Sign in to use this feature.

Years

Between: -

Subjects

remove_circle_outline
remove_circle_outline
remove_circle_outline
remove_circle_outline
remove_circle_outline
remove_circle_outline
remove_circle_outline
remove_circle_outline
remove_circle_outline

Journals

remove_circle_outline
remove_circle_outline
remove_circle_outline
remove_circle_outline
remove_circle_outline
remove_circle_outline
remove_circle_outline

Article Types

Countries / Regions

remove_circle_outline
remove_circle_outline
remove_circle_outline
remove_circle_outline
remove_circle_outline

Search Results (936)

Search Parameters:
Keywords = pollution control and prevention

Order results
Result details
Results per page
Select all
Export citation of selected articles as:
17 pages, 7739 KB  
Article
Characterization of Urban Ozone and Non-Methane Hydrocarbon Pollution in Heilongjiang Province
by Pengjie Wang, Qingqing Meng, Yufeng Zhao, Zhiguo Yu, Ping Gu, Jingyang Jiang, Xiaohui Su, Jixin Guan, Rui Zhang, Xiaoyan Wang and Liangbing Hu
Atmosphere 2025, 16(11), 1266; https://doi.org/10.3390/atmos16111266 - 7 Nov 2025
Viewed by 159
Abstract
This study utilizes ambient air quality monitoring data from 13 prefecture-level cities in Heilongjiang Province to systematically analyze the pollution characteristics and dynamic evolution of ozone (O3) and non-methane hydrocarbons (NMHCs). The findings reveal that overall air quality in Heilongjiang Province [...] Read more.
This study utilizes ambient air quality monitoring data from 13 prefecture-level cities in Heilongjiang Province to systematically analyze the pollution characteristics and dynamic evolution of ozone (O3) and non-methane hydrocarbons (NMHCs). The findings reveal that overall air quality in Heilongjiang Province has improved substantially in recent years. The concentrations of SO2, NO2, PM10, PM2.5 and CO in 2023 decreased significantly compared with 2015, with an average reduction of 38.7%. However, O3 concentrations have continued to rise, indicating that O3 pollution has become an increasingly pressing environmental concern. On an annual scale, the monthly average O3 concentration in 2023 displayed a “clear single-peak” pattern, reaching its maximum in June, at a concentration of 139 μg/m3. In contrast, the monthly average NMHC concentration exhibited a “distinct double-peak” pattern, with elevated levels in January and December, at 59.4 and 48.35 μg/m3, respectively. From an hourly perspective, the highest O3 concentrations across the 13 cities occurred between 11:00 and 17:00, while NMHC concentrations showed an opposite trend. Furthermore, during the heating season (October to April of the following year), O3 and NMHC concentrations increased by 0.78 and 1.56 times, respectively, compared with the non-heating season. In terms of ambient air quality levels, both O3 and NMHC concentrations exhibited a gradual upward trend under conditions of “excellent”, “good”, and “light pollution”. However, under “moderate pollution”, “heavy pollution”, and “severe pollution” levels, O3 and NMHC concentrations exhibited irregular patterns, likely due to the interaction of multiple complex factors. O3 pollution follows a “central concentration and peripheral diffusion” pattern, reflecting the combined influence of human activities and natural conditions. In contrast, NMHC concentrations display pronounced spatial heterogeneity, with low levels in the west and high levels in the east, primarily driven by regional differences in industrial structure and environmental conditions. In summary, this study aims to elucidate the spatiotemporal distribution characteristics of O3 and NMHC pollution in Heilongjiang Province and their complex relationship with air quality levels, providing a scientific basis for future pollution prevention and control strategies. Subsequent research should focus on identifying the underlying causes of pollution to develop more precise and effective mitigation measures, thereby continuously improving ambient air quality in the province. Full article
(This article belongs to the Special Issue Atmospheric Pollution Dynamics in China)
Show Figures

Figure 1

19 pages, 2064 KB  
Article
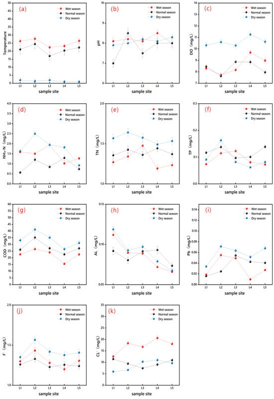
Temporal and Spatial Distribution Characteristics and Source Analysis of Antibiotic Resistance Gene Pollution in Dongliao River Basin, China
by Hai Lu, Yang Zheng, Lijun Wang and Qiao Cong
Water 2025, 17(21), 3168; https://doi.org/10.3390/w17213168 - 5 Nov 2025
Viewed by 191
Abstract
Antibiotic resistance genes (ARGs) are regarded as a major threat to public health and ecological security globally. The Dongliao River Basin is a typical farming–pastoral ecotone in the northeast of China. It is of great practical significance to explore the pollution characteristics and [...] Read more.
Antibiotic resistance genes (ARGs) are regarded as a major threat to public health and ecological security globally. The Dongliao River Basin is a typical farming–pastoral ecotone in the northeast of China. It is of great practical significance to explore the pollution characteristics and sources of ARGs in the Dongliao River. In this study, the Dongliao River Basin was taken as the research object, and water samples were collected at five points in the wet season, the normal season and the dry season, and the qPCR technology was used to detect the ARGs, revealing its spatial and temporal distribution characteristics. The results show that the temporal difference in ARGs was mainly in the wet season, and the contribution rates of sulfonamides (SAs) and aminoglycosides (AMs)ARGs were the largest, with relative abundance reaching 13–27% and 7–37%. In the normal season, the contribution rate of AMs ARGs further increased to 26–37%, while the contribution rate of SAs and tetracyclines (TCs) ARGs also showed a high level, accounting for 12–20% and 11–16%. In dry season, the ARGs of AMs and TCs reached 29–43% and 16–22%. As far as the spatial distribution characteristics were concerned, the absolute abundance of ARGs reached the maximum value of 3.79 × 106 copies/mL in the sampling section of Chengzishang during the wet season. In the normal season, the absolute abundance of ARGs was the largest at the sampling section of Heqing River, which was 2.62 × 106 copies/mL; While in the dry season, the absolute abundance of ARGs reached the maximum at the sampling section of Sishuang Bridge, which was 5.30 × 106 copies/mL. Furthermore, using principal component analysis–multiple linear regression (PCA–MLR) model, sul1, sul2, aadA2–03, aadA–01 genes with high absolute abundance was selected for source analysis, so as to reveal the source of ARGs pollution in Dongliao River. The results indicated that sulfonamide resistance genes (sul1, sul2) were primarily driven by nutrient salt contamination; aminoglycoside resistance genes (aadA2–03, aadA–01) exhibit sensitivity to temperature gradients, with significant proliferation during high–temperature seasons. This study provided a scientific basis for the prevention and control strategy of ARGs pollution in the Dongliao River Basin. Full article
(This article belongs to the Section Water Quality and Contamination)
Show Figures

Figure 1

28 pages, 1390 KB  
Review
Charting the Future: Advanced Technologies for Sustainable Parasite Control in Aquaculture
by Jiao Yang, Subha Bhassu and Arutchelvan Rajamanikam
Int. J. Mol. Sci. 2025, 26(21), 10738; https://doi.org/10.3390/ijms262110738 - 4 Nov 2025
Viewed by 361
Abstract
Parasite control in aquaculture faces challenges primarily due to the drug resistance of traditional chemical treatments, as well as environmental pollution and toxicity. Aquaculture is among the fastest-growing food-producing sectors worldwide, yet parasite infections remain a significant challenge to productivity and sustainability. Emerging [...] Read more.
Parasite control in aquaculture faces challenges primarily due to the drug resistance of traditional chemical treatments, as well as environmental pollution and toxicity. Aquaculture is among the fastest-growing food-producing sectors worldwide, yet parasite infections remain a significant challenge to productivity and sustainability. Emerging methods such as natural products, gene editing, immunotherapy, and auxiliary technologies like nanotechnology and biosensors are becoming alternative strategies for sustainable parasite control. These methods show significant potential, particularly in preventing drug resistance and reducing environmental impact. However, these approaches remain at an early research stage, with issues such as unstable efficacy, limited validation in field conditions and uncertain long-term safety hindering their translation into practice. This review synthesizes current advances, highlights these knowledge and application gaps, and outlines future directions for developing more reliable and sustainable parasite management strategies in aquaculture. Full article
(This article belongs to the Section Molecular Biology)
Show Figures

Figure 1

19 pages, 547 KB  
Article
Regulatory Challenges of AI Application in Watershed Pollution Control: An Analysis Framework Using the SETO Loop
by Rongbing Zhai and Chao Hua
Water 2025, 17(21), 3134; https://doi.org/10.3390/w17213134 - 31 Oct 2025
Viewed by 523
Abstract
The application of Artificial Intelligence (AI) in river basin pollution control shows great potential to improve governance efficiency through real-time monitoring, pollution prediction, and intelligent decision-making. However, its rapid development also brings regulatory challenges, including data privacy, algorithmic bias, responsibility definition, and cross-regional [...] Read more.
The application of Artificial Intelligence (AI) in river basin pollution control shows great potential to improve governance efficiency through real-time monitoring, pollution prediction, and intelligent decision-making. However, its rapid development also brings regulatory challenges, including data privacy, algorithmic bias, responsibility definition, and cross-regional coordination. Based on the SETO loop framework (Scoping, Existing Regulation Assessment, Tool Selection, and Organizational Design), this paper systematically analyzes the regulatory needs and pathways for AI in watershed water pollution control through typical case studies from countries such as China and the United States. The study first defines the regulatory scope, focusing on protecting the ecological environment, public health, and data security. It then assesses the shortcomings of existing environmental regulations in governing AI, such as their inability to adapt to dynamic pollution sources. Subsequently, it explores suitable regulatory tools, including information disclosure requirements, algorithmic transparency standards, and hybrid regulatory models. Finally, it proposes a multi-tiered organizational scheme that integrates international norms, national legislation, and local practices to achieve flexible and effective regulation. This study demonstrates that the SETO loop provides a viable framework for balancing technological innovation with risk prevention and control. It offers a scientific basis for policymakers and calls for establishing a dynamic, layered regulatory system to address the complex challenges of AI in environmental governance. Full article
Show Figures

Figure 1

30 pages, 11679 KB  
Article
Procedure for Conducting Inspection Thermographic Tests of Electrical Heating Devices for Railway Turnouts
by Jacek Kukulski, Krzysztof Stypułkowski, Piotr Tomczuk and Piotr Jaskowski
Appl. Sci. 2025, 15(21), 11671; https://doi.org/10.3390/app152111671 - 31 Oct 2025
Viewed by 111
Abstract
The study presents original research focused on improving the reliability and energy efficiency of electric railway turnout heating systems under severe winter conditions. An innovative diagnostic methodology using high-resolution infrared thermography was developed and applied to evaluate heating uniformity and technical performance within [...] Read more.
The study presents original research focused on improving the reliability and energy efficiency of electric railway turnout heating systems under severe winter conditions. An innovative diagnostic methodology using high-resolution infrared thermography was developed and applied to evaluate heating uniformity and technical performance within the Polish railway infrastructure. Field investigations were carried out on operational turnouts at Gdańsk Osowa and Międzylesie stations, covering both conventional EOR systems and the advanced ESAR system. The results demonstrated that the ESAR system effectively prevented ice and snow accumulation while enabling up to a 30% reduction in active power supplied to heating elements, resulting in annual energy savings of approximately 750 kWh per turnout (29% compared with the reference system). Incorporating radiative overlays in ESAR allowed lower average surface temperatures and improved heat distribution efficiency. Temperature and energy indicators confirmed significantly higher performance of ESAR, with annual CO2 emissions reduced by 447.75 kg and air pollutants (SOx, NOx, CO, particulates) by around 30%. The proposed thermographic approach proved to be a non-invasive and efficient diagnostic tool, supporting adaptive control, enhanced operational reliability, and reduced environmental impact of turnout heating systems. Full article
(This article belongs to the Special Issue Research Advances in Rail Transport Infrastructure)
Show Figures

Figure 1

27 pages, 3865 KB  
Article
Risk Assessment of Heavy Metals in Groundwater for a Managed Aquifer Recharge Project
by Ghulam Zakir-Hassan, Lee Baumgartner, Catherine Allan, Jehangir F. Punthakey and Hifza Rasheed
Water 2025, 17(21), 3092; https://doi.org/10.3390/w17213092 - 29 Oct 2025
Viewed by 370
Abstract
Managed aquifer recharge (MAR) can address challenges pertaining to water quality and security, land subsidence, and aquifer degradation. This study has been conducted in the irrigated plains of Indus River Basin (IRB) of Pakistan, where groundwater is being used for drinking, agriculture, industries, [...] Read more.
Managed aquifer recharge (MAR) can address challenges pertaining to water quality and security, land subsidence, and aquifer degradation. This study has been conducted in the irrigated plains of Indus River Basin (IRB) of Pakistan, where groundwater is being used for drinking, agriculture, industries, and other commercial purposes and where the Punjab Government is implementing the MAR project. The study aims to assess the existing level of heavy metals and trace elements contamination in the groundwater and to set baseline data for the suitability of the site for the MAR project. Groundwater samples from 20 tubewells were collected from an area of 1522 km2 to investigate the level of heavy metals concentration in groundwater and to assess its suitability for irrigation and drinking. Samples were analyzed for Aluminum (Al), Arsenic (As), Barium (Ba), Cadmium (Cd), Cobalt (Co), Copper (Cu), Chromium (Cr), Lead (Pb), Manganese (Mn), Molybdenum (Mo), Nickel (Ni), Selenium (Se), Strontium (Sr), and Zinc (Zn). To elucidate the contamination trend of these metals, the Heavy Metal Pollution Index (HPI), Heavy Metal Index (HI), geostatistical description, Pearson correlation analysis, and geospatial mapping were employed. Results showed that groundwater in the study area is not suitable for drinking and may pose serious health risks. It should be, however, generally suitable for irrigation. This concludes that the site is suitable for the implementation of a MAR project where the intended use of groundwater is for irrigation. It has been recommended that the groundwater may not be used for direct human consumption in the study area. It has been recommended, too, that targeted monitoring of identified hotspots and assessment of soil and crop uptake are conducted so that industrial or wastewater discharge into irrigation supplies may be prevented and controlled. For policy decisions, distinguishing irrigation suitability from potable-water safety is essential. Full article
Show Figures

Figure 1

27 pages, 3199 KB  
Article
Heat Loss Calculation of the Electric Drives
by Tamás Sándor, István Bendiák, Döníz Borsos and Róbert Szabolcsi
Machines 2025, 13(11), 988; https://doi.org/10.3390/machines13110988 - 28 Oct 2025
Viewed by 281
Abstract
In the realm of sustainable public transportation, the integration of intelligent electric bus propulsion systems represents a novel and promising approach to reducing environmental impact—particularly through the mitigation of NOx emissions and overall exhaust pollutants. This emerging technology underscores the growing need for [...] Read more.
In the realm of sustainable public transportation, the integration of intelligent electric bus propulsion systems represents a novel and promising approach to reducing environmental impact—particularly through the mitigation of NOx emissions and overall exhaust pollutants. This emerging technology underscores the growing need for advanced drive control architectures that ensure not only operational safety and reliability but also compliance with increasingly stringent emissions standards. The present article introduces an innovative analysis of energy-optimized dual-drive electric propulsion systems, with a specific focus on their potential for real-world application in emission-conscious urban mobility. A detailed dynamic model of a dual-drive electric bus was developed in MATLAB Simulink, incorporating a Fuzzy Logic-based decision-making algorithm embedded within the Transmission Control Unit (TCU). The proposed control architecture includes a torque-limiting safety strategy designed to prevent motor overspeed conditions, thereby enhancing both efficiency and mechanical integrity. Furthermore, the system architecture enables supervisory override of the Fuzzy Inference System (FIS) during critical scenarios, such as gear-shifting transitions, allowing adaptive control refinement. The study addresses the unique control and coordination challenges inherent in dual-drive systems, particularly in relation to optimizing gear selection for reduced energy consumption and emissions. Key areas of investigation include maximizing efficiency along the motor torque–speed characteristic, maintaining vehicular dynamic stability, and minimizing thermally induced performance degradation. The thermal modeling approach is grounded in integral formulations capturing major loss contributors including copper, iron, and mechanical losses while also evaluating convective heat transfer mechanisms to improve cooling effectiveness. These insights confirm that advanced thermal management is not only vital for performance optimization but also plays a central role in supporting long-term strategies for emission reduction and clean, efficient public transportation. Full article
(This article belongs to the Section Electrical Machines and Drives)
Show Figures

Figure 1

34 pages, 881 KB  
Review
Foodborne Illnesses and Microbiological Safety of Fish and Fish Products: A Brief Overview in Regard to Mexico
by Alejandro De Jesús Cortés-Sánchez, Mayra Díaz-Ramírez, Ma. De la Paz Salgado-Cruz, Erika Berenice León-Espinosa, Hypatia Arano-Varela, Izlia J. Arroyo-Maya and María De Jesús Perea-Flores
Appl. Sci. 2025, 15(21), 11447; https://doi.org/10.3390/app152111447 - 27 Oct 2025
Viewed by 954
Abstract
The presence of microorganisms in fish and fish products is a relevant factor in spoilage and food safety. Fish is considered a nutritious staple of the human diet and is produced, processed, and marketed worldwide. To describe the role of microorganisms in regard [...] Read more.
The presence of microorganisms in fish and fish products is a relevant factor in spoilage and food safety. Fish is considered a nutritious staple of the human diet and is produced, processed, and marketed worldwide. To describe the role of microorganisms in regard to the safety of fish and fish products, we conducted this narrative review to present information on fish production; various pollution hazards; and the causes, control, and prevention of diseases caused by food consumption. It also explores documented cases of foodborne illnesses in Mexico associated with microorganisms. Furthermore, microbiological evaluations of products that are offered for consumption in different areas and cities of Mexico are reviewed, as is the regulatory framework that has been developed regarding the safety of produced and marketed products. This was achieved through the searching for, compilation of, and analysis of information in various databases (Redalyc, Scielo, Scopus, Web of Science, ScienceDirect, Google Scholar, among others). The knowledge obtained indicates that bacteria and parasites are frequently associated with illnesses caused by the consumption of raw products or products subjected to inadequate cooking and hygiene practices. Meanwhile, a microbiological evaluation of fish and marketed products reveals contamination that compromises food safety. Therefore, it is necessary to strengthen microbiological surveillance of products and hygiene education throughout the food chain by government, industry, researchers, and end consumers to promote the availability of safe, nutritious foods for the population. Full article
(This article belongs to the Special Issue Latest Developments in Food Safety and Food Contamination)
Show Figures

Figure 1

11 pages, 262 KB  
Commentary
Binding Multilateral Framework for South Asian Air Pollution Control: An Urgent Call for SAARC-UN Cooperation
by Shyamkumar Sriram and Saroj Adhikari
Int. J. Environ. Res. Public Health 2025, 22(11), 1628; https://doi.org/10.3390/ijerph22111628 - 26 Oct 2025
Viewed by 322
Abstract
South Asia’s worsening air pollution crisis represents one of the most urgent public health and environmental challenges of the 21st century. Nearly two billion people—over one-quarter of the global population—reside in this region, where air quality levels routinely exceed World Health Organization (WHO) [...] Read more.
South Asia’s worsening air pollution crisis represents one of the most urgent public health and environmental challenges of the 21st century. Nearly two billion people—over one-quarter of the global population—reside in this region, where air quality levels routinely exceed World Health Organization (WHO) guidelines by factors of 10 to 15. This has translated into an unprecedented health burden, with approximately two million premature deaths annually, widespread chronic respiratory and cardiovascular disease, and rising economic losses. According to recent World Bank estimates, welfare losses amount to over 5% of regional GDP, a figure far exceeding the projected costs of coordinated mitigation. Despite this, South Asia continues to lack a binding regional framework capable of addressing its shared airshed. Existing cooperative efforts—such as the Malé Declaration on Control and Prevention of Air Pollution (1998)—have provided a useful platform for dialog and pilot monitoring, but they remain voluntary, under-resourced, and insufficient to manage the transboundary nature of the crisis. National-level programs, including India’s National Clean Air Programme (NCAP), Bangladesh’s National Air Quality Management Plan (NAQMP), and Nepal’s National Air Quality Management Action Plan (AQMAP), demonstrate domestic commitment but are constrained by fragmentation, limited financing, and lack of regional integration. This gap represents the central knowledge and governance challenge that prompted the present commentary. To address it, we propose a dual-track architecture designed to institutionalize binding regional cooperation. Track A would establish a United Nations-anchored South Asian Transboundary Air Pollution Protocol, under the auspices of the United Nations Environment Programme, the World Health Organization (WHO), and the United Nations Economic and Social Commission for Asia and the Pacific (UNESCAP). This protocol would codify legally enforceable emission standards, compliance committees, financial mechanisms, and harmonized monitoring. Track B would establish a South Asian Association for Regional Cooperation (SAARC) Prime Ministers’ Council on Air Quality (SPMCAQ) to provide political leadership, align domestic implementation, and authorize rapid responses to cross-border haze events. Lessons from the Indian Ocean Experiment, the ASEAN Agreement on Transboundary Haze Pollution, and Europe’s Convention on Long-Range Transboundary Air Pollution demonstrate that legally binding agreements combined with high-level political ownership can achieve durable reductions in pollution despite geopolitical tensions. By situating South Asia within these global precedents, the proposed framework provides a pragmatic, enforceable, and politically resilient pathway to protect health, reduce economic losses, and deliver cleaner air for nearly one-quarter of humanity. Full article
(This article belongs to the Section Environmental Sciences)
Show Figures

Graphical abstract

26 pages, 5508 KB  
Review
From Sources to Environmental Risks: Research Progress on Per- and Polyfluoroalkyl Substances (PFASs) in River and Lake Environments
by Zhanqi Zhou, Fuwen Deng, Jiayang Nie, He Li, Xia Jiang, Shuhang Wang and Yunyan Guo
Water 2025, 17(21), 3061; https://doi.org/10.3390/w17213061 - 25 Oct 2025
Viewed by 612
Abstract
Per- and polyfluoroalkyl substances (PFASs) have attracted global attention due to their persistence and biological toxicity, becoming critical emerging contaminants in river and lake environments worldwide. Building upon existing studies, this work aims to comprehensively understand the pollution patterns, environmental behaviors, and potential [...] Read more.
Per- and polyfluoroalkyl substances (PFASs) have attracted global attention due to their persistence and biological toxicity, becoming critical emerging contaminants in river and lake environments worldwide. Building upon existing studies, this work aims to comprehensively understand the pollution patterns, environmental behaviors, and potential risks of PFASs in freshwater systems, thereby providing scientific evidence and technical support for precise pollution control, risk prevention, and the protection of aquatic ecosystems and human health. Based on publications from 2002 to 2025 indexed in the Web of Science (WoS), bibliometric analysis was used to explore the temporal evolution and research hotspots of PFASs, and to systematically review their input pathways, pollution characteristics, environmental behaviors, influencing factors, and ecological and health risks in river and lake environments. Results show that PFAS inputs originate from both direct and indirect pathways. Direct emissions mainly stem from industrial production, consumer product use, and waste disposal, while indirect emissions arise from precursor transformation, secondary releases from wastewater treatment plants (WWTPs), and long-range atmospheric transport (LRAT). Affected by source distribution, physicochemical properties, and environmental conditions, PFASs display pronounced spatial variability among environmental media. Their partitioning, degradation, and migration are jointly controlled by molecular properties, aquatic physicochemical conditions, and interactions with dissolved organic matter (DOM). Current risk assessments indicate that PFASs generally pose low risks in non-industrial areas, yet elevated ecological and health risks persist in industrial clusters and regions with intensive aqueous film-forming foam (AFFF) use. Quantitative evaluation of mixture toxicity and chronic low-dose exposure risks remains insufficient and warrants further investigation. This study reveals the complex, dynamic environmental behaviors of PFASs in river and lake systems. Considering the interactions between PFASs and coexisting components, future research should emphasize mechanisms, key influencing factors, and synergistic control strategies under multi-media co-pollution. Developing quantitative risk assessment frameworks capable of characterizing integrated mixture toxicity will provide a scientific basis for the precise identification and effective management of PFAS pollution in aquatic environments. Full article
(This article belongs to the Special Issue Pollution Process and Microbial Responses in Aquatic Environment)
Show Figures

Figure 1

26 pages, 5636 KB  
Article
Research on Regional Disparities and Determinants of Carbon Emission Efficiency: A Case Study of Hubei Province, China
by Ming Lei, Xu Han, Ming Yi, Juan Zhang, Wei Zhang and Mengke Huang
Sustainability 2025, 17(21), 9465; https://doi.org/10.3390/su17219465 - 24 Oct 2025
Viewed by 275
Abstract
Effective carbon emission control at the provincial level is essential for advancing the high-quality development of the national economy under the “dual carbon” targets. Although Hubei Province is endowed with abundant natural resources and significant potential for sustainable growth, it still faces considerable [...] Read more.
Effective carbon emission control at the provincial level is essential for advancing the high-quality development of the national economy under the “dual carbon” targets. Although Hubei Province is endowed with abundant natural resources and significant potential for sustainable growth, it still faces considerable challenges in industrial and energy restructuring. Therefore, improving carbon emission efficiency (CEE) is imperative. This study thoroughly analyzes the spatial and temporal characteristics of CEE in Hubei Province. Furthermore, the spatial Durbin model (SDM) and geographically and temporally weighted regression (GTWR) were applied to analyze the determinants of changes in CEE. The results indicate that significant disparities in CEE exist across Hubei Province, with the eastern region exhibiting the highest efficiency and the central region the lowest. The year 2016 represented a turning point, as Moran’s I increased from −0.0006 in 2016 to 0.5134 in 2017, indicating a shift in the spatial pattern of CEE from a weak and insignificant spatial autocorrelation to a strong positive spatial autocorrelation. In addition, the CEE in Hubei Province demonstrated a “siphon effect” and exhibited pronounced polarization. Based on these findings, region-specific policies are proposed. The eastern region should optimize its industrial structure and strengthen urban governance. The western region should leverage its clean energy advantage and enhance carbon sink capacity. The central region should advance low-carbon industrial transformation and coordinated governance to prevent core cities from transferring resources and pollution to surrounding areas. Full article
Show Figures

Figure 1

27 pages, 2167 KB  
Article
Urban Sprawl in the Yangtze River Delta: Spatio-Temporal Characteristics and Impacts on PM2.5
by Ning Ruan, Jianhui Xu and Huarong He
Land 2025, 14(10), 2078; https://doi.org/10.3390/land14102078 - 17 Oct 2025
Viewed by 299
Abstract
Over the past three decades, the Yangtze River Delta has undergone a rapid urbanization phenomenon, resulting in pronounced urban sprawl that has significantly impacted regional sustainable development and air quality. This study constructs an urban sprawl index based on nighttime light data spanning [...] Read more.
Over the past three decades, the Yangtze River Delta has undergone a rapid urbanization phenomenon, resulting in pronounced urban sprawl that has significantly impacted regional sustainable development and air quality. This study constructs an urban sprawl index based on nighttime light data spanning 2000–2020 and employs exploratory spatio-temporal analysis, panel data models, and spatial econometric models to examine the evolution of urban sprawl and its effects on PM2.5 concentrations. The results reveal four key findings: (1) Urban sprawl is spatially heterogeneous, exhibiting a ‘high in the centre-east, low in the north-west’ pattern, with high-intensity sprawl expanding from the central region towards the north-west and south-west; (2) The dominant growth pattern is characterized by relatively rapid expansion. The global Moran’s I index fluctuates between 0.428 and 0.214, indicating a gradual decline in the global clustering effect of urban sprawl. Meanwhile, the share of local high–high agglomeration zones decreases to 21.9%, whereas low–low zones increase to 24.3%; (3) Spatio-temporal transitions of urban sprawl show strong spatial dependence while overall relocation exhibits inertia; (4) Before the implementation of the Ten Key Measures for Air Pollution Prevention and Control in 2013, urban sprawl significantly intensified PM2.5 pollution. Following the policy, this relationship notably reversed, with sprawl exhibiting pollution-mitigating effects in certain regions. The spatial diffusion of pollution is evident, as urban sprawl influences air quality through both local development and inter-regional interactions. This study provides an in-depth analysis of the spatio-temporal evolution of urban sprawl and establishes a framework to examine the interactive mechanisms between urban expansion and air pollution, thereby broadening perspectives on atmospheric pollution research and offering scientific and policy guidance for sustainable land use and air quality management in the Yangtze River Delta. Full article
Show Figures

Figure 1

22 pages, 2571 KB  
Article
Predicting the Concentration Levels of PM2.5 and O3 for Highly Urbanized Areas Based on Machine Learning Models
by Chao Wei, Chen Zhao, Yuanan Hu and Yutai Tian
Sustainability 2025, 17(20), 9211; https://doi.org/10.3390/su17209211 - 17 Oct 2025
Viewed by 517
Abstract
The accurate real-time forecasting and impact factor identification of air pollutant levels are critical for effective pollution control and management. In this study, we implemented three machine learning algorithms, namely, Random Forest (RF), eXtreme Gradient Boosting (XGBoost), and Fully Connected Neural Network (FCNN), [...] Read more.
The accurate real-time forecasting and impact factor identification of air pollutant levels are critical for effective pollution control and management. In this study, we implemented three machine learning algorithms, namely, Random Forest (RF), eXtreme Gradient Boosting (XGBoost), and Fully Connected Neural Network (FCNN), to predict PM2.5 and O3 concentrations in the Beijing–Tianjin–Hebei region from 2019 to 2023. XGBoost outperformed the other algorithms and was further utilized to predict PM2.5 and O3 concentrations and identify their controlling factors. The models could efficiently capture the spatial and temporal variations in the pollutants in the study area, and it was found that both anthropogenic sources and weather conditions can have significant impacts on air pollutant levels. PM10 and CO were significantly correlated to PM2.5 levels, which could be attributed to their similar emission sources and dispersion characteristics in air. O3 concentrations were greatly influenced by temperature and NO2 due to their significant impacts on O3 generation. This study demonstrates that XGBoost-based models are cost-effective tools for predicting PM2.5 and O3 levels and identifying their controlling factors. These findings provide valuable insights for formulating effective air pollution prevention policies. Full article
(This article belongs to the Special Issue Environmental Pollution and Impacts on Human Health)
Show Figures

Figure 1

15 pages, 516 KB  
Perspective
Advances in High-Resolution Spatiotemporal Monitoring Techniques for Indoor PM2.5 Distribution
by Qingyang Liu
Atmosphere 2025, 16(10), 1196; https://doi.org/10.3390/atmos16101196 - 17 Oct 2025
Viewed by 379
Abstract
Indoor air pollution, including fine particulate matter (PM2.5), poses a severe threat to human health. Due to the diverse sources of indoor PM2.5 and its high spatial heterogeneity in distribution, traditional single-point fixed monitoring fails to accurately reflect the actual [...] Read more.
Indoor air pollution, including fine particulate matter (PM2.5), poses a severe threat to human health. Due to the diverse sources of indoor PM2.5 and its high spatial heterogeneity in distribution, traditional single-point fixed monitoring fails to accurately reflect the actual human exposure level. In recent years, the development of high spatiotemporal resolution monitoring technologies has provided a new perspective for revealing the dynamic distribution patterns of indoor PM2.5. This study discusses two cutting-edge monitoring strategies: (1) mobile monitoring technology based on Indoor Positioning Systems (IPS) and portable sensors, which maps 2D exposure trajectories and concentration fields by having personnel carry sensors while moving; and (2) 3D dynamic monitoring technology based on in situ Lateral Scattering LiDAR (I-LiDAR), which non-intrusively reconstructs the 3D dynamic distribution of PM2.5 concentrations using laser arrays. This study elaborates on the principles, calibration methods, application cases, advantages, and disadvantages of the two technologies, compares their applicable scenarios, and outlines future research directions in multi-technology integration, intelligent calibration, and public health applications. It aims to provide a theoretical basis and technical reference for the accurate assessment of indoor air quality and the prevention and control of health risks. Full article
Show Figures

Graphical abstract

28 pages, 7034 KB  
Article
Water Quality Prediction Model Based on Temporal Attentive Bidirectional Gated Recurrent Unit Model
by Hongyu Yang, Lei Guo and Qingqing Tian
Sustainability 2025, 17(20), 9155; https://doi.org/10.3390/su17209155 - 16 Oct 2025
Viewed by 409
Abstract
Water pollution has caused serious consequences for human health and aquatic systems. Therefore, analyzing and predicting water quality is of great significance for the early prevention and control of water pollution. Aiming at the shortcomings of the Gated Recurrent Unit (GRU) water quality [...] Read more.
Water pollution has caused serious consequences for human health and aquatic systems. Therefore, analyzing and predicting water quality is of great significance for the early prevention and control of water pollution. Aiming at the shortcomings of the Gated Recurrent Unit (GRU) water quality prediction model, such as the low utilization rate of early information and poor deep feature extraction ability of the hidden state mechanism, this study combines the temporal attention (TA) mechanism with the bidirectional superimposed neural network. A time-focused bidirectional gated recurrent unit (TA-Bi-GRU) model is proposed. Taking the actual water quality data of the water source reservoir in Xiduan Village as the research object, this model was used to predict four core water quality indicators, namely pH, ammonia nitrogen (NH3N), total nitrogen (TN), and dissolved oxygen (DOX). Predictions are made within multiple time ranges, with prediction periods of 7 days, 10 days, 15 days, and 30 days. In the long-term prediction of the TA-Bi-GRU model, its average R2 was 0.858 (7 days), 0.772 (10 days), 0.684 (15 days), and 0.553 (30 days), and the corresponding average MAE and MSE were both lower than those of the comparison models. The experimental results show that the TA-Bi-GRU model has higher prediction accuracy and stronger generalization ability compared with the existing GRU, bidirectional GRU (Bi-GRU), Time-focused Gated Recurrent Unit (TA-GRU), Convolutional Neural Network-Long Short-Term Memory (CNN-LSTM) and Deep Temporal Convolutional Networks-Long Short-Term Memory (DeepTCN-LSTM) models. Full article
Show Figures

Figure 1

Back to TopTop