Sign in to use this feature.

Years

Between: -

Subjects

remove_circle_outline
remove_circle_outline
remove_circle_outline
remove_circle_outline
remove_circle_outline
remove_circle_outline
remove_circle_outline
remove_circle_outline
remove_circle_outline

Journals

Article Types

Countries / Regions

remove_circle_outline
remove_circle_outline
remove_circle_outline
remove_circle_outline

Search Results (362)

Search Parameters:
Keywords = phosphorous doped

Order results
Result details
Results per page
Select all
Export citation of selected articles as:
14 pages, 2527 KB  
Article
A HF-Free Synthesis Method for High-Luminescent Efficiency Narrow-Bandgap Red Phosphor K3AlF6: Mn4+ with NH4HF2 as the Molten Salt
by Chenxing Liao, Feng Zhou, Wei Xie and Liaolin Zhang
Solids 2025, 6(4), 66; https://doi.org/10.3390/solids6040066 - 1 Dec 2025
Viewed by 257
Abstract
Mn4+-doped fluoride red phosphors are widely used in white LED lighting and display applications due to their excellent luminescent properties. However, their synthesis relies heavily on highly toxic aqueous hydrofluoric acid, which not only causes severe environmental and soil/water pollution but [...] Read more.
Mn4+-doped fluoride red phosphors are widely used in white LED lighting and display applications due to their excellent luminescent properties. However, their synthesis relies heavily on highly toxic aqueous hydrofluoric acid, which not only causes severe environmental and soil/water pollution but also makes it difficult to control the microstructure of the products due to the rapid reaction rate. In this study, low-melting-point NH4HF2 was used as the molten salt, with KMnO4 and MnF2 as manganese sources, to synthesize the red phosphor K3AlF6: Mn4+ via the molten salt method. After the reaction, impurities such as NH4HF2 were removed by washing with a dilute H2O2 solution. The microstructure, photoluminescence properties, thermal quenching behavior, and application in warm white light-emitting diodes (W-LEDs) of the K3AlF6: Mn4+ phosphors were investigated. The results indicate that the phosphors prepared by this method consist of a single pure phase. By adjusting the molten salt content, the morphology of the product can be transformed from nanoparticle-like to nanorod-like structures. All products exhibit the characteristic red emission of Mn4+ under blue and violet light excitation, with the optimally doped sample achieving an internal quantum efficiency (IQE) of 69% under blue light excitation. The combination of the obtained K3AlF6: Mn4+ with the yellow phosphor YAG enabled the fabrication of W-LEDs. These W-LEDs achieved a color rendering index (Ra) of 86.8, a luminous efficacy (LE) of 77 lm/W, and a correlated color temperature (CCT) of 3690 K, along with excellent color stability under operating conditions. Full article
Show Figures

Graphical abstract

14 pages, 3101 KB  
Article
Synthesis and Luminescent Properties of Dy3+-Activated Yellow Phosphors with Anomalous Thermal Quenching for w-LEDs
by Anlin Zhang, Huapeng Sun, Xiang Li and Bin Deng
Molecules 2025, 30(23), 4562; https://doi.org/10.3390/molecules30234562 - 26 Nov 2025
Viewed by 318
Abstract
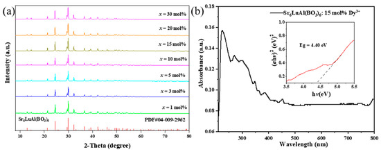
Thermal stability is a crucial factor in evaluating phosphors and determining whether they can be utilized in white light emitting diodes (w-LEDs). In this work, a series of Sr6LuAl(BO3)6: Dy3+ (SLAB:Dy3+) phosphors was synthesized [...] Read more.
Thermal stability is a crucial factor in evaluating phosphors and determining whether they can be utilized in white light emitting diodes (w-LEDs). In this work, a series of Sr6LuAl(BO3)6: Dy3+ (SLAB:Dy3+) phosphors was synthesized via high-temperature solid-state reaction. The synthesized SLAB:Dy3+ phosphor exhibits narrow-band emission in the range of 450–700 nm under 348 nm UV excitation. The strongest emission peak is located at 577 nm and is primarily due to 4F9/2-6H13/2 electron transitions. The optimal doping concentration of Dy3+ in the synthesized phosphor was 15 mol%. The integrated emission intensity of the synthesized phosphor at 480 k is 97.84% of that at 300 k, with excellent thermal stability. The activation energy Eg = 0.62 eV. Meanwhile, the Commission International de l’Eclairage (CIE) coordinates of the prepared w-LEDs were (0.309,0.363) with a correlated color temperature (CCT) of 6497 K. Preliminary experimental findings suggest that SLAB:Dy3+ phosphors hold promise for utilization in w-LEDs applications. Full article
(This article belongs to the Special Issue Nano and Micro Materials in Green Chemistry)
Show Figures

Figure 1

16 pages, 11146 KB  
Article
Preparation and Study of Bright Orange-Yellow Long Persistent Luminescent Ca2LuScGa2Ge2O12:Pr3+ Phosphor
by Xiaoman Shi, Huimin Li, Ruiping Deng, Su Zhang and Hongjie Zhang
Photochem 2025, 5(4), 38; https://doi.org/10.3390/photochem5040038 - 18 Nov 2025
Viewed by 356
Abstract
Long persistent phosphors are widely used in many fields, such as LED, bioimaging, urgent lighting, temperature sensors, etc. Although green and blue long persistent phosphors are well developed, efficient orange-yellow long persistent phosphors are still relatively rare. In this work, a novel orange-yellow [...] Read more.
Long persistent phosphors are widely used in many fields, such as LED, bioimaging, urgent lighting, temperature sensors, etc. Although green and blue long persistent phosphors are well developed, efficient orange-yellow long persistent phosphors are still relatively rare. In this work, a novel orange-yellow long-persistent phosphors Ca2LuScGa2Ge2O12:xPr3+ (CLSGGO:xPr3+, x = 0.003, 0.005, 0.01, 0.02, 0.03, 0.04, 0.05) are prepared and systematically investigated through its crystal structural information, photoluminescence, and persistent luminescence properties. Under ultraviolet light excitation, these phosphors exhibit orange-yellow emission stemming from the 3P0 and 1D2 multiple electron transitions in the 4f level of Pr3+ ion. In addition, the material exhibits bright persistent luminescence. The complex garnet matrix structure of Ca2LuScGa2Ge2O12 provides excellent conditions for the formation of traps. Through the testing of thermoluminescence curve and function fitting, the density and depth of traps are studied; also, the storage and release process of carriers in the material are calculated in detail. A reasonable persistent luminescence mechanism is proposed for CLSGGO:0.01Pr3+. This work enriches the research content of photoluminescence and long persistent luminescence of Pr3+-doped garnet-based phosphors and paves the way for the future research of long persistent luminescent materials doped with rare earth ions. Full article
Show Figures

Figure 1

25 pages, 6244 KB  
Article
Synergistic Effect of Poly(ethylenephosphoric Acid) and Cerium in Bone Substitute Composites on Tissue Response and Bone Remodeling
by Victoria Besprozvannykh, Maria Ryndyk, Ilya Nifant’ev, Alexander Tavtorkin, Dmitry Gavrilov, Yulia Lukina, Leonid Bionyshev-Abramov, Natalya Serejnikova, Dmitriiy Smolentsev and Pavel Ivchenko
Int. J. Mol. Sci. 2025, 26(22), 11113; https://doi.org/10.3390/ijms262211113 - 17 Nov 2025
Viewed by 501
Abstract
To reduce the time of postoperative recovery and to prevent post-surgical complications, biocompatible synthetic materials with osteoconductive and osteoinductive properties are used as bone substitutes in large bone defect management. A simplified biomimetic approach to similar materials is based on the use of [...] Read more.
To reduce the time of postoperative recovery and to prevent post-surgical complications, biocompatible synthetic materials with osteoconductive and osteoinductive properties are used as bone substitutes in large bone defect management. A simplified biomimetic approach to similar materials is based on the use of an inorganic filler, a polymer matrix, and a compatibilizer, mimicking the composition of the natural bone. Based on plate-like micro-sized carbonated hydroxyapatite (pCAp), we prepared compression-molded samples optionally containing an additional polyester component (poly(ε-caprolactone) PCL, poly(L-lactide) PLLA, or poly(L-methylglycolide) PLMG); syntheticblock copolymers comprising fragments of the corresponding polyester and poly(ethylene phosphoric acid) (PEPA) were also prepared and studied asa ‘two-in-one’ polymer matrix/compatibilizer. Bone regeneration experiments involving a three-month rat tibial defect model were conducted with 250–500 μm granules of the composites. Comparative studies of the introduction of the polyester-b-PEPA copolymer into composites revealed a positive effect, which manifests itself in accelerated bone regeneration, which further intensified for pCAp/PEPA-b-PLMG. The latter composite formulation was used to study the results of the introduction of cerium into the filler. One-month experiments with pCAp, CePO4-doped pCAp, and composites of these inorganic fillers with PEPA-b-PLMG were conducted. For the first time, a positive synergistic effect of the presence of cerium and PEPA in the composite, which appeared in substitution of the implant material by two-thirds of newly formed partly matured bone, was observed four weeks after surgery. Full article
(This article belongs to the Collection State-of-the-Art Macromolecules in Russia)
Show Figures

Graphical abstract

15 pages, 2758 KB  
Article
Bi3+-Related Multimode Emission in Garnet: A First-Principles Study
by Bin Jiang, Qing Liu, Fengfeng Chi and Bibo Lou
Materials 2025, 18(22), 5082; https://doi.org/10.3390/ma18225082 - 8 Nov 2025
Viewed by 377
Abstract
In this work, systematic first-principles calculations were performed to investigate the multiband emissions of Bi-doped Y3Ga(Al)5O12 phosphors. The predicted emissions of Bi3+ show that the violet narrow-band emission can be attributed to the 3P1 [...] Read more.
In this work, systematic first-principles calculations were performed to investigate the multiband emissions of Bi-doped Y3Ga(Al)5O12 phosphors. The predicted emissions of Bi3+ show that the violet narrow-band emission can be attributed to the 3P11S0 transition of Bi3+ at Y sites, and both the metal-to-metal charge transfer (MMCT) of Bi3+ at Ga (Al) sites and the luminescence of Bi3+ dimers can generate visible emissions. Detailed formation energy calculations subsequently rule out the possibility that the visible emission originates from the MMCT of Bi3+ at Ga (Al), as the concentration of BiY is much greater than that of BGa (or BiAl). To better understand the relationship between the nephelauxetic effect and the coordination environment, the vacuum-referred binding energy (VRBE) model was utilized to determine the energy levels of bismuth ions relative to the vacuum level in different systems and at different sites. The results provide insight into the relationship between the coordination environment and the emission properties of Bi3+ and are helpful for analyzing and optimizing the luminescent properties of bismuth-doped garnet-like materials. Full article
(This article belongs to the Section Materials Simulation and Design)
Show Figures

Figure 1

21 pages, 2446 KB  
Article
Near-Infrared Excited Mn4+- and Nd3+-Doped Y2SiO5 Luminescent Material with Flower-like Morphology for Plant-Centric Lighting Applications
by Liza Rani Deka, Marta Michalska-Domańska, Shubhra Mishra, D. S. Kshatri, M. C. Rao, Neeraj Verma and Vikas Dubey
Molecules 2025, 30(21), 4161; https://doi.org/10.3390/molecules30214161 - 22 Oct 2025
Cited by 1 | Viewed by 540
Abstract
Confronted with increasing global food demands, diminishing arable land, and climate volatility, controlled-environment agriculture with advanced red and far-red LED lighting can enhance photosynthesis and optimize plant growth. This investigation reports the generation of a Mn4+/Nd3+ co-doped Y2SiO [...] Read more.
Confronted with increasing global food demands, diminishing arable land, and climate volatility, controlled-environment agriculture with advanced red and far-red LED lighting can enhance photosynthesis and optimize plant growth. This investigation reports the generation of a Mn4+/Nd3+ co-doped Y2SiO5 phosphor with a Nd3+ concentration ranging from 0.1 to 2.5 mol% via a solid-state synthesis method, aiming to enhance red and far-red emission for plant cultivation LEDs. For the Y2SiO5:Mn4+ (1 mol%), Nd3+ (2 mol%) phosphor, the phase integrity, nanostructured morphology, elemental mapping, and vibrational characteristics were examined using XRD, Rietveld analysis, FTIR, SEM, and EDX. Nd3+ ions act as near-infrared excitation mediators, ensuring efficient Nd3+ → Mn4+ energy transfer upon 808 nm excitation, and this leads to pronounced red photoluminescence from Mn4+ ions that covers the range of 640–710 nm, exhibiting strong emission peaks centered at 650nm, 663nm, and 685nm, coinciding with the absorption band of phytochromes and chlorophyll. The optimal emission intensity was accomplished for a Nd3+ doping concentration of 2 mol%, beyond which concentration quenching occurred. The material produced a strong, concentrated deep red emission with CIE coordinates near (0.73, 0.27) and a high color purity of 98.96%, making it well-suited for photosynthetic activation. A phosphor-integrated red pc-LED was fabricated, and Tulsi plants were grown under this LED during the winter in Meghalaya, a period critical for plant growth due to the low ambient light. Over a 30-day period, the plants exhibited enhanced height and leaf development, demonstrating the practical potential of Mn4+/Nd3+ co-doped Y2SiO5 for energy-efficient, wavelength-optimized horticultural lighting. Full article
(This article belongs to the Section Materials Chemistry)
Show Figures

Figure 1

19 pages, 4980 KB  
Article
Combustion-Synthesized BaAl2O4: Eu2+, Nd3+, Pr3+ Triple-Co-Doped Long-Afterglow Phosphors: Luminescence and Anti-Counterfeiting Applications
by Chuanming Wang, Jigang Wang, Yuansheng Qi, Jindi Hu, Haiming Li, Jianhui Lv, Xiaohan Cheng, Deyu Pan, Zhenjun Li and Junming Li
Nanomaterials 2025, 15(20), 1578; https://doi.org/10.3390/nano15201578 - 16 Oct 2025
Viewed by 605
Abstract
Solution combustion-synthesized BaAl2O4: Eu2+, Nd3+, and Pr3+ blue–green long-afterglow phosphors are prepared and systematically investigated. First, XRD confirms the BaAl2O4 host and screens for trace residual features. SEM reveals the agglomerated [...] Read more.
Solution combustion-synthesized BaAl2O4: Eu2+, Nd3+, and Pr3+ blue–green long-afterglow phosphors are prepared and systematically investigated. First, XRD confirms the BaAl2O4 host and screens for trace residual features. SEM reveals the agglomerated granular morphology typical of combustion products. XPS verifies the valence states (Eu2+, Nd3+, Pr3+) and the chemical environment of the host lattice. UV-Vis diffuse reflectance spectra, transformed via the Kubelka–Munk function and analyzed using Tauc plots (indirect-allowed), indicate a wide band gap of the BaAl2O4 host with small, systematic shifts upon Nd3+/Pr3+ co-doping. PL measurements show Eu2+ 4f–5d emission and co-dopant-assisted excitation/defect pathways without altering the Eu2+ emission band shape. Afterglow lifetime and decay analyses correlate trap depth/distribution with the extended persistence. Finally, we demonstrate anti-counterfeiting by (i) snowflake printing and (ii) a binary 3 × 3 grid printed with two afterglow inks of different lifetimes to realize multi-level authentication. The sequential evidence links structure, chemistry, optical absorption, carrier trapping, and practical readout, providing a coherent basis for performance enhancement and application. Full article
(This article belongs to the Section Nanofabrication and Nanomanufacturing)
Show Figures

Figure 1

24 pages, 5835 KB  
Article
Study on the Structure-Luminescence Relationship and Anti-Counterfeiting Application of (Ca,Sr)-Al-O Composite Fluorescent Materials
by Jianhui Lv, Jigang Wang, Yuansheng Qi, Jindi Hu, Haiming Li, Chuanming Wang, Xiaohan Cheng, Deyu Pan, Zhenjun Li and Junming Li
Nanomaterials 2025, 15(18), 1446; https://doi.org/10.3390/nano15181446 - 19 Sep 2025
Viewed by 551
Abstract
A novel long-lasting luminescent composite material based on the (Ca,Sr)-Al-O system was synthesized using a solution combustion method. (Ca,Sr)3Al2O6 is the primary phase, with SrAl2O4 as a controllable secondary phase. Compared to conventional single-phase SrAl [...] Read more.
A novel long-lasting luminescent composite material based on the (Ca,Sr)-Al-O system was synthesized using a solution combustion method. (Ca,Sr)3Al2O6 is the primary phase, with SrAl2O4 as a controllable secondary phase. Compared to conventional single-phase SrAl2O4 phosphors, the introduction of a calcium-rich hexaaluminate matrix creates additional defects and a specific trap distribution at the composite interface, significantly improving carrier storage and release efficiency. Eu2+ + Nd3+ synergistic doping enables precise control of the trap depth and number. Under 365 nm excitation, Eu2+ emission is located at ~515 nm, with Nd3+ acting as an effective trap center. Under optimal firing conditions at 700 °C (Eu2+ = 0.02, Nd3+ = 0.003), the afterglow lifetime exceeds 30 s. Furthermore, The (Ca,Sr)3Al2O6 host stabilizes the lattice and optimizes defect states, while synergizing with the SrAl2O4 secondary phase to improve the afterglow performance. This composite phosphor exhibits excellent dual-mode anti-counterfeiting properties: long-lasting green emission under 365 nm excitation and transient blue-violet emission under 254 nm excitation. Based on this, a screen-printing ink was prepared using the phosphor and ethanol + PVB, enabling high-resolution QR code printing. Pattern recognition and code verification can be performed both in the UV on and off states, demonstrating its great potential in high-security anti-counterfeiting applications. Compared to traditional single-phase SrAl2O4 systems, this study for the first time constructed a composite trap engineering of the (Ca,Sr)3Al2O6 primary phase and the SrAl2O4 secondary phase, achieving the integration of dual-mode anti-counterfeiting functionality with a high-resolution QR code fluorescent ink. Full article
Show Figures

Figure 1

13 pages, 4248 KB  
Article
Luminescence Properties of Eu3+, Ba2+, and Bi3+ Co-Doped YVO4 for Wide-Spectrum Excitation
by Jianhua Huang, Cong Dong, Ping Huang, Wei Zhong, Yinqi Luo, Jianmin Li, Yibiao Hu, Wenjie Duan, Lingjia Qiu, Wenzhen Qin and Yu Xie
Nanomaterials 2025, 15(18), 1444; https://doi.org/10.3390/nano15181444 - 19 Sep 2025
Viewed by 638
Abstract
YVO4 based phosphors have aroused extensive interest in the field of optoelectronics due to their good chemical stability and unique luminescence properties. However, commercialization of YVO4 phosphors requires high luminescence intensity, enhanced conversion efficiency, and a wide excitation spectrum. In this [...] Read more.
YVO4 based phosphors have aroused extensive interest in the field of optoelectronics due to their good chemical stability and unique luminescence properties. However, commercialization of YVO4 phosphors requires high luminescence intensity, enhanced conversion efficiency, and a wide excitation spectrum. In this work, Eu3+, Ba2+, Bi3+ co-doped YVO4 was prepared by the sol–gel method. The XRD of YVO4: 5%Eu3+, 5%Ba2+, 0.5%Bi3+ phosphor analysis confirms the pure tetragonal phase, with a fairly large size of approximately 100 nm for the optimal composition. And the SEM and TEM revealed well-dispersed spherical nanoparticles with sizes of 100–120 nm. The introduction of Ba2+ ions enhanced the luminescence intensity, while the incorporation of Bi3+ ions improved the excitation width of the phosphor. The resulting YVO4: 5%Eu3+, 5%Ba2+, 0.5%Bi3+ phosphor exhibited a 1.39-times broader excitation bandwidth and a 2.72-times greater luminescence intensity at 618 nm compared to the benchmark YVO4: 5% Eu3+ sample. Additionally, the transmittance of the films in the 350 nm to 800 nm region exceeded 85%. The YVO4: 5%Eu3+, 5%Ba2+, 0.5%Bi3+ film effectively absorbed ultraviolet light and converted it to red emission, enabling potential applications in solar cell window layers, dye-sensitized cell luminescence layers, and solar cell packaging glass. Full article
(This article belongs to the Section Physical Chemistry at Nanoscale)
Show Figures

Figure 1

18 pages, 5409 KB  
Article
Upconversion and Downconversion Luminescence of CaLaLiTeO6:Mn4+/Er3+ Phosphors for Dual-Mode Optical Thermometry and Anti-Counterfeiting Application
by Zheng-Rong Xia, Rong-Qing Li, Fang-Fang Liu, Yue Tong, Qing-Hua Zheng, Zhao-Yan Ping, Wang Zhao, Wei-Wei Zhou and Ming-Jun Song
Inorganics 2025, 13(9), 308; https://doi.org/10.3390/inorganics13090308 - 13 Sep 2025
Viewed by 914
Abstract
Multifunctional phosphors that integrate optical temperature measurement and counterfeit detection capabilities have garnered considerable interest owing to their diverse application potential. In this study, novel CaLaLiTeO6:Mn4+/Er3+ phosphors were prepared via the high-temperature solid-phase method. The phase structure and [...] Read more.
Multifunctional phosphors that integrate optical temperature measurement and counterfeit detection capabilities have garnered considerable interest owing to their diverse application potential. In this study, novel CaLaLiTeO6:Mn4+/Er3+ phosphors were prepared via the high-temperature solid-phase method. The phase structure and morphology characterization confirmed the successful synthesis of CaLaLiTeO6 material with effective doping of Mn4+ and Er3+ into the host lattice. Upon excitation at 379 nm, the CaLaLiTeO6:Mn4+/Er3+ material exhibits far-red emission at 716 nm (Mn4+:2Eg4A2g) and green emission at 525/548 nm (Er3+:2H11/2/4S3/24I15/2). The emission peak intensities of Er3+ and Mn4+ ions in the CaLaLiTeO6:0.015Mn4+/0.01Er3+ sample displayed distinct variations with temperature under different excitation wavelengths (325 nm, 379 nm, and 980 nm). Subsequently, a dual-mode optical temperature sensing system was developed based on the fluorescence intensity ratio and the dual excitation single-band ratiometric method, which achieved a maxed relative sensitivity of 1.12% K−1 at 343 K. Moreover, the excitation-dependent luminescence color changes of CaLaLiTeO6:Mn4+/Er3+ make it particularly suitable for anti-counterfeiting applications. The present study underscores the dual-functional capabilities in sophisticated non-contact optical temperature measurement and anti-counterfeiting applications. Full article
Show Figures

Figure 1

36 pages, 5122 KB  
Review
Advanced Electrocatalyst Supports for High-Temperature Proton Exchange Membrane Fuel Cells: A Comprehensive Review of Materials, Degradation Mechanisms, and Performance Metrics
by Qingqing Liu, Huiyuan Liu, Weiqi Zhang, Qian Xu and Huaneng Su
Catalysts 2025, 15(9), 871; https://doi.org/10.3390/catal15090871 - 11 Sep 2025
Cited by 1 | Viewed by 2484
Abstract
High-temperature proton exchange membrane fuel cells (HT-PEMFCs) offer distinct advantages over their low-temperature counterparts. However, their commercial viability is significantly hampered by durability challenges stemming from electrocatalyst support degradation in the corrosive phosphoric acid environment. This review provides a comprehensive analysis of advanced [...] Read more.
High-temperature proton exchange membrane fuel cells (HT-PEMFCs) offer distinct advantages over their low-temperature counterparts. However, their commercial viability is significantly hampered by durability challenges stemming from electrocatalyst support degradation in the corrosive phosphoric acid environment. This review provides a comprehensive analysis of advanced strategies to overcome this critical durability issue. Two main research directions are explored. The first involves engineering more robust carbon-based materials, including graphitized carbons, carbon nanostructures (nanotubes and graphene), and heteroatom-doped carbons, which enhance stability by modifying the carbon’s intrinsic structure and surface chemistry. The second direction focuses on replacing carbon entirely with intrinsically stable non-carbonaceous materials. These include metal oxides (e.g., TiO2, SnO2), transition metal carbides (e.g., WC, TiC), and nitrides (e.g., Nb4N5). For these non-carbon materials, a key focus is on overcoming their typically low electronic conductivity through strategies such as doping and the formation of multi-component composites. The analysis benchmarks the performance and durability of these advanced supports, concluding that rationally designed composite materials, which combine the strengths of different material classes, represent the most promising path toward developing next-generation, long-lasting catalysts for HT-PEMFCs. Full article
(This article belongs to the Special Issue Carbon-Based Materials Catalysts for Energy and Hydrogen Productions)
Show Figures

Graphical abstract

14 pages, 3848 KB  
Article
Low-Temperature Synthesis and Photoluminescence Properties of Mg2TiO4:Mn4+ Phosphor Prepared by Solid-State Reaction Methods Assisted by LiCl Flux
by Chenxing Liao, Huihuang Cai, Dongyuan Dai and Liaolin Zhang
Solids 2025, 6(3), 53; https://doi.org/10.3390/solids6030053 - 11 Sep 2025
Cited by 2 | Viewed by 1000
Abstract
Mg2TiO4:Mn4+ (MTO:Mn4+) red phosphor has important applications in areas such as red LEDs and forensic science, but the preparation of MTO:Mn4+ through the solid-state reaction method requires a high sintering temperature. Herein, MTO:Mn4+ red [...] Read more.
Mg2TiO4:Mn4+ (MTO:Mn4+) red phosphor has important applications in areas such as red LEDs and forensic science, but the preparation of MTO:Mn4+ through the solid-state reaction method requires a high sintering temperature. Herein, MTO:Mn4+ red phosphor was synthesized using the solid-state reaction method with LiCl flux, and its crystallographic structure and photoluminescence properties were studied to determine the influence of experimental parameters like the amount of fluxing agent added and sintering temperature in producing a bright red phosphor suitable for LEDs. The experimental results showed that samples with added LiCl could form pure MTO after sintering at 950 °C, whereas those without LiCl still contained a mixture of MTO and MgTiO3, even when sintered at 1400 °C. The optimal performance was achieved with a sample doped with 0.2 mol% Mn4+, synthesized using 50 wt% LiCl flux and sintered at 950 °C for 12 h. This sample exhibited a broad excitation band and a narrow red emission band peaking at 662 nm, confirming its excellent luminescence properties. Furthermore, a prototype red LED fabricated with a 377 nm chip and MTO:0.2% Mn4+ phosphor achieved photoelectric conversion efficiency of 78.5% at a 100 mA drive current, confirming its viability for high-performance red LED manufacturing. Full article
Show Figures

Graphical abstract

17 pages, 2310 KB  
Article
High-Performance X-Ray Detection and Optical Information Storage via Dual-Mode Luminescent Modulation in Na3KMg7(PO4)6:Eu
by Yanshuo Han, Yucheng Li, Xue Yang, Yibo Hu, Yuandong Ning, Meng Gu, Guibin Zhai, Sihan Yang, Jingkun Chen, Naixin Li, Kuan Ren, Jingtai Zhao and Qianli Li
Molecules 2025, 30(17), 3495; https://doi.org/10.3390/molecules30173495 - 26 Aug 2025
Viewed by 1113
Abstract
Lanthanide-doped inorganic luminescent materials have been extensively studied and applied in X-ray detection and imaging, anti-counterfeiting, and optical information storage. However, many reported rare-earth-based luminescent materials show only single-mode optical responses, which limits their applications in complex scenarios. Here, we report a novel [...] Read more.
Lanthanide-doped inorganic luminescent materials have been extensively studied and applied in X-ray detection and imaging, anti-counterfeiting, and optical information storage. However, many reported rare-earth-based luminescent materials show only single-mode optical responses, which limits their applications in complex scenarios. Here, we report a novel Na3KMg7(PO4)6:Eu phosphor synthesized by a simple high-temperature solid-state method. The multi-color luminescence of Eu2+ and Eu3+ ions in a single matrix of Na3KMg7(PO4)6:Eu, known as radio-photoluminescence, is achieved through X-ray-induced ion reduction. It demonstrated a good linear response (R2 = 0.9897) and stable signal storage (storage days > 50 days) over a wide range of X-ray doses (maximum dose > 200 Gy). In addition, after X-ray irradiation, this material exhibits photochromic properties ranging from white to brown in a bright field and shows remarkable bleaching and recovery capabilities under 254 nm ultraviolet light or thermal stimulation. This dual-modal luminescent phosphor Na3KMg7(PO4)6:Eu, which combines photochromism and radio-photoluminescence, presents a dual-mode X-ray detection and imaging strategy and offers a comprehensive and novel solution for applications in anti-counterfeiting and optical information encryption. Full article
(This article belongs to the Special Issue Organic and Inorganic Luminescent Materials, 2nd Edition)
Show Figures

Figure 1

19 pages, 5991 KB  
Article
Temperature- and Emission Wavelength-Dependent Time Responses of Strontium Aluminates
by Virginija Vitola, Tinko Eftimov, Kristian Nikolov, Samia Fouzar and Katrina Krizmane
Crystals 2025, 15(8), 744; https://doi.org/10.3390/cryst15080744 - 20 Aug 2025
Viewed by 955
Abstract
In this paper, we study the temperature- and emission wavelength-dependent time responses of previously reported precursor-driven Eu2+- and Dy3+-doped strontium-aluminate phosphors to create unique luminescent anti-counterfeiting tags suitable for detection with smartphones. A smartphone was used to detect the [...] Read more.
In this paper, we study the temperature- and emission wavelength-dependent time responses of previously reported precursor-driven Eu2+- and Dy3+-doped strontium-aluminate phosphors to create unique luminescent anti-counterfeiting tags suitable for detection with smartphones. A smartphone was used to detect the red–green–blue (RGB) components of the rise and decay time responses of the samples in a temperature range from 0 °C to 100 °C. The RGB color-dependent detection revealed a finer excitation/relaxation kinetics structure of the individual samples, which becomes evident in the decay responses. The results suggest another possibility for multilevel encoding and temperature sensor applications, and provides a foundation for developing a more accurate theoretical model of the energy transitions in phosphorescent materials. Full article
(This article belongs to the Section Polycrystalline Ceramics)
Show Figures

Figure 1

31 pages, 8890 KB  
Review
Advancements in Non-Precious Metal Catalysts for High-Temperature Proton-Exchange Membrane Fuel Cells: A Comprehensive Review
by Naresh Narayanan, Balamurali Ravichandran, Indubala Emayavaramban, Huiyuan Liu and Huaneng Su
Catalysts 2025, 15(8), 775; https://doi.org/10.3390/catal15080775 - 14 Aug 2025
Cited by 2 | Viewed by 2784
Abstract
High-Temperature Proton-Exchange Membrane Fuel Cells (HT-PEMFCs) represent a promising clean energy technology and are valued for their fuel flexibility and simplified balance of plant. Their commercialization, however, is critically hindered by the prohibitive cost and resource scarcity of platinum-group metal (PGM) catalysts. The [...] Read more.
High-Temperature Proton-Exchange Membrane Fuel Cells (HT-PEMFCs) represent a promising clean energy technology and are valued for their fuel flexibility and simplified balance of plant. Their commercialization, however, is critically hindered by the prohibitive cost and resource scarcity of platinum-group metal (PGM) catalysts. The challenge is amplified in the phosphoric acid (PA) electrolyte of HT-PEMFCs, where the severe anion poisoning of PGM active sites necessitates impractically high catalyst loadings. This review addresses the urgent need for cost-effective alternatives by providing a comprehensive assessment of recent advancements in non-precious metal (NPM) catalysts for the oxygen reduction reaction (ORR) in HT-PEMFCs. It systematically explores synthesis strategies and structure–performance relationships for emerging catalyst classes, including transition metal compounds, metal–nitrogen–carbon (M-N-C) materials, and metal-free heteroatom-doped carbons. A significant focus is placed on M-N-C catalysts, particularly those with atomically dispersed Fe-Nx active sites, which have emerged as the most viable replacements for platinum due to their high intrinsic activity and notable tolerance to phosphate poisoning. This review critically analyzes key challenges that impede practical application, such as the trade-off between catalyst activity and stability, mass transport limitations in thick electrodes, and long-term degradation in the harsh PA environment. Finally, it outlines future research directions, emphasizing the need for a synergistic approach that integrates computational modeling with advanced operando characterization to guide the rational design of durable, high-performance catalysts and electrode architectures, thereby accelerating the path to commercial viability for HT-PEMFC technology. Full article
(This article belongs to the Section Electrocatalysis)
Show Figures

Graphical abstract

Back to TopTop