Mycotoxins and Beyond: Unveiling Multiple Organic Contaminants in Pet Feeds Through HRMS Suspect Screening
Abstract
1. Introduction
2. Results and Discussion
2.1. Comparative Evaluation of Clean-Up Alternatives for Suspect Screening
2.2. Suspect Screening
2.2.1. Mycotoxins
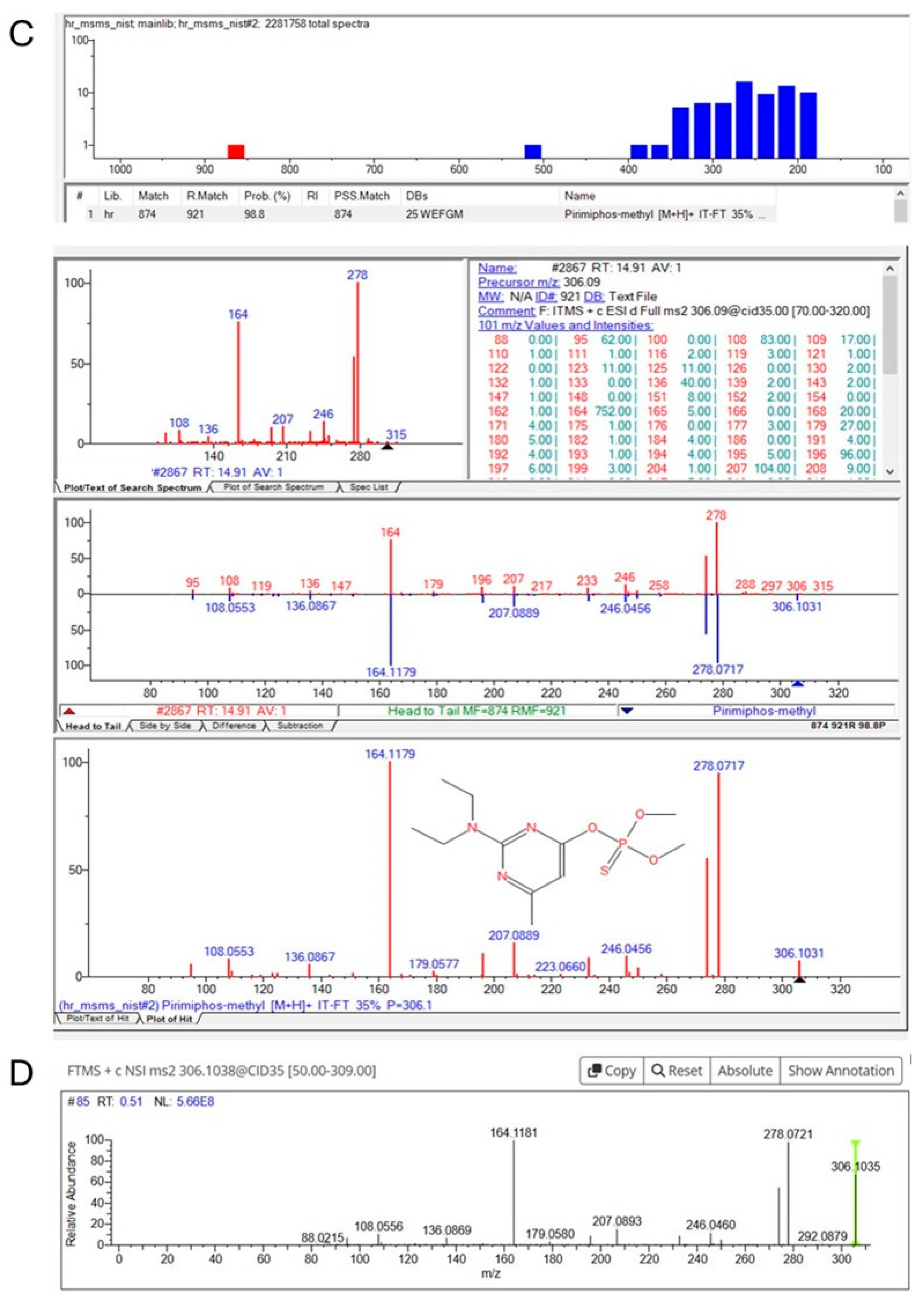
2.2.2. Pesticides
2.2.3. Pharmaceuticals
2.2.4. Plant-Based Bioactive Metabolites
2.3. Multivariate Analysis of Feed Composition and Contaminant Profiles
2.3.1. Correlation Analysis Between Nutritional Parameters and Contaminants
2.3.2. Principal Component Analysis of Composition–Contamination
2.4. Comparison Between Feed Types
2.4.1. Dry Feeds
2.4.2. Wet Feeds
2.5. Practical Implications and Limitations
3. Conclusions
4. Materials and Methods
4.1. Sampling Campaign
4.2. Materials and Reagents
4.3. Sample Preparation
4.4. LC-LTQ/Orbitrap MS Analysis
4.5. Data Processing and Compound Identification
4.6. Statistics
Supplementary Materials
Author Contributions
Funding
Institutional Review Board Statement
Informed Consent Statement
Data Availability Statement
Acknowledgments
Conflicts of Interest
References
- Boti, V.; Martinaiou, P.; Gkountouras, D.; Albanis, T. Target and Suspect Screening Approaches for the Identification of Emerging and Other Contaminants in Fish Feeds Using High Resolution Mass Spectrometry. Environ. Res. 2024, 251, 118739. [Google Scholar] [CrossRef]
- Na, T.W.; Seo, H.-J.; Jang, S.-N.; Kim, H.; Yun, H.; Kim, H.; Ahn, J.; Cho, H.; Hong, S.-H.; Kim, H.J.; et al. Multi-Residue Analytical Method for Detecting Pesticides, Veterinary Drugs, and Mycotoxins in Feed Using Liquid- and Gas Chromatography Coupled with Mass Spectrometry. J. Chromatogr. A 2022, 1676, 463257. [Google Scholar] [CrossRef]
- Li, C.; Li, C.; Yu, H.; Cheng, Y.; Xie, Y.; Yao, W.; Guo, Y.; Qian, H. Chemical Food Contaminants during Food Processing: Sources and Control. Crit. Rev. Food Sci. Nutr. 2021, 61, 1545–1555. [Google Scholar] [CrossRef]
- Agriopoulou, S.; Stamatelopoulou, E.; Varzakas, T. Advances in Occurrence, Importance, and Mycotoxin Control Strategies: Prevention and Detoxification in Foods. Foods 2020, 9, 137. [Google Scholar] [CrossRef]
- Bissoqui, L.Y.; Frehse, M.S.; Freire, R.L.; Ono, M.A.; Bordini, J.G.; Hirozawa, M.T.; De Oliveira, A.J.; Ono, E.Y. Exposure Assessment of Dogs to Mycotoxins through Consumption of Dry Feed: Exposure of Dogs to Mycotoxins. J. Sci. Food Agric. 2016, 96, 4135–4142. [Google Scholar] [CrossRef]
- Vargas Medina, D.A.; Bassolli Borsatto, J.V.; Maciel, E.V.S.; Lanças, F.M. Current Role of Modern Chromatography and Mass Spectrometry in the Analysis of Mycotoxins in Food. TrAC Trends Anal. Chem. 2021, 135, 116156. [Google Scholar] [CrossRef]
- Alshannaq, A.; Yu, J.-H. Occurrence, Toxicity, and Analysis of Major Mycotoxins in Food. Int. J. Environ. Res. Public Health 2017, 14, 632. [Google Scholar] [CrossRef]
- Facorro, R.; Llompart, M.; Dagnac, T. Combined (d)SPE-QuEChERS Extraction of Mycotoxins in Mixed Feed Rations and Analysis by High Performance Liquid Chromatography-High-Resolution Mass Spectrometry. Toxins 2020, 12, 206. [Google Scholar] [CrossRef]
- Zhao, Z.; Liu, N.; Yang, L.; Deng, Y.; Wang, J.; Song, S.; Lin, S.; Wu, A.; Zhou, Z.; Hou, J. Multi-Mycotoxin Analysis of Animal Feed and Animal-Derived Food Using LC–MS/MS System with Timed and Highly Selective Reaction Monitoring. Anal. Bioanal. Chem. 2015, 407, 7359–7368. [Google Scholar] [CrossRef]
- Castaldo, L.; Graziani, G.; Gaspari, A.; Izzo, L.; Tolosa, J.; Rodríguez-Carrasco, Y.; Ritieni, A. Target Analysis and Retrospective Screening of Multiple Mycotoxins in Pet Food Using UHPLC-Q-Orbitrap HRMS. Toxins 2019, 11, 434. [Google Scholar] [CrossRef]
- Tolosa, J.; Barba, F.J.; Font, G.; Ferrer, E. Mycotoxin Incidence in Some Fish Products: QuEChERS Methodology and Liquid Chromatography Linear Ion Trap Tandem Mass Spectrometry Approach. Molecules 2019, 24, 527. [Google Scholar] [CrossRef]
- Nakhjavan, B.; Ahmed, N.S.; Khosravifard, M. Development of an Improved Method of Sample Extraction and Quantitation of Multi-Mycotoxin in Feed by LC-MS/MS. Toxins 2020, 12, 462. [Google Scholar] [CrossRef]
- Safety Evaluation of Certain Mycotoxins in Food (JECFA 47, 2001). Available online: https://www.inchem.org/documents/jecfa/jecmono/v47je01.htm (accessed on 11 October 2024).
- Zhang, B.; Chen, X.; Han, S.-Y.; Li, M.; Ma, T.-Z.; Sheng, W.-J.; Zhu, X. Simultaneous Analysis of 20 Mycotoxins in Grapes and Wines from Hexi Corridor Region (China): Based on a QuEChERS–UHPLC–MS/MS Method. Molecules 2018, 23, 1926. [Google Scholar] [CrossRef]
- Marin, S.; Ramos, A.J.; Cano-Sancho, G.; Sanchis, V. Mycotoxins: Occurrence, Toxicology, and Exposure Assessment. Food Chem. Toxicol. 2013, 60, 218–237. [Google Scholar] [CrossRef]
- Wu, W.; Huang, X.; Liang, R.; Guo, T.; Xiao, Q.; Xia, B.; Wan, Y.; Zhou, Y. Determination of 63 Mycotoxins in Grain Products by Ultrahigh-Performance Liquid Chromatography Coupled with Quadrupole-Orbitrap Mass Spectrometry. Food Control 2023, 150, 109772. [Google Scholar] [CrossRef]
- Błajet-Kosicka, A.; Kosicki, R.; Twarużek, M.; Grajewski, J. Determination of Moulds and Mycotoxins in Dry Dog and Cat Food Using Liquid Chromatography with Mass Spectrometry and Fluorescence Detection. Food Addit. Contam. Part B 2014, 7, 302–308. [Google Scholar] [CrossRef]
- Fleurat-Lessard, F. Integrated Management of the Risks of Stored Grain Spoilage by Seedborne Fungi and Contamination by Storage Mould Mycotoxins—An Update. J. Stored Prod. Res. 2017, 71, 22–40. [Google Scholar] [CrossRef]
- Sapozhnikova, Y.; Zomer, P.; Gerssen, A.; Nuñez, A.; Mol, H.G.J. Evaluation of Flow Injection Mass Spectrometry Approach for Rapid Screening of Selected Pesticides and Mycotoxins in Grain and Animal Feed Samples. Food Control 2020, 116, 107323. [Google Scholar] [CrossRef]
- Winter, G.; Pereg, L. A Review on the Relation between Soil and Mycotoxins: Effect of Aflatoxin on Field, Food and Finance. Eur. J. Soil Sci. 2019, 70, 882–897. [Google Scholar] [CrossRef]
- European Commission Mycotoxins. Available online: https://food.ec.europa.eu/food-safety/chemical-safety/contaminants/catalogue/mycotoxins_en (accessed on 31 October 2024).
- FDA Mycotoxins. Available online: https://www.fda.gov/food/natural-toxins-food/mycotoxins (accessed on 31 October 2024).
- WHO Mycotoxins. Available online: https://www.who.int/news-room/fact-sheets/detail/mycotoxins (accessed on 31 October 2024).
- 2002/32/EC; Directive 2002/32/EC of the European Parliament and of the Council of 7 May 2002 on Undesirable Substances in Animal Feed. 2002. Available online: https://eur-lex.europa.eu/legal-content/EN/TXT/PDF/?uri=CELEX:32002L0032 (accessed on 7 May 2019).
- European Commission. 2013/637/EU: Commission Recommendation of 4 November 2013 Amending Recommendation 2006/576/EC as Regards T-2 and HT-2 Toxin in Compound Feed for Cats Text with EEA Relevance. Off. J. L 2013, 294, 44. [Google Scholar]
- Dall’Asta, C.; De Boevre, M.; Dellafiora, L.; De Saeger, S.; Moretti, A.; Pinson-Gadais, L.; Ponts, N.; Richard-Forget, F.; Susca, A. Boosting Knowledge and Harmonisation in the Mycotoxin Field through Sustainable Scientific Alliances—MYCOBOOST. EFSA Support. Publ. 2023, 20, 8420E. [Google Scholar] [CrossRef]
- Dey, D.K.; Kang, J.I.; Bajpai, V.K.; Kim, K.; Lee, H.; Sonwal, S.; Simal-Gandara, J.; Xiao, J.; Ali, S.; Huh, Y.S.; et al. Mycotoxins in Food and Feed: Toxicity, Preventive Challenges, and Advanced Detection Techniques for Associated Diseases. Crit. Rev. Food Sci. Nutr. 2023, 63, 8489–8510. [Google Scholar] [CrossRef]
- Rodrigues, P.; Venâncio, A.; Lima, N. Mycobiota and Mycotoxins of Almonds and Chestnuts with Special Reference to Aflatoxins. Food Res. Int. 2012, 48, 76–90. [Google Scholar] [CrossRef]
- 396/2005/EC; Regulation (EC) No 396/2005 of the European Parliament and of the Council of 23 February 2005 on Maximum Residue Levels of Pesticides in or on Food and Feed of Plant and Animal Origin and Amending Council Directive 91/414/EEC. 2005. Available online: https://eur-lex.europa.eu/legal-content/EN/TXT/PDF/?uri=CELEX:32005R0396 (accessed on 23 February 2005).
- Abd-Elhakim, Y.M.; El Sharkawy, N.I.; Moustafa, G.G. An Investigation of Selected Chemical Contaminants in Commercial Pet Foods in Egypt. J. Vet. Diagn. Investig. 2016, 28, 70–75. [Google Scholar] [CrossRef]
- Chhaya, R.S.; O’Brien, J.; Nag, R.; Cummins, E. Prevalence and Concentration of Mycotoxins in Bovine Feed and Feed Components: A Global Systematic Review and Meta-Analysis. Sci. Total Environ. 2024, 929, 172323. [Google Scholar] [CrossRef]
- Gruber-Dorninger, C.; Müller, A.; Rosen, R. Multi-Mycotoxin Contamination of Aquaculture Feed: A Global Survey. Toxins 2025, 17, 116. [Google Scholar] [CrossRef]
- Vardali, S.; Papadouli, C.; Rigos, G.; Nengas, I.; Panagiotaki, P.; Golomazou, E. Recent Advances in Mycotoxin Determination in Fish Feed Ingredients. Molecules 2023, 28, 2519. [Google Scholar] [CrossRef]
- Teixeira, E.M.K.; Frehse, M.S.; Freire, R.L.; Ono, M.A.; Bordini, J.G.; Hirozawa, M.T.; Ono, E.Y.S. Safety of Low and High Cost Dry Feed Intended for Dogs in Brazil Concerning Fumonisins, Zearalenone and Aflatoxins. World Mycotoxin J. 2017, 10, 273–284. [Google Scholar] [CrossRef]
- Zhou, G.; Hu, S.; Xie, L.; Huang, H.; Huang, W.; Zheng, Q.; Zhang, N. Individual and Combined Occurrences of the Prevalent Mycotoxins in Commercial Feline and Canine Food. Mycotoxin Res. 2024, 40, 547–558. [Google Scholar] [CrossRef]
- Aalizadeh, R.; Nika, M.-C.; Thomaidis, N.S. Development and Application of Retention Time Prediction Models in the Suspect and Non-Target Screening of Emerging Contaminants. J. Hazard. Mater. 2019, 363, 277–285. [Google Scholar] [CrossRef]
- Tarábek, P.; Leonova, N.; Konovalova, O.; Kirchner, M. Identification of Organic Contaminants in Water and Related Matrices Using Untargeted Liquid Chromatography High-Resolution Mass Spectrometry Screening with MS/MS Libraries. Chemosphere 2024, 366, 143489. [Google Scholar] [CrossRef]
- Boti, V.; Koloka, O.L.; Konstantinou, I. Application of Low- and High-resolution Liquid Chromatography-Mass Spectrometry for the Determination of Contaminants in Food Matrices. In Encyclopedia of Analytical Chemistry; Wiley: Hoboken, NJ, USA, 2024. [Google Scholar]
- Gkountouras, D.; Boti, V.; Albanis, T. High Resolution Mass Spectrometry Targeted Analysis and Suspect Screening of Pesticide Residues in Fruit Samples and Assessment of Dietary Exposure. Environ. Pollut. 2024, 352, 124143. [Google Scholar] [CrossRef]
- Gkountouras, D.; Boti, V.; Albanis, T. Pesticides and Transformation Products Footprint in Greek Market Basket Vegetables: Comprehensive Screening by HRMS and Health Risk Assessment. Sci. Total Environ. 2024, 953, 176085. [Google Scholar] [CrossRef]
- Van Wijk, X.M.R.; Goodnough, R.; Colby, J.M. Mass Spectrometry in Emergency Toxicology: Current State and Future Applications. Crit. Rev. Clin. Lab. Sci. 2019, 56, 225–238. [Google Scholar] [CrossRef]
- Galindo, M.V.; Perez, M.V.; López-Ruiz, R.; Oliveira, W.D.S.; Godoy, H.T.; Frenich, A.G.; Romero-González, R. Comprehensive Analysis of Contaminants in Brazilian Infant Formulas: Application of QuEChERS Coupled with UHPLC-QqQ-MS/MS and Suspect Screening-Unknown Analysis by UHPLC-Q-Orbitrap-MS. J. Chromatogr. A 2024, 1726, 464967. [Google Scholar] [CrossRef]
- Sadighara, P.; Basaran, B.; Afshar, A.; Nazmara, S. Optimization of Clean-up in QuEChERS Method for Extraction of Mycotoxins in Food Samples: A Systematic Review. Microchem. J. 2024, 197, 109711. [Google Scholar] [CrossRef]
- Lapris, M.; Errico, M.; Rocchetti, G.; Gallo, A. The Potential of Multi-Screening Methods and Omics Technologies to Detect Both Regulated and Emerging Mycotoxins in Different Matrices. Foods 2024, 13, 1746. [Google Scholar] [CrossRef]
- Nácher-Mestre, J.; Ibáñez, M.; Serrano, R.; Pérez-Sánchez, J.; Hernández, F. Qualitative Screening of Undesirable Compounds from Feeds to Fish by Liquid Chromatography Coupled to Mass Spectrometry. J. Agric. Food Chem. 2013, 61, 2077–2087. [Google Scholar] [CrossRef]
- Izzo, L.; Castaldo, L.; Narváez, A.; Gaspari, A.; Grosso, M.; Rodríguez-Carrasco, Y.; Ritieni, A. Target Analysis and Retrospective Screening of Contaminants in Ready-to-Eat Cooked Ham Samples through UHPLC-Q-Orbitrap HRMS. Food Chem. 2023, 408, 135244. [Google Scholar] [CrossRef]
- Bessaire, T.; Savoy, M.-C.; Ernest, M.; Christinat, N.; Badoud, F.; Desmarchelier, A.; Carrères, B.; Chan, W.-C.; Wang, X.; Delatour, T. Enhanced Surveillance of >1100 Pesticides and Natural Toxins in Food: Harnessing the Capabilities of LC-HRMS for Reliable Identification and Quantification. Foods 2024, 13, 3040. [Google Scholar] [CrossRef]
- Zhang, Y.; Chen, T.; Wang, Z.; Liang, W.; Wang, X.; Zhang, X.; Lu, X.; Liu, X.; Zhao, C.; Xu, G. High-Resolution Mass Spectrometry-Based Suspect and Nontarget Screening of Natural Toxins in Foodstuffs and Risk Assessment of Dietary Exposure. Environ. Pollut. 2025, 365, 125338. [Google Scholar] [CrossRef]
- Macías-Montes, A.; Rial-Berriel, C.; Acosta-Dacal, A.; Henríquez-Hernández, L.A.; Almeida-González, M.; Rodríguez-Hernández, Á.; Zumbado, M.; Boada, L.D.; Zaccaroni, A.; Luzardo, O.P. Risk Assessment of the Exposure to Mycotoxins in Dogs and Cats through the Consumption of Commercial Dry Food. Sci. Total Environ. 2020, 708, 134592. [Google Scholar] [CrossRef]
- European Food Safety Authority (EFSA). Aflatoxins (Sum of B1, B2, G1, G2) in Cereals and Cereal-derived Food Products. EFSA Support. Publ. 2013, 10, 406E. [Google Scholar] [CrossRef]
- Witaszak, N.; Waśkiewicz, A.; Bocianowski, J.; Stępień, Ł. Contamination of Pet Food with Mycobiota and Fusarium Mycotoxins—Focus on Dogs and Cats. Toxins 2020, 12, 130. [Google Scholar] [CrossRef] [PubMed]
- Guo, W.; Feng, D.; Yang, X.; Zhao, Z.; Yang, J. Screening and Dietary Exposure Assessment of T-2 Toxin and Its Modified Forms in Commercial Cereals and Cereal-Based Products in Shanghai. Food Chem. X 2024, 21, 101199. [Google Scholar] [CrossRef]
- Hjelkrem, A.-G.R.; Aamot, H.U.; Brodal, G.; Strand, E.C.; Torp, T.; Edwards, S.G.; Dill-Macky, R.; Hofgaard, I.S. HT-2 and T-2 Toxins in Norwegian Oat Grains Related to Weather Conditions at Different Growth Stages. Eur. J. Plant Pathol. 2018, 151, 501–514. [Google Scholar] [CrossRef]
- Janavičienė, S.; Mankevičienė, A.; Kochiieru, Y.; Venslovas, E. T-2 and HT-2 Toxins in Harvested Oat Grains and Their Prevalence in Whole Grain Flour during Storage. Food Addit. Contam. Part A 2022, 39, 1284–1295. [Google Scholar] [CrossRef]
- Izzo, L.; Carrasco, Y.R.; Ritieni, A. Mycotoxins: An Under-Evaluated Risk for Human Health; BP International: London, UK, 2022. [Google Scholar] [CrossRef]
- Giugliano, R.; Armenio, V.; Savio, V.; Vaccaro, E.; Ciccotelli, V.; Vivaldi, B. Monitoring of Non-Maximum-Residue-Level Pesticides in Animal Feed: A Study from 2019 to 2023. Toxics 2024, 12, 680. [Google Scholar] [CrossRef] [PubMed]
- Nácher-Mestre, J.; Serrano, R.; Portolés, T.; Berntssen, M.H.G.; Pérez-Sánchez, J.; Hernández, F. Screening of Pesticides and Polycyclic Aromatic Hydrocarbons in Feeds and Fish Tissues by Gas Chromatography Coupled to High-Resolution Mass Spectrometry Using Atmospheric Pressure Chemical Ionization. J. Agric. Food Chem. 2014, 62, 2165–2174. [Google Scholar] [CrossRef] [PubMed]
- Walorczyk, S.; Drożdżyński, D. Improvement and Extension to New Analytes of a Multi-Residue Method for the Determination of Pesticides in Cereals and Dry Animal Feed Using Gas Chromatography–Tandem Quadrupole Mass Spectrometry Revisited. J. Chromatogr. A 2012, 1251, 219–231. [Google Scholar] [CrossRef]
- Caloni, F.; Cortinovis, C.; Rivolta, M.; Davanzo, F. Suspected Poisoning of Domestic Animals by Pesticides. Sci. Total Environ. 2016, 539, 331–336. [Google Scholar] [CrossRef] [PubMed]
- Li, Z.-M.; Robinson, M.; Kannan, K. An Assessment of Exposure to Several Classes of Pesticides in Pet Dogs and Cats from New York, United States. Environ. Int. 2022, 169, 107526. [Google Scholar] [CrossRef] [PubMed]
- EFSA. Reasoned Opinion on the Review of the Existing Maximum Residue Levels (MRLs) for Pirimiphos-Methyl According to Article 12 of Regulation (EC) No 396/2005. EFSA J. 2015, 13, 3974. [Google Scholar] [CrossRef]
- Bacanlı, M.; Başaran, N. Importance of Antibiotic Residues in Animal Food. Food Chem. Toxicol. 2019, 125, 462–466. [Google Scholar] [CrossRef]
- Rizal, G.M.; Gyeltshen, J.; Namgay, K. Evaluation of Animal Feeds for the Presence of Three Important Antibiotic Classes in Bhutan. J. Glob. Antimicrob. Resist. 2018, 15, 228–231. [Google Scholar] [CrossRef]
- Ferriol-González, C.; Domingo-Calap, P. Phage Therapy in Livestock and Companion Animals. Antibiotics 2021, 10, 559. [Google Scholar] [CrossRef]
- Gaugain, M.; Fourmond, M.-P.; Fuselier, R.; Verdon, E.; Roudaut, B.; Pessel, D. Control of Antimicrobials in Feed Using Liquid Chromatography–Tandem Mass Spectrometry: Assessment of Cross-Contamination Rates at the Farm Level. J. Agric. Food Chem. 2020, 68, 9033–9042. [Google Scholar] [CrossRef]
- Wocławek-Potocka, I.; Mannelli, C.; Boruszewska, D.; Kowalczyk-Zieba, I.; Waśniewski, T.; Skarżyński, D.J. Diverse Effects of Phytoestrogens on the Reproductive Performance: Cow as a Model. Int. J. Endocrinol. 2013, 2013, 650984. [Google Scholar] [CrossRef]
- Benford, D.J. Risk Assessment of Chemical Contaminants and Residues in Food. In Chemical Contaminants and Residues in Food; Elsevier: Amsterdam, The Netherlands, 2017; pp. 3–13. [Google Scholar]
- De Nijs, M.; Noordam, M.Y.; Mol, H.G.J. Short Inventory of EU Legislation on Plant Toxins in Food. Qual. Assur. Saf. Crops Foods 2017, 9, 129–139. [Google Scholar] [CrossRef]
- Dusza, L.; Ciereszko, R.; Skarzyński, D.J.; Nogowski, L.; Opałka, M.; Kamińska, B.; Nynca, A.; Kraszewska, O.; Słomczyńska, M.; Woclawek-Potocka, I.; et al. Mechanism of Phytoestrogens Action in Reproductive Processes of Mammals and Birds. Reprod. Biol. 2006, 6, 151–174. [Google Scholar] [PubMed]
- Muñoz-Solano, B.; González-Peñas, E. Co-Occurrence of Mycotoxins in Feed for Cattle, Pigs, Poultry, and Sheep in Navarra, a Region of Northern Spain. Toxins 2023, 15, 172. [Google Scholar] [CrossRef] [PubMed]
- Penagos-Tabares, F.; Sulyok, M.; Nagl, V.; Faas, J.; Krska, R.; Khiaosa-Ard, R.; Zebeli, Q. Mixtures of Mycotoxins, Phytoestrogens and Pesticides Co-Occurring in Wet Spent Brewery Grains (BSG) Intended for Dairy Cattle Feeding in Austria. Food Addit. Contam. Part A 2022, 39, 1855–1877. [Google Scholar] [CrossRef] [PubMed]
- Eyring, P.R.M.P.; Herrmann, S.S.; Poulsen, M.E. Multiresidue Analysis of 184 Pesticides in High-Fat Fish Feed Using a New Generic Extraction Method Coupled with Gas and Liquid Chromatography-Tandem Mass Spectrometry. Appl. Biol. Chem. 2021, 64, 38. [Google Scholar] [CrossRef]
- Schymanski, E.L.; Jeon, J.; Gulde, R.; Fenner, K.; Ruff, M.; Singer, H.P.; Hollender, J. Identifying Small Molecules via High Resolution Mass Spectrometry: Communicating Confidence. Environ. Sci. Technol. 2014, 48, 2097–2098. [Google Scholar] [CrossRef]
- Tang, D.; Chen, M.; Huang, X.; Zhang, G.; Zeng, L.; Zhang, G.; Wu, S.; Wang, Y. SRplot: A Free Online Platform for Data Visualization and Graphing. PLoS ONE 2023, 18, e0294236. [Google Scholar] [CrossRef]







| Compound | Total Identifications | Wet Feed Identifications | Dry Feed Identifications | Detection Frequency % 1 | Schymanski Levels 2 | Reference |
|---|---|---|---|---|---|---|
| Aclonifen | 2 | 1 | 1 | 3.1% | 2 | Pubchem, MassBank, NIST |
| Aflatoxin B1 | 22 | 9 | 13 | 33.8% | 2 | mzCloud, MassBank, NIST |
| Aflatoxin B2 | 1 | 0 | 1 | 1.5% | 2 | mzCloud, MassBank, NIST |
| Aflatoxin G1 | 2 | 2 | 0 | 3.1% | 2 | mzCloud, MassBank, NIST |
| Aflatoxin G2 | 3 | 0 | 3 | 4.6% | 2 | mzCloud, MassBank, NIST |
| Aflatoxin P1 | 13 | 3 | 10 | 20.0% | 2 | Pubchem, [48] |
| Alternariol | 7 | 7 | 0 | 10.8% | 1 | Standard |
| Alternariolmethylether | 3 | 0 | 3 | 4.6% | 2 | mzCloud, MassBank, NIST |
| Atrazine-desethyl | 5 | 3 | 2 | 7.7% | 2 | mzCloud, MassBank, NIST |
| Bupirimate | 1 | 1 | 0 | 1.5% | 1 | Standard |
| Citrinin | 13 | 1 | 12 | 20.0% | 1 | Standard |
| Diacetoxyscirpenol | 2 | 0 | 2 | 3.1% | 2 | mzCloud, MassBank, NIST |
| Enniatin B | 4 | 1 | 3 | 6.2% | 2 | mzCloud, MassBank, NIST |
| Esculetin | 4 | 0 | 4 | 6.2% | 2 | mzCloud, MassBank, NIST |
| Eugenol | 3 | 1 | 2 | 4.6% | 2 | mzCloud, MassBank, NIST |
| Flutriafol | 3 | 0 | 3 | 4.6% | 1 | Standard |
| Formononetin | 14 | 1 | 13 | 21.5% | 2 | mzCloud, MassBank, NIST |
| Fumagilin | 2 | 0 | 2 | 3.1% | 2 | NIST, [48] |
| Genistein | 25 | 8 | 17 | 38.5% | 2 | mzCloud, MassBank, NIST |
| HT2-Toxin | 20 | 14 | 6 | 30.8% | 1 | Standard |
| Pirimiphos-methyl | 3 | 0 | 3 | 4.6% | 1 | Standard |
| Pyrogallol | 1 | 0 | 1 | 1.5% | 2 | mzCloud, MassBank, NIST |
| Quercetin | 4 | 4 | 0 | 6.2% | 2 | mzCloud, MassBank, NIST |
| Quercitrin | 2 | 2 | 0 | 3.1% | 2 | mzCloud, MassBank, NIST |
| Sparfloxacin | 3 | 0 | 3 | 4.6% | 2 | mzCloud, NIST |
| T2-Toxin | 10 | 4 | 6 | 15.4% | 1 | Standard |
| T2-Triol | 2 | 2 | 0 | 3.1% | 2 | [48] |
| Tridemorph | 11 | 0 | 11 | 16.9% | 1 | Standard |
| Zearalenone | 1 | 0 | 1 | 1.5% | 1 | Standard |
Disclaimer/Publisher’s Note: The statements, opinions and data contained in all publications are solely those of the individual author(s) and contributor(s) and not of MDPI and/or the editor(s). MDPI and/or the editor(s) disclaim responsibility for any injury to people or property resulting from any ideas, methods, instructions or products referred to in the content. |
© 2025 by the authors. Licensee MDPI, Basel, Switzerland. This article is an open access article distributed under the terms and conditions of the Creative Commons Attribution (CC BY) license.
Share and Cite
Dematati, D.; Gkountouras, D.; Boti, V.; Albanis, T. Mycotoxins and Beyond: Unveiling Multiple Organic Contaminants in Pet Feeds Through HRMS Suspect Screening. Toxins 2026, 18, 22. https://doi.org/10.3390/toxins18010022
Dematati D, Gkountouras D, Boti V, Albanis T. Mycotoxins and Beyond: Unveiling Multiple Organic Contaminants in Pet Feeds Through HRMS Suspect Screening. Toxins. 2026; 18(1):22. https://doi.org/10.3390/toxins18010022
Chicago/Turabian StyleDematati, Dafni, Dimitrios Gkountouras, Vasiliki Boti, and Triantafyllos Albanis. 2026. "Mycotoxins and Beyond: Unveiling Multiple Organic Contaminants in Pet Feeds Through HRMS Suspect Screening" Toxins 18, no. 1: 22. https://doi.org/10.3390/toxins18010022
APA StyleDematati, D., Gkountouras, D., Boti, V., & Albanis, T. (2026). Mycotoxins and Beyond: Unveiling Multiple Organic Contaminants in Pet Feeds Through HRMS Suspect Screening. Toxins, 18(1), 22. https://doi.org/10.3390/toxins18010022

