Sign in to use this feature.

Years

Between: -

Subjects

remove_circle_outline
remove_circle_outline
remove_circle_outline
remove_circle_outline
remove_circle_outline
remove_circle_outline
remove_circle_outline
remove_circle_outline
remove_circle_outline

Journals

remove_circle_outline
remove_circle_outline
remove_circle_outline
remove_circle_outline
remove_circle_outline

Article Types

Countries / Regions

remove_circle_outline
remove_circle_outline
remove_circle_outline
remove_circle_outline

Search Results (394)

Search Parameters:
Keywords = plant hydrolysates

Order results
Result details
Results per page
Select all
Export citation of selected articles as:
14 pages, 19838 KB  
Article
Glycyrrhiza glabra L. Extracts with Potential Antiproliferative and Anti-Migration Activities Against Breast and Gynecological Cancer Cell Lines
by Maria Rosaria Perri, Carmine Lupia, Máté Vágvölgyi, Attila Hunyadi, Sándor Bartha, Renáta Minorics, István Zupkó, Mariangela Marrelli, Filomena Conforti and Giancarlo Statti
Plants 2026, 15(3), 475; https://doi.org/10.3390/plants15030475 - 3 Feb 2026
Abstract
Glycyrrhiza glabra L. (Fabaceae) is a plant species with already demonstrated countless biological properties and many more still to be discovered. Here, root sample extracts from different geographical areas were compared based on their phytochemical profiles and biological activities. Both raw and hydrolysate [...] Read more.
Glycyrrhiza glabra L. (Fabaceae) is a plant species with already demonstrated countless biological properties and many more still to be discovered. Here, root sample extracts from different geographical areas were compared based on their phytochemical profiles and biological activities. Both raw and hydrolysate extracts, as well as 18β-glycyrrhetinic acid, glycyrrhizin, and isoliquiritigenin, considered as the main licorice secondary metabolites, were screened for antiproliferative and anti-migration properties in MCF-7, MDA-MB-231, A2780, HeLa, SiHa, and C33A breast and gynecological cancer cell lines. Hydrolysate extracts showed higher cytotoxicity than the raw extracts at the same final concentrations, 30 and 60 µg/mL, respectively. Among the standards, isoliquiritigenin showed the most pronounced cytotoxic activity, with inhibitory percentages exceeding 70% in each of the investigated cell lines at the lowest tested dose of 30 µg/mL. Then, the most effective extracts in the MTT assay, LIT2-H and LMO-H, were screened in a wound-healing test, demonstrating efficacy against ovarian (A2780) and cervical (C33A) cancer cell lines after 24 and 48 h of exposure. Full article
(This article belongs to the Special Issue Efficacy, Safety and Phytochemistry of Medicinal Plants)
Show Figures

Figure 1

15 pages, 430 KB  
Review
Pullulan Production from Lignocellulosic Plant Biomass or Starch-Containing Processing Coproduct Hydrolysates
by Thomas P. West
Fermentation 2026, 12(2), 84; https://doi.org/10.3390/fermentation12020084 - 3 Feb 2026
Abstract
The complex polysaccharide pullulan is characterized as a glucose-containing biopolymer that is both water-soluble and neutral in polarity. A variety of commercial applications exist for pullulan, including its utilization as a flocculant, a blood plasma substitute, a food additive, a dielectric material, an [...] Read more.
The complex polysaccharide pullulan is characterized as a glucose-containing biopolymer that is both water-soluble and neutral in polarity. A variety of commercial applications exist for pullulan, including its utilization as a flocculant, a blood plasma substitute, a food additive, a dielectric material, an adhesive, or a packaging film. The fungus Aureobasidium pullulans has used several hydrolysates derived from plant biomass or starch-containing processing coproducts to support polysaccharide production. These include various plant biomass or processing coproduct streams such as lignocellulosic-containing peat, prairie grass, stalks, hulls, straw, shells, and pods or starch-containing coproducts from the processing of corn, rice, jackfruit seeds, palm kernels, cassava, and potatoes. The pullulan concentration produced by A. pullulans and the pullulan content of the polysaccharide depend on the plant hydrolysate carbon content and the strain used. If a lower-cost culture medium for fungal pullulan production were to be developed, a more economical approach to synthesizing commercial pullulan would be the utilization of plant-derived hydrolysates. This review examines the ability of selected hydrolysates of lignocellulosic plant biomass or plant-derived starch-containing processing coproducts to support A. pullulans polysaccharide synthesis in order to identify those substrates with the greatest potential for reducing the cost of commercial pullulan. Full article
(This article belongs to the Special Issue Lignocellulosic Biomass Valorisation, 2nd Edition)
Show Figures

Graphical abstract

22 pages, 6646 KB  
Article
Integrating Milk Protein Hydrolysate and Plasma-Activated Water as Alternative Nitrogen Inputs for Growth, Nutrition, and Postharvest Quality of Hydroponic Cos Lettuce Under Low Nutrient Supply
by Aryanis Mutia Zahra, Apiradee Uthairatanakij, Natta Laohakunjit, Pongphen Jitareerat, Nattapon Kaisangsri and Arak Tira-Umphon
Nitrogen 2026, 7(1), 18; https://doi.org/10.3390/nitrogen7010018 - 1 Feb 2026
Viewed by 147
Abstract
The application of plasma-activated water and biostimulants offers a sustainable approach to supporting plant growth under reduced-nutrient conditions by supplying bioavailable nitrogen. This study investigated the growth and postharvest performance of hydroponically grown cos lettuce (Lactuca sativa L.) supplied with three Hoagland-based [...] Read more.
The application of plasma-activated water and biostimulants offers a sustainable approach to supporting plant growth under reduced-nutrient conditions by supplying bioavailable nitrogen. This study investigated the growth and postharvest performance of hydroponically grown cos lettuce (Lactuca sativa L.) supplied with three Hoagland-based nutrient treatments: half-strength solution prepared with tap water (HS), half-strength solution with plasma-activated water (HS+PAW), and half-strength solution with plasma-activated water containing 1 mL L−1 milk protein hydrolysate (HS+PAW+MPH). Plants treated with PAW, particularly those in the HS+PAW+MPH, exhibited increases in growth, biomass accumulation, and mineral composition, with reduced nitrate content compared to controls. At harvest, lettuce under HS+PAW+MPH exhibited nearly double fresh yield and enhanced dry matter, protein, lipid, phenolic, and flavonoid profiles as well as increased antioxidant capacity, indicating improved nitrogen utilization and nutritional quality under reduced nutrient input. Postharvest quality was evaluated by packing samples in polypropylene bags and storing them at 10 ± 1 °C and 95–98% relative humidity for 21 days. The HS+PAW+MPH treatment substantially suppressed respiration and production of ethylene, limited weight loss and color change, and better preserved pigments, bioactive compounds, and antioxidant stability compared to HS and HS+PAW, indicating HS+PAW+MPH as a sustainable nutrient management approach for hydroponic systems. Full article
Show Figures

Graphical abstract

15 pages, 1313 KB  
Article
A Protein Hydrolysate Mitigates the Adverse Effect of Chilling Stress on Cucumber Plants
by Dobrinka Balabanova, Adelina Harizanova, Lyubka Koleva-Valkova, Veselin Petrov and Andon Vassilev
Stresses 2026, 6(1), 5; https://doi.org/10.3390/stresses6010005 - 30 Jan 2026
Viewed by 68
Abstract
Chilling has been recognized as a stress factor adversely impacting plant growth and productivity. Even a slight decrease in temperature may significantly reduce crop yield. Recently, biostimulants have emerged as a new tool for enhancing the chilling tolerance of cold-sensitive plants. The early [...] Read more.
Chilling has been recognized as a stress factor adversely impacting plant growth and productivity. Even a slight decrease in temperature may significantly reduce crop yield. Recently, biostimulants have emerged as a new tool for enhancing the chilling tolerance of cold-sensitive plants. The early stages of cucumber growth often occur under suboptimal temperatures, which motivated the aim of the current study to assess the effect of a protein hydrolysate (PH) on the physiological performance of young cucumber plants subjected to chilling stress. The results showed that low temperatures caused severe chilling stress by inducing changes in growth, photosynthesis, and nitrogen assimilation. These adverse effects were mitigated when the PH was supplied. The ameliorating effect could be due to a remedial influence on photosynthetic pigment content, facilitating light harvesting and energy utilization. The potential impact of the PH treatment on the redox balance was demonstrated by the activation of the G6PD gene. The possible effect of the biostimulant on nitrate assimilation was tested by measuring nitrate reductase activity, which improved after application of the biostimulant. Moreover, the activity of phenylalanine ammonia-lyase (PAL) in PH-supplied plants was also increased, further confirming the enhanced protective capacity of the plants. All obtained results indicate the beneficial effect of PH application on cucumber plants and their chilling resilience. Full article
(This article belongs to the Section Plant and Photoautotrophic Stresses)
Show Figures

Graphical abstract

20 pages, 2769 KB  
Article
Foliar Application of Protein Hydrolysates Promotes Growth and Affects Leaf Ionome in Olive
by Igor Pasković, Maša Andlovic, Helena Plešnik, Primož Vavpetič, Paula Žurga, Ljiljana Popović, Martin Šala, Mario Franić, Ivan Dlačić, Smiljana Goreta Ban, Marija Polić Pasković, Tina Kosjek and Paula Pongrac
Horticulturae 2026, 12(2), 151; https://doi.org/10.3390/horticulturae12020151 - 29 Jan 2026
Viewed by 100
Abstract
The foliar application of various biostimulants, such as protein hydrolysates (PHs), has been associated with improved nutrient uptake efficiency and stress tolerance in perennial crops, like olive (Olea europaea L.). In this study, PHs obtained by enzymatic hydrolysis by Alcalase Pure (referred [...] Read more.
The foliar application of various biostimulants, such as protein hydrolysates (PHs), has been associated with improved nutrient uptake efficiency and stress tolerance in perennial crops, like olive (Olea europaea L.). In this study, PHs obtained by enzymatic hydrolysis by Alcalase Pure (referred to as treatment H1), Alcalase Pure and Flavourzyme (referred to as treatment H2), or Alcalase Pure and Protana™ Prime (referred to as treatment H3) with proteins from pumpkin seed cake were tested for their potential beneficial growth, performance, and nutrition effects in one-year-old olive seedlings grown under controlled conditions. Amino acid and element compositions were evaluated in the PHs, which were used for foliar application six times at eight-day intervals. Control (C) plants were treated the same way, but without PHs. Shoot and root growth, leaf reflectance indices, and the composition of micro and macronutrients in different organs and leaf tissues were determined. Plants in the H2 treatment grew significantly better than C plants. They had the highest Photochemical Reflectance Index and a Chlorophyll-Normalized Difference Vegetation Index similar to that of C plants, indicating an optimal growth/photosynthesis balance. A decrease in the concentration of several mineral elements in the lower epidermis in H2- and H3-treated plants compared to C and H1-treated plants was accompanied by their increase in the spongy mesophyll, indicating their redistribution to support increased metabolism, resulting in increased shoot growth in these two treatments. Arguably, these observed effects could be attributed to the amino acid profile of the H2 mixture, which had the highest concentration of L-proline, L-arginine, and L-lysine among the three PH mixtures, and a higher L-asparagine concentration than the H1 mixture. Overall, the results highlight the applicative potential of tailored PH formulations for the optimization of growth, mineral element composition, and physiological performance in olive cultivation. Full article
(This article belongs to the Special Issue Driving Sustainable Agriculture Through Scientific Innovation)
Show Figures

Figure 1

13 pages, 1658 KB  
Article
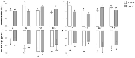
Comparative Evaluation of Plant-Derived Protein Hydrolysates as Biostimulants for Enhancing Growth and Mitigating Fe-Deficiency Stress in Tomato
by Eleonora Coppa, Francesco Caddeu, Mariateresa Cardarelli, Giuseppe Colla and Stefania Astolfi
Agronomy 2026, 16(3), 304; https://doi.org/10.3390/agronomy16030304 - 25 Jan 2026
Viewed by 220
Abstract
Sustainable agriculture increasingly relies on biostimulants like protein hydrolysates (PHs) to enhance crop resilience. This study characterized and compared three plant-derived PHs (PH1, PH2, and PH3) from the Malvaceae, Brassicaceae, and Fabaceae families, respectively, under optimal (40 µM Fe3+-EDTA) [...] Read more.
Sustainable agriculture increasingly relies on biostimulants like protein hydrolysates (PHs) to enhance crop resilience. This study characterized and compared three plant-derived PHs (PH1, PH2, and PH3) from the Malvaceae, Brassicaceae, and Fabaceae families, respectively, under optimal (40 µM Fe3+-EDTA) and iron (Fe)-deficient (4 µM Fe3+-EDTA) conditions. Initial assays demonstrated that the PHs possessed significant antioxidant capacity and influenced biological activity: PH2 and PH3 promoted pollen germination, while PH1 exhibited a weaker stimulatory effect. In vivo experiments on tomato plants revealed that PH application effectively modulated root architecture and biomass accumulation. Moreover, PH2 and PH3 significantly mitigated Fe deficiency’s impact, by maintaining biomass and preventing chlorosis. Interestingly, while Fe deficiency typically triggers massive root Fe3+-chelate reductase activity, PH treatments, particularly PH2, significantly down-regulated this response. This suggests that PHs may improve internal Fe use efficiency or facilitate alternative uptake pathways. Overall, these findings establish a link between the intrinsic bioactive properties of PHs and their biostimulant action, highlighting their potential as innovative tools for improving nutrient use efficiency and crop resilience in sustainable farming systems. Full article
(This article belongs to the Special Issue Plant Nutrient Dynamics: From Soil to Harvest and Beyond)
Show Figures

Figure 1

24 pages, 3263 KB  
Article
Valorization of Hemp, Shrimp and Blue Crab Co-Products as Novel Culture Media Ingredients to Improve Protein Quality and Antioxidant Capacity of Cultured Meat in Cell-Based Food Applications
by Davide Lanzoni, Simona Manuguerra, Rosaria Arena, Andrea Santulli, Luca Marchetti, Concetta Maria Messina and Carlotta Giromini
Foods 2026, 15(2), 352; https://doi.org/10.3390/foods15020352 - 18 Jan 2026
Viewed by 297
Abstract
Cultured meat (CM) is a promising alternative to conventional livestock production. However, its scalability is limited by the reliance on fetal bovine serum (FBS) in cell culture media (CCM). This study investigated protein hydrolysates derived from hemp flowers (HFs), hempseeds (HSs), hempseed protein [...] Read more.
Cultured meat (CM) is a promising alternative to conventional livestock production. However, its scalability is limited by the reliance on fetal bovine serum (FBS) in cell culture media (CCM). This study investigated protein hydrolysates derived from hemp flowers (HFs), hempseeds (HSs), hempseed protein (HP), shrimp (SH), and blue crab (BC) co-products as sustainable CCM supplements. Hydrolysates were produced by Alcalase® enzymatic hydrolysis and tested on C2C12 murine myoblasts proliferation and viability. At the concentration of 11.7 mg/mL, no significant differences in cell viability were observed between hydrolysates and 10% FBS at 24 and 48 h. At 72 h post-treatment, 10% FBS resulted in the greatest increase in cell proliferation, whereas SH and BC treatments preserved a more physiological myoblastic morphology. Intracellular protein accumulation at 72 h in 10% FBS- and SH-treated cells was equal to 24.66 ± 1.37 and 18.79 ± 1.99 µg/mg, respectively, and 5.75 ± 2.32 µg/mg in BC while hemp-derived hydrolysates exhibited limited intracellular protein utilization. All hydrolysates significantly enhanced intracellular antioxidant activity compared with FBS (5.83 ± 1.12 µmol FeSO4/mg). Although further studies are required to assess long-term performance and large-scale applicability, these findings demonstrate the short-term potential of plant- and marine-derived co-products as sustainable CCM supplements, particularly for enhancing the antioxidant profile of cell biomass. Full article
Show Figures

Graphical abstract

23 pages, 2243 KB  
Article
Transcriptional Modulation in Grapevine by a Biostimulant Treatment for Improved Plant Resilience to Stress Events
by Asia Mostacci, Domenico Di Cosmo, Ornella Incerti, Antonio Ippolito, Rita Milvia De Miccolis Angelini and Simona Marianna Sanzani
Plants 2026, 15(2), 283; https://doi.org/10.3390/plants15020283 - 17 Jan 2026
Viewed by 394
Abstract
Grapevine (Vitis vinifera L.) is a globally significant crop increasingly affected by a variety of biotic and abiotic stresses. Plant biostimulants offer a promising approach to enhance plant resilience by modulating key physiological and metabolic processes. This study aimed to demonstrate that [...] Read more.
Grapevine (Vitis vinifera L.) is a globally significant crop increasingly affected by a variety of biotic and abiotic stresses. Plant biostimulants offer a promising approach to enhance plant resilience by modulating key physiological and metabolic processes. This study aimed to demonstrate that the preventive application of a Fabaceae-based biostimulant can prime grapevine defense pathways, thereby improving plants’ ability to endure potential stress conditions. Indeed, resistance to both biotic and abiotic stresses in plants involves common pathways, including Ca2+ and ROS signaling, MAPK cascades, hormone cross-talk, transcription factor activation, and induction of defense genes. Grapevine leaves were subjected to high-throughput transcriptomic analysis coupled with qPCR validation 6 and 24 h following treatment application. Differentially expressed genes were visualized using MapMan to identify the major metabolic and signaling pathways responsive to the treatment. This integrative analysis revealed several defense-related pathways triggered by the biostimulant, with representative protein families showing both up- and downregulation across key functional categories. Overall, the results indicate that a wider array of pathways associated with stress tolerance and growth regulation were stimulated in treated plants compared to untreated controls. These findings support the conclusion that a preventive biostimulant application can effectively prime grapevine metabolism, enhancing its preparation to cope with forthcoming environmental challenges. Full article
(This article belongs to the Section Plant Response to Abiotic Stress and Climate Change)
Show Figures

Figure 1

18 pages, 2517 KB  
Article
Effects of Slow-Release Fertilizer on Growth, Yield, and Quality of Ziziphus jujuba Mill. ‘Huizao’
by Xueli Wang, Ye Yuan, Shoule Wang, Tianxiang Jiang, Dingyu Fan, Juan Jin, Ying Jin, Qing Hao and Cuiyun Wu
Plants 2026, 15(2), 265; https://doi.org/10.3390/plants15020265 - 15 Jan 2026
Viewed by 212
Abstract
Aiming at the problems of tree vigor decline and unstable fruit quality caused by soil impoverishment and easy nutrient loss in the Ziziphus jujuba Mill. ‘Huizao’ (Huizao) producing areas of southern Xinjiang, the application effect of bag-controlled slow-release fertilizer (BCSRF) in this region [...] Read more.
Aiming at the problems of tree vigor decline and unstable fruit quality caused by soil impoverishment and easy nutrient loss in the Ziziphus jujuba Mill. ‘Huizao’ (Huizao) producing areas of southern Xinjiang, the application effect of bag-controlled slow-release fertilizer (BCSRF) in this region remains unclear. In this study, a field experiment was conducted with four fertilization concentration gradients, including CK (0 kg/ha), T1 (22 kg/ha), T2 (44 kg/ha), and T3 (66 kg/ha), to investigate the effects of BCSRF on soil nutrient dynamics and plant growth, as well as the fruit yield and quality of Huizao. The results showed that BCSRF could effectively maintain the supply levels of soil alkali-hydrolysable nitrogen, available phosphorus, and available potassium during key growth periods, among which the T3 treatment exhibited the most significant effect. This treatment not only significantly increased the yield per plant of Huizao by 39.34% compared with the control, but also markedly enhanced the contents of the endogenous substance, including soluble sugar and cyclic adenosine monophosphate. This study confirms that under the condition of sandy loam soil in southern Xinjiang, a single basal application of an appropriate amount of BCSRF can achieve continuous nutrient supply, simultaneously improve soil fertility and fruit quality, providing a theoretical basis and technical guidance for simplified and efficient fertilization in local jujube orchards. Full article
(This article belongs to the Section Plant–Soil Interactions)
Show Figures

Figure 1

16 pages, 591 KB  
Review
Antioxidant and Health-Related Effects of Tannins: From Agri-Food By-Products to Human and Animal Health
by Luca Camarda, Roberta Budriesi, Ivan Corazza, Maria Frosini, Carla Marzetti and Laura Beatrice Mattioli
Antioxidants 2026, 15(1), 104; https://doi.org/10.3390/antiox15010104 - 13 Jan 2026
Viewed by 392
Abstract
Background: Agri-food by-products are increasingly recognized as valuable sources of tannins, whose antioxidant properties represent the primary driver of their biological activity across human and animal health. The strong redox-modulating capacity of condensed and hydrolysable tannins provides a unifying mechanistic explanation for their [...] Read more.
Background: Agri-food by-products are increasingly recognized as valuable sources of tannins, whose antioxidant properties represent the primary driver of their biological activity across human and animal health. The strong redox-modulating capacity of condensed and hydrolysable tannins provides a unifying mechanistic explanation for their effects on inflammation, metabolism, gut integrity and neuroprotection. Methods: This narrative review synthesizes evidence obtained through a structured literature search across major databases, selecting studies that investigated antioxidant mechanisms of tannin-rich matrices from plant- and processing-derived residues. Results: Condensed tannins, particularly proanthocyanidins, consistently display potent antioxidant activity through radical scavenging, metal chelation and activation of endogenous defenses, thereby underpinning their anti-inflammatory, anti-ischemic, neuroprotective and metabolic actions. Hydrolysable tannins similarly exert strong antioxidative effects that support antimicrobial activity, enzyme modulation and protection against neuroinflammation. In animals, the antioxidant capacity of tannins translates into improved oxidative balance, enhanced immune status, reduced tissue damage, better feed efficiency and mitigation of oxidative stress-linked methane emission pathways. Conclusions: Antioxidant activity emerges as the central, cross-species mechanism through which tannins mediate diverse health benefits. Tannin-rich agri-food by-products therefore represent promising sustainable antioxidant resources, although their efficacy remains influenced by tannin class, degree of polymerization and dosage, warranting further mechanistic and translational research. Full article
Show Figures

Figure 1

19 pages, 3161 KB  
Article
Pressure-Dependent Microbial Oil Production with Cutaneotrichosporon oleaginosus Converting Lignocellulosic Hydrolysate
by Fabian Herrmann, Nila Kazemian, Emelie Petzel and Dirk Weuster-Botz
Processes 2026, 14(2), 228; https://doi.org/10.3390/pr14020228 - 8 Jan 2026
Viewed by 394
Abstract
Microbial lipid production from renewable carbon sources, particularly lignocellulosic hydrolysates, is a promising alternative to plant-derived oils and fats for food applications, as it can minimize the land use by utilizing agricultural wastes and byproducts from food production. In this context, a standard [...] Read more.
Microbial lipid production from renewable carbon sources, particularly lignocellulosic hydrolysates, is a promising alternative to plant-derived oils and fats for food applications, as it can minimize the land use by utilizing agricultural wastes and byproducts from food production. In this context, a standard approach to prevent oxygen limitation at reduced air gassing rates during long-term aerobic microbial processes is to operate bioreactors at increased pressure for elevating the gas solubility in the fermentation broth. This study investigates the effect of absolute pressures of up to 2.5 bar on the conversion of the carbon sources (glucose, xylose, and acetate), growth, and lipid biosynthesis by Cutaneotrichosporon oleaginosus converting a synthetic nutrient-rich lignocellulosic hydrolysate at low air gassing rates of 0.1 vessel volume per minute (vvm). Increasing pressure delayed xylose uptake, reduced acetic acid consumption, and reduced biomass formation. Lipid accumulation decreased with increasing pressure, except for fermentations at 1.5 bar, which achieved a maximum lipid content of 83.6% (±1.6, w/w) (weight per weight in %). At an absolute pressure of 1.5 bar, a lipid yield from glucose, xylose, and acetic acid of 38% (w/w) was reached after 6 days of fermentation. The pressure sensitivity of C. oleaginosus may pose challenges on an industrial scale due to the dynamic changes in pressure when the yeast cells pass through the bioreactor. Increasing liquid heights in full-scale bioreactors will result in increased hydrostatic pressures at the bottom, substantially reducing lipid yields, e.g., to only 23% (w/w) at 2.0–2.5 bar, as shown in this study. However, further scale-up studies with dynamic pressure regimes (1–2.5 bar) may help to evaluate scale-up feasibility. Full article
Show Figures

Figure 1

11 pages, 588 KB  
Article
Dipeptidyl Peptidase-4 Inhibitory Activity of Buckwheat Flour-Derived Peptides and Oral Glucose Tolerance Test of Buckwheat Flour Hydrolysates in Rats
by Noe Mitsui, Kouji Shiono, Yoshiya Seto, Tadasu Furusho, Chika Saito and Kosaku Takahashi
Foods 2026, 15(1), 92; https://doi.org/10.3390/foods15010092 - 29 Dec 2025
Viewed by 378
Abstract
Dipeptidyl peptidase-4 (DPP-4) is a protease that degrades incretin and inhibits the secretion of insulin. Consequently, DPP-4 inhibition promotes insulin secretion and prevents the onset of type 2 diabetes. Given the growing interest in food-derived DPP-4 inhibitory peptides as potential functional ingredients, buckwheat [...] Read more.
Dipeptidyl peptidase-4 (DPP-4) is a protease that degrades incretin and inhibits the secretion of insulin. Consequently, DPP-4 inhibition promotes insulin secretion and prevents the onset of type 2 diabetes. Given the growing interest in food-derived DPP-4 inhibitory peptides as potential functional ingredients, buckwheat (Fagopyrum esculentum) represents a promising source; however, few studies have investigated the bioactivity of peptides derived from buckwheat flour hydrolysates. In this study, two DPP-4 inhibitory peptides, Ile-Pro-Trp and Ile-Pro-Leu, were identified through purification of buckwheat flour hydrolysate and liquid chromatography–tandem mass spectrometry analysis. In a rat oral glucose tolerance test (OGTT), a fraction of buckwheat flour hydrolysate, crudely purified by reverse-phase column chromatography, showed a non-significant trend toward reducing increases in blood glucose. To our knowledge, this study is the first to show that Ile-Pro-Trp isolated from food protein hydrolysates exhibits considerable DPP-4 inhibitory activity. Moreover, this is the first study identifying Ile-Pro-Ile as a DPP-4 inhibitor from a plant source. Full article
(This article belongs to the Section Nutraceuticals, Functional Foods, and Novel Foods)
Show Figures

Figure 1

30 pages, 6037 KB  
Article
Biopolymer Development from Agro-Food and Aquaculture By-Products with Antioxidant Hydrolysates of Cyprinus carpio, Produced via Enzymatic Preparations of Pineapple and Papaya
by Guadalupe López-García, Octavio Dublán-García, Francisco Antonio López-Medina, Ana Gabriela Morachis-Valdez, Karinne Saucedo-Vence, Daniel Arizmendi-Cotero, Daniel Díaz-Bandera, Gerardo Heredia-García, Angel Santillán-Álvarez, Luis Alberto Cira-Chávez and Baciliza Quintero-Salazar
Int. J. Mol. Sci. 2026, 27(1), 148; https://doi.org/10.3390/ijms27010148 - 23 Dec 2025
Viewed by 400
Abstract
This study describes the development of a biodegradable biopolymer formulated from protein–polysaccharide matrices enriched with antioxidant hydrolysates obtained from Cyprinus carpio by-products. The hydrolysates were produced through targeted enzymatic hydrolysis using plant-derived proteases, yielding peptide fractions with relevant radical-scavenging activity. Molecular characterization (DSC) [...] Read more.
This study describes the development of a biodegradable biopolymer formulated from protein–polysaccharide matrices enriched with antioxidant hydrolysates obtained from Cyprinus carpio by-products. The hydrolysates were produced through targeted enzymatic hydrolysis using plant-derived proteases, yielding peptide fractions with relevant radical-scavenging activity. Molecular characterization (DSC) confirmed the presence of thermal stability suitable for cold-chain applications, while the resulting biopolymer displayed flexible and cohesive structural behavior. The material was evaluated as an edible coating for raspberries stored at 4 °C. Coatings containing the hydrolysates, particularly those generated with bromelain, more effectively slowed physicochemical deterioration, modulated oxidative reactions, and helped to preserve nutritional quality during storage. These findings indicate that integrating bioactive peptide hydrolysates into biodegradable polymer networks enhances their functional performance, offering a sustainable approach for food preservation and valorization of agro-aquaculture residues. Full article
Show Figures

Figure 1

16 pages, 2187 KB  
Article
Combined Mild Thermal Pretreatment and Bioaugmentation of Ammonia-Acclimatised Inoculum to Enhance Biomethanation of Poultry Manure
by Christos A. Tzenos, Antonios A. Lithourgidis, Dimitra S. Pitsikoglou, Maria-Athina Tsitsimpikou, Sotirios D. Kalamaras, Vasileios K. Firfiris, Ioannis A. Fotidis and Thomas A. Kotsopoulos
Energies 2025, 18(24), 6622; https://doi.org/10.3390/en18246622 - 18 Dec 2025
Viewed by 308
Abstract
Anaerobic digestion (AD) of poultry manure often faces ammonia inhibition due to its high nitrogen content. This study investigated a combined strategy involving mild thermal hydrolysis pretreatment and bioaugmentation with ammonia-acclimatised inoculum to enhance methane production and process stability under ammonia-stressed conditions. Batch [...] Read more.
Anaerobic digestion (AD) of poultry manure often faces ammonia inhibition due to its high nitrogen content. This study investigated a combined strategy involving mild thermal hydrolysis pretreatment and bioaugmentation with ammonia-acclimatised inoculum to enhance methane production and process stability under ammonia-stressed conditions. Batch biomethanation efficiency assays were first conducted to evaluate the effect of different hydrolysis conditions (55–70 °C, 30–60 min) on substrate methane yields and biodegradability. The optimal condition (70 °C for 60 min) increased methane potential by 8.7% compared to the untreated substrate. In addition, a mesophilic continuous stirred-tank reactor (CSTR) experiment was conducted using both non-hydrolysed and thermally hydrolysed poultry manure under hydraulic retention times of 25 and 30 days, across four operational phases: steady-state, ammonia toxicity, bioaugmentation recovery, and increased organic loading rate. CSTRs were subjected to ammonia stress (6500 mg NH4+-N L−1) to assess the effectiveness of an acclimatised bioaugmentation inoculum. Methane yields recovered up to 93% and 100% of pre-inhibition and ammonia-toxicity levels, respectively, accompanied by process stability while reaching 7280 mg NH4+-N L−1. The synergistic application of hydrolysis and bioaugmentation significantly improved substrate conversion and overall AD robustness. This integrated approach provides a viable and scalable strategy for optimising AD performance of nitrogen-rich feedstocks, enabling its future application in AD plants. Full article
(This article belongs to the Section B: Energy and Environment)
Show Figures

Figure 1

12 pages, 2589 KB  
Article
Protective Action of Hydrolysable Tannins Against Bisphenol A Toxicity on Zebrafish Development
by Alessandra La Pietra, Teresa Mobilio and Ida Ferrandino
Environments 2025, 12(12), 488; https://doi.org/10.3390/environments12120488 - 12 Dec 2025
Viewed by 550
Abstract
Hydrolysable tannins (HTs) are polyphenolic compounds extracted from plants consisting of a sugar core, esterified with phenolic acids, such as gallic or ellagic acid. These phenolic acids are responsible for their well-known antioxidant, anti-tumor, antimicrobial, and anti-inflammatory properties. This study investigated the potential [...] Read more.
Hydrolysable tannins (HTs) are polyphenolic compounds extracted from plants consisting of a sugar core, esterified with phenolic acids, such as gallic or ellagic acid. These phenolic acids are responsible for their well-known antioxidant, anti-tumor, antimicrobial, and anti-inflammatory properties. This study investigated the potential protective role of HTs against bisphenol A (BPA), an environmental pollutant known to have toxic effects. Zebrafish embryos were exposed to BPA at 25.0 µM alone and in combination with HTs at 5.0, 10.0, and 20.0 µgL−1 for 72 h. The results showed that HTs at 20.0 µgL−1 improved hatching and heart rate affected by BPA and reduced the phenotypic alterations caused by BPA. In addition, molecular analysis of genes involved in development showed that the down-regulation of cd63, zhe1, klf4, hand2, sox9b, and gata4 genes in the BPA group were improved with HTs 20.0 µgL−1. Furthermore, HTs were able to reduce the increased lipid content caused by exposure to BPA. These results demonstrate that HTs have a protective effect on the development of zebrafish exposed to BPA, suggesting that they could potentially exert protective effects in response to other environmental stressors. Full article
Show Figures

Graphical abstract

Back to TopTop