Controlling the Concentration of Copper Sulfide Doped with Silver Metal Nanoparticles as a Mechanism to Improve Photon Harvesting in Polymer Solar Cells
Abstract
1. Introduction
2. Materials and Methods
2.1. Materials
2.2. Synthesis of CuS/Ag MNPs
2.3. Device Fabrication of CuS/Ag MNPs
3. Results and Discussion
3.1. Characterizations of CuS/Ag MNPs
3.2. Optical Absorption of CuS/Ag MNPs
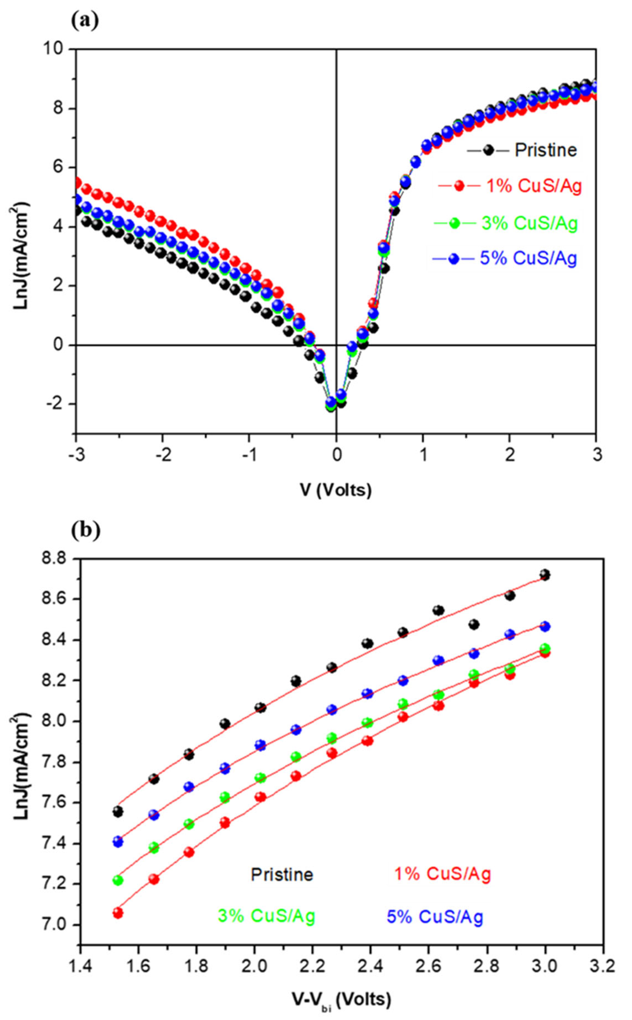
3.3. J-V Characteristic of CuS/Ag MNPs
3.4. Charge Transport of CuS/Ag MNPs
4. Conclusions
Author Contributions
Funding
Data Availability Statement
Conflicts of Interest
References
- Yan, C.; Barlow, S.; Wang, Z.; Yan, H.; Jen, A.K.Y.; Marder, S.R.; Zhan, X. Non-fullerene acceptors for organic solar cells. Nat. Rev. Mater. 2018, 3, 18003. [Google Scholar] [CrossRef]
- Yang, C.; Zhang, S.; Ren, J.; Gao, M.; Bi, P.; Ye, L.; Hou, J. Molecular design of a non-fullerene acceptor enables a P3HT-based organic solar cell with 9.46% efficiency. Energy Environ. Sci. 2020, 13, 2864–2869. [Google Scholar] [CrossRef]
- Cheng, P.; Li, G.; Zhan, X.; Yang, Y. Next-generation organic photovoltaics based on non-fullerene acceptors. Nat. Photonics 2018, 12, 131–142. [Google Scholar] [CrossRef]
- Xu, X.; Feng, K.; Lee, Y.W.; Woo, H.Y.; Zhang, G.; Peng, Q. Subtle polymer donor and molecular acceptor design enable efficient polymer solar cells with a very small energy loss. Adv. Funct. Mater. 2020, 30, 907570. [Google Scholar] [CrossRef]
- Scharber, M.C.; Sariciftci, N.S. Efficiency of bulk-heterojunction organic solar cells. Prog. Polym. Sci. 2013, 38, 1929–1940. [Google Scholar] [CrossRef] [PubMed]
- He, Z.; Zhong, C.; Su, S.; Xu, M.; Wu, H.; Cao, Y. Enhanced power-conversion efficiency in polymer solar cells using an inverted device structure. Nat. Photonics 2012, 6, 591–595. [Google Scholar] [CrossRef]
- Deng, M.; Xu, X.; Duan, Y.; Yu, L.; Li, R.; Peng, Q. Y-type non-fullerene acceptors with outer branched side chains and inner cyclohexane side chains for 19.36% efficiency polymer solar cells. Adv. Mater. 2023, 35, 2210760. [Google Scholar] [CrossRef]
- Chen, Z.; Zhu, J.; Yang, D.; Song, W.; Shi, J.; Ge, J.; Guo, Y.; Tong, X.; Chen, F.; Ge, Z. Isomerization strategy on a non-fullerene guest acceptor for stable organic solar cells with over 19% efficiency. Energy Environ. Sci. 2023, 16, 3119–3127. [Google Scholar] [CrossRef]
- Wu, Q.; Ding, S.; Sun, A.; Xia, Y. Recent progress on non-fullerene acceptor materials for organic solar cells. Mater. Today Chem. 2024, 41, 102290. [Google Scholar] [CrossRef]
- Cheng, P.; Zhan, X. Versatile third components for efficient and stable organic solar cells. Mater. Horiz. 2015, 2, 462–485. [Google Scholar] [CrossRef]
- Huang, C.; Yu, H.; Chen, J.; Zhang, J.; Wu, Z.; Hou, C. Improved performance of polymer solar cells by doping with Bi2O2S nanocrystals. Sol. Energy Mater. Sol. Cells 2019, 200, 110030. [Google Scholar] [CrossRef]
- Cheng, Y.J.; Yang, S.H.; Hsu, C.S. Synthesis of conjugated polymers for organic solar cell applications. Chem. Rev. 2009, 109, 5868–5923. [Google Scholar] [CrossRef] [PubMed]
- Hou, J.; Chen, H.Y.; Zhang, S.; Chen, R.I.; Yang, Y.; Wu, Y.; Li, G. Synthesis of a low band gap polymer and its application in highly efficient polymer solar cells. J. Am. Chem. Soc. 2009, 131, 15586–15587. [Google Scholar] [CrossRef]
- Maruhashi, H.; Oku, T.; Suzuki, A.; Akiyama, T.; Yamasaki, Y. Fabrication and characterization of PCBM: P3HT-based thin-film organic solar cells with zinc phthalocyanine and 1, 8-diiodooctane. Chem. Mater. Eng. 2017, 5, 1–7. [Google Scholar] [CrossRef]
- Yoshida, K.; Oku, T.; Suzuki, A.; Akiyama, T.; Yamasaki, Y. Fabrication and characterization of PCBM: P3HT bulk heterojunction solar cells doped with germanium phthalocyanine or germanium naphthalocyanine. Mater. Sci. Appl. 2013, 4, 1–5. [Google Scholar] [CrossRef]
- Jang, S.K.; Gong, S.C.; Chang, H.J. Effects of various solvent addition on crystal and electrical properties of organic solar cells with P3HT: PCBM active layer. Synth. Met. 2012, 162, 426–430. [Google Scholar] [CrossRef]
- Notarianni, M.; Vernon, K.; Chou, A.; Aljada, M.; Liu, J.; Motta, N. Plasmonic effect of gold nanoparticles in organic solar cells. Sol. Energy 2014, 106, 23–37. [Google Scholar] [CrossRef]
- Adedeji, M.A.; Hamed, M.S.; Mola, G.T. Light trapping using copper decorated nano-composite in the hole transport layer of organic solar cell. Sol. Energy 2020, 203, 83–90. [Google Scholar] [CrossRef]
- Mokkapati, S.; Catchpole, K.R. Nanophotonic light trapping in solar cells. J. Appl. Phys. 2012, 112, 101101. [Google Scholar] [CrossRef]
- Kirchartz, T.; Agostinelli, T.; Campoy-Quiles, M.; Gong, W.; Nelson, J. Understanding the thickness-dependent performance of organic bulk heterojunction solar cells: The influence of mobility, lifetime, and space charge. J. Phys. Chem. Lett. 2012, 3, 3470–3475. [Google Scholar] [CrossRef]
- Spyropoulos, G.D.; Stylianakis, M.M.; Stratakis, E.; Kymakis, E. Organic bulk heterojunction photovoltaic devices with surfactant-free Au nanoparticles embedded in the active layer. Appl. Phys. Lett. 2012, 100, 213904. [Google Scholar] [CrossRef]
- Ha, C.; Apell, S.P. Plasmonic near-field absorbers for ultrathin solar cells. J. Phys. Chem. Lett. 2012, 3, 1275–1285. [Google Scholar] [CrossRef]
- Nishi, H.; Asami, K.; Tatsuma, T. CuS nanoplates for LSPR sensing in the second biological optical window. Opt. Mater. Express 2016, 6, 1043–1048. [Google Scholar] [CrossRef]
- Kulkarni, A.P.; Noone, K.M.; Munechika, K.; Guyer, S.R.; Ginger, D.S. Plasmon-enhanced charge carrier generation in organic photovoltaic films using silver nanoprisms. Nano Lett. 2010, 10, 1501–1505. [Google Scholar] [CrossRef]
- Shoyiga, H.O.; Martincigh, B.S.; Nyamori, V.O. Hydrothermal synthesis of reduced graphene oxide-anatase titania nanocomposites for dual application in organic solar cells. Int. J. Energy Res. 2021, 45, 7293–7314. [Google Scholar] [CrossRef]
- Nair, A.T.; Anoop, C.S.; Vinod, G.A.; Reddy, V.S. Efficiency enhancement in polymer solar cells using combined plasmonic effects of multi-positional silver nanostructures. Org. Electron. 2020, 86, 105872. [Google Scholar] [CrossRef]
- Cho, H.E.; Cho, S.H.; Lee, S.M. Embedded plasmonic nanoprisms in polymer solar cells: Band-edge resonance for photocurrent enhancement. APL Mater. 2020, 8, 041116. [Google Scholar] [CrossRef]
- Kriegel, I.; Scotognella, F.; Manna, L. Plasmonic doped semiconductor nanocrystals: Properties, fabrication, applications and perspectives. Phys. Rep. 2017, 674, 1–52. [Google Scholar] [CrossRef]
- Lei, H.; Fang, G.; Cheng, F.; Ke, W.; Qin, P.; Song, Z.; Zheng, Q.; Fan, X.; Huang, H.; Zhao, X. Enhanced efficiency in organic solar cells via in situ fabricated p-type copper sulfide as the hole transporting layer. Sol. Energy Mater. Sol. Cells 2014, 128, 77–84. [Google Scholar] [CrossRef]
- Sato, K.; Kuzuya, T.; Hamanaka, Y.; Hirai, S. Synthesis and Analysis of Highly Monodispersed Silver Copper Sulfide Nanoparticles. Mater. Trans. 2021, 62, 731–737. [Google Scholar] [CrossRef]
- Chinnadurai, D.; Manivelan, N.; Prabakar, K. Modulating the Intrinsic Electrocatalytic Activity of Copper Sulfide by Silver Doping for Electrocatalytic Overall Water Splitting. ChemElectroChem 2022, 9, 202200254. [Google Scholar] [CrossRef]
- Li, X.; Choy, W.C.H.; Lu, H.; Sha, W.E.I.; Ho, A.H.P. Efficiency enhancement of organic solar cells by using shape-dependent broadband plasmonic absorption in metallic nanoparticles. Adv. Funct. Mater. 2013, 23, 2728–2735. [Google Scholar] [CrossRef]
- Makuła, P.; Pacia, M.; Macyk, W. How to correctly determine the band gap energy of modified semiconductor photocatalysts based on UV–Vis spectra. J. Phys. Chem. Lett. 2018, 9, 6814–6817. [Google Scholar] [CrossRef] [PubMed]
- Röhr, J.A.; Shi, X.; Haque, S.A.; Kirchartz, T.; Nelson, J. Charge transport in spiro-OMeTAD investigated through space-charge-limited current measurements. Phys. Rev. Appl. 2018, 9, 044017. [Google Scholar] [CrossRef]
- Ike, J.N.; Hamed, M.S.; Mola, G.T. Effective energy harvesting in thin film organic solar cells using Ni: Zn as bimetallic nanoparticles. J. Phys. Chem. Solids 2022, 161, 110405. [Google Scholar] [CrossRef]






| CuS/Ag (wt%) | Eg | Eloss (eV) | Voc (V) | Jsc (mA/cm2) | FF (%) | PCE (%) | Rs (Ωcm2) |
|---|---|---|---|---|---|---|---|
| Pristine | 1.75 | 1.20 | 0.55 | 10.31 | 39.43 | 2.53 | 827 |
| 1% | 1.61 | 1.06 | 0.55 | 16.30 | 56.36 | 5.28 | 337 |
| 3% | 1.66 | 1.11 | 0.55 | 15.69 | 52.93 | 4.82 | 350 |
| 5% | 1.69 | 1.14 | 0.55 | 14.70 | 50.42 | 4.02 | 478 |
| CuS/Ag (wt%) | μo (cm2S−1V−1) | γ (cmV−1) |
|---|---|---|
| Pristine | 2.6413 × 10−4 | −1.7798 × 10−4 |
| 1% | 1.1272 × 10−3 | −1.2679 × 10−4 |
| 3% | 1.5912 × 10−3 | −1.4261 × 10−4 |
| 5% | 1.7259 × 10−3 | −1.5789 × 10−4 |
Disclaimer/Publisher’s Note: The statements, opinions and data contained in all publications are solely those of the individual author(s) and contributor(s) and not of MDPI and/or the editor(s). MDPI and/or the editor(s) disclaim responsibility for any injury to people or property resulting from any ideas, methods, instructions or products referred to in the content. |
© 2025 by the authors. Licensee MDPI, Basel, Switzerland. This article is an open access article distributed under the terms and conditions of the Creative Commons Attribution (CC BY) license (https://creativecommons.org/licenses/by/4.0/).
Share and Cite
Ike, J.N.; Nqoro, X.; Mola, G.T.; Taziwa, R.T. Controlling the Concentration of Copper Sulfide Doped with Silver Metal Nanoparticles as a Mechanism to Improve Photon Harvesting in Polymer Solar Cells. Processes 2025, 13, 2922. https://doi.org/10.3390/pr13092922
Ike JN, Nqoro X, Mola GT, Taziwa RT. Controlling the Concentration of Copper Sulfide Doped with Silver Metal Nanoparticles as a Mechanism to Improve Photon Harvesting in Polymer Solar Cells. Processes. 2025; 13(9):2922. https://doi.org/10.3390/pr13092922
Chicago/Turabian StyleIke, Jude N., Xhamla Nqoro, Genene Tessema Mola, and Raymond Tichaona Taziwa. 2025. "Controlling the Concentration of Copper Sulfide Doped with Silver Metal Nanoparticles as a Mechanism to Improve Photon Harvesting in Polymer Solar Cells" Processes 13, no. 9: 2922. https://doi.org/10.3390/pr13092922
APA StyleIke, J. N., Nqoro, X., Mola, G. T., & Taziwa, R. T. (2025). Controlling the Concentration of Copper Sulfide Doped with Silver Metal Nanoparticles as a Mechanism to Improve Photon Harvesting in Polymer Solar Cells. Processes, 13(9), 2922. https://doi.org/10.3390/pr13092922

