Study on the Conventional Performance and Microscopic Properties of PPA/SBS-Modified Bio-Mixed Asphalt
Abstract
:1. Introduction
2. Materials and Methods
2.1. Materials
2.2. Preparation of the Modified Asphalt
- Step 1 bio-mixed asphalt preparation: biological and petroleum asphalt were heated to a fluid state, then mixed in a specific ratio and stirred at 1000 rpm for 20 min;
- Step 2 SBS modification: the bio-mixed asphalt was raised to 170 ± 5 °C with continuous stirring, then SBS was added and sheared at 5000 rpm for 40 min, and the stabilizer (sulfur flour, 0.2% of binder by weight) was added in the last 10 min;
- Step 3 PPA modification: PPA was added and sheared at 5000 rpm for 30 min (SBS control group shear for 30 min without PPA addition);
- Step 4 Swelling development: the prepared composite-modified BMA was placed in a vacuum drying oven at 170 °C for 1 h.
2.3. Test Methods
2.3.1. Conventional Property Test
2.3.2. Atomic Force Microscope (AFM)
2.3.3. Fluorescent Microscope (FM)
3. Results and Discussion
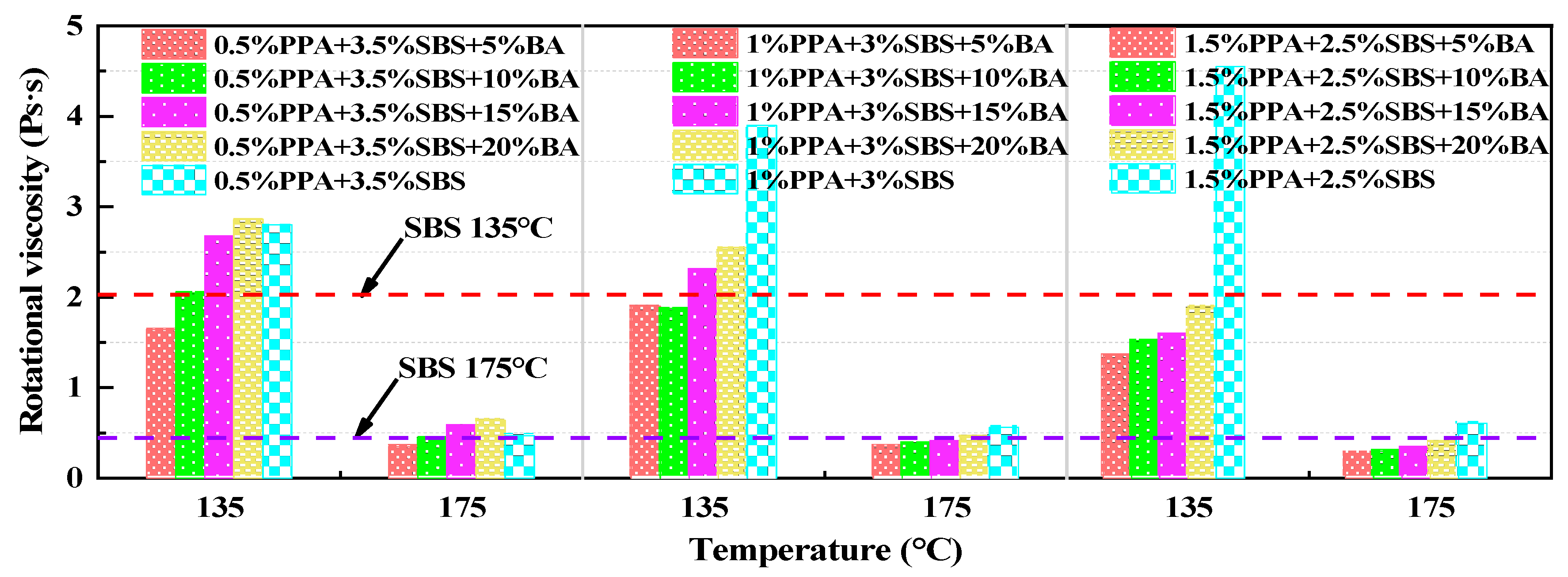
3.1. Analysis of the Conventional Property Test
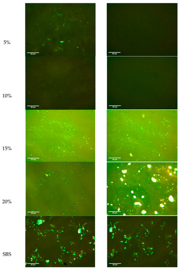
3.2. Microstructure Analysis of the Composite-Modified Asphalt
3.3. Phase Structure Analysis of the Composite-Modified Asphalt
4. Conclusions
- (1)
- Through conventional property tests, it was found that the replacement ratio of bio-asphalt had a significant impact on the conventional performance of composite-modified asphalt, but under the optimal content of bio-asphalt, the high and low-temperature performance of the composite-modified asphalt was similar to that of the SBS-modified asphalt. In addition, BA and PPA can improve the storage stability of SBS-modified asphalt.
- (2)
- Compared with the SBS-modified asphalt, the surface topography of the composite-modified asphalt with bio-asphalt had a higher flatness, indicating that bio-asphalt had a certain positive effect on reducing the molecular heterogeneity among the components of the asphalt.
- (3)
- Bio-asphalt significantly improved the dispersity of the SBS in asphalt and changed the phase structure of the SBS in asphalt from clumpy to feathered. Although bio-asphalt and PPA improved the storage stability of the SBS-modified asphalt, the SBS particles would accumulate to the bottom when the dosage of the bio-asphalt and PPA was too high.
- (4)
- In this study, the SBS content of PPA/SBS-modified bio-mixed asphalt was significantly lower than that of single-doped SBS-modified asphalt, but its conventional performance was not significantly lower than that of SBS-modified asphalt. In addition, the application of bio-asphalt in road engineering provides an effective solution for the disposal of waste biomass. Therefore, as a kind of renewable and sustainable material, bio-asphalt has good application prospects in road engineering.
- (5)
- The reaction mechanism of each component had prominent significance for the performance optimization and engineering application of the composite-modified asphalt. Therefore, the investigation of the chemical reaction mechanisms of each component of the composite-modified asphalt should be the focus of future research.
Author Contributions
Funding
Conflicts of Interest
References
- Chen, W.; Chen, S.; Zheng, C. Analysis of micromechanical properties of algae bio-based bio-asphalt-mineral interface based on molecular simulation technology. Constr. Build. Mater. 2021, 306, 124888. [Google Scholar] [CrossRef]
- Shao, L.; Wang, H.; Zhang, R.; Zheng, W.; Hossiney, N.; Wu, C. Analysis of the chemical properties and high-temperature rheological properties of MDI modified bio-asphalt. Constr. Build. Mater. 2021, 267, 121044. [Google Scholar] [CrossRef]
- Yang, X.; Mills-Beale, J.; You, Z. Chemical characterization and oxidative aging of bio-asphalt and its compatibility with petroleum asphalt. J. Clean. Prod. 2017, 142, 1837–1847. [Google Scholar] [CrossRef]
- Yang, X.; You, Z.; Mills-Beale, J. Asphalt binders blended with a high percentage of biobinders: Aging mechanism using FTIR and rheology. J. Mater. Civ. Eng. 2015, 27, 04014157. [Google Scholar] [CrossRef]
- Williams, R.C.; Satrio, J.; Rover, M.; Brown, R.C.; Teng, S. Utilization of fractionated bio-oil in asphalt. In Proceedings of the Transportation Research Board Annual Meeting, Washington, DC, USA, 11–15 January 2001. [Google Scholar]
- Junfeng, G.; Hainian, W.; Zhanping, Y.; Mohd, M.H.; Yong, L.; Muhammad, I. Rheological behavior and sensitivity of wood-derived bio-oil modified asphalt binders. Appl. Sci. 2018, 8, 919. [Google Scholar]
- Mohamed, R.; Williams, R. Temperature and shear susceptibility of a nonpetroleum binder as a pavement material. Transp. Res. Rec. J. Transp. Res. Board 2010, 2180, 9–18. [Google Scholar]
- Mills-Beale, J.; You, Z.; Fini, E.; Zada, B.; Lee, C.H.; Yap, Y.K. Aging influence on rheology properties of petroleum-based asphalt modified with biobinder. J. Mater. Civ. Eng. 2014, 26, 358–366. [Google Scholar] [CrossRef]
- Oyebanji, J.A.; Okekunle, P.O.; Lasode, O.A.; Oyedepo, S.O. Chemical composition of bio-oils produced by fast pyrolysis of two energy biomass. Biofuels 2017, 9, 479–487. [Google Scholar] [CrossRef]
- Xu, Y.; You, Z.P.; Dai, Q.L. Performance evaluation of asphalt binder modified by bio-oil generated from waste wood resources. Int. J. Pavement Res. Technol. 2013, 6, 431–439. [Google Scholar]
- Wen, G.; Zhang, Y.; Zhang, Y.; Sun, K.; Fan, Y. Rheological characterization of storage-stable SBS-modified asphalts. Polym. Test. 2002, 21, 295–302. [Google Scholar] [CrossRef]
- Tayfur, S.; Ozen, H.; Aksoy, A. Investigation of rutting performance of asphalt mixtures containing polymer modifiers. Constr. Build. Mater. 2007, 21, 328–337. [Google Scholar] [CrossRef]
- Dong, Z.; Yang, C.; Luan, H.; Zhou, T.; Wang, P. Chemical characteristics of bio-asphalt and its rheological properties after CR/SBS composite modification. Constr. Build. Mater. 2019, 200, 46–54. [Google Scholar] [CrossRef]
- Yvonne, M.B.; Müller, A.J.; Rodriguez, Y. Use of rheological compatibility criteria to study SBS modified asphalts. J. Appl. Polym. Sci. 2003, 90, 1772–1782. [Google Scholar] [CrossRef]
- Navarro, F.J.; Partal, P.; Martínez-Boza, F.; Gallegos, C.; Bordado, J.C.M.; Diogo, A.C. Rheology and microstructure of MDI–PEG reactive prepolymer-modified bitumen. Mech. Time-Depend. Mater. 2006, 10, 347–359. [Google Scholar] [CrossRef]
- Liu, H.Y.; Chang, R.; Cao, X.J.; Hao, P.W. Road performance of polyphosphoric acid composite modified asphalt mixture. J. Build. Mater. 2017, 20, 293–299. [Google Scholar]
- Li, C.; Cui, S.C.; Wang, L.; Bai, X.F. Rheological properties of polyphosphoric acid/SBS composite modified asphalt at high temperature. Mater. Rev. 2020, 34, 14057–14062. [Google Scholar]
- Baldino, N.; Gabriele, D.; Lupi, F.R.; Oliviero Rossi, C.; Caputo, P.; Falvo, T. Rheological effects on bitumen of polyphos-phoric acid (PPA) addition. Constr. Build. Mater. 2013, 40, 397–404. [Google Scholar] [CrossRef]
- Masson, J.F. Brief review of the chemistry of polyphosphoric acid (PPA) and bitumen. Energy Fuels 2008, 22, 2637–2640. [Google Scholar] [CrossRef] [Green Version]
- Wang, M.; Liu, L. Investigation of microscale aging behavior of asphalt binders using atomic force microscopy. Constr. Build. Mater. 2017, 135, 411–419. [Google Scholar] [CrossRef]
- Xing, C.; Liu, L.; Wang, M. A new preparation method and imaging parameters of asphalt binder samples for atomic force microscopy. Constr. Build. Mater. 2019, 205, 622–632. [Google Scholar] [CrossRef]
- Kou, C.J.; Wu, X.; Kang, A.H.; Liu, Y. Quantitative analysis of fluorescent microscopic image of SBS modified asphalt. Chin. Sci. Technol. Pap. 2020, 15, 1110–1117. [Google Scholar]
- Kang, A.H.; Zhang, Y.C.; Wu, H.; Sun, L.J. Preparation method of modified asphalt samples for fluorescence microscopic ob-servation. J. Sichuan Univ. 2012, 44, 154–158. [Google Scholar]
- Liu, S.; Zhou, S.; Peng, A. Evaluation of polyphosphoric acid on the performance of polymer modified asphalt binders. J. Appl. Polym. Sci. 2020, 137, e48984. [Google Scholar] [CrossRef]
- Zhang, F.; Hu, C. The research for SBS and SBR compound modified asphalts with polyphosphoric acid and sulfur. Constr. Build. Mater. 2013, 43, 461–468. [Google Scholar] [CrossRef]
- JTG F40 2017; Technical Specifications for Construction of Highway Asphalt Pavement. Standards Press of China: Beijing, China, 2017.
- Loeber, L.; Sutton, O.; Morel, J.; Valleton, J.-M.; Muller, G. New direct observations of asphalts and asphalt binders by scanning electron microscopy and atomic force microscopy. J. Microsc. 1996, 182, 32–39. [Google Scholar] [CrossRef]
- Yang, J.; Gong, M.H.; Troy, P.; Wei, J.M.; Wang, X.T. Study on microstructure of asphalt based on atomic force microscopy. Acta Pet. Sin. 2015, 31, 7. [Google Scholar]
- Yang, J.; Wang, X.D.; Gong, M.H.; Chen, J. Characteristic analysis of atomic force microscope microscopic image of asphalt. Acta Pet. Sin. 2015, 31, 1110–1115. [Google Scholar]
- Wang, L.; Cui, S.C.; Ren, M.D. Evaluation of microstructure properties of polyphosphoric acid compound SBS modified asphalt. Mater. Rev. 2019, 33, 4105–4110. [Google Scholar]
- Yan, K.; Zhang, H.; Xu, H. Effect of polyphosphoric acid on physical properties, chemical composition and morphology of bitumen. Constr. Build. Mater. 2013, 47, 92–98. [Google Scholar] [CrossRef]
- Ma, W.; Huang, T.; Guo, S.; Yang, C.; Ding, Y.; Hu, C. Atomic force microscope study of the aging/rejuvenating effect on asphalt morphology and adhesion performance. Constr. Build. Mater. 2019, 205, 642–655. [Google Scholar] [CrossRef]












| Characteristics | Unit | Value |
|---|---|---|
| Chroma (once) | - | 10 |
| H3PO4 | % | 115.5 |
| P2O5 | % | 83.31 |
| Chloride | % | 0.00005 |
| Fe | % | 0.0004 |
| As | % | 0.006 |
| Characteristics | Unit | Value |
|---|---|---|
| Appearance | - | Dark brown |
| Relative density (25 °C) | g/cm3 | 1.24 |
| Kinematic viscosity (100 °C) | mm2/s | 240 |
| Pour point | °C | 24 |
| Flash point | °C | 265 |
| Volatility (163 °C, 3 h) | % | 0.05 |
| Moisture | % | 0.02 |
| Proportion Scheme | Namely |
|---|---|
| 4% SBS + AS (100) | A1 |
| 0.5% PPA + 3.5% SBS + AS:BA (90:10) | A2 |
| 1% PPA + 3% SBS + AS:BA (90:10) | A3 |
| 1.5% PPA + 2.5% SBS + AS:BA (85:15) | A4 |
Publisher’s Note: MDPI stays neutral with regard to jurisdictional claims in published maps and institutional affiliations. |
© 2022 by the authors. Licensee MDPI, Basel, Switzerland. This article is an open access article distributed under the terms and conditions of the Creative Commons Attribution (CC BY) license (https://creativecommons.org/licenses/by/4.0/).
Share and Cite
Liu, G.; Zhang, W.; Yang, X.; Ning, Z. Study on the Conventional Performance and Microscopic Properties of PPA/SBS-Modified Bio-Mixed Asphalt. Materials 2022, 15, 4101. https://doi.org/10.3390/ma15124101
Liu G, Zhang W, Yang X, Ning Z. Study on the Conventional Performance and Microscopic Properties of PPA/SBS-Modified Bio-Mixed Asphalt. Materials. 2022; 15(12):4101. https://doi.org/10.3390/ma15124101
Chicago/Turabian StyleLiu, Guiyong, Wei Zhang, Xiaolong Yang, and Zhikang Ning. 2022. "Study on the Conventional Performance and Microscopic Properties of PPA/SBS-Modified Bio-Mixed Asphalt" Materials 15, no. 12: 4101. https://doi.org/10.3390/ma15124101
APA StyleLiu, G., Zhang, W., Yang, X., & Ning, Z. (2022). Study on the Conventional Performance and Microscopic Properties of PPA/SBS-Modified Bio-Mixed Asphalt. Materials, 15(12), 4101. https://doi.org/10.3390/ma15124101

