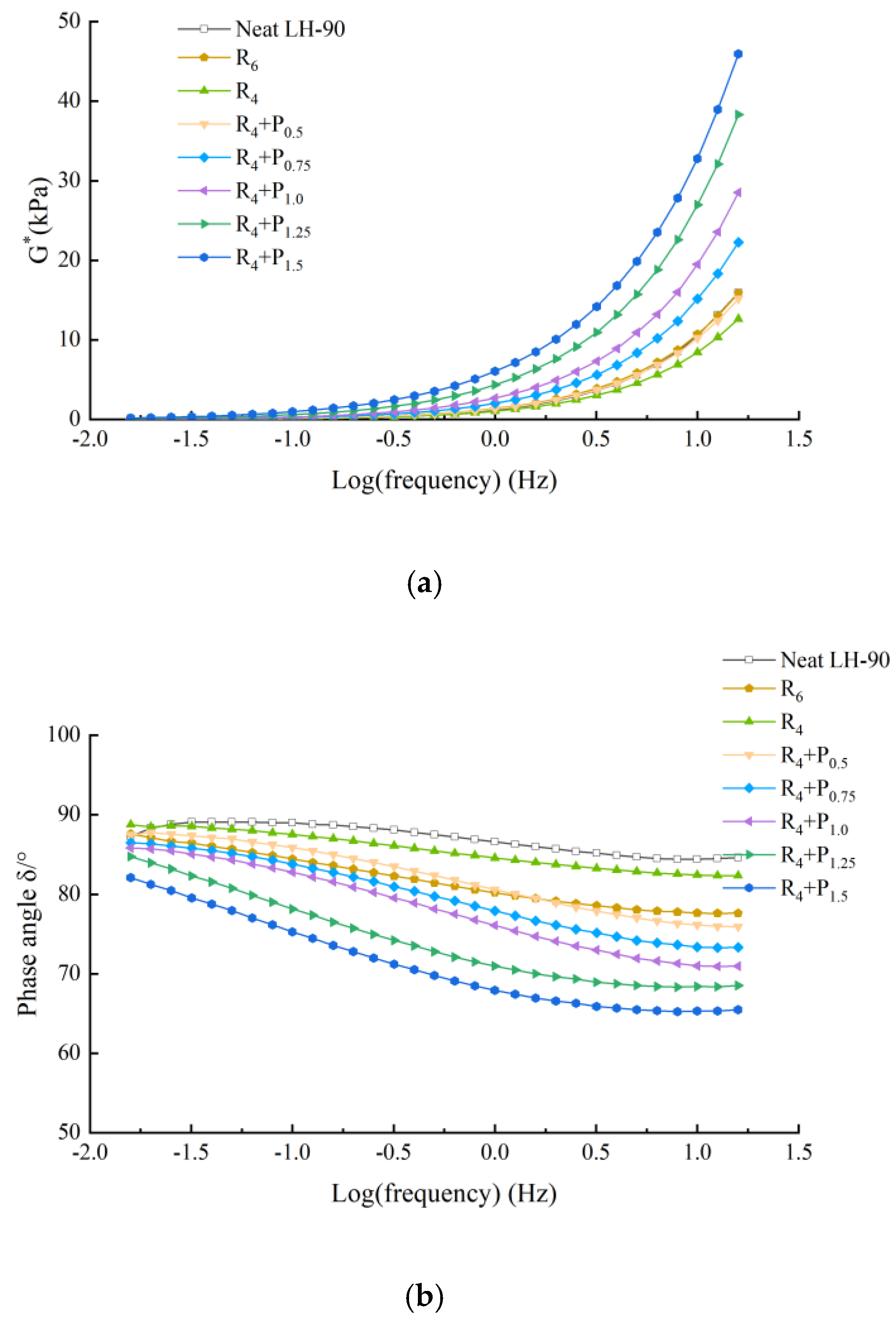
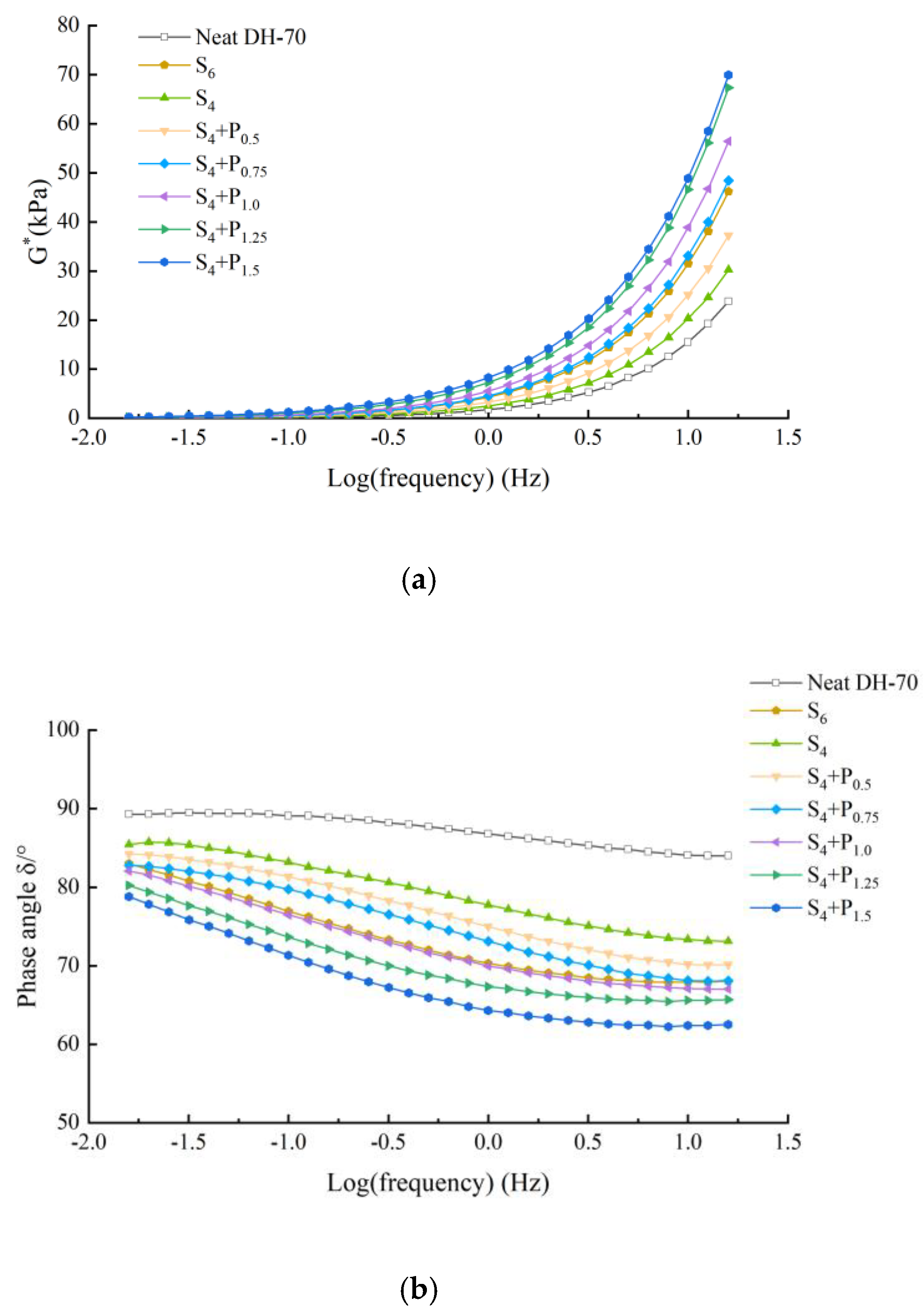
3.1.2. Frequency Sweep Test

Asphalt will show different viscoelastic characteristics and mechanical states when the temperature and load frequency change. Asphalt with more stiff and elastic characteristics under high temperature conditions can have better rutting resistance.
The frequency sweep test was performed to identify the mechanical and viscoelastic behavior of asphalt binder. Figure 5, Figure 6, Figure 7 and Figure 8 illustrate the complex modulus and phase angle of compound modified binders with different SBS/SBR and PPA concentrations. The G* studied by Superpave can be decomposed into two components: storage modulus G’ and loss modulus G’’. The G’ represents the elastic part of asphalt binder, and the G’’ represents the viscous part of asphalt binder [26]. It reflects the energy loss part of asphalt during deformation. At high temperature, the greater the G’, the stronger the high temperature stability of the binder is. At low temperature, the greater the G’’, the stronger the crack resistance of the binder is [27].
This can be seen in Figure 5, Figure 6, Figure 7 and Figure 8.
Complex modulus values increasing and phase angle values decreasing can be observed for all the tested asphalt binders. The curves of the two binders show increasing complex modulus and decreasing phase angle for higher content of PPA addition, which indicates transition of asphalt binder from a viscoelastic to elastic state.
At a specific frequency, by comparing the complex modulus and phase angle of SBS-PPA or SBR-PPA compound modified asphalt binders with that of 6% SBS/SBR single modified asphalt, the compound modified asphalt schemes with similar performance to these single modified asphalts can be obtained, which are listed in Table 4.
Compared with the base asphalt, the addition of modifier effectively improves the elastic characteristics and the total deformation resistance of asphalt under the same load frequency. Considering the price of PPA, it is more recommended to replace 2% SBS/SBR with 0.75/0.5% PPA for DH-70# asphalt, and replace 2% SBS/SBR with 0.5% PPA for LH-90# asphalt.

3.2. Low-Temperature Properties

BBR tests were conducted to evaluate the low-temperature cracking resistance of the studied modified asphalt binders. The tests were carried out at different temperatures (−12 °C, −18 °C and −24 °C) and the creep stiffness(S) and m-value were evaluated. Creep stiffness(S) represents the resistance load performance of asphalt. The creep rate m-value is the absolute value of the slope of the logarithm of the stiffness curve versus the logarithm of time and reflects the stress relaxation ability of asphalt at low temperature. The test results are shown in Figure 9, Figure 10, Figure 11, Figure 12, Figure 13, Figure 14, Figure 15 and Figure 16.
For grading of the low-temperature performance of asphalt binders, the Superpave limits that the specified maximum creep stiffness value at 60 s is 300 MPa, i.e., S < 300 MPa, and the creep rate to a minimum of 0.30, i.e., m value > 0.3, at 60 s. As shown in Figure 9, Figure 10, Figure 11, Figure 12, Figure 13, Figure 14, Figure 15 and Figure 16, The S of 6% SBS is lower (or similar) than 4% SBS, the m-value of 6% SBS is higher (or similar) than 4% SBS, and SBR has the same results. However, with the addition of PPA, the S gradually increases and the m-value gradually decreases. The results indicate that PPA has a negative impact on the low-temperature properties and stress relaxation ability of SBS/SBR modified asphalt, which significantly reduces the low-temperature ductility of SBS/SBR modified asphalt.
For SBR-PPA compound modified asphalt binders of LH-90# asphalt at −24 °C, the m-value is higher than 0.3, which indicates that the low-temperature performance grade decreased one level. The S of some asphalts are higher than 300 MPa at −24 °C with the addition of PPA. In order to guarantee the low-temperature properties of asphalt, PPA content should be no more than 1.0%, and service temperature cannot less than −18 °C.

3.3. Temperature Sensitivity

3.3.1. Complex Modulus Index (GTS) Method

SHRP proposes to use complex modulus index (GTS) to test the temperature sensitivity of asphalt under medium temperature to high temperature conditions [28]. GTS is calculated by fitting the double logarithm of complex modulus G* with the logarithm of test temperature T. Equation (1) presents the definition of GTS.
lg [ lg ( G * ) ]   =   GTS   ×   lg ( T )   +   C
where G* is the complex shear modulus, T is the test temperature, C is the constant term in regression fitting, GTS is the complex modulus index.
Considering that the pavement surface temperature is usually up to 60 °C or higher in summer, temperature sweep tests were conducted at 58 °C, 64 °C, 70 °C and 76 °C, and the GTS results are shown in Figure 17 and Figure 18.
As shown in Figure 17 and Figure 18, the |GTS| of S6 is lower than S4, and SBR has the same results. With the addition of PPA, the |GTS| of modified asphalt gradually decreases. The results indicate that the temperature sensitivity of compound modified asphalt is improved. For DH-70 # asphalt, the | GTS | values of S4 + P1.25 shows similar to S6 and R4 + P0.5 shows similar to R6. For LH-90# asphalt, the |GTS| values of S4 + P1.0 shows similar to S6 and R4 +P0.5 shows similar to R6.
In order to decrease costs and reduce the temperature sensitivity of asphalt binder, replacing 2% SBS/SBR with 1.25%/0.5% PPA for DH-70# asphalt, and replacing 2% SBS/SBR with 1.0%/0.5% PPA for LH-90# asphalt is more recommended, respectively.

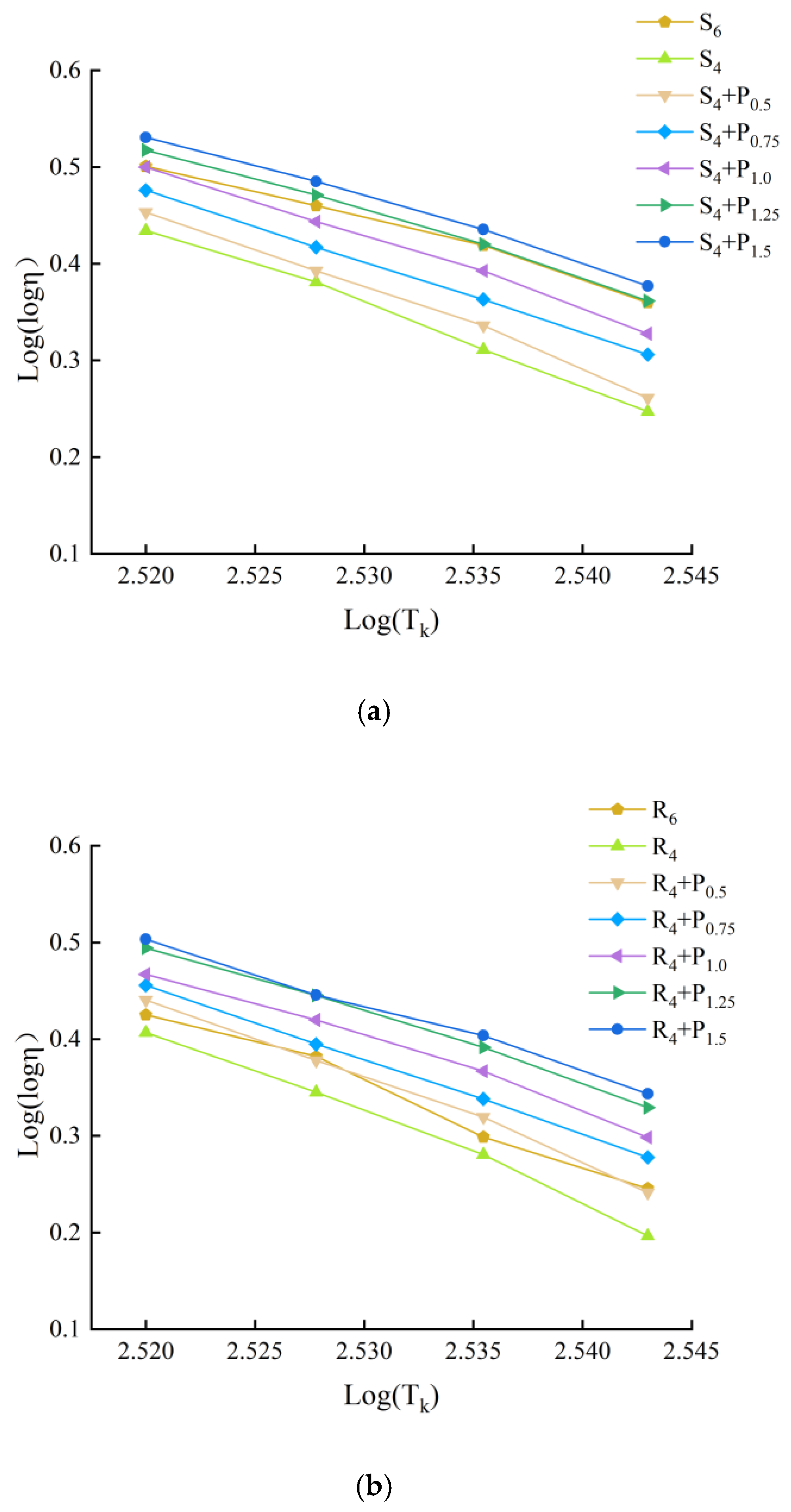
3.3.2. Viscosity Temperature Index (VTS) Method

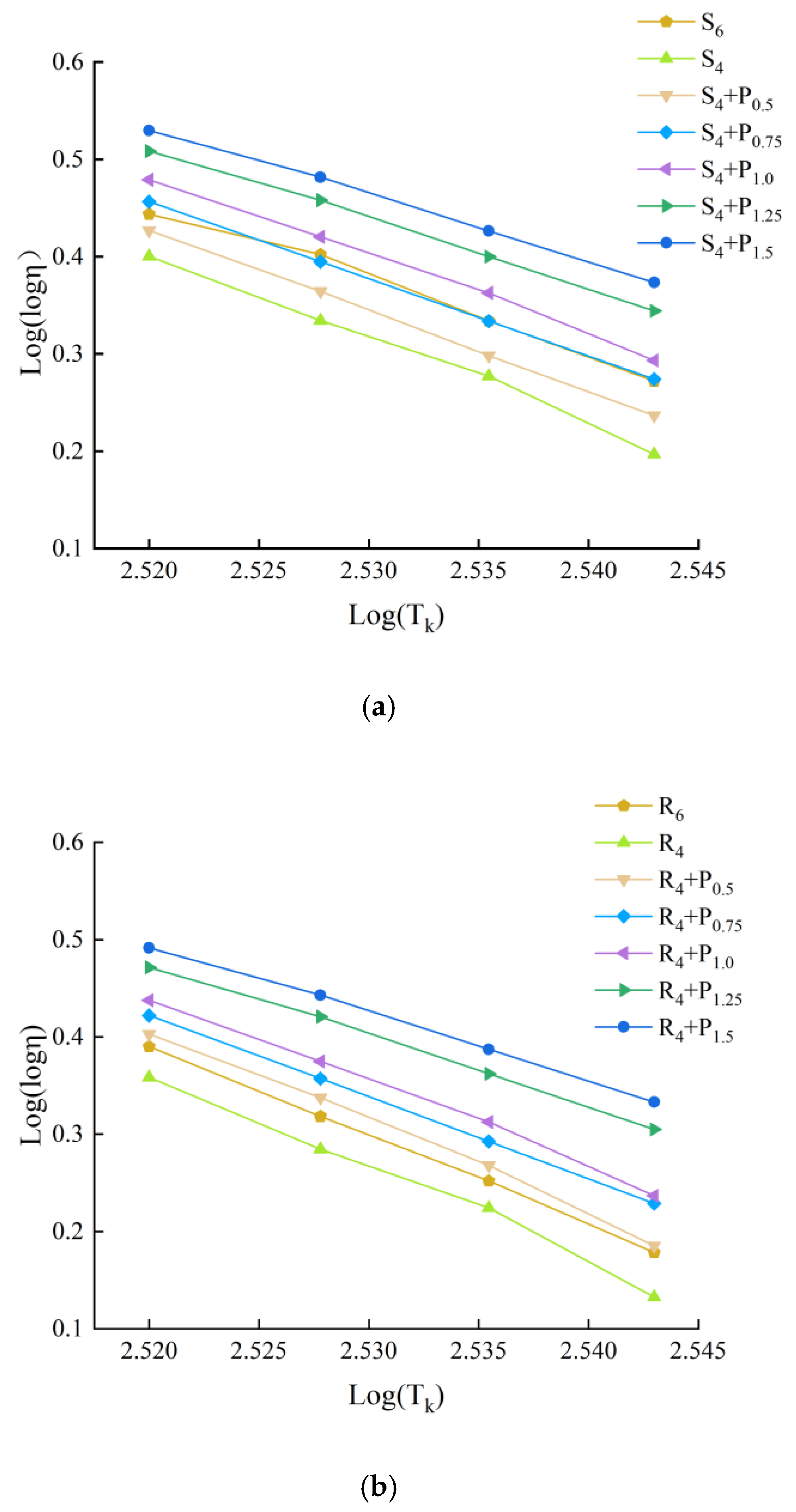
The results of many domestic scholars show that [29], it is more appropriate to use Kelvin temperature scale to calculate viscosity temperature index VTS to evaluate the temperature sensitivity of modified asphalt. Low temperature sensitivity of asphalt binder indicates better asphalt pavement performance. The viscosity of asphalt could be obtained by Equation (2), it refers to the ability of asphalt material to resist shear deformation under the action of external force. and VTS could be obtained by Equation (3). Curve fitting is performed to show the correlation between viscosity and temperature and, from which, the slopes (VTS) and coefficient of determinations (R2) are obtained.
η = G * ω ( 1 sin δ ) 4.8628
VTS = lg ( lg η 1 ) lg ( lg η 2 ) lg T 1 lg T 2
where η is the viscosity, ω is the loading frequency, ω = 10 Hz, η1 and η2 is the viscosity corresponding to the adjacent temperature, T is Kelvin temperature, T = t + 273.13, t is Celsius temperature, which is 58 °C, 64 °C, 70 °C and 76 °C.
According to Equation (2), logarithmic regression is carried out for different compound asphalt at different temperatures and corresponding viscosity. The slope of the regression equation is the viscosity temperature change rate. The greater its absolute value, the worse the temperature sensitivity of asphalt. The regression curve and regression results are shown in Figure 19, Figure 20 and Figure 21 and Table 5.
Table 5 illustrates the slopes |VTS| and the coefficient of determinations (R2), respectively. The R2 value is greater than 0.99, which indicates that lg(lg(viscosity)) has a good linear correlation with lg(T). The larger the magnitude of the VTS value is found to be, the more susceptible the binder is to changes in viscosity with temperature [30]. It can be seen that the slope value of modified asphalt binders integrally decreases with the more PPA concentration, indicating that PPA contributes to the reduction in temperature sensitivity.
To obtain similar sensitive properties, replacing 2% SBS/SBR with 1.5%/0.5% PPA for DH-70# asphalt, and replacing 2% SBS/SBR with 0.75%/0.5% PPA for LH-90# asphalt is more recommended, respectively.

3.4. Aging Properties

In this study, RTFO test was used to simulate the short-term aging effect and test the performance changes of PPA compound modified asphalt before and after aging. The heating temperature was 163 ± 0.5 °C. The Retained penetration ratio, Softening point increment and Mass loss rate results are shown in Table 6 and Table 7.
As shown in Table 6 and Table 7, the compound modified binders with S6 shows higher retained penetration ratio (RP) value than those with S4, and the binder with higher SBS concentration shows lower value softening point increment (∆S) and mass loss rate (∆M) than that with lower concentration. Furthermore, SBR has the same results.PPA shows a significant effect on RP, ∆S and ∆M. With RTFO aging, RP value increases with the increase of PPA, but ∆S and ∆M decrease. This indicates that PPA is less prone to oxidation to improve the anti-aging properties of SBS/SBR modified asphalt.
In addition, for DH-70 # asphalt, the aging indices of S4 + P1.0 and S6 show similar values and the aging indices of R4 + P0.75 and R6 show similar values. For LH-90 # asphalt, the aging indices of S4 + P0.75 and S6 show similar values and the aging indices of R4 + P0.75 and R6 show similar values.
Based on the above statements, to obtain the similar anti-aging properties, replacing 2% SBS/SBR with 1.0%/0.75% PPA for DH-70# asphalt, and replacing 2% SBS/SBR with 0.75% PPA for LH-90# asphalt is more recommended, respectively.

4. Conclusions

To investigate the feasibility of using PPA to partially replace SBS/SBR as asphalt modifier, through a series of tests, including DSR, BBR and RTFO tests, the performance of compound asphalt is improved compared with that of 4% SBS/SBR single modified asphalt. The results show that appropriate PPA content can improve the elastic performance of SBS/SBR modified asphalt, reduce its viscosity, and improve the high-temperature deformation resistance, therefore, the rutting resistance of compound asphalt is improved. After adding PPA, |GTS| decreases significantly and |VTS| decreases gradually, indicating that PPA reduces the temperature sensitivity of modified asphalt.
In addition, PPA can inhibit the thermal oxidative aging of polymer modified asphalt, thereby enhancing the anti-aging properties, and the greater the amount of PPA, the more significant the modification effect is.
Overall, the high temperature, temperature sensitivity and anti-aging properties of polymer modified asphalt were improved after adding PPA, and because of its low price, the polymer modified asphalt can reduce some polymer content by adding PPA. PPA may have an adverse effect on the stiffness and stress relaxation of asphalt binder, but it can meet the specification requirements in the area where the average temperature in winter is not lower than −18 °C. Considering those performance and economic benefits, the recommended scheme of PPA-SBS compound modified asphalt is 4% SBS + 0.75–1.0% PPA, and the recommended scheme of PPA-SBR compound modified asphalt is 4% SBR + 0.5–0.75% PPA, which is equivalent to the performance of 6% SBS/SBR single modified asphalt. Following research work should include investigating the combinations of PPA with other modifiers and neat asphalt, as well as the verification of field correlation, so as to prepare asphalt with better performance and wider application range.

Author Contributions

Conceptualization, J.W.; methodology, J.W. and Y.Z.; validation, S.S.; investigation, S.S. and Z.C.; data curation, Z.C.; writing—original draft preparation, Y.Z. and X.D.; writing—review and editing, F.Y. and Z.P. All authors have read and agreed to the published version of the manuscript.

Funding

The research was supported by National Natural Science Foundation of China (grant numbers, 52108396); and Scientific Research Project of Hunan Education Department (grant numbers, 19B032) and the Natural Science Foundation of Hunan Province (grant numbers, 2020JJ4615), and postgraduate Scientific Research Innovation Project of CSUST (SJCX202104).

Institutional Review Board Statement

Not applicable.

Informed Consent Statement

Not applicable.

Data Availability Statement

Data is contained within the article.

Conflicts of Interest

The authors declare no conflict of interest.

References

  1. Pei, X.; Fan, W. Effects of Amorphous Poly Alpha Olefin (APAO) and Polyphosphoric Acid (PPA) on the Rheological Properties, Compatibility and Stability of Asphalt Binder. Materials 2021, 14, 2458. [Google Scholar] [CrossRef] [PubMed]
  2. Li, B.; Li, X.; Kundwa, M.J.; Li, Z.; Wei, D. Evaluation of the adhesion characteristics of material composition for polyphosphoric acid and SBS modified bitumen based on surface free energy theory. Constr. Build. Mater. 2021, 266, 121022. [Google Scholar] [CrossRef]
  3. Behnood, A.; Olek, J. Rheological properties of asphalt binders modified with styrene-butadiene-styrene (SBS), ground tire rubber (GTR), or polyphosphoric acid (PPA). Constr. Build. Mater. 2017, 151, 464–478. [Google Scholar] [CrossRef]
  4. Ameli, A.; Khabbaz, E.H.; Babagoli, R.; Norouzi, N.; Valipourian, K. Evaluation of the effect of carbon nano tube on water damage resistance of Stone matrix asphalt mixtures containing polyphosphoric acid and styrene butadiene rubber. Constr. Build. Mater. 2020, 261, 119946. [Google Scholar] [CrossRef]
  5. Babagoli, R.; Ameli, A.; Shahriari, H. Laboratory evaluation of rutting performance of cold recycling asphalt mixtures containing SBS modified asphalt emulsion. Pet. Sci. Technol. 2016, 34, 309–313. [Google Scholar] [CrossRef]
  6. Imaninasab, R. Rutting resistance and resilient modulus evaluation of polymer-modified SMA mixtures. Pet. Sci. Technol. 2016, 34, 1483–1489. [Google Scholar] [CrossRef]
  7. Li, Y.; Hao, P.; Zhao, C.; Ling, J.; Wu, T.; Li, D.; Liu, J.; Sun, B. Anti-rutting performance evaluation of modified asphalt binders: A review. J. Traffic Transp. Eng. Engl. Ed. 2021, 8, 339–355. [Google Scholar] [CrossRef]
  8. Porto, M.; Caputo, P.; Loise, V.; Eskandarsefat, S.; Teltayev, B.; Oliviero Rossi, C. Bitumen and Bitumen Modification: A Review on Latest Advances. Appl. Sci. 2019, 9, 742. [Google Scholar] [CrossRef] [Green Version]
  9. Xu, J.; Pei, J.; Cai, J.; Liu, T.; Wen, Y. Performance improvement and aging property of oil/SBS modified asphalt. Constr. Build. Mater. 2021, 300, 23735. [Google Scholar] [CrossRef]
  10. Zhang, Q.; Fan, W.; Wang, T.; Nan, G. Studies on the temperature performance of SBR modified asphalt emulsion. In Proceedings of the 2011 International Conference on Electric Technology and Civil Engineering (ICETCE), Lushan, China, 22–24 April 2011; IEEE: Manhattan, NY, USA, 2011. [Google Scholar]
  11. Zhang, F.; Yu, J. The research for high-performance SBR compound modified asphalt. Constr. Build. Mater. 2010, 24, 410–418. [Google Scholar] [CrossRef]
  12. Liang, P.; Liang, M.; Fan, W.; Zhang, Y.; Qian, C.; Ren, S. Improving thermo-rheological behavior and compatibility of SBR modified asphalt by addition of polyphosphoric acid (PPA). Constr. Build. Mater. 2017, 139, 183–192. [Google Scholar] [CrossRef]
  13. D’Angelo, J.A. Workshop Summary. In Polyphosphoric Acid Modification of Asphalt Binders; Transportation Research Board: Washington, DC, USA, 2009. [Google Scholar]
  14. Baumgardner, G.L.; Masson, J.F.; Hardee, J.R.; Menapace, A.M.; Williams, A.G. Polyphosphoric Acid Modified Asphalt: Proposed Mechanisms. Road Mater. Pavement Des. 2005, 74, 283–305. [Google Scholar]
  15. Nuñez, J.Y.; Domingos, M.D.; Faxina, A.L. Susceptibility of low-density polyethylene and polyphosphoric acid-modified asphalt binders to rutting and fatigue cracking. Constr. Build. Mater. 2014, 73, 509–514. [Google Scholar] [CrossRef]
  16. Man Sze Ho, S.; Zanzotto, L.; MacLeod, D. Impact of Different Types of Modification on Low-Temperature Tensile Strength and Tcritical of Asphalt Binders. Transp. Res. Rec. 2002, 1810, 1–8. [Google Scholar] [CrossRef]
  17. Baldino, N.; Gabriele, D.; Rossi, C.O.; Seta, L.; Lupi, F.R.; Caputo, P. Low temperature rheology of polyphosphoric acid (PPA) added bitumen. Constr. Build. Mater. 2012, 36, 592–596. [Google Scholar] [CrossRef]
  18. Naresh Baboo, R. Effect of Polyphosphoric Acid on Aging Characteristics of PG 64-22 Asphalt Binder; University of North Texas: Denton, TX, USA, 2010. [Google Scholar]
  19. Fee, D.; Maldonado, R.; Reinke, G.; Romagosa, H. Polyphosphoric Acid Modification of Asphalt. Transp. Res. Rec. J. Transp. Res. Board 2010, 2179, 49–57. [Google Scholar] [CrossRef]
  20. Fini, E.H.; Al-Qadi, I.L.; You, Z.; Zada, B.; Mills-Beale, J. Partial replacement of asphalt binder with bio-binder: Characterisation and modification. Int. J. Pavement Eng. 2012, 13, 515–522. [Google Scholar] [CrossRef]
  21. Sengoz, B.; Topal, A.; Isikyakar, G. Morphology and image analysis of polymer modified bitumens. Constr. Build. Mater. 2009, 23, 1986–1992. [Google Scholar] [CrossRef]
  22. Rossi, C.O.; Spadafora, A.; Teltayev, B.; Izmailova, G.; Amerbayev, Y.; Bortolotti, V. Polymer modified bitumen: Rheological properties and structural characterization. Colloids Surf. A Physicochem. Eng. Asp. 2015, 480, 390–397. [Google Scholar] [CrossRef]
  23. JTG E20-2011; Standard Test Methods of Bitumen and Bituminous Mixtures for Highway Engineering. Ministry of Transport of the People’s Republic of China: Beijing, China, 2011.
  24. Bahia, H.U.; Hanson, D.I.; Zeng, M.; Zhai, H.; Khatri, M.A.; Anderson, R.M. Characterization of modified asphalt binders in Superpave mix design. In Characterization of Modified Asphalt Binders in Superpave Mix Design; Transportation Research Board: Washington, DC, USA, 2001. [Google Scholar]
  25. Wang, T.; Xiao, F.; Amirkhanian, S.; Huang, W.; Zheng, M. A review on low temperature performances of rubberized asphalt materials. Constr. Build. Mater. 2017, 145, 483–505. [Google Scholar] [CrossRef]
  26. Strategic Highway Research Program (SHRP). Superior Performing Asphalt Pavements (Superpave): The Product of the SHRP Asphalt Research Program (SHRP-A-410); Strategic Highway Research Program: Washington, DC, USA, 1994. [Google Scholar]
  27. YongNing, W. Effect of admixtures on properties of SBS modified asphalt mixed with polyphosphate. J. China Foreign Highw. 2018, 264–268. [Google Scholar] [CrossRef]
  28. Local Standards of Hebei Province. Technical Standard for Tire Crumb Asphalt Rubber and Asphalt Rubber Hot Mixture (DB13/T 1013-2009); Local Standards of Hebei Province: HuBei, China, 2009. [Google Scholar]
  29. Chen, H.-X.; Li, N.-L.; Zhang, Z.-Q. Temperature Susceptibility Analysis of Asphalt Binders. J. Chang. Univ. Nat. Sci. Ed. 2009, 1, 505–509. [Google Scholar]
  30. Rasmussen, R.O.; Lytton, R.L.; Chang, G.K. Method to Predict Temperature Susceptibility of an Asphalt Binder. J. Mater. Civ. Eng. 2002, 14, 246–252. [Google Scholar] [CrossRef]
Figure 1. High-temperature properties of compound ratio of PPA–SBS and DH–70# neat asphalt: (a) Complex modulus-temperature results; (b) Phase angle-temperature results; (c) G*/sinδ-tenperature results.
Figure 1. High-temperature properties of compound ratio of PPA–SBS and DH–70# neat asphalt: (a) Complex modulus-temperature results; (b) Phase angle-temperature results; (c) G*/sinδ-tenperature results.
Materials 15 02112 g001aMaterials 15 02112 g001b
Figure 2. High-temperature properties of compound ratio of PPA–SBS and LH–90# neat asphalt: (a) Complex modulus-temperature results; (b) Phase angle-temperature results; (c) G*/sinδ-tenperature results.
Figure 2. High-temperature properties of compound ratio of PPA–SBS and LH–90# neat asphalt: (a) Complex modulus-temperature results; (b) Phase angle-temperature results; (c) G*/sinδ-tenperature results.
Materials 15 02112 g002aMaterials 15 02112 g002b
Figure 3. High-temperature properties of compound ratio of PPA–SBR and DH–70# neat asphalt: (a) Complex modulus-temperature results; (b) Phase angle-temperature results; (c) G*/sinδ-tenperature results.
Figure 3. High-temperature properties of compound ratio of PPA–SBR and DH–70# neat asphalt: (a) Complex modulus-temperature results; (b) Phase angle-temperature results; (c) G*/sinδ-tenperature results.
Materials 15 02112 g003aMaterials 15 02112 g003b
Figure 4. High-temperature properties of compound ratio of PPA–SBR and LH–90# neat asphalt: (a) Complex modulus-temperature results; (b) Phase angle-temperature results; (c) G*/sinδ-tenperature results.
Figure 4. High-temperature properties of compound ratio of PPA–SBR and LH–90# neat asphalt: (a) Complex modulus-temperature results; (b) Phase angle-temperature results; (c) G*/sinδ-tenperature results.
Materials 15 02112 g004aMaterials 15 02112 g004b
Figure 5. Complex modulus and phase angle of compound PPA–SBS modified binders of DH–70# asphalt: (a) Complex modulus-Log(frequency) results; (b) Phase angle-Log(frequency) results.
Figure 5. Complex modulus and phase angle of compound PPA–SBS modified binders of DH–70# asphalt: (a) Complex modulus-Log(frequency) results; (b) Phase angle-Log(frequency) results.
Materials 15 02112 g005
Figure 6. Complex modulus and phase angle master of compound PPA–SBS modified binders of LH–90# asphalt: (a) Complex modulus-Log(frequency) results; (b) Phase angle-Log(frequency) results.
Figure 6. Complex modulus and phase angle master of compound PPA–SBS modified binders of LH–90# asphalt: (a) Complex modulus-Log(frequency) results; (b) Phase angle-Log(frequency) results.
Materials 15 02112 g006
Figure 7. Complex modulus and phase angle master of compound PPA–SBR modified binders of DH–70# asphalt: (a) Complex modulus-Log(frequency) results; (b) Phase angle-Log(frequency) results.
Figure 7. Complex modulus and phase angle master of compound PPA–SBR modified binders of DH–70# asphalt: (a) Complex modulus-Log(frequency) results; (b) Phase angle-Log(frequency) results.
Materials 15 02112 g007aMaterials 15 02112 g007b
Figure 8. Complex modulus and phase angle master of compound PPA–SBR modified binders of LH–90# asphalt: (a) Complex modulus-Log(frequency) results; (b) Phase angle-Log(frequency) results.
Figure 8. Complex modulus and phase angle master of compound PPA–SBR modified binders of LH–90# asphalt: (a) Complex modulus-Log(frequency) results; (b) Phase angle-Log(frequency) results.
Materials 15 02112 g008
Figure 9. Creep stiffness of PPA–SBS and DH–70# asphalt.
Figure 9. Creep stiffness of PPA–SBS and DH–70# asphalt.
Materials 15 02112 g009
Figure 10. m-value of PPA–SBS and DH–70# asphalt.
Figure 10. m-value of PPA–SBS and DH–70# asphalt.
Materials 15 02112 g010
Figure 11. Creep stiffness of PPA–SBS and LH–90# asphalt.
Figure 11. Creep stiffness of PPA–SBS and LH–90# asphalt.
Materials 15 02112 g011
Figure 12. m-value of PPA–SBS and LH–90# asphalt.
Figure 12. m-value of PPA–SBS and LH–90# asphalt.
Materials 15 02112 g012
Figure 13. Creep stiffness of PPA–SBR and DH–70# asphalt.
Figure 13. Creep stiffness of PPA–SBR and DH–70# asphalt.
Materials 15 02112 g013
Figure 14. m-value of PPA–SBR and DH–70# asphalt.
Figure 14. m-value of PPA–SBR and DH–70# asphalt.
Materials 15 02112 g014
Figure 15. Creep stiffness of PPA–SBR and LH–90# asphalt.
Figure 15. Creep stiffness of PPA–SBR and LH–90# asphalt.
Materials 15 02112 g015
Figure 16. m-value of PPA–SBR and LH–90# asphalt.
Figure 16. m-value of PPA–SBR and LH–90# asphalt.
Materials 15 02112 g016
Figure 17. Effect of different PPA–SBS compound ratio on temperature sensitivity of asphalt.
Figure 17. Effect of different PPA–SBS compound ratio on temperature sensitivity of asphalt.
Materials 15 02112 g017
Figure 18. Effect of different PPA–SBR compound ratio on temperature sensitivity of asphalt.
Figure 18. Effect of different PPA–SBR compound ratio on temperature sensitivity of asphalt.
Materials 15 02112 g018
Figure 19. Double logarithm regression viscosity temperature curve of DH–70# asphalt: (a) PPA–SBS compound ratio; (b) PPA–SBR compound ratio.
Figure 19. Double logarithm regression viscosity temperature curve of DH–70# asphalt: (a) PPA–SBS compound ratio; (b) PPA–SBR compound ratio.
Materials 15 02112 g019
Figure 20. Double logarithm regression viscosity temperature curve of LH–90# asphalt: (a) PPA–SBS compound ratio; (b) PPA–SBR compound ratio.
Figure 20. Double logarithm regression viscosity temperature curve of LH–90# asphalt: (a) PPA–SBS compound ratio; (b) PPA–SBR compound ratio.
Materials 15 02112 g020
Figure 21. SBS/SBR-PPA variation curve of |VTS|: (a)|VTS| of PPA–SBS with DH–70# and LH–90#; (b)|VTS| of PPA–SBR with DH–70# and LH–90#.
Figure 21. SBS/SBR-PPA variation curve of |VTS|: (a)|VTS| of PPA–SBS with DH–70# and LH–90#; (b)|VTS| of PPA–SBR with DH–70# and LH–90#.
Materials 15 02112 g021
Table 1. Technical performance of asphalt.
Table 1. Technical performance of asphalt.
Technical IndexesUnitsResults
DH-70#LH-90#
UnagedSoftening point(R&B)°C53.149.2
Ductility (50 mm/min, 10 °C)cm39.7>100
Penetration (25 °C, 5 s, 100 g)0.1 mm64.284.6
Solubility%99.999.7
Density(15 °C)g/cm31.0331.042
Flash point°C279316
RTFO
aged
Mass variation%0.47−0.16
Retained penetration ratio (25 °C)%70.273.1
Retained ductility (10 °C)cm14.18.7
Table 2. Basic technical indexes of SBS and SBR.
Table 2. Basic technical indexes of SBS and SBR.
SBS1401SBR
Technical IndexUnitsMeasured ValueTechnical IndexUnitsMeasured Value
S/B ratio-4/6GranularityMesh No.10~80
Oil filling rate%0Bound styrene content%10~50
Volatile matter%≤0.7Mooney viscosityML45~65
Ash content%≤0.2300% Constant tensile stressMPa15
300% Constant tensile stressMpa≥3.5Tensile strengthMpa≥20
Tensile strengthMpa24
Elongation at break%730
Shore hardnessA85
Melt flow rateg/10 min0.1~5.0
Table 3. Compound modification schemes of PPA.
Table 3. Compound modification schemes of PPA.
NoSchemes
S6/R66% SBS/SBR Modification
S4/R44% SBS/SBR Modification
S4/R4 + P0.54% SBS/SBR + 0.5% PPA Modification
S4/R4 + P0.754% SBS/SBR + 0.75% PPA Modification
S4/R4 + P1.04% SBS/SBR + 1.0% PPA Modification
S4/R4 + P1.254% SBS/SBR + 1.25% PPA Modification
S4/R4 + P1.54% SBS/SBR + 1.5% PPA Modification
Table 4. Schemes of compound modified asphalt with similar performance to S6/R6.
Table 4. Schemes of compound modified asphalt with similar performance to S6/R6.
Asphalt TypePolymer Modifier TypeComplex Modulus G*/kPaPhase Angleδ/°Recommended Scheme
DH-70#SBSS4 + P0.75S4 + P1.0S4 + P0.75
SBRR4 + P0.5R4 + P0.5~0.75R4 + P0.5
LH-90#SBSS4 + P0.75S4 + P0.75S4 + P0.75
SBRR4 + P0.5R4 + P0.5~0.75R4 + P0.5
Table 5. Double logarithm regression results of different asphalt mixtures.
Table 5. Double logarithm regression results of different asphalt mixtures.
Asphalt TypeNoRegression EquationCorrelation Coefficient R2|VTS|
DH-70#S6y = −6.0467x + 15.743R2 = 0.98956.0467
S4y = −8.2404x + 21.204R2 = 0.99668.2404
S4 + P0.5y = −8.2611x + 21.274R2 = 0.99538.2611
S4 + P0.75y = −7.3347x + 18.959R2 = 0.99997.3347
S4 + P1.0y = −7.4027x + 19.156R2 = 0.99717.4027
S4 + P1.25y = −6.7658x + 17.571R2 = 0.99646.7658
S4 + P1.5y = −6.6601x + 17.317R2 = 0.99586.6601
R6y = −8.1127x + 20.876R2 = 0.98538.1127
R4y = −9.0659x + 23.258R2 = 0.99319.0659
R4 + P0.5y = −8.5545x + 22.001R2 = 0.9958.5545
R4 + P0.75y = −7.7112x + 19.888R2 = 0.99987.7112
R4 + P1.0y = −7.2983x + 18.864R2 = 0.99117.2983
R4 + P1.25y = −7.1512x + 18.519R2 = 0.9967.1512
R4 + P1.5y = −6.8034x + 17.647R2 = 0.99536.8034
LH-90#S6y = −7.6056x + 19.617R2 = 0.98947.6056
S 4y = −8.7073x + 22.345R2 = 0.99478.7073
S4 + P0.5y = −8.3059x + 21.359R2 = 0.99988.3059
S4 + P0.75y = −7.9426x + 20.472R2 = 17.9426
S4 + P1.0y = −8.017x + 20.684R2 = 0.99748.017
S4 + P1.25y = −7.1883x + 18.625R2 = 0.99887.1883
S4 + P1.5y = −6.8357x + 17.758R2 = 0.99886.8357
R6y = −9.1534x + 23.457R2 = 0.99959.1534
R4y = −9.6161x + 24.594R2 = 0.99269.6161
R4 + P0.5y = −9.4301x + 24.171R2 = 0.99629.4301
R4 + P0.75y = −8.4108x + 21.618R2 = 18.4108
R4 + P1.0y = −8.6712x + 22.292R2 = 0.99698.6712
R4 + P1.25y = −7.2864x + 18.836R2 = 0.99867.2864
R4 + P1.5y = −6.9272x + 17.95R2 = 0.99876.9272
Table 6. Performance changes of PPA–SBS modified asphalt before and after aging.
Table 6. Performance changes of PPA–SBS modified asphalt before and after aging.
Asphalt TypeNoRetained Penetration Ratio (%)Softening Point Increment (°C)Mass Loss Rate (%)
DH-70#S677.324.50.379
S473.175.80.442
S4 + P0.575.444.70.412
S4 + P0.7576.814.50.391
S4 + P1.078.244.20.357
S4 + P1.2579.253.80.321
S4 + P1.580.643.10.271
LH-90#S671.255.10.418
S466.156.90.533
S4 + P0.569.035.40.435
S4 + P0.7571.395.20.401
S4 + P1.073.514.80.379
S4 + P1.2575.284.00.314
S4 + P1.576.783.30.258
Table 7. Performance changes of PPA–SBR modified asphalt before and after aging.
Table 7. Performance changes of PPA–SBR modified asphalt before and after aging.
Asphalt TypeNoRetained Penetration Ratio (%)Softening Point Increment (°C)Mass Loss Rate (%)
DH-70#R668.688.80.385
R464.9410.50.467
R4 + P0.567.249.50.426
R4 + P0.7568.938.60.374
R4 + P1.071.116.10.318
R4 + P1.2574.624.40.243
R4 + P1.575.653.70.221
LH-90#R661.2610.40.422
R457.1912.00.486
R4 + P0.560.2410.20.452
R4 + P0.7561.878.90.371
R4 + P1.065.026.60.309
R4 + P1.2568.754.30.227
R4 + P1.571.963.30.172
Publisher’s Note: MDPI stays neutral with regard to jurisdictional claims in published maps and institutional affiliations.

Share and Cite

MDPI and ACS Style

Wei, J.; Shi, S.; Zhou, Y.; Chen, Z.; Yu, F.; Peng, Z.; Duan, X. Research on Performance of SBS-PPA and SBR-PPA Compound Modified Asphalts. Materials 2022, 15, 2112. https://doi.org/10.3390/ma15062112

AMA Style

Wei J, Shi S, Zhou Y, Chen Z, Yu F, Peng Z, Duan X. Research on Performance of SBS-PPA and SBR-PPA Compound Modified Asphalts. Materials. 2022; 15(6):2112. https://doi.org/10.3390/ma15062112

Chicago/Turabian Style

Wei, Jianguo, Song Shi, Yuming Zhou, Zhiyuan Chen, Fan Yu, Zhuyi Peng, and Xurui Duan. 2022. "Research on Performance of SBS-PPA and SBR-PPA Compound Modified Asphalts" Materials 15, no. 6: 2112. https://doi.org/10.3390/ma15062112

APA Style

Wei, J., Shi, S., Zhou, Y., Chen, Z., Yu, F., Peng, Z., & Duan, X. (2022). Research on Performance of SBS-PPA and SBR-PPA Compound Modified Asphalts. Materials, 15(6), 2112. https://doi.org/10.3390/ma15062112

Note that from the first issue of 2016, this journal uses article numbers instead of page numbers. See further details here.

Article Metrics

Back to TopTop