Effects of Slow-Release Fertilizer on Growth, Yield, and Quality of Ziziphus jujuba Mill. ‘Huizao’
Abstract
1. Introduction
2. Results
2.1. Changes in Soil Nutrients After Application of BCSRF
2.2. Changes in Growth and Yield of Huizao After Application of BCSRF
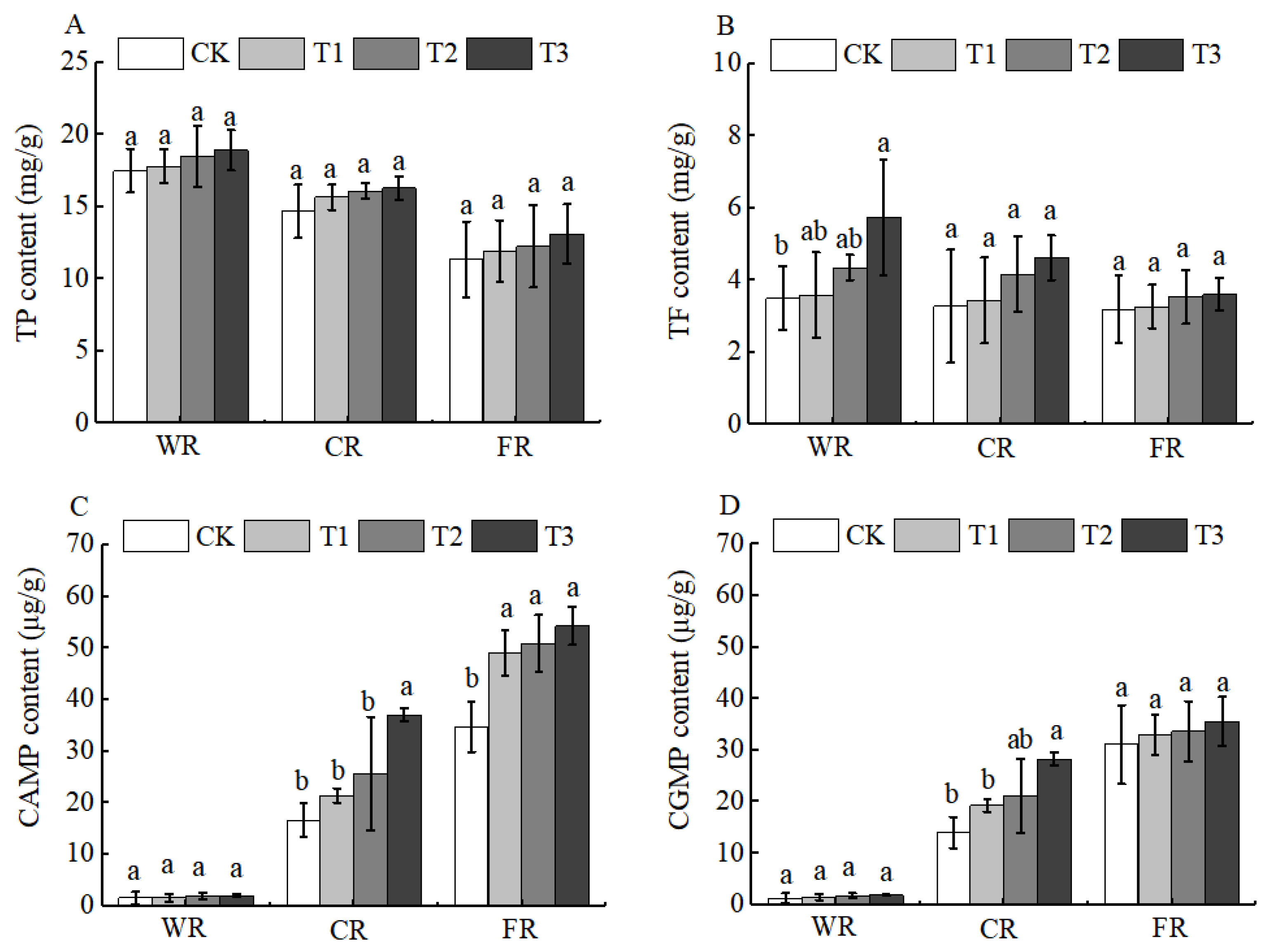
2.3. Changes in Weight, Shape Dimensions, and Nutritional Quality of Huizao After Application of BCSRF
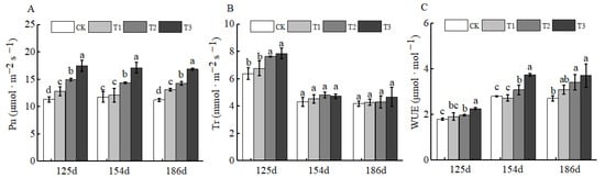
2.4. Changes in Photosynthesis of Huizao After Application of BCSRF
3. Discussion
4. Materials and Methods
4.1. Plant Materials
4.2. Experimental Design
4.3. Measurement Indicators and Methods
4.3.1. Determination of Soil Nutrient Indicators
4.3.2. Observation of Phenological Period and Determination of Growth Indicators and Yield Indicators
4.3.3. Determination of Fruit Quality Indicators
4.3.4. Determination of Photosynthetic Indicators
4.4. Data Processing and Analysis
5. Conclusions
Author Contributions
Funding
Data Availability Statement
Conflicts of Interest
References
- Li, J.; Wang, B.; Zhang, L.; Ma, Y.; Song, L.; Cao, B. Genome-wide study of drought tolerance traits in wild jujube. BMC Plant Biol. 2024, 24, 1000. [Google Scholar] [CrossRef]
- Zhou, Y.; Hao, L.; Ji, C.; Zhou, Q.; Song, X.; Liu, Y.; Li, H.; Li, C.; Gao, Q.; Li, J.; et al. The Effect of Salt-Tolerant Antagonistic Bacteria CZ-6 on the Rhizosphere Microbial Community of Winter Jujube (Ziziphus jujuba Mill. “Dongzao”) in Saline-Alkali Land. Biomed. Res. Int. 2021, 2021, 5171086. [Google Scholar] [CrossRef] [PubMed]
- Yan, M.; Wang, Y.; Watharkar, R.; Pu, Y.; Wu, C.; Lin, M.; Lu, D.; Liu, M.; Bao, J.; Xia, Y. Physicochemical and antioxidant activity of fruit harvested from eight jujube (Ziziphus jujuba Mill.) cultivars at different development stages. Sci. Rep. 2022, 12, 2272. [Google Scholar] [CrossRef] [PubMed]
- Guo, M.; Lian, Q.; Mei, Y.; Yang, W.; Zhao, S.; Zhang, S.; Xing, X.; Zhang, H.; Gao, K.; He, W.; et al. Analyses of the pan-genome and resequencing atlas unveil the genetic basis of jujube domestication. Nat. Commun. 2024, 15, 9320. [Google Scholar] [CrossRef] [PubMed]
- Lu, Y.; Bao, T.; Mo, J.; Ni, J.; Chen, W. Research advances in bioactive components and health benefits of jujube (Ziziphus jujuba Mill.) fruit. J. Zhejiang Univ. Sci. B 2021, 22, 431–449. [Google Scholar] [CrossRef]
- Cai, W.; Zhuang, H.; Wang, X.; Chen, S.; Yao, L.; Sun, M.; Wang, H.; Yu, C.; Feng, T. Functional Nutrients and Jujube-Based Processed Products in Ziziphus jujuba. Molecules 2024, 29, 3437. [Google Scholar] [CrossRef]
- Hua, Y.; Xu, X.; Guo, S.; Xie, H.; Yan, H.; Ma, X.; Niu, Y.; Duan, J. Wild Jujube (Ziziphus jujuba var. spinosa): A Review of Its Phytonutrients, Health Benefits, Metabolism, and Applications. J. Agric. Food Chem. 2022, 70, 7871–7886. [Google Scholar] [CrossRef]
- Lu, Z.; Liu, K.; Yan, Z.; Li, X. Research Progress on Nutritional Components and Health Effects of Jujube Fruit. J. Hortic. 2010, 37, 2017–2024. (In Chinese) [Google Scholar]
- Li, Y.; Zhou, X.; Zhao, K.; Liu, J.; Chen, G.; Zhang, Y.; Ma, J.; Sun, N.; Li, X. Cultivation and morphology of jujube (Ziziphus Jujuba Mill.) in the Qi River Basin of Northern China during the Neolithic Period. Sci. Rep. 2024, 14, 2305. [Google Scholar] [CrossRef]
- Wang, C.; He, W.; Kang, L.; Yu, S.; Wu, A.; Wu, W. Two-dimensional fruit quality factors and soil nutrients reveals more favorable topographic plantation of Xinjiang jujubes in China. PLoS ONE 2019, 14, e0222567. [Google Scholar] [CrossRef]
- Pan, S.; Liu, X.; Zheng, X.; Wu, J.; Tan, M.; Cao, N.; Zhao, X.; Wu, M.; Han, Y.; Yan, X.; et al. Impact of Long-Term Cold Storage on the Physicochemical Properties, Volatile Composition, and Sensory Attributes of Dried Jujube (Ziziphus jujuba Mill.). Foods 2024, 14, 50. [Google Scholar] [CrossRef] [PubMed]
- Qiao, H.; Cheng, H.; Li, T.; Fan, W.; Zhao, Y.; Cui, Z.; Wang, J.; Yang, Q.; Jia, C.; Zhang, W.; et al. Species Interactions Shape Nitrogen Utilization Characteristics and Influence Soil Quality in Jujube-Alfalfa Intercropping System. Plants 2025, 14, 2048. [Google Scholar] [CrossRef]
- Zou, Q.; Zhang, Y.; Niu, X.; Yang, H.; Chu, M.; Wang, N.; Bao, H.; Zhan, F.; Yang, R.; Lou, K.; et al. Antifungal Activity of Rhizosphere Bacillus Isolated from Ziziphus jujuba Against Alternaria alternata. Microorganisms 2024, 12, 2189. [Google Scholar] [CrossRef] [PubMed]
- Tian, C.; Zhou, X.; Ding, Z.; Liu, Q.; Xie, G.; Peng, J.; Rong, X.; Zhang, Y.; Yang, Y.; Eissa, M.A. Controlled-release N fertilizer to mitigate ammonia volatilization from double-cropping rice. Nutr. Cycl. Agroecosyst. 2021, 119, 123–137. [Google Scholar] [CrossRef]
- Ma, X.; Ding, Z.; Hu, R.; Wang, X.; Hou, J.; Zou, G.; Cao, B. Increasing rice yield with low ammonia volatilization by combined application of controlled-release blended fertilizer and densification. PLoS ONE 2025, 20, e0318177. [Google Scholar] [CrossRef]
- Jin, X.; Cai, J.; Yang, S.; Li, S.; Shao, X.; Fu, C.; Li, C.; Deng, Y.; Huang, J.; Ruan, Y.; et al. Partial substitution of chemical fertilizer with organic fertilizer and slow-release fertilizer benefits soil microbial diversity and pineapple fruit yield in the tropics. Appl. Soil Ecol. 2023, 189, 104974. [Google Scholar] [CrossRef]
- Alikhani, M.; Mirbolook, A.; Sadeghi, J.; Lakzian, A. Effect of a new slow-release zinc fertilizer based on carbon dots on the zinc concentration, growth indices, and yield in wheat (Triticum aestivum). Plant Physiol. Biochem. 2023, 200, 107783. [Google Scholar] [CrossRef]
- Zhou, A. Application Research and Development Recommendations for Controlled-Release Fertilizers in China. Phosphorus Fertil. Compd. Fertil. 2020, 35, 16–19. (In Chinese) [Google Scholar]
- Peng, F.; Peng, Y.; Zhou, P.; Zhang, S. Effect of controlled-release fertilizer bag on nitrogen utilization and growth/fruit set of Ziziphus jujuba Mill. ‘Zhanhua’. J. Hortic. 2006, 33, 223–228. (In Chinese) [Google Scholar]
- Zhang, Y.; Luo, J.; Peng, F.; Xiao, Y.; Du, A. Application of Bag-Controlled Release Fertilizer Facilitated New Root Formation, Delayed Leaf and Root Senescence in Peach Trees, and Improved Nitrogen Utilization Efficiency. Front. Plant Sci. 2021, 12, 627313. [Google Scholar] [CrossRef]
- Zhang, L.; Wei, Y.; Guo, C.; Sun, W.; Wang, S. Effects of Bag-Controlled Slow-Release Fertilizer on the Yield and Quality of ‘Krymskaya’ Grape. Northern Horticulture 2011, 2011, 5–8. (In Chinese) [Google Scholar]
- Meng, T.; Shi, J.; Zhang, X.; Zhao, X.; Zhang, D.; Chen, L.; Lu, Z.; Cheng, Y.; Hao, Y.; Zhao, X.; et al. Slow-release nitrogen fertilizer application regulated rhizosphere microbial diversity to increase maize yield. Front. Plant Sci. 2024, 15, 1481465. [Google Scholar] [CrossRef]
- Hu, M.; Li, Z.; Chen, K.; Xiong, Y.; Luo, Y.; Wang, A.; Li, L.; Shu, C.; Chen, Z.; Yang, Z.; et al. Side deep placement of slow-release N as base fertilizer combined with urea as panicle fertilizer increases rice yield by optimizing dry matter and N accumulation and translocation. Front. Plant Sci. 2025, 16, 1600215. [Google Scholar] [CrossRef]
- Wu, Z.; Zhao, X.; Jean, W.H.Y.; Shafaque, S.; Muhammad, F.A.; Muhammad, R.; Krishan, K.V.; Li, M.; Huo, J.; Yang, S.; et al. Slow-release boron fertilizer improves the yield and nutritional profile of Beta vulgaris L. grown in Northeast China by increasing boron supply capacity. Front. Plant Sci. 2024, 15, 1441226. [Google Scholar] [CrossRef]
- Hou, S.; Zhang, Z.; Li, Y.; Zhang, C.; Yang, Y.; Li, X. Study on the Growth Behavior of Self- and Cross-Pollinated Pollen Tubes and Early Embryonic Development in Jujube. J. Fruit. Sci. 2019, 36, 1515–1523. (In Chinese) [Google Scholar]
- Benidir, M.; El Massoudi, S.; El Ghadraoui, L.; Lazraq, A.; Benjelloun, M.; Errachidi, F. Study of Nutritional and Organoleptic Quality of Formulated Juices from Jujube (Ziziphus lotus L.) and Date (Phoenix dactylifera L.) Fruits. Sci. World J. 2020, 2020, 9872185. [Google Scholar] [CrossRef] [PubMed]
- Gao, Q.; Wu, C.; Wang, M. The jujube (Ziziphus jujuba Mill.) fruit: A review of current knowledge of fruit composition and health benefits. J. Agric. Food Chem. 2013, 61, 3351–3363. [Google Scholar] [CrossRef]
- Ye, S.; Peng, B.; Liu, T. Effects of organic fertilizers on growth characteristics and fruit quality in pear-jujube in the Loess Plateau. Sci. Rep. 2022, 12, 13372. [Google Scholar] [CrossRef]
- Ye, L.; Zhao, X.; Bao, E.; Li, J.; Zou, Z.; Cao, K. Bio-organic fertilizer with reduced rates of chemical fertilization improves soil fertility and enhances tomato yield and quality. Sci. Rep. 2020, 10, 177. [Google Scholar] [CrossRef]
- Ma, J.; Chen, Y.; Wang, K.; Huang, Y.; Wang, H. Re-utilization of Chinese medicinal herbal residues improved soil fertility and maintained maize yield under chemical fertilizer reduction. Chemosphere 2021, 283, 131262. [Google Scholar] [CrossRef]
- Wang, Z.; Bian, Q.; Li, W.; Li, Z. Optimal Water and Fertilizer Application Rates for Integrated Drip Irrigation of Mature Red Dates in Southern Xinjiang Sandy Areas. J. Agric. Eng. 2018, 34, 96–104. (In Chinese) [Google Scholar]
- Xiao, Q.; Fan, X.; Ni, X.; Li, L.; Xu, X.; Yi, W. Prediction of nitrogen release from sigmoid-type controlled release fertilizers in greenhouse production of strawberry and cucumber. Sci. China Life Sci. 2017, 60, 1051–1054. [Google Scholar] [CrossRef]
- Niu, T.; Xie, J.; Li, J.; Zhang, J.; Zhang, X.; Ma, H.; Wang, C. Response of rhizosphere microbial community of Chinese chives under different fertilization treatments. Front. Microbiol. 2022, 13, 1031624. [Google Scholar] [CrossRef] [PubMed]
- Zhang, Z.; Zhang, W.; Zhang, L. Combined application of organic and inorganic fertilizers significantly improves soil physical and chemical properties, yield, and quality of Ziziphus jujuba cv. Jinsixiaozao. Hubei Agric. Sci. 2024, 63, 17–23. (In Chinese) [Google Scholar]
- Li, J.; Liu, Y.; Liu, J.; Cui, X.; Hou, T.; Cheng, D. A novel synthetic slow release fertilizer with low energy production for efficient nutrient management. Sci. Total Environ. 2022, 831, 154844. [Google Scholar] [CrossRef] [PubMed]
- Wang, C.; Luo, D.; Zhang, X.; Huang, R.; Cao, Y.; Liu, G.; Zhang, Y.; Wang, H. Biochar-based slow-release of fertilizers for sustainable agriculture: A mini review. Environ. Sci. Ecotechnol. 2022, 10, 100167. [Google Scholar] [CrossRef] [PubMed]
- Yang, X.; Liu, Y.; Gong, M.; Tong, Y.; Liu, Y.; Zhao, Z.; Yang, J. Preparation of Novel Biodegradable Polymer Slow-Release Fertilizers to Improve Nutrient Release Performance and Soil Phosphorus Availability. Polymers 2023, 15, 2242. [Google Scholar] [CrossRef]
- Zhao, H.; Song, J.; Zhao, G.; Xiang, Y.; Liu, Y. Novel Semi-IPN Nanocomposites with Functions of both Nutrient Slow-Release and Water Retention. 2. Effects on Soil Fertility and Tomato Quality. J. Agric. Food Chem. 2019, 67, 7598–7608. [Google Scholar] [CrossRef]
- Yu, L.; Zhang, Y.; Wang, Y.; Yao, Q.; Yang, K. Effects of slow-release nitrogen and urea combined application on soil physicochemical properties and fungal community under total straw returning condition. Environ. Res. 2024, 252, 118758. [Google Scholar] [CrossRef]
- Yin, J.; Li, Y.; Liu, H.; Duan, Y.; Jiao, Y.; Zhu, Z.; Luo, J.; Xie, C.; Zhang, H.; Zhang, X.; et al. Using slow-release fertilizers ensures the maintenance of litchi (Litchi chinensis Sonn.) production by enhancing soil nutrient supply and optimizing microbial communities. Appl. Soil Ecol. 2024, 195, 105265. [Google Scholar] [CrossRef]
- Saha, B.K.; Rose, M.T.; Wong, V.N.L.; Cavagnaro, T.R.; Patti, A.F. Nitrogen Dynamics in Soil Fertilized with Slow Release Brown Coal-Urea Fertilizers. Sci. Rep. 2018, 8, 14577. [Google Scholar] [CrossRef] [PubMed]
- Wang, C.; Lv, J.; Xie, J.; Yu, J.; Li, J.; Zhang, J.; Tang, C.; Niu, T.; Patience, B.E. Effect of slow-release fertilizer on soil fertility and growth and quality of wintering Chinese chives (Allium tuberm Rottler ex Spreng.) in greenhouses. Sci. Rep. 2021, 11, 8070. [Google Scholar] [CrossRef] [PubMed]
- Motamedi, E.; Safari, M.; Salimi, M. Improvement of tomato yield and quality using slow release NPK fertilizers prepared by carnauba wax emulsion, starch-based latex and hydrogel nanocomposite combination. Sci. Rep. 2023, 13, 11118. [Google Scholar] [CrossRef]
- Long, S.P.; Zhu, X.G.; Naidu, S.L.; Ort, D.R. Can improvement in photosynthesis increase crop yields? Plant Cell Environ. 2006, 29, 315–330. [Google Scholar] [CrossRef]
- Waqar, M.; Habib-Ur-Rahman, M.; Hasnain, M.U.; Lgbal, S.; Ghaffar, A.; Lgbal, R.; Hussain, M.L.; Sabagh, A.E. Effect of slow release nitrogenous fertilizers and biochar on growth, physiology, yield, and nitrogen use efficiency of sunflower under arid climate. Environ. Sci. Pollut. Res. Int. 2022, 29, 52520–52533. [Google Scholar] [CrossRef]
- Zhu, Y.; Deng, K.; Wu, P.; Feng, K.; Zhao, S.; Li, L. Effects of Slow-Release Fertilizer on Lotus Rhizome Yield and Starch Quality under Different Fertilization Periods. Plants 2023, 12, 1311. [Google Scholar] [CrossRef]
- Jiang, Z.; Chen, Q.; Liu, D.; Tao, K.; Gao, S.; Li, J.; Lin, C.; Zhu, M.; Ding, Y.; Li, W.; et al. Application of slow-controlled release fertilizer coordinates the carbon flow in carbon-nitrogen metabolism to effect rice quality. BMC Plant Biol. 2024, 24, 621. [Google Scholar] [CrossRef] [PubMed]
- Chen, G.; Ren, T.; Li, P.; Wang, B.; Zou, J.; Hussain, S.; Cong, R.; Wu, L.; Lu, J.; Li, X. Producing more grain yield of rice with less ammonia volatilization and greenhouse gases emission using slow/controlled-release urea. Environ. Sci. Pollut. Res. Int. 2019, 26, 2569–2579. [Google Scholar]
- Liu, Z.; Wang, Z.; Wu, G.; Chen, J.; He, J.; Wu, M.; Wang, D.; Wei, X.; Tian, P.; Wu, Z.; et al. Optimizing the Ratio of One-Off Slow-Release Fertilizer Can Improve the Nitrogen Use Efficiency and Yield of Rice Under the Condition of Nitrogen Reduction. Plants 2025, 14, 3650. [Google Scholar] [CrossRef]
- Bao, S. Soil Agrochemical Analysis, 3rd ed.; China Agriculture Publishing House: Beijing, China, 2000; pp. 1–495. (In Chinese) [Google Scholar]
- Liu, M.; Wang, M. China Jujube (Ziziphus jujuba Mill.) Germplasm Resources; China Forestry Publishing House: Beijing, China, 2009. (In Chinese) [Google Scholar]
- Gao, J. Plant Physiology Laboratory Manual; Higher Education Publishing House: Beijing, China, 2006; pp. 199–200. (In Chinese) [Google Scholar]
- An, S.; Zhi, J.; Zheng, Q.; Wang, W.; Song, S.; Zhang, D. Effects of combined application of nitrogen and phosphorus on photosynthetic and fluorescence characteristics of Huizao. Xinjiang Agric. Sci. 2022, 59, 2514–2523. (In Chinese) [Google Scholar]













| Treatment | Flower Diameter Size | Number of Flowers per Inflorescence | Number of Flowers Formed on Jujube Hanging Branches | Fruit Setting Rate (%) | Yield per Plant (kg/Plant) |
|---|---|---|---|---|---|
| CK | 0.78 ± 0.04 a | 11.88 ± 0.45 a | 36.44 ± 0.04 a | 12.21 ± 0.98 b | 20.97 ± 0.47 c |
| T1 | 0.79 ± 0.01 a | 11.93 ± 0.67 a | 37.94 ± 6.09 a | 14.37 ± 1.12 ab | 24.16 ± 0.40 b |
| T2 | 0.81 ± 0.02 a | 11.94 ± 0.37 a | 42.64 ± 14.17 a | 14.59 ± 0.93 ab | 24.60 ± 1.08 b |
| T3 | 0.81 ± 0.06 a | 12.07 ± 0.61 a | 52.33 ± 4.76 a | 15.10 ± 2.24 a | 29.22 ± 3.00 a |
| Treatment | Single Fruit Weight (g) | Longitudinal Thickness (mm) | Transverse Thickness (mm) | Fruit Shape Index | Period |
|---|---|---|---|---|---|
| CK | 10.32 ± 0.72 b | 35.92 ± 0.25 b | 24.50 ± 1.35 a | 1.48 ± 0.09 a | |
| T1 | 10.59 ± 0.80 b | 37.67 ± 0.85 a | 25.36 ± 2.50 a | 1.50 ± 0.14 a | White ripening |
| T2 | 11.24 ± 0.28 b | 37.89 ± 0.41 a | 25.42 ± 2.69 a | 1.51 ± 0.16 a | |
| T3 | 13.14 ± 0.23 a | 38.78 ± 0.91 a | 26.97 ± 1.55 a | 1.45 ± 0.11 a | |
| CK | 11.17 ± 1.72 a | 37.38 ± 2.75 a | 25.34 ± 3.67 a | 1.51 ± 0.14 a | |
| T1 | 12.06 ± 1.54 a | 37.60 ± 4.27 a | 26.31 ± 3.41 a | 1.45 ± 0.07 a | Crisp ripening |
| T2 | 12.85 ± 1.58 a | 38.61 ± 2.38 a | 26.65 ± 3.27 a | 1.46 ± 0.09 a | |
| T3 | 13.82 ± 0.64 a | 39.06 ± 1.69 a | 26.95 ± 0.58 a | 1.47 ± 0.09 a | |
| CK | 12.18 ± 0.51 b | 38.12 ± 0.35 a | 28.68 ± 1.83 a | 1.43 ± 0.12 a | |
| T1 | 12.47 ± 0.09 b | 38.79 ± 1.62 a | 30.29 ± 2.09 a | 1.36 ± 0.11 a | Full ripening |
| T2 | 13.39 ± 0.31 a | 38.80 ± 1.90 a | 30.51 ± 1.07 a | 1.37 ± 0.84 a | |
| T3 | 13.96 ± 0.32 a | 38.90 ± 0.66 a | 30.56 ± 1.59 a | 1.48 ± 0.17 a |
Disclaimer/Publisher’s Note: The statements, opinions and data contained in all publications are solely those of the individual author(s) and contributor(s) and not of MDPI and/or the editor(s). MDPI and/or the editor(s) disclaim responsibility for any injury to people or property resulting from any ideas, methods, instructions or products referred to in the content. |
© 2026 by the authors. Licensee MDPI, Basel, Switzerland. This article is an open access article distributed under the terms and conditions of the Creative Commons Attribution (CC BY) license.
Share and Cite
Wang, X.; Yuan, Y.; Wang, S.; Jiang, T.; Fan, D.; Jin, J.; Jin, Y.; Hao, Q.; Wu, C. Effects of Slow-Release Fertilizer on Growth, Yield, and Quality of Ziziphus jujuba Mill. ‘Huizao’. Plants 2026, 15, 265. https://doi.org/10.3390/plants15020265
Wang X, Yuan Y, Wang S, Jiang T, Fan D, Jin J, Jin Y, Hao Q, Wu C. Effects of Slow-Release Fertilizer on Growth, Yield, and Quality of Ziziphus jujuba Mill. ‘Huizao’. Plants. 2026; 15(2):265. https://doi.org/10.3390/plants15020265
Chicago/Turabian StyleWang, Xueli, Ye Yuan, Shoule Wang, Tianxiang Jiang, Dingyu Fan, Juan Jin, Ying Jin, Qing Hao, and Cuiyun Wu. 2026. "Effects of Slow-Release Fertilizer on Growth, Yield, and Quality of Ziziphus jujuba Mill. ‘Huizao’" Plants 15, no. 2: 265. https://doi.org/10.3390/plants15020265
APA StyleWang, X., Yuan, Y., Wang, S., Jiang, T., Fan, D., Jin, J., Jin, Y., Hao, Q., & Wu, C. (2026). Effects of Slow-Release Fertilizer on Growth, Yield, and Quality of Ziziphus jujuba Mill. ‘Huizao’. Plants, 15(2), 265. https://doi.org/10.3390/plants15020265

