Sign in to use this feature.

Years

Between: -

Subjects

remove_circle_outline
remove_circle_outline
remove_circle_outline
remove_circle_outline
remove_circle_outline
remove_circle_outline
remove_circle_outline
remove_circle_outline
remove_circle_outline

Journals

Article Types

Countries / Regions

remove_circle_outline
remove_circle_outline
remove_circle_outline
remove_circle_outline

Search Results (268)

Search Parameters:
Keywords = photocurrent device

Order results
Result details
Results per page
Select all
Export citation of selected articles as:
16 pages, 2903 KB  
Article
Ternary Organic Photovoltaics at a Turning Point: Mechanistic Perspectives on Their Constraints
by Hou-Chin Cha, Kang-Wei Chang, Chia-Feng Li, Sheng-Long Jeng, Yi-Han Wang, Hui-Chun Wu and Yu-Ching Huang
Nanomaterials 2025, 15(22), 1702; https://doi.org/10.3390/nano15221702 - 11 Nov 2025
Abstract
Ternary organic photovoltaics (OPVs) are considered as the next step beyond binary systems, aiming to achieve synergistic improvements in absorption, energetic alignment, and charge transport. However, despite their conceptual appeal, most ternary blends do not outperform binary counterparts, particularly under indoor illumination where [...] Read more.
Ternary organic photovoltaics (OPVs) are considered as the next step beyond binary systems, aiming to achieve synergistic improvements in absorption, energetic alignment, and charge transport. However, despite their conceptual appeal, most ternary blends do not outperform binary counterparts, particularly under indoor illumination where photon flux and carrier dynamics impose strict limitations. To comprehensively understand this discrepancy, multiple ternary systems were systematically examined to ensure that the observed behaviors are representative rather than case specific. In this study, we systematically investigate this discrepancy by comparing representative donor–donor–acceptor (D–D–A) and donor–acceptor–acceptor (D–A–A) systems under both AM 1.5G and TL84 lighting. In all cases, the broadened absorption fails to yield effective photocurrent; instead, redundant excitations, reduced driving forces for charge separation, and disrupted percolation networks collectively diminish device performance. Recombination and transient analyses reveal that the third component often introduces energetic disorder and trap-assisted recombination instead of facilitating beneficial cascade pathways. Although the film morphology remains smooth, interfacial instability under low-light conditions further intensifies performance losses. The inclusion of several systems allows the identification of consistent mechanistic trends across different ternary architectures, reinforcing the generality of the conclusions. This work establishes a mechanistic framework linking molecular miscibility, energetic alignment, and percolation continuity to device-level behavior, clarifying why ternary strategies rarely deliver consistent efficiency improvements. Ultimately, indoor OPV performance is determined not by spectral breadth but by maintaining balanced charge transport and stable energetic landscapes, which represents an essential paradigm for advancing ternary OPVs from concept to practical application. Full article
(This article belongs to the Special Issue Nanomaterials for Inorganic and Organic Solar Cells)
Show Figures

Figure 1

16 pages, 2035 KB  
Article
AlN Passivation-Enhanced Mg-Doped β-Ga2O3 MISIM Photodetectors for Highly Responsive Solar-Blind UV Detection
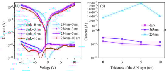
by Jiaxin Tan, Lin Yi, Mingyue Lv, Min Zhang and Suyuan Bai
Coatings 2025, 15(11), 1312; https://doi.org/10.3390/coatings15111312 - 10 Nov 2025
Viewed by 57
Abstract
Mg-doped gallium oxide films were prepared on single crystal sapphire substrates through radio frequency magnetron sputtering technology, and then AlN films of different thicknesses were deposited on them as passivation layers. Finally, Pt interdigitated electrodes were prepared through mask plate and ion sputtering [...] Read more.
Mg-doped gallium oxide films were prepared on single crystal sapphire substrates through radio frequency magnetron sputtering technology, and then AlN films of different thicknesses were deposited on them as passivation layers. Finally, Pt interdigitated electrodes were prepared through mask plate and ion sputtering technology to make metal–insulator–semiconductor–insulator–metal (MISIM) photodetectors. The influence of the AlN passivation layer on the optical properties and photodetection performance of the device was investigated using UV-Vis (ultraviolet-visible absorption spectroscopy) spectrophotometer and a Keith 4200 semiconductor tester. The device’s performance was significantly enhanced. Among them, the MISIM-structured device achieves a responsivity of 2.17 A/W, an external quantum efficiency (EQE) of 1100%, a specific detectivity (D*) of 1.09 × 1012 Jones, and a photo-to-dark current ratio (PDCR) of 2200. The results show that different thicknesses of AlN passivation layers have an effect on the detection performance of Mg-doped β-Ga2O3 films in the UV detection of the solar-blind UV region. The AlN’s thickness has little effect on the bandgap when it is 3 nm and 5 nm, and the bandgap increases at 10 nm. The transmittance of the film increases with the increase in AlN thickness and decreases when the AlN’s thickness increases to 10 nm. The photocurrent exhibits a non-monotonic dependence on AlN thickness at 10 V, and the dark current gradually decreases. The thickness of the AlN passivation layer also has a significant impact on the response characteristics of the detector, and the response characteristics of the device are best when the thickness of the AlN passivation layer is 5 nm. The responsiveness, detection rate, and external quantum efficiency of the device first increase and then decrease with the thickness of the AlN layer, and comprehensive performance is best when the thickness of the AlN passivation layer is 5 nm. The reason is that the AlN layer plays a passivating role on the surface of Ga2O3 films, reducing surface defects and inhibiting its capture of photogenerated carriers, while the appropriate thickness of the AlN layer increases the barrier height at the semiconductor interface, forming a built-in electric field and improving the response speed. Finally, the AlN layer inhibits the adsorption and desorption processes between the photogenerated electron–hole pair and O2, thereby retaining more photogenerated non-equilibrium carriers, which also helps enhance photoelectric detection performance. Full article
Show Figures

Figure 1

35 pages, 8289 KB  
Article
Tuning Optical and Photoelectrochemical Properties of TiO2/WOx Heterostructures by Reactive Sputtering: Thickness-Dependent Insights
by Lucas Diniz Araujo, Bianca Sartori, Matheus Damião Machado Torres, David Alexandro Graves, Benedito Donizeti Botan-Neto, Mariane Satomi Weber Murase, Nilton Francelosi Azevedo Neto, Douglas Marcel Gonçalves Leite, Rodrigo Sávio Pessoa, Argemiro Soares da Silva Sobrinho and André Luis Jesus Pereira
Nanomanufacturing 2025, 5(4), 15; https://doi.org/10.3390/nanomanufacturing5040015 - 15 Oct 2025
Viewed by 369
Abstract
Metal-oxide heterostructures represent an effective strategy to overcome the limitations of pristine TiO2, including its ultraviolet-only light absorption and rapid electron–hole recombination, which hinder its performance in solar-driven applications. Among various configurations, coupling TiO2 with tungsten oxide (WOx) [...] Read more.
Metal-oxide heterostructures represent an effective strategy to overcome the limitations of pristine TiO2, including its ultraviolet-only light absorption and rapid electron–hole recombination, which hinder its performance in solar-driven applications. Among various configurations, coupling TiO2 with tungsten oxide (WOx) forms a favorable type-II band alignment that enhances charge separation. However, a comprehensive understanding of how WOx overlayer thickness affects the optical and photoelectrochemical (PEC) behavior of device-grade thin films remains limited. In this study, bilayer TiO2/WOx heterostructures were fabricated via reactive DC magnetron sputtering, with controlled variation in WOx thickness to systematically investigate its influence on the structural, optical, and PEC properties. Adjusting the WOx deposition time enabled precise tuning of light absorption, interfacial charge transfer, and donor density, resulting in markedly distinct PEC responses. The heterostructure obtained with 30 min of WOx deposition demonstrated a significant enhancement in photocurrent density under AM 1.5G illumination, along with reduced charge-transfer resistance and improved capacitive behavior, indicating efficient charge separation and enhanced charge storage at the electrode–electrolyte interface. These findings underscore the potential of sputtered TiO2/WOx bilayers as advanced photoanodes for solar-driven hydrogen generation and light-assisted energy storage applications. Full article
Show Figures

Graphical abstract

10 pages, 1560 KB  
Article
Unveiling the Role of Fluorination in Suppressing Dark Current and Enhancing Photocurrent to Enable Thick-Film Near-Infrared Organic Photodetectors
by Yongqi Bai, Seon Lee Kwak, Jong-Woon Ha and Do-Hoon Hwang
Polymers 2025, 17(19), 2663; https://doi.org/10.3390/polym17192663 - 1 Oct 2025
Viewed by 510
Abstract
Thick active layers are crucial for scalable production of organic photodetectors (OPDs). However, most OPDs with active layers thicker than 200 nm typically exhibit decreased photocurrents and responsivities due to exciton diffusion and prolonged charge transport pathways. To address these limitations, we designed [...] Read more.
Thick active layers are crucial for scalable production of organic photodetectors (OPDs). However, most OPDs with active layers thicker than 200 nm typically exhibit decreased photocurrents and responsivities due to exciton diffusion and prolonged charge transport pathways. To address these limitations, we designed and synthesized PFBDT-8ttTPD, a fluorinated polymer donor. The strategic incorporation of fluorine effectively enhanced the charge carrier mobility, enabling more efficient charge transport, even in thicker films. OPDs combining PFBDT−8ttTPD with IT−4F or Y6 non-fullerene acceptors showed a substantially lower dark current density (Jd) for active layer thicknesses of 250−450 nm. Notably, Jd in the IT-4F-based devices declined from 8.74 × 10−9 to 4.08 × 10−10 A cm−2 under a reverse bias of −2 V, resulting in a maximum specific detectivity of 3.78 × 1013 Jones. Meanwhile, Y6 integration provided near-infrared sensitivity, with the devices achieving responsivity above 0.48 A W−1 at 850 nm and detectivity over 1013 Jones up to 900 nm, supporting broadband imaging. Importantly, high-quality thick films (≥400 nm) free of pinholes or defects were fabricated, enabling scalable production without performance loss. This advancement ensures robust photodetection in thick uniform layers and marks a significant step toward the development of industrially viable OPDs. Full article
(This article belongs to the Section Polymer Chemistry)
Show Figures

Figure 1

21 pages, 5821 KB  
Article
Systematic Study of Gold Nanoparticle Effects on the Performance and Stability of Perovskite Solar Cells
by Sofia Rubtsov, Akshay Puravankara, Edi L. Laufer, Alexander Sobolev, Alexey Kosenko, Vasily Shishkov, Mykola Shatalov, Victor Danchuk, Michael Zinigrad, Albina Musin and Lena Yadgarov
Nanomaterials 2025, 15(19), 1501; https://doi.org/10.3390/nano15191501 - 1 Oct 2025
Viewed by 571
Abstract
We explore a plasmonic interface for perovskite solar cells (PSCs) by integrating inkjet-printed TiO2-AuNP microdot arrays (MDA) into the electron transport layer. This systematic study examines how the TiO2 blocking layer (BL) surface conditioning, AuNP layer positioning, and nanoparticle loading [...] Read more.
We explore a plasmonic interface for perovskite solar cells (PSCs) by integrating inkjet-printed TiO2-AuNP microdot arrays (MDA) into the electron transport layer. This systematic study examines how the TiO2 blocking layer (BL) surface conditioning, AuNP layer positioning, and nanoparticle loading collectively influence device performance. Pre-annealing the BL increases its hydrophobicity, yielding smaller and denser AuNP microdots with an enhanced localized surface plasmon resonance (LSPR). Positioning the AuNP MDA at the BL/perovskite interface (above the BL) maximizes near-field plasmonic coupling to the absorber, resulting in higher photocurrent and power conversion devices; these trends are corroborated by finite-difference time-domain (FDTD) simulations. Moreover, these devices demonstrate better stability over time compared to those with AuNPs at the transparent electrode (under BL). Although higher AuNP concentrations improve dispersion stability, preserve MAPI crystallinity, and yield more uniform nanoparticle sizes, device measurements showed no performance gains. After annealing, the samples with the Au content of 23 wt% relative to TiO2 achieved optimal PSC efficiency by balancing plasmonic enhancement and charge transport without the increased resistance and recombination losses seen at higher loadings. Importantly, X-ray diffraction (XRD) confirms that introducing the TiO2-AuNP MDA at the interface does not disrupt the perovskite’s crystal structure, underscoring the structural compatibility of this plasmonic enhancement. Overall, our findings highlight a scalable strategy to boost PSC efficiency via engineered light-matter interactions at the nanoscale without compromising the perovskite’s structural integrity. Full article
(This article belongs to the Special Issue Photochemical Frontiers of Noble Metal Nanomaterials)
Show Figures

Figure 1

16 pages, 7023 KB  
Article
Comparative Studies on Synthesis Methods of BiVO4 for Photoelectrochemical Applications
by Dominik Caus, Katarzyna Berent, Krzysztof Mech, Andrii Naumov, Marianna Marciszko-Wiąckowska and Agnieszka Podborska
Molecules 2025, 30(18), 3818; https://doi.org/10.3390/molecules30183818 - 19 Sep 2025
Viewed by 554
Abstract
In this work, we report optical and photoelectrochemical properties of BiVO4 synthesized by microwave, sonochemical, sol–gel, and direct deposition on conductive substrate methods. Structural and morphological characterization using XRD, SEM, and AFM confirmed the presence of both monoclinic and tetragonal phases, with [...] Read more.
In this work, we report optical and photoelectrochemical properties of BiVO4 synthesized by microwave, sonochemical, sol–gel, and direct deposition on conductive substrate methods. Structural and morphological characterization using XRD, SEM, and AFM confirmed the presence of both monoclinic and tetragonal phases, with variations in particle size and surface roughness. UV-Vis spectroscopy revealed band gaps in the range of 2.38–2.51 eV. Photoelectrochemical performance was evaluated through measurements of photocurrents under varying illumination wavelengths and applied potentials. BiVO4 as a thin film exhibited the highest photocurrent intensity due to its superior semiconductor–substrate contact. In contrast, BiVO4 samples obtained as a powder showed significantly lower photocurrents but demonstrated the photocurrent switching effects, attributed to the presence of surface trap states and oxygen vacancies. The obtained results highlight the importance of synthesis strategy in tailoring BiVO4 properties for use as a photoelectrochemical cell and suggest potential applications in molecular electronics, such as logic gates and memory devices. Full article
(This article belongs to the Special Issue Feature Papers in Photochemistry and Photocatalysis—2nd Edition)
Show Figures

Graphical abstract

12 pages, 1417 KB  
Article
Controlling the Concentration of Copper Sulfide Doped with Silver Metal Nanoparticles as a Mechanism to Improve Photon Harvesting in Polymer Solar Cells
by Jude N. Ike, Xhamla Nqoro, Genene Tessema Mola and Raymond Tichaona Taziwa
Processes 2025, 13(9), 2922; https://doi.org/10.3390/pr13092922 - 13 Sep 2025
Viewed by 539
Abstract
The development of thin-film organic solar cells (TFOSCs) is pivotal for advancing sustainable energy technologies because of their potential for low-cost, lightweight, and flexible photovoltaic applications. In this study, silver-doped copper sulfide (CuS/Ag) metal nanoparticles (MNPs) were successfully synthesized via a wet chemical [...] Read more.
The development of thin-film organic solar cells (TFOSCs) is pivotal for advancing sustainable energy technologies because of their potential for low-cost, lightweight, and flexible photovoltaic applications. In this study, silver-doped copper sulfide (CuS/Ag) metal nanoparticles (MNPs) were successfully synthesized via a wet chemical method. These CuS/Ag MNPs were incorporated at varying concentrations into a poly(3-hexylthiophene) (P3HT) and [6,6]-phenyl-C61-butyric acid methyl ester (PC61BM) blend, serving as the active layer to enhance the photovoltaic performance of the TFOSCs. The fabricated TFOSC devices were systematically evaluated based on the optical, electrical, and morphological characteristics of the active layer. By varying the concentration of CuS/Ag MNPs, the influence of nanoparticle doping on photocurrent generation was investigated. The device incorporating 1% CuS/Ag MNPs exhibited the highest power conversion efficiency (PCE) of 5.28%, significantly outperforming the pristine reference device, which achieved a PCE of 2.53%. This enhancement is attributed to the localized surface plasmon resonance (LSPR), which augments charge transport and increases optical absorption. The CuS/Ag MNPs were characterized using ultraviolet–visible (UV-Vis) absorption spectroscopy, transmission electron microscopy (TEM), scanning electron microscopy (SEM), and energy-dispersive dispersion (EDX) analysis. These findings underscore the potential of CuS/Ag MNPs in revolutionizing TFOSCs, paving the way for more efficient and sustainable solar energy solutions. Full article
Show Figures

Figure 1

4 pages, 1186 KB  
Abstract
Theoretical Analysis of Low-Threshold Avalanche Effect in WSe2 Stepwise van-der-Waals Homojunction Photodiodes
by Sylwester Chojnowski, Kinga Majkowycz, Hailu Wang, Weida Hu and Piotr Martyniuk
Proceedings 2025, 129(1), 72; https://doi.org/10.3390/proceedings2025129072 - 12 Sep 2025
Viewed by 293
Abstract
In this work, we report simulation-assisted analysis of a room-temperature (300 K) low-threshold avalanche photodiode (APD) based on a WSe2 homojunction. Device simulations were conducted using a two-band model and the Chynoweth formalism for impact ionization, with material parameters extracted for few-layer [...] Read more.
In this work, we report simulation-assisted analysis of a room-temperature (300 K) low-threshold avalanche photodiode (APD) based on a WSe2 homojunction. Device simulations were conducted using a two-band model and the Chynoweth formalism for impact ionization, with material parameters extracted for few-layer and multi-layer homojunction WSe2 structures. The simulated results accurately reproduce experimental dark and photocurrent characteristics, with an avalanche threshold voltage of approximately ~1.6 V-over 26 times lower than that of conventional InGaAs APDs. The structure exhibits ultra-low dark current (10–100 fA) and high sensitivity, enabling detection of optical signals as low as 7.7 × 104 photons. The analyzed low voltage avalanche photodetector enables utilization in a wide range of applications. Full article
Show Figures

Figure 1

14 pages, 3224 KB  
Article
Impact of Charge Carrier Trapping at the Ge/Si Interface on Charge Transport in Ge-on-Si Photodetectors
by Dongyan Zhao, Yali Shao, Shuo Zhang, Tanyi Li, Boming Chi, Yaxing Zhu, Fang Liu, Yingzong Liang and Sichao Du
Electronics 2025, 14(15), 2982; https://doi.org/10.3390/electronics14152982 - 26 Jul 2025
Viewed by 624
Abstract
The performance of optoelectronic devices is affected by various noise sources. A notable factor is the 4.2% lattice mismatch at the Ge/Si interface, which significantly influences the efficiency of Ge-on-Si photodetectors. These noise sources can be analyzed by examining the impact of the [...] Read more.
The performance of optoelectronic devices is affected by various noise sources. A notable factor is the 4.2% lattice mismatch at the Ge/Si interface, which significantly influences the efficiency of Ge-on-Si photodetectors. These noise sources can be analyzed by examining the impact of the Ge/Si interface and deep traps on dark and photocurrents. This study evaluates the impact of these charge traps on key photodetector performance metrics, including responsivity, photo-to-dark current ratio, noise equivalent power (NEP), and specific detectivity (D*). The trapping effects on charge transport under both forward and reverse bias conditions are monitored through hysteresis analysis. When illuminated with an unmodulated 1550 nm laser, all the key performance metrics exhibit maximum variations at a specific reverse bias. This critical bias marks the transition from saturated to exponential charge transport regimes, where intensified electric fields enhance trap-assisted recombination and thus maximize metric fluctuations. Full article
(This article belongs to the Section Optoelectronics)
Show Figures

Figure 1

11 pages, 2176 KB  
Communication
Visualization of Light-Impinging Geometry in Nonlinear Photocurrents of Vertical Optoelectronic Devices
by Hacer Koc, Jianbin Chen, Dawei Gu and Mustafa Eginligil
Materials 2025, 18(15), 3503; https://doi.org/10.3390/ma18153503 - 25 Jul 2025
Viewed by 491
Abstract
Nonlinear photocurrents (NPs) are electrical currents expected to be measured at the electrodes of a device consisting of an active area, sensitive to light, with a higher-order in-electric field where light-impinging geometry (LIG) is the determining factor in the experimental observation. Although the [...] Read more.
Nonlinear photocurrents (NPs) are electrical currents expected to be measured at the electrodes of a device consisting of an active area, sensitive to light, with a higher-order in-electric field where light-impinging geometry (LIG) is the determining factor in the experimental observation. Although the phenomenology of this light–matter interaction is clear for light directed on a lateral device plane with well-defined azimuthal and incidence angles, as well as light polarization angle, it can be quite complicated for a vertical device structure and reconsideration of the expected NP contributions is necessary in the latter case. In this study, we used a visual approach to describe the LIG for vertical device structures using a specific example of a photodiode, and showed that these angles must be redefined, namely, the interchangeability of azimuthal and incidence angles. The influence of device geometry-dependent optical illumination is reflected on the behavior of NP; therefore, the NPs that are known to be forbidden in certain LIGs can be allowed and vice versa. These results pave the way for the utilization of NPs in flexible optoelectronic applications. Full article
Show Figures

Figure 1

10 pages, 4230 KB  
Article
Enhanced UVC Responsivity of Heteroepitaxial α-Ga2O3 Photodetector with Ultra-Thin HfO2 Interlayer
by SiSung Yoon, SeungYoon Oh, GyuHyung Lee, YongKi Kim, SunJae Kim, Ji-Hyeon Park, MyungHun Shin, Dae-Woo Jeon and GeonWook Yoo
Micromachines 2025, 16(7), 836; https://doi.org/10.3390/mi16070836 - 21 Jul 2025
Cited by 1 | Viewed by 1172
Abstract
In this study, the influence of HfO2 interlayer thickness on the performance of heteroepitaxial α-Ga2O3 layer-based metal–insulator–semiconductor–insulator–metal (MISIM) ultraviolet photodetectors is examined. A thin HfO2 interlayer enhances the interface quality and reduces the density of interface traps, thereby [...] Read more.
In this study, the influence of HfO2 interlayer thickness on the performance of heteroepitaxial α-Ga2O3 layer-based metal–insulator–semiconductor–insulator–metal (MISIM) ultraviolet photodetectors is examined. A thin HfO2 interlayer enhances the interface quality and reduces the density of interface traps, thereby improving the performance of UVC photodetectors. The fabricated device with a 1 nm HfO2 interlayer exhibited a significantly reduced dark current and higher photocurrent than a conventional metal–semiconductor–metal (MSM). Specifically, the 1 nm HfO2 MISIM device demonstrated a photocurrent of 2.3 μA and a dark current of 6.61 pA at 20 V, whereas the MSM device exhibited a photocurrent of 1.1 μA and a dark current of 73.3 pA. Furthermore, the photodetector performance was comprehensively evaluated in terms of responsivity, response speed, and high-temperature operation. These results suggest that the proposed ultra-thin HfO2 interlayer is an effective strategy for enhancing the performance of α-Ga2O3-based UVC photodetectors by simultaneously suppressing dark currents and increasing photocurrents and ultimately demonstrate its potential for stable operation under extreme environmental conditions. Full article
(This article belongs to the Special Issue Photodetectors and Their Applications)
Show Figures

Figure 1

10 pages, 3012 KB  
Article
A Perovskite-Based Photoelectric Synaptic Transistor with Dynamic Nonlinear Response
by Jiahui Liu, Zunxian Yang, Yujie Zheng and Wenkun Su
Photonics 2025, 12(7), 734; https://doi.org/10.3390/photonics12070734 - 18 Jul 2025
Viewed by 561
Abstract
Nonlinear characteristics are essential for neuromorphic devices to process high-dimensional and unstructured data. However, enabling a device to realize a nonlinear response under the same stimulation condition is challenging as this involves two opposing processes: simultaneous charge accumulation and recombination. In this study, [...] Read more.
Nonlinear characteristics are essential for neuromorphic devices to process high-dimensional and unstructured data. However, enabling a device to realize a nonlinear response under the same stimulation condition is challenging as this involves two opposing processes: simultaneous charge accumulation and recombination. In this study, a hybrid transistor based on a mixed-halide perovskite was fabricated to achieve dynamic nonlinear changes in synaptic plasticity. The utilization of a light-induced mixed-bandgap structure within the mixed perovskite film has been demonstrated to increase the recombination paths of photogenerated carriers of the hybrid film, thereby promoting the formation of nonlinear signals in the device. The constructed heterojunction optoelectronic synaptic transistor, formed by combining a mixed-halide perovskite with a p-type semiconductor, generates dynamic nonlinear decay responses under 400 nm light pulses with an intensity as low as 0.02 mW/cm2. Furthermore, it has been demonstrated that nonlinear photocurrent growth can be achieved under 650 nm light pulses. It is important to note that this novel nonlinear response is characterized by its dynamism. These improvements provide a novel method for expanding the modulation capability of optoelectronic synaptic devices for synaptic plasticity. Full article
(This article belongs to the Special Issue Polaritons Nanophotonics: Physics, Materials and Applications)
Show Figures

Figure 1

10 pages, 2022 KB  
Article
Geometric Effect of the Photo Responsivity of Organic Phototransistors
by Chengtai Li and Xiaochen Ren
Materials 2025, 18(14), 3349; https://doi.org/10.3390/ma18143349 - 17 Jul 2025
Viewed by 440
Abstract
Organic phototransistors exhibit considerably higher photoresponsivity than diode-like photodetectors owing to gate-field-effect amplification. However, the conventional definition of photoresponsivity (R) fails to accurately capture the photoresponsivity trends of transistor-based photodetectors. This study systematically investigates the impact of device geometry—specifically the width-to-length [...] Read more.
Organic phototransistors exhibit considerably higher photoresponsivity than diode-like photodetectors owing to gate-field-effect amplification. However, the conventional definition of photoresponsivity (R) fails to accurately capture the photoresponsivity trends of transistor-based photodetectors. This study systematically investigates the impact of device geometry—specifically the width-to-length (W/L) ratio and photosensitive area—on the responsivity and photocurrent of organic phototransistors. The experimental results reveal that increasing the W/L ratio or decreasing the device area substantially enhances responsivity. A detailed analysis based on the definition of responsivity is presented herein. Finally, we introduce a channel-width-normalized responsivity to compensate for geometric effects, enabling a more accurate evaluation of device performance across different device structures. Overall, our results indicate the potential for optimizing organic phototransistors by tuning their geometric parameters. Full article
(This article belongs to the Section Electronic Materials)
Show Figures

Figure 1

11 pages, 1525 KB  
Article
Photodetection Enhancement via Dipole–Dipole Coupling in BA2MAPb2I7/PEA2MA2Pb3I10 Perovskite Heterostructures
by Bin Han, Bingtao Lian, Qi Qiu, Xingyu Liu, Yanren Tang, Mengke Lin, Shukai Ding and Bingshe Xu
Inorganics 2025, 13(7), 240; https://doi.org/10.3390/inorganics13070240 - 11 Jul 2025
Viewed by 798
Abstract
Two-dimensional (2D) hybrid organic–inorganic perovskites (HOIPs) have attracted considerable attention in optoelectronic applications, owing to their remarkable characteristics. Nevertheless, the application of 2D HOIPs encounters inherent challenges due to the presence of insulating organic spacers, which create barriers for efficient interlayer charge transport [...] Read more.
Two-dimensional (2D) hybrid organic–inorganic perovskites (HOIPs) have attracted considerable attention in optoelectronic applications, owing to their remarkable characteristics. Nevertheless, the application of 2D HOIPs encounters inherent challenges due to the presence of insulating organic spacers, which create barriers for efficient interlayer charge transport (CT). To tackle this issue, we propose a BA2MAPb2I7/PEA2MA2Pb3I10 bilayer heterostructure, where efficient interlayer energy transfer (ET) facilitates compensation for the restricted charge transport across the organic spacer. Our findings reveal that under 532 nm light illumination, the BA2MAPb2I7/PEA2MA2Pb3I10 heterostructure photodetector exhibits a significant photocurrent enhancement compared with that of the pure PEA2MA2Pb3I10 device, mainly due to the contribution of the ET process. In contrast, under 600 nm light illumination, where ET is absent, the enhancement is rather limited, emphasizing the critical role of ET in boosting device performance. The overlap of the PL emission peak of BA2MAPb2I7 with the absorption spectra of PEA2MA2Pb3I10, alongside the PL quenching of BA2MAPb2I7 and the enhanced emission of PEA2MA2Pb3I10 provide confirmation of the existence of ET in the BA2MAPb2I7/PEA2MA2Pb3I10 heterostructure. Furthermore, the PL enhancement factor followed a 1/d2 relationship with the thickness of the hBN layer, indicating that ET originates from 2D-to-2D dipole–dipole coupling. This study not only highlights the potential of leveraging ET mechanisms to overcome the limitations of interlayer CT, but also contributes to the fundamental understanding required for engineering advanced 2D HOIP optoelectronic systems. Full article
(This article belongs to the Section Inorganic Materials)
Show Figures

Figure 1

20 pages, 5206 KB  
Article
Self-Powered Photodetectors with Ultra-Broad Spectral Response and Thermal Stability for Broadband, Energy Efficient Wearable Sensing and Optoelectronics
by Peter X. Feng, Elluz Pacheco Cabrera, Jin Chu, Badi Zhou, Soraya Y. Flores, Xiaoyan Peng, Yiming Li, Liz M. Diaz-Vazquez and Andrew F. Zhou
Molecules 2025, 30(14), 2897; https://doi.org/10.3390/molecules30142897 - 8 Jul 2025
Viewed by 842
Abstract
This work presents a high-performance novel photodetector based on two-dimensional boron nitride (BN) nanosheets functionalized with gold nanoparticles (Au NPs), offering ultra-broadband photoresponse from 0.25 to 5.9 μm. Operating in both photovoltaic and photoconductive modes, the device features rapid response times (<0.5 ms), [...] Read more.
This work presents a high-performance novel photodetector based on two-dimensional boron nitride (BN) nanosheets functionalized with gold nanoparticles (Au NPs), offering ultra-broadband photoresponse from 0.25 to 5.9 μm. Operating in both photovoltaic and photoconductive modes, the device features rapid response times (<0.5 ms), high responsivity (up to 1015 mA/W at 250 nm and 2.5 V bias), and thermal stability up to 100 °C. The synthesis process involved CO2 laser exfoliation of hexagonal boron nitride, followed by gold NP deposition via RF sputtering and thermal annealing. Structural and compositional analyses confirmed the formation of a three-dimensional network of atomically thin BN nanosheets decorated with uniformly distributed gold nanoparticles. This architecture facilitates plasmon-enhanced absorption and efficient charge separation via heterojunction interfaces, significantly boosting photocurrent generation across the deep ultraviolet (DUV), visible, near-infrared (NIR), and mid-infrared (MIR) spectral regions. First-principles calculations support the observed broadband response, confirming bandgap narrowing induced by defects in h-BN and functionalization by gold nanoparticles. The device’s self-driven operation, wide spectral response, and durability under elevated temperatures underscore its strong potential for next-generation broadband, self-powered, and wearable sensing and optoelectronic applications. Full article
(This article belongs to the Special Issue Novel Nanomaterials: Sensing Development and Applications)
Show Figures

Figure 1

Back to TopTop