Sign in to use this feature.

Years

Between: -

Subjects

remove_circle_outline
remove_circle_outline
remove_circle_outline
remove_circle_outline
remove_circle_outline

Journals

Article Types

Countries / Regions

Search Results (15)

Search Parameters:
Keywords = poly(benzyl methacrylate)

Order results
Result details
Results per page
Select all
Export citation of selected articles as:
14 pages, 1220 KB  
Article
Viscoelastic Response of Double Hydrophilic Block Copolymers for Drug Delivery Applications
by Achilleas Pipertzis, Angeliki Chroni, Stergios Pispas and Jan Swenson
Polymers 2025, 17(13), 1857; https://doi.org/10.3390/polym17131857 - 2 Jul 2025
Viewed by 467
Abstract
This study investigates the mechanical properties of double hydrophilic block copolymers (DHBCs) based on poly[oligo(ethylene glycol) methacrylate] (POEGMA) and poly(vinyl benzyl trimethylammonium chloride) (PVBTMAC) blocks by employing small amplitude oscillatory shear (SAOS) rheological measurements. We report that the mechanical properties of DHBCs are [...] Read more.
This study investigates the mechanical properties of double hydrophilic block copolymers (DHBCs) based on poly[oligo(ethylene glycol) methacrylate] (POEGMA) and poly(vinyl benzyl trimethylammonium chloride) (PVBTMAC) blocks by employing small amplitude oscillatory shear (SAOS) rheological measurements. We report that the mechanical properties of DHBCs are governed by the interfacial glass transition temperature (Tginter), verifying the disordered state of these copolymers. An increase in zero shear viscosity can be observed by increasing the VBTMAC content, yielding a transition from liquid-like to gel-like and finally to an elastic-like response for the PVBTMAC homopolymer. By changing the block arrangement along the backbone from statistical to sequential, a distinct change in the viscoelastic response is obvious, indicating the presence/absence of bulk-like regions. The tunable viscosity values and shear-thinning behavior achieved through alteration of the copolymer composition and block arrangement along the backbone render the studied DHBCs promising candidates for drug delivery applications. In the second part, the rheological data are analyzed within the framework of the classical free volume theories of glass formation. Specifically, the copolymers exhibit reduced fractional free volume and similar fragility values compared to the PVBTMAC homopolymer. On the contrary, the activation energy increases by increasing the VBTMAC content, reflecting the required higher energy for the relaxation of the glassy VBTMAC segments. Overall, this study provides information about the viscoelastic properties of DHBCs with densely grafted macromolecular architecture and shows how the mechanical and dynamical properties can be tailored for different drug delivery applications by simply altering the ratio between the two homopolymers. Full article
(This article belongs to the Special Issue Advances and Applications of Block Copolymers II)
Show Figures

Graphical abstract

17 pages, 2080 KB  
Article
Multi-Responsive Amphiphilic Hyperbranched Poly[(2-dimethyl aminoethyl methacrylate)-co-(benzyl methacrylate)]copolymers: Self-Assembly and Curcumin Encapsulation in Aqueous Media
by Foteini Ginosati, Dimitrios Vagenas, Angelica Maria Gerardos and Stergios Pispas
Materials 2025, 18(3), 513; https://doi.org/10.3390/ma18030513 - 23 Jan 2025
Cited by 3 | Viewed by 1160
Abstract
In this study, we report the synthesis of amphiphilic hyperbranched poly[(2-dimethylaminoethyl methacrylate)-co-(benzyl methacrylate)] statistical copolymers with two different stoichiometric compositions using the reversible addition–fragmentation chain transfer polymerization (RAFT) technique. The selection of monomers was made to incorporate a pH and thermoresponsive polyelectrolyte (DMAEMA) [...] Read more.
In this study, we report the synthesis of amphiphilic hyperbranched poly[(2-dimethylaminoethyl methacrylate)-co-(benzyl methacrylate)] statistical copolymers with two different stoichiometric compositions using the reversible addition–fragmentation chain transfer polymerization (RAFT) technique. The selection of monomers was made to incorporate a pH and thermoresponsive polyelectrolyte (DMAEMA) component and a hydrophobic component (BzMA) to achieve amphiphilicity and study the effects of architecture and environmental factors on the behavior of the novel branched copolymers. Molecular characterization was performed through size exclusion chromatography (SEC) and spectroscopic characterization techniques (1H-NMR and FT-IR). The self-assembly behavior of the hyperbranched copolymers in aqueous media, in response to variations in pH, temperature, and ionic strength, was studied using dynamic light scattering (DLS), electrophoretic light scattering (ELS), and fluorescence spectroscopy (FS). Finally, the efficacy of the two novel copolymers to encapsulate curcumin (CUR), a hydrophobic, polyphenolic drug with proven anti-inflammatory and fluorescence properties, was established. Its encapsulation was evaluated through DLS, UV–Vis, and fluorescence measurements, investigating the change of hydrodynamic radius of the produced mixed copolymer–CUR nanoparticles in each case and their fluorescence emission properties. Full article
(This article belongs to the Special Issue Applied Stimuli-Responsive Polymer Based Materials)
Show Figures

Figure 1

22 pages, 3023 KB  
Article
Synthesis and Micellization Behavior of Amphiphilic Block Copolymers of Poly(N-vinyl Pyrrolidone) and Poly(Benzyl Methacrylate): Block versus Statistical Copolymers
by Nikoletta Roka and Marinos Pitsikalis
Polymers 2023, 15(9), 2225; https://doi.org/10.3390/polym15092225 - 8 May 2023
Cited by 5 | Viewed by 2995
Abstract
Block copolymers of N-vinyl pyrrolidone (NVP) and benzyl methacrylate (BzMA), PNVP-b-PBzMA, were prepared by RAFT polymerization techniques and sequential addition of monomers. The copolymers were characterized by Size Exclusion Chromatography (SEC) and NMR spectroscopy. Differential Scanning Calorimetry (DSC), Thermogravimetric Analysis (TGA) [...] Read more.
Block copolymers of N-vinyl pyrrolidone (NVP) and benzyl methacrylate (BzMA), PNVP-b-PBzMA, were prepared by RAFT polymerization techniques and sequential addition of monomers. The copolymers were characterized by Size Exclusion Chromatography (SEC) and NMR spectroscopy. Differential Scanning Calorimetry (DSC), Thermogravimetric Analysis (TGA) and Differential Thermogravimetry (DTG) were employed to study the thermal properties of these copolymers. The micellization behavior in THF, which is a selective solvent for the PBzMA blocks, was examined. For comparison the self-assembly properties of the corresponding statistical copolymers, PNVP-stat-PBzMA, were studied. In addition, the association behavior in aqueous solutions was analyzed for the block copolymers, PNVP-b-PBzMA. In this case, the solvent is selective for the PNVP blocks. Dilute solution viscometry, static (SLS) and dynamic light scattering (DLS) were employed as the tools to investigate the micellar assemblies. The efficient encapsulation of the hydrophobic curcumin within the micellar core of the supramolecular structures in aqueous solutions was demonstrated by UV-Vis spectroscopy and DLS measurements. Full article
(This article belongs to the Special Issue Block Copolymers: Self-Assembly and Applications)
Show Figures

Figure 1

10 pages, 1891 KB  
Article
Thin-Film Luminescent Solar Concentrator Based on Intramolecular Charge Transfer Fluorophore and Effect of Polymer Matrix on Device Efficiency
by Fahad Mateen, Namcheol Lee, Sae Youn Lee, Syed Taj Ud Din, Woochul Yang, Asif Shahzad, Ashok Kumar Kaliamurthy, Jae-Joon Lee and Sung-Kyu Hong
Polymers 2021, 13(21), 3770; https://doi.org/10.3390/polym13213770 - 31 Oct 2021
Cited by 7 | Viewed by 3856
Abstract
Luminescent solar concentrators (LSCs) provide a transformative approach to integrating photovoltaics into a built environment. In this paper, we report thin-film LSCs composed of intramolecular charge transfer fluorophore (DACT-II) and discuss the effect of two polymers, polymethyl methacrylate (PMMA), and poly (benzyl methacrylate) [...] Read more.
Luminescent solar concentrators (LSCs) provide a transformative approach to integrating photovoltaics into a built environment. In this paper, we report thin-film LSCs composed of intramolecular charge transfer fluorophore (DACT-II) and discuss the effect of two polymers, polymethyl methacrylate (PMMA), and poly (benzyl methacrylate) (PBzMA) on the performance of large-area LSCs. As observed experimentally, DACT-II with the charge-donating diphenylaminocarbazole and charge-accepting triphenyltriazine moieties shows a large Stokes shift and limited re-absorption losses in both polymers. Our results show that thin-film LSC (10 × 10 × 0.3 cm3) with optimized concentration (0.9 wt%) of DACT-II in PBzMA gives better performance than that in the PMMA matrix. In particular, optical conversion efficiency (ηopt) and power-conversion efficiency (ηPCE) of DACT-II/PBzMA LSC are 2.32% and 0.33%, respectively, almost 1.2 times higher than for DACT-II/PMMA LSC. Full article
(This article belongs to the Special Issue Polymer Films for Photovoltaic Applications)
Show Figures

Figure 1

10 pages, 1116 KB  
Article
Unusual Lower Critical Solution Temperature Phase Behavior of Poly(benzyl methacrylate) in a Pyrrolidinium-Based Ionic Liquid
by Brian R. Carrick, Claire L. Seitzinger and Timothy P. Lodge
Molecules 2021, 26(16), 4850; https://doi.org/10.3390/molecules26164850 - 11 Aug 2021
Cited by 5 | Viewed by 3331
Abstract
Polymer/ionic liquid systems are being increasingly explored, yet those exhibiting lower critical solution temperature (LCST) phase behavior remain poorly understood. Poly(benzyl methacrylate) in certain ionic liquids constitute unusual LCST systems, in that the second virial coefficient (A2) in dilute solutions [...] Read more.
Polymer/ionic liquid systems are being increasingly explored, yet those exhibiting lower critical solution temperature (LCST) phase behavior remain poorly understood. Poly(benzyl methacrylate) in certain ionic liquids constitute unusual LCST systems, in that the second virial coefficient (A2) in dilute solutions has recently been shown to be positive, indicative of good solvent behavior, even above phase separation temperatures, where A2 < 0 is expected. In this work, we describe the LCST phase behavior of poly(benzyl methacrylate) in 1-butyl-1-methylpyrrolidinium bis(trifluoromethylsulfonyl)imide for three different molecular weights (32, 63, and 76 kg/mol) in concentrated solutions (5–40% by weight). Turbidimetry measurements reveal a strong concentration dependence to the phase boundaries, yet the molecular weight is shown to have no influence. The critical compositions of these systems are not accessed, and must therefore lie above 40 wt% polymer, far from the values (ca. 10%) anticipated by Flory-Huggins theory. The proximity of the experimental cloud point to the coexistence curve (binodal) and the thermo-reversibility of the phase transitions, are also confirmed at various heating and cooling rates. Full article
(This article belongs to the Special Issue Ionic Liquids: From Theory to Applications)
Show Figures

Figure 1

10 pages, 1524 KB  
Article
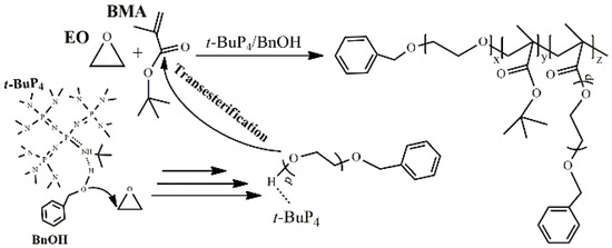
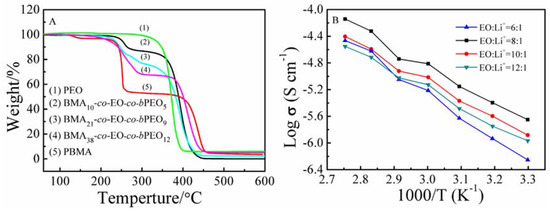
Hybrid Copolymerization of Ethylene Oxide and tert-Butyl Methacrylate with Organocatalyst
by Wenhao Xiao, Liguo Xu, Pan Liu, Yang Chen, Jie Zhang and Jinbao Xu
Polymers 2021, 13(15), 2546; https://doi.org/10.3390/polym13152546 - 31 Jul 2021
Cited by 4 | Viewed by 3188
Abstract
Hybrid copolymerization of structurally different, reactivity and mechanism distinct monomers (e.g., cyclic and vinyl type monomers) is of great interest and challenge for both academic research and practical application. Herein, ethylene oxide-co-tert-butyl methacrylate-co-poly(ethylene glycol) benzyl methacrylate (EO- [...] Read more.
Hybrid copolymerization of structurally different, reactivity and mechanism distinct monomers (e.g., cyclic and vinyl type monomers) is of great interest and challenge for both academic research and practical application. Herein, ethylene oxide-co-tert-butyl methacrylate-co-poly(ethylene glycol) benzyl methacrylate (EO-co-BMA-co-bPEO), a statistical copolymer was synthesized via hybrid copolymerization of EO and BMA using an uncharged, non-nucleophilic organobase t-BuP4 as the catalyst. Detailed characterizations indicate that hybrid copolymerization of ethylene oxide and vinyl monomer forms a statistical copolymer concurrently with the transesterification of tert-butyl group and oligomer PEO anions. The application of the copolymer as all solid lithium-ion battery polymer electrolyte was investigated by detecting the ionic conductivity (σ) with electrical impedance spectrum measurement. Full article
(This article belongs to the Section Polymer Chemistry)
Show Figures

Graphical abstract

16 pages, 2581 KB  
Article
Novel Amphiphilic Block Copolymers for the Formation of Stimuli-Responsive Non-Lamellar Lipid Nanoparticles
by Jiali Zhai, Bo Fan, San H. Thang and Calum J. Drummond
Molecules 2021, 26(12), 3648; https://doi.org/10.3390/molecules26123648 - 15 Jun 2021
Cited by 21 | Viewed by 5209
Abstract
Non-lamellar lyotropic liquid crystalline (LLC) lipid nanoparticles contain internal multidimensional nanostructures such as the inverse bicontinuous cubic and the inverse hexagonal mesophases, which can respond to external stimuli and have the potential of controlling drug release. To date, the internal LLC mesophase responsiveness [...] Read more.
Non-lamellar lyotropic liquid crystalline (LLC) lipid nanoparticles contain internal multidimensional nanostructures such as the inverse bicontinuous cubic and the inverse hexagonal mesophases, which can respond to external stimuli and have the potential of controlling drug release. To date, the internal LLC mesophase responsiveness of these lipid nanoparticles is largely achieved by adding ionizable small molecules to the parent lipid such as monoolein (MO), the mixture of which is then dispersed into nanoparticle suspensions by commercially available poly(ethylene oxide)–poly(propylene oxide) block copolymers. In this study, the Reversible Addition-Fragmentation chain Transfer (RAFT) technique was used to synthesize a series of novel amphiphilic block copolymers (ABCs) containing a hydrophilic poly(ethylene glycol) (PEG) block, a hydrophobic block and one or two responsive blocks, i.e., poly(4-(4,4,5,5-tetramethyl-1,3,2-dioxaborolan-2-yl)benzyl acrylate) (PTBA) and/or poly(2-(dimethylamino)ethyl methacrylate) (PDMAEMA). High throughput small angle X-ray scattering studies demonstrated that the synthesized ABCs could simultaneously stabilize a range of LLC MO nanoparticles (vesicles, cubosomes, hexosomes, inverse micelles) and provide internal particle nanostructure responsiveness to changes of hydrogen peroxide (H2O2) concentrations, pH and temperature. It was found that the novel functional ABCs can substitute for the commercial polymer stabilizer and the ionizable additive in the formation of next generation non-lamellar lipid nanoparticles. These novel formulations have the potential to control drug release in the tumor microenvironment with endogenous H2O2 and acidic pH conditions. Full article
(This article belongs to the Special Issue Synthesis of Amphiphilic Compounds and Applications)
Show Figures

Figure 1

18 pages, 5816 KB  
Article
Dual Stimuli-Responsive Copper Nanoparticles Decorated SBA-15: A Highly Efficient Catalyst for the Oxidation of Alcohols in Water
by Anju Maria Thomas, Jerome Peter, Saravanan Nagappan, Anandhu Mohan and Chang-Sik Ha
Nanomaterials 2020, 10(10), 2051; https://doi.org/10.3390/nano10102051 - 16 Oct 2020
Cited by 8 | Viewed by 2862
Abstract
In the present work, a temperature and pH-responsive hybrid catalytic system using copolymer-capped mesoporous silica particles with metal nanoparticles is proposed. The poly(2-(dimethylamino)ethyl methacrylate)(DMAEMA)-co-N-tert-butyl acrylamide) (TBA)) shell on mesoporous silica SBA-15 was obtained through free radical polymerization. Then, copper [...] Read more.
In the present work, a temperature and pH-responsive hybrid catalytic system using copolymer-capped mesoporous silica particles with metal nanoparticles is proposed. The poly(2-(dimethylamino)ethyl methacrylate)(DMAEMA)-co-N-tert-butyl acrylamide) (TBA)) shell on mesoporous silica SBA-15 was obtained through free radical polymerization. Then, copper nanoparticles (CuNPs) decorated SBA-15/copolymer hybrid materials were synthesized using the NaBH4 reduction method. SBA-15 was functionalized with trimethoxylsilylpropyl methacrylate (TMSPM) and named TSBA. It was found that the CuNPs were uniformly dispersed in the mesoporous channels of SBA-15, and the hybrid catalyst exhibited excellent catalytic performance for the selective oxidation of different substituted benzyl alcohols in water using H2O2 as an oxidant at room temperature. The dual (temperature and pH-) responsive behaviors of the CuNPs/p(DMAEMA-co-TBA)/TSBA catalyst were investigated using the dynamic light scattering technique. The conversion of catalytic products and selectivity were calculated using gas chromatographic techniques, whereas the molecular structure of the products was identified using 1H and 13C nuclear magnetic resonance (NMR) spectroscopy. The catalyst showed excellent catalytic activity toward the oxidation of alcohol to aldehyde in an aqueous medium below the lower critical solution temperature (LCST) and pKa values (7–7.5) of the copolymer. The main advantages of the hybrid catalyst, as compared to the existing catalysts, are outstanding alcohol conversion (up to 99%) for a short reaction time (1 h), small amount of the catalyst (5 mg), and good recyclability equal to at least five times. Full article
(This article belongs to the Special Issue Applications of Mesoporous Silica Nanostructures)
Show Figures

Graphical abstract

17 pages, 2664 KB  
Article
Nanocomposite of Graphene Oxide Encapsulated in Polymethylmethacrylate (PMMA): Pre-Modification, Synthesis, and Latex Stability
by Hui Wang, Letian Wang, Shanyu Meng, Hanxue Lin, Melanie Correll and Zhaohui Tong
J. Compos. Sci. 2020, 4(3), 118; https://doi.org/10.3390/jcs4030118 - 17 Aug 2020
Cited by 17 | Viewed by 4134
Abstract
The compatibility of graphene oxide with its dispersion medium (polymer) plays a critical role in the formation of nanocomposite materials with significant property improvements. Environmentally friendly miniemulsion polymerization, which allows a formation of nanoencapsulation in an aqueous phase and high molecular weight polymer/composite [...] Read more.
The compatibility of graphene oxide with its dispersion medium (polymer) plays a critical role in the formation of nanocomposite materials with significant property improvements. Environmentally friendly miniemulsion polymerization, which allows a formation of nanoencapsulation in an aqueous phase and high molecular weight polymer/composite production is one promising method. In this study, we screened a series of amphiphilic modifiers and found that the quaternary ammonium (ar-vinyl benzyl) trimethyl ammonium chloride (VBTAC) pending carbon double bonds could effectively modify the graphene oxide (GO) to be compatible with the organophilic monomer. After that, free radical miniemulsion polymerization successfully synthesized stable latex of exfoliated poly (methyl methacrylate) (PMMA)/ GO nanocomposite. The final latex had an extended storage life and a relatively uniform particle size distribution. X-ray powder diffraction (XRD), transmission electron microscopy (TEM), and scanning electron microscopy (SEM) analysis of this latex and its films indicated successful encapsulation of exfoliated nano-dimensional graphene oxide inside a polymer matrix. Full article
(This article belongs to the Special Issue Graphene Oxide Composites)
Show Figures

Figure 1

18 pages, 4142 KB  
Article
Poly[oligo(ethylene glycol) methacrylate]-b-poly[(vinyl benzyl trimethylammonium chloride)] Based Multifunctional Hybrid Nanostructures Encapsulating Magnetic Nanoparticles and DNA
by Angeliki Chroni, Aleksander Forys, Barbara Trzebicka, Adam Alemayehu, Vaclav Tyrpekl and Stergios Pispas
Polymers 2020, 12(6), 1283; https://doi.org/10.3390/polym12061283 - 3 Jun 2020
Cited by 10 | Viewed by 3894
Abstract
We report on the preparation of novel and multifunctional hybrid spherical-shaped nanostructures involving a double-hydrophilic block copolymer, namely the neutral cationic poly[oligo(ethylene glycol) methacrylate]-b-poly[(vinyl benzyl trimethylammonium chloride)] (POEGMA-b-PVBTMAC) diblock copolymer, initially complexed with hydrophilic anionic magnetic nanoparticles (MNPs), and [...] Read more.
We report on the preparation of novel and multifunctional hybrid spherical-shaped nanostructures involving a double-hydrophilic block copolymer, namely the neutral cationic poly[oligo(ethylene glycol) methacrylate]-b-poly[(vinyl benzyl trimethylammonium chloride)] (POEGMA-b-PVBTMAC) diblock copolymer, initially complexed with hydrophilic anionic magnetic nanoparticles (MNPs), and subsequently, with short deoxyribonucleic acid (113 bases DNA). The POEGMA-b-PVBTMAC copolymer, the copolymer/MNPs and the copolymer/MNPs/DNA tricomponent hybrid electrostatic complexes were studied by dynamic/electrophoretic light scattering (DLS/ELS) and cryogenic transmission electron microscopy (cryo-TEM) techniques for the determination of their structure and solution properties. The MNPs were complexed efficiently with the oppositely charged diblock chains, leading to well-defined hybrid organic–inorganic spherical-shaped nanostructures. A significant aggregation tendency of the MNPs is noticed in cryo-TEM measurements after the electrostatic complexation of DNA, implying an accumulation of the DNA macromolecules on the surface of the hybrid tricomponent complexes. Magnetophoretic experiments verified that the MNPs maintain their magnetic properties after the complexation initially with the copolymer, and subsequently, within the block polyelectrolyte/MNPs/DNA nanostructures. Full article
(This article belongs to the Special Issue Polymer Hybrid Nanomaterials)
Show Figures

Figure 1

17 pages, 3625 KB  
Article
Construction of NIR Light Controlled Micelles with Photothermal Conversion Property: Poly(poly(ethylene glycol)methyl ether methacrylate) (PPEGMA) as Hydrophilic Block and Ketocyanine Dye as NIR Photothermal Conversion Agent
by Lan Yao, Haihui Li, Kai Tu, Lifen Zhang, Zhenping Cheng and Xiulin Zhu
Polymers 2020, 12(5), 1181; https://doi.org/10.3390/polym12051181 - 21 May 2020
Cited by 5 | Viewed by 3879
Abstract
Polymeric nanomaterials made from amphiphilic block copolymers are increasingly used in the treatment of tumor tissues. In this work, we firstly synthesized the amphiphilic block copolymer PBnMA-b-P(BAPMA-co-PEGMA) via reversible addition-fragmentation chain transfer (RAFT) polymerization using benzyl methacrylate (BnMA), poly [...] Read more.
Polymeric nanomaterials made from amphiphilic block copolymers are increasingly used in the treatment of tumor tissues. In this work, we firstly synthesized the amphiphilic block copolymer PBnMA-b-P(BAPMA-co-PEGMA) via reversible addition-fragmentation chain transfer (RAFT) polymerization using benzyl methacrylate (BnMA), poly (ethylene glycol) methyl ether methacrylate (PEGMA), and 3-((tert-butoxycarbonyl)amino)propyl methacrylate (BAPMA) as the monomers. Subsequently, PBnMA-b-P(APMA-co-PEGMA)@NIR 800 with photothermal conversion property was obtained by deprotection of the tert-butoxycarbonyl (BOC) groups of PBAPMA chains with trifluoroacetic acid (TFA) and post-modification with carboxyl functionalized ketocyanine dye (NIR 800), and it could self-assemble into micelles in CH3OH/water mixed solvent. The NIR photothermal conversion property of the post-modified micelles were investigated. Under irradiation with NIR light (λmax = 810 nm, 0.028 W/cm2) for 1 h, the temperature of the modified micelles aqueous solution increased to 53 °C from 20 °C, which showed the excellent NIR photothermal conversion property. Full article
(This article belongs to the Section Polymer Chemistry)
Show Figures

Graphical abstract

16 pages, 6180 KB  
Article
Active PZT Composite Microfluidic Channel for Bioparticle Manipulation
by Tomas Janusas, Kestutis Pilkauskas, Giedrius Janusas and Arvydas Palevicius
Sensors 2019, 19(9), 2020; https://doi.org/10.3390/s19092020 - 29 Apr 2019
Cited by 3 | Viewed by 4329
Abstract
The concept of active microchannel for precise manipulation of particles in biomedicine is reported in this paper. A novel vibration-assisted thermal imprint method is proposed for effective formation of a microchannel network in the nanocomposite piezo polymer layer. In this method, bulk acoustic [...] Read more.
The concept of active microchannel for precise manipulation of particles in biomedicine is reported in this paper. A novel vibration-assisted thermal imprint method is proposed for effective formation of a microchannel network in the nanocomposite piezo polymer layer. In this method, bulk acoustic waves of different wavelengths excited in an imprinted microstructure enable it to function in trapping–patterning, valve, or free particle passing modes. Acoustic waves are excited using a special pattern of electrodes formed on its top surface and a single electric ground electrode formed on the bottom surface. To develop the microchannel, we first started with lead zirconate titanate (PZT) nanopowder [Pb (Zrx, Ti1−x) O3] synthesis. The PZT was further mixed with three different binding materials—polyvinyl butyral (PVB), poly(methyl methacrylate) (PMMA), and polystyrene (PS)—in benzyl alcohol to prepare a screen-printing paste. Then, using conventional screen printing techniques, three types of PZT coatings on copper foil substrates were obtained. To improve the voltage characteristics, the coatings were polarized. Their structural and chemical composition was analyzed using scanning electron microscope (SEM), while the mechanical and electrical characteristics were determined using the COMSOL Multiphysics model with experimentally obtained parameters of periodic response of the layered copper foil structure. The hydrophobic properties of the PZT composite were analyzed by measuring the contact angle between the distilled water drop and the three different polymer composites: PZT with PVB, PZT with PMMA, and PZT with PS. Finally, the behavior of the microchannel formed in the nanocomposite piezo polymer was simulated by applying electrical excitation signal on the pattern of electrodes and then analyzed experimentally using holographic interferometry. Wave-shaped vibration forms of the microchannel were obtained, thereby enabling particle manipulation. Full article
Show Figures

Figure 1

12 pages, 1890 KB  
Article
Chemical Synthesis and Characterization of Poly(poly(ethylene glycol) methacrylate)-Grafted CdTe Nanocrystals via RAFT Polymerization for Covalent Immobilization of Adenosine
by Trinh Duy Nguyen, Hieu Vu-Quang, Thanh Sang Vo, Duy Chinh Nguyen, Dai-Viet N. Vo, Dai Hai Nguyen, Kwon Taek Lim, Dai Lam Tran and Long Giang Bach
Polymers 2019, 11(1), 77; https://doi.org/10.3390/polym11010077 - 6 Jan 2019
Cited by 8 | Viewed by 5454
Abstract
This paper describes the functionalization of poly(poly(ethylene glycol) methacrylate) (PPEGMA)-grafted CdTe (PPEGMA-g-CdTe) quantum dots (QDs) via surface-initiated reversible addition–fragmentation chain transfer (SI-RAFT) polymerization for immobilization of adenosine. Initially, the hydroxyl-coated CdTe QDs, synthesized using 2-mercaptoethanol (ME) as a capping agent, were [...] Read more.
This paper describes the functionalization of poly(poly(ethylene glycol) methacrylate) (PPEGMA)-grafted CdTe (PPEGMA-g-CdTe) quantum dots (QDs) via surface-initiated reversible addition–fragmentation chain transfer (SI-RAFT) polymerization for immobilization of adenosine. Initially, the hydroxyl-coated CdTe QDs, synthesized using 2-mercaptoethanol (ME) as a capping agent, were coupled with a RAFT agent, S-benzyl S′-trimethoxysilylpropyltrithiocarbonate (BTPT), through a condensation reaction. Then, 2,2′-azobisisobutyronitrile (AIBN) was used to successfully initiate in situ RAFT polymerization to generate PPEGMA-g-CdTe nanocomposites. Adenosine-above-PPEGMA-grafted CdTe (Ado-i-PPEGMA-g-CdTe) hybrids were formed by the polymer shell, which had successfully undergone bioconjugation and postfunctionalization by adenosine (as a nucleoside). Fourier transform infrared (FT-IR) spectrophotometry, energy-dispersive X-ray (EDX) spectroscopy, thermogravimetric analysis (TGA), X-ray photoelectron spectroscopy (XPS), and transmission electron microscopy results indicated that a robust covalent bond was created between the organic PPEGMA part, cadmium telluride (CdTe) QDs, and the adenosine conjugate. The optical properties of the PPEGMA-g-CdTe and Ado-i-PPEGMA-g-CdTe hybrids were investigated by photoluminescence (PL) spectroscopy, and the results suggest that they have a great potential for application as optimal materials in biomedicine. Full article
(This article belongs to the Special Issue Nanotechnology of Polymers and Biomaterials)
Show Figures

Graphical abstract

29 pages, 751 KB  
Review
Precise Synthesis of Block Polymers Composed of Three or More Blocks by Specially Designed Linking Methodologies in Conjunction with Living Anionic Polymerization System
by Yuri Matsuo, Ryuji Konno, Takashi Ishizone, Raita Goseki and Akira Hirao
Polymers 2013, 5(3), 1012-1040; https://doi.org/10.3390/polym5031012 - 17 Jul 2013
Cited by 53 | Viewed by 16756
Abstract
This article reviews the successful development of two specially designed linking methodologies in conjunction with a living anionic polymerization system for the synthesis of novel multiblock polymers, composed of three or more blocks, difficult to be synthesized by sequential polymerization. The first methodology [...] Read more.
This article reviews the successful development of two specially designed linking methodologies in conjunction with a living anionic polymerization system for the synthesis of novel multiblock polymers, composed of three or more blocks, difficult to be synthesized by sequential polymerization. The first methodology with the use of a new heterofunctional linking agent, 2-(4-chloromethylphenyl)ethyldimethylchlorosilane (1), was developed for the synthesis of multiblock polymers containing poly(dimethylsiloxane) (PDMS) blocks. This methodology is based on the selective reaction of the chain-end silanolate anion of living PDMS, with the silyl chloride function of 1, and subsequent linking reaction of the resulting ω-chain-end-benzyl chloride-functionalized polymer with either a living anionic polymer or living anionic block copolymer. With this methodology, various multiblock polymers containing PDMS blocks, up to the pentablock quintopolymer, were successfully synthesized. The second methodology using an α-phenylacrylate (PA) reaction site was developed for the synthesis of multiblock polymers composed of all-vinyl polymer blocks. In this methodology, an α-chain-end-PA-functionalized polymer or block copolymer, via the living anionic polymerization, was first prepared and, then, reacted with appropriate living anionic polymer or block copolymer to link the two polymer chains. As a result, ACB (BCA), BAC (CAB), (AB)n, (AC)n, ABA, ACA, BCB, and ABCA multiblock polymers, where A, B, and C were polystyrene, poly(2-vinylpyridine), and poly(methyl methacrylate) segments, could be successfully synthesized. The synthesis of triblock copolymers, BAB, CAC, and CBC, having molecular asymmetry in both side blocks, was also achieved. Furthermore, the use of living anionic polymers, derived from many other monomers, categorized as either of styrene, 2-vinylpyridine, or methyl methacrylate in monomer reactivity, in the linking methodology enabled the number of synthetically possible block polymers to be greatly increased. Once again, all of the block polymers synthesized by these methodologies are new and cannot be synthesized at all by sequential polymerization. They were well-defined in block architecture and precisely controlled in block segment. Full article
(This article belongs to the Special Issue Non-Equilibrium Blockcopolymer Self-Assembly)
Show Figures

Graphical abstract

20 pages, 677 KB  
Article
Photosensized Controlling Benzyl Methacrylate-Based Matrix Enhanced Eu3+ Narrow-Band Emission for Fluorescence Applications
by Jiann-Fong Lee, Hsuen-Li Chen, Geneh-Siang Lee, Shao-Chin Tseng, Mei-Hsiang Lin and Wen-Bin Liau
Int. J. Mol. Sci. 2012, 13(3), 3718-3737; https://doi.org/10.3390/ijms13033718 - 21 Mar 2012
Cited by 4 | Viewed by 8456
Abstract
This study synthesized a europium (Eu3+) complex Eu(DBM)3Cl-MIP (DBM = dibenzoyl methane; Cl-MIP = 2-(2-chlorophenyl)-1-methyl-1H-imidazo[4,5-f][1,10]phenanthroline) dispersed in a benzyl methacrylate (BMA) monomer and treated with ultraviolet (UV) light for polymerization. Spectral results showed that the europium complex [...] Read more.
This study synthesized a europium (Eu3+) complex Eu(DBM)3Cl-MIP (DBM = dibenzoyl methane; Cl-MIP = 2-(2-chlorophenyl)-1-methyl-1H-imidazo[4,5-f][1,10]phenanthroline) dispersed in a benzyl methacrylate (BMA) monomer and treated with ultraviolet (UV) light for polymerization. Spectral results showed that the europium complex containing an antenna, Cl-MIP, which had higher triplet energy into the Eu3+ energy level, was an energetically enhanced europium emission. Typical stacking behaviors of π–π interactions between the ligands and the Eu3+-ion were analyzed using single crystal X-ray diffraction. Regarding the luminescence performance of this europium composite, the ligand/defect emission was suppressed by dispersion in a poly-BMA (PBMA) matrix. The underlying mechanism of the effective enhancement of the pure Eu3+ emission was attributed to the combined effects of structural modifications, defect emissions, and carrier charge transfer. Fluorescence spectra were compared to the composite of optimized Eu3+ emission where they were subsequently chelated to four metal ions via carboxylate groups on the BMA unit. The optical enhanced europium composite clearly demonstrated highly efficient optical responses and is, therefore a promising application as an optical detection material. Full article
(This article belongs to the Special Issue Correlation Analysis Applied to Solvolysis Reactions)
Show Figures

Back to TopTop