Multi-Responsive Amphiphilic Hyperbranched Poly[(2-dimethyl aminoethyl methacrylate)-co-(benzyl methacrylate)]copolymers: Self-Assembly and Curcumin Encapsulation in Aqueous Media
Abstract
1. Introduction
2. Materials and Methods
2.1. Materials
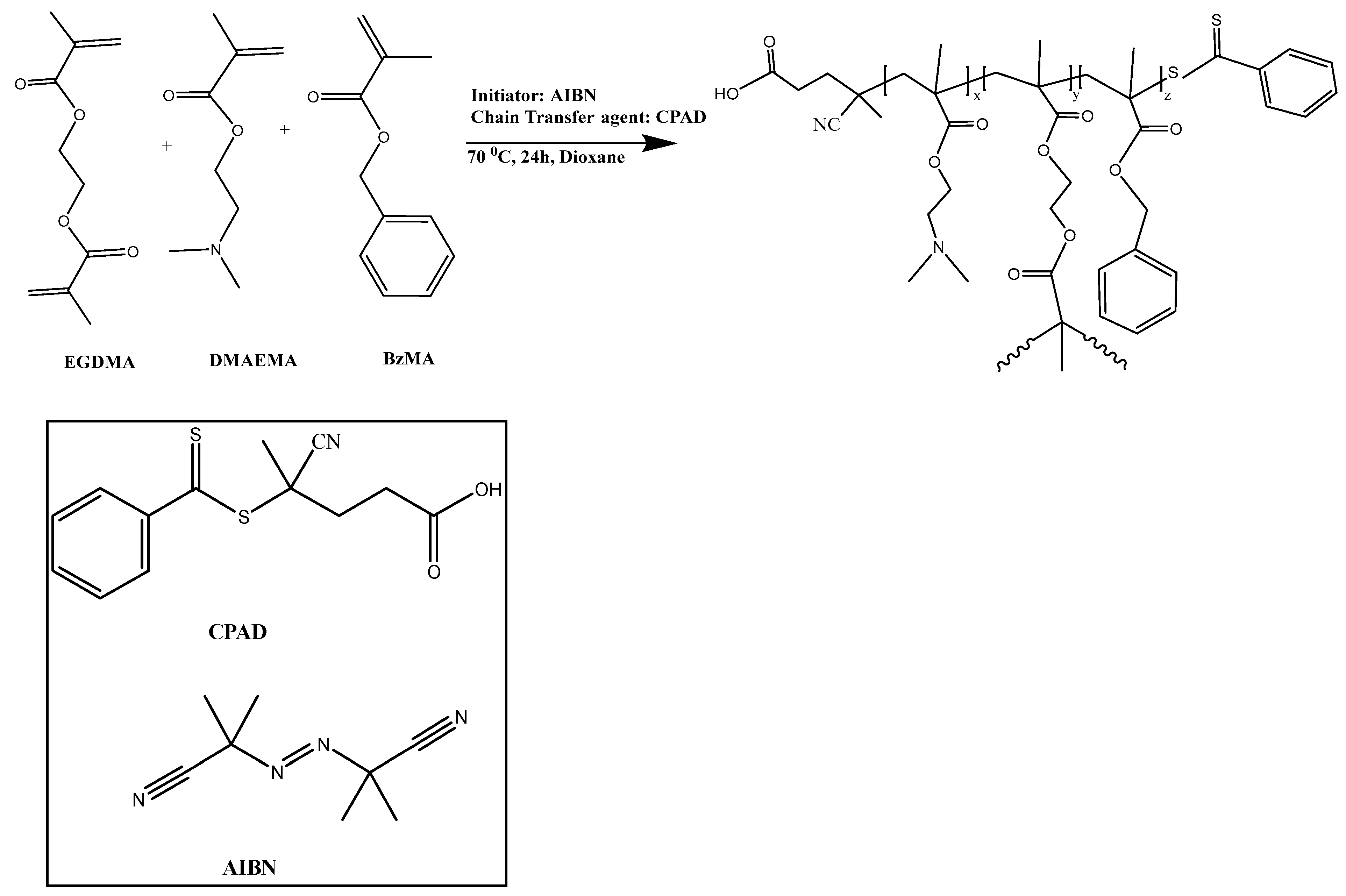
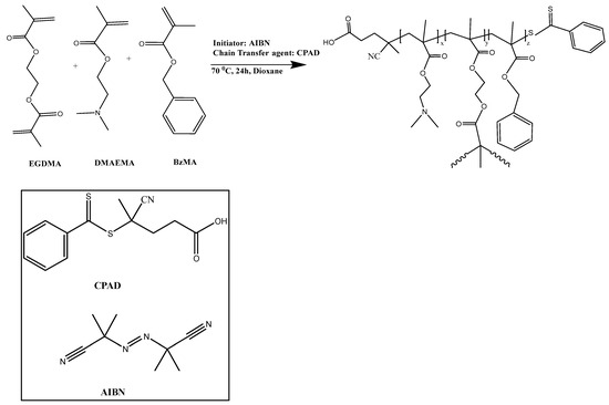
2.2. Synthesis of P(DMAEMA-co-BzMA) Hyperbranched Copolymers
2.3. Self-Assembly of P(DMAEMA-co-BzMA) in Aqueous Media
2.4. Ionic Strength Study
2.5. Curcumin Encapsulation into P(DMAEMA-co-BzMA) Aggregates
2.6. FBS Interaction Study
2.7. Characterization Methods
2.7.1. Size Exclusion Chromatography (SEC)
2.7.2. 1H-NMR Spectroscopy
2.7.3. Fourier Transform Infrared Spectroscopy (FT-IR)
2.7.4. Dynamic Light Scattering (DLS)
2.7.5. Fluorescence Spectroscopy (FS)
2.7.6. UV–Vis Spectroscopy
2.7.7. Electrophoretic Light Scattering (ζ-Potential)
3. Results
3.1. Synthesis of P(DMAEMA-co-BzMA) Hyperbranched Copolymers
3.2. 1H-NMR Analysis
3.3. SEC Analysis
3.4. Self-Assembly in Aqueous Media
3.5. Effect of Ionic Strength on P(DMAEMA-co-BzMA) Solution Assembly
3.6. Curcumin Encapsulation in P(DMAEMA-co-BzMA) Aggregates
4. Conclusions
Supplementary Materials
Author Contributions
Funding
Institutional Review Board Statement
Data Availability Statement
Conflicts of Interest
References
- Jeon, I.-Y.; Noh, H.-J.; Baek, J.-B. Hyperbranched Macromolecules: From Synthesis to Applications. Molecules 2018, 23, 657. [Google Scholar] [CrossRef] [PubMed]
- Wang, D.; Zhao, T.; Zhu, X.; Yan, D.; Wang, W. Bioapplications of Hyperbranched Polymers. Chem. Soc. Rev. 2015, 44, 4023–4071. [Google Scholar] [CrossRef]
- Zheng, Y.; Li, S.; Weng, Z.; Gao, C. Hyperbranched Polymers: Advances from Synthesis to Applications. Chem. Soc. Rev. 2015, 44, 4091–4130. [Google Scholar] [CrossRef]
- Wang, D.; Jin, Y.; Zhu, X.; Yan, D. Synthesis and Applications of Stimuli-Responsive Hyperbranched Polymers. Prog. Polym. Sci. 2017, 64, 114–153. [Google Scholar] [CrossRef]
- Jiang, G.; Chen, W.; Xia, W. Environmental-Sensitive Hyperbranched Polymers as Drug Carriers. Des. Monomers Polym. 2008, 11, 105–122. [Google Scholar] [CrossRef]
- Saadati, A.; Hasanzadeh, M.; Seidi, F. Biomedical Application of Hyperbranched Polymers: Recent Advances and Challenges. TrAC Trends Anal. Chem. 2021, 142, 116308. [Google Scholar] [CrossRef]
- Smith, A.E.; Xu, X.; McCormick, C.L. Stimuli-Responsive Amphiphilic (Co)Polymers via RAFT Polymerization. Prog. Polym. Sci. 2010, 35, 45–93. [Google Scholar] [CrossRef]
- Perrier, S. 50th Anniversary Perspective: RAFT Polymerization—A User Guide. Macromolecules 2017, 50, 7433–7447. [Google Scholar] [CrossRef]
- Gregory, A.; Stenzel, M.H. Complex Polymer Architectures via RAFT polymerization: From fundamental process to extending the scope using click chemistry and nature’s building blocks. Prog. Polym. Sci. 2012, 37, 38–105. [Google Scholar] [CrossRef]
- Wei, W.; Li, J.; Qi, X.; Zhong, Y.; Zuo, G.; Pan, X.; Su, T.; Zhang, J.; Dong, W. Synthesis and Characterization of a Multi-Sensitive Polysaccharide Hydrogel for Drug Delivery. Carbohydr. Polym. 2017, 177, 275–283. [Google Scholar] [CrossRef]
- Cao, Z.-Q.; Wang, G.-J. Multi-Stimuli-Responsive Polymer Materials: Particles, Films, and Bulk Gels. Chem. Rec. 2016, 16, 1398–1435. [Google Scholar] [CrossRef] [PubMed]
- Tomara, M.; Selianitis, D.; Pispas, S. Dual-Responsive Amphiphilic P (DMAEMA-co-LMA-co-OEGMA) Terpolymer Nano-Assemblies in Aqueous Media. Nanomaterials 2022, 12, 3791. [Google Scholar] [CrossRef]
- Yu, J.W.; Jung, J.; Choi, Y.-M.; Choi, J.H.; Yu, J.; Lee, J.K.; You, N.-H.; Goh, M. Enhancement of the Crosslink Density, Glass Transition Temperature, and Strength of Epoxy Resin by Using Functionalized Graphene Oxide Co-Curing Agents. Polym. Chem. 2016, 7, 36–43. [Google Scholar] [CrossRef]
- Dragan, E.S.; Cocarta, A.I. Smart Macroporous IPN Hydrogels Responsive to pH, Temperature, and Ionic Strength: Synthesis, Characterization, and Evaluation of Controlled Release of Drugs. ACS Appl. Mater. Interfaces 2016, 8, 12018–12030. [Google Scholar] [CrossRef] [PubMed]
- Vagenas, D.; Pispas, S. Four-Component Statistical Copolymers by RAFT Polymerization. Polymers 2024, 16, 1321. [Google Scholar] [CrossRef]
- Roka, N.; Pitsikalis, M. Synthesis and Micellization Behavior of Amphiphilic Block Copolymers of Poly (N-vinyl Pyrrolidone) and Poly (Benzyl Methacrylate): Block versus Statistical Copolymers. Polymers 2023, 15, 2225. [Google Scholar] [CrossRef] [PubMed]
- Hewlings, S.; Kalman, D. Curcumin: A Review of Its Effects on Human Health. Foods 2017, 6, 92. [Google Scholar] [CrossRef] [PubMed]
- Rathore, S. Curcumin: A Review for Health Benefits. Int. J. Res. Rev. 2020, 7, 273–290. [Google Scholar]
- Liu, M.; Teng, C.P.; Win, K.Y.; Chen, Y.; Zhang, X.; Yang, D.; Li, Z.; Ye, E. Polymeric Encapsulation of Turmeric Extract for Bioimaging and Antimicrobial Applications. Macromol. Rapid Commun. 2019, 40, 1800216. [Google Scholar] [CrossRef] [PubMed]
- TheHo, H.; Coupris, J.; Pascual, S.; Fontaine, L.; Lequeux, T.; Pham, T.N. Synthesis and Characterization of Innovative Well-defined Difluorophosphonylated-(co)Polymers by RAFT Polymerization. Polym. Chem. 2015, 6, 4597–4604. [Google Scholar] [CrossRef]
- Selianitis, D.; Pispas, S. P (MMA-co-HPMA)-b-POEGMA Copolymers: Synthesis, Micelle Formation in Aqueous Media and Drug Encapsulation. Polym. Int. 2021, 70, 1508–1522. [Google Scholar] [CrossRef]
- Nguyen, H.N.; Ha, P.T.; Nguyen, A.S.; Nguyen, D.T.; Do, H.D.; Thi, Q.N.; Thi, M.N.H. Curcumin as Fluorescent Probe for Directly Monitoring In Vitro Uptake of Curcumin Combined Paclitaxel Loaded PLA-TPGS Nanoparticles. Adv. Nat. Sci. Nanosci. Nanotechnol. 2016, 7, 025001. [Google Scholar] [CrossRef]
- Priyadarsini, K.I. Photophysics, Photochemistry and Photobiology of Curcumin: Studies from Organic Solutions, Bio-Mimetics and Living Cells. J. Photochem. Photobiol. C Photochem. Rev. 2009, 10, 81–95. [Google Scholar] [CrossRef]
- Bechnak, L.; ElKurdi, R.; Patra, D. Fluorescence Sensing of Nucleic Acid by Curcumin Encapsulated Poly(Ethylene Oxide)-Block-Poly(Propylene Oxide)-Block-Poly(Ethylene Oxide) Based Nanocapsules. J. Fluoresc. 2020, 30, 547–556. [Google Scholar] [CrossRef] [PubMed]
- Selianitis, D.; Pispas, S. Multi-Responsive Poly(Oligo(Ethylene Glycol)Methyl Methacrylate)-CO-Poly(2-(Diisopropylamino)Ethyl Methacrylate) Hyperbranched Copolymers via Reversible Addition Fragmentation Chain Transfer Polymerization. Polym. Chem. 2021, 12, 6582–6593. [Google Scholar] [CrossRef]









| Sample | Mw (g/mol) [a] | Mw/Mn [a] | %wt DMAEMA [b] | %wtBzMA [b] |
|---|---|---|---|---|
| HB1 | 23,300 | 3.37 | 83 | 17 |
| HB2 | 29,500 | 3.38 | 60 | 40 |
| Sample | T (°C) | pH | Intensity (Kcps) | Rh (nm) | PDI | ζp (mV) |
|---|---|---|---|---|---|---|
| HB1 | 25 | 3 | 479 | 13/74 | 0.39 | +62.6 |
| 7 | 554 | 11/104 | 0.51 | +32.7 | ||
| 10 | 322 | 240/11 | 0.51 | −37.1 | ||
| 40 | 7 | 515 | 11/102 | 0.49 | - | |
| 55 | 7 | 5760 | 20/125 | 0.32 | - | |
| HB2 | 25 | 3 | 173 | 2/72/14 | 0.49 | +68.5 |
| 7 | 6720 | 23/301 | 0.43 | +40.5 | ||
| 10 | 5270 | 20/300 | 0.14 | −47.0 | ||
| 40 | 7 | 21580 | 16/58/267 | 0.49 | - | |
| 55 | 7 | 20226 | 17/123 | 0.49 | - |
| Sample | % CUR | Intensity Without/With CUR | Rh (nm) Without/With CUR | PDI Without/With CUR |
|---|---|---|---|---|
| HB1 | 10% | 554/6160 | 11 and 104/15 and 75 | 0.52/0.43 |
| 20% | 554/15968 | 11 and 104/21 and 160 | 0.52/0.45 | |
| HB2 | 10% | 6720/6960 | 23 and 301/12 and 65 | 0.43/0.48 |
| 20% | 6720/4730 | 23 and 301/12 and 85 | 0.43/0.42 |
Disclaimer/Publisher’s Note: The statements, opinions and data contained in all publications are solely those of the individual author(s) and contributor(s) and not of MDPI and/or the editor(s). MDPI and/or the editor(s) disclaim responsibility for any injury to people or property resulting from any ideas, methods, instructions or products referred to in the content. |
© 2025 by the authors. Licensee MDPI, Basel, Switzerland. This article is an open access article distributed under the terms and conditions of the Creative Commons Attribution (CC BY) license (https://creativecommons.org/licenses/by/4.0/).
Share and Cite
Ginosati, F.; Vagenas, D.; Gerardos, A.M.; Pispas, S. Multi-Responsive Amphiphilic Hyperbranched Poly[(2-dimethyl aminoethyl methacrylate)-co-(benzyl methacrylate)]copolymers: Self-Assembly and Curcumin Encapsulation in Aqueous Media. Materials 2025, 18, 513. https://doi.org/10.3390/ma18030513
Ginosati F, Vagenas D, Gerardos AM, Pispas S. Multi-Responsive Amphiphilic Hyperbranched Poly[(2-dimethyl aminoethyl methacrylate)-co-(benzyl methacrylate)]copolymers: Self-Assembly and Curcumin Encapsulation in Aqueous Media. Materials. 2025; 18(3):513. https://doi.org/10.3390/ma18030513
Chicago/Turabian StyleGinosati, Foteini, Dimitrios Vagenas, Angelica Maria Gerardos, and Stergios Pispas. 2025. "Multi-Responsive Amphiphilic Hyperbranched Poly[(2-dimethyl aminoethyl methacrylate)-co-(benzyl methacrylate)]copolymers: Self-Assembly and Curcumin Encapsulation in Aqueous Media" Materials 18, no. 3: 513. https://doi.org/10.3390/ma18030513
APA StyleGinosati, F., Vagenas, D., Gerardos, A. M., & Pispas, S. (2025). Multi-Responsive Amphiphilic Hyperbranched Poly[(2-dimethyl aminoethyl methacrylate)-co-(benzyl methacrylate)]copolymers: Self-Assembly and Curcumin Encapsulation in Aqueous Media. Materials, 18(3), 513. https://doi.org/10.3390/ma18030513

