Sign in to use this feature.

Years

Between: -

Subjects

remove_circle_outline
remove_circle_outline
remove_circle_outline
remove_circle_outline
remove_circle_outline
remove_circle_outline
remove_circle_outline
remove_circle_outline
remove_circle_outline

Journals

remove_circle_outline
remove_circle_outline
remove_circle_outline
remove_circle_outline
remove_circle_outline
remove_circle_outline
remove_circle_outline
remove_circle_outline
remove_circle_outline
remove_circle_outline
remove_circle_outline
remove_circle_outline
remove_circle_outline
remove_circle_outline
remove_circle_outline
remove_circle_outline
remove_circle_outline

Article Types

Countries / Regions

remove_circle_outline
remove_circle_outline
remove_circle_outline
remove_circle_outline
remove_circle_outline

Search Results (1,276)

Search Parameters:
Keywords = parking structure

Order results
Result details
Results per page
Select all
Export citation of selected articles as:
19 pages, 1092 KB  
Article
Resilience of Traditional Ecological Knowledge in New and Emerging Protected Area Systems in Western Zambia
by Gloria Malanda, Ngawo Namukonde, Darius Phiri, Donald Zulu and Vincent Raphael Nyirenda
Wild 2026, 3(2), 17; https://doi.org/10.3390/wild3020017 - 10 Apr 2026
Abstract
Traditional ecological knowledge (TEK) is cardinal to natural resource management, and its resilience in protected areas (PAs) depends on its continued practice. The changing socio-ecological landscape has given rise to new PAs that emphasise community participation, like Simalaha Community Conservancy (SCC), versus state-owned, [...] Read more.
Traditional ecological knowledge (TEK) is cardinal to natural resource management, and its resilience in protected areas (PAs) depends on its continued practice. The changing socio-ecological landscape has given rise to new PAs that emphasise community participation, like Simalaha Community Conservancy (SCC), versus state-owned, like Liuwa Plain National Park (LPNP). Resilience was assessed by comparing TEK awareness, utilisation, and perceived effectiveness between LPNP and SCC. Three categories of TEK (rules and regulations; myths and taboos; and customs and rituals) were analysed using a blended analytical framework drawing on the knowledge–practice–belief complex and a social–ecological systems perspective. A structured questionnaire was administered to 427 respondents, and data were analysed using descriptive statistics and chi-square tests. TEK awareness was high, but significantly higher in LPNP than in SCC. Age and length of residence were strongly associated with knowledge, confirming older and long-term residents as key knowledge-holders. Rules and regulations were widely recognised and utilised, while customs and rituals, and myths and taboos, were variable. LPNP showed higher utilisation and perceived effectiveness of TEK, particularly among younger cohorts. These findings highlight the influence of conservation governance and intergenerational knowledge transmission on TEK resilience, underscoring the need to strengthen its integration in emerging PAs. Full article
Show Figures

Figure 1

24 pages, 2826 KB  
Article
Impacts of Micro-Polluted River Water on Soil Nitrogen and Microbial Diversity in Paddy Fields Under Different Irrigation Modes
by Lina Chen, Yiqi Zhou, Jiang Li, Yanyu Wang and Siying Lian
Agronomy 2026, 16(8), 777; https://doi.org/10.3390/agronomy16080777 - 9 Apr 2026
Abstract
This study aims to explore the effects of micro-polluted river water on nitrogen and microbial communities of paddy field soil under different irrigation modes. The experiment was conducted in a water-saving park in Nanjing. By establishing three water quality conditions—clean water, micro-polluted river [...] Read more.
This study aims to explore the effects of micro-polluted river water on nitrogen and microbial communities of paddy field soil under different irrigation modes. The experiment was conducted in a water-saving park in Nanjing. By establishing three water quality conditions—clean water, micro-polluted river water, and alternating irrigation—and two moisture conditions—flood irrigation and controlled irrigation—this study investigates the effects of different irrigation patterns on soil nitrogen and microbial communities. The results indicate that, under flood irrigation, the input of micro-polluted river water can effectively alleviate NH4+-N loss during the heading stages of rice growth by 49.3%. Moisture conditions are the primary factor influencing microbial community structure. Although the input of micro-polluted river water reduces community stability, rotation irrigation can increase microbial abundance and enhance network complexity, thereby enhancing the system’s resilience. Redundancy analysis shows that soil moisture, pH, and ion content are the key environmental factors driving microbial distribution. The clean and polluted water rotation irrigation model performs best in maintaining soil nitrogen and microbial health. Rotation irrigation promotes the enrichment of key functional groups, such as Actinobacteria, effectively increasing rice yield. This study provides a theoretical basis for promoting sustainable agricultural production through water resource management. Full article
Show Figures

Figure 1

22 pages, 4959 KB  
Article
A Study on the Response of Monopile Foundations for Offshore Wind Turbines Using Numerical Analysis Methods
by Zhijun Wang, Di Liu, Shujie Zhao, Nielei Huang, Bo Han and Xiangyu Kong
J. Mar. Sci. Eng. 2026, 14(8), 691; https://doi.org/10.3390/jmse14080691 - 8 Apr 2026
Abstract
The prediction of dynamic responses of offshore wind turbine foundations under wind-wave-current multi-field coupled loads is the cornerstone of safety in offshore wind power engineering. The currently widely adopted equivalent load application method, while computationally efficient, simplifies loads into concentrated forces applied at [...] Read more.
The prediction of dynamic responses of offshore wind turbine foundations under wind-wave-current multi-field coupled loads is the cornerstone of safety in offshore wind power engineering. The currently widely adopted equivalent load application method, while computationally efficient, simplifies loads into concentrated forces applied at the pile top and tower top, neglecting fluid-structure dynamic interaction mechanisms, which leads to deviations in response predictions. To overcome this limitation, this paper proposes a high-precision bidirectional fluid-structure interaction numerical framework. The fluid domain employs computational fluid dynamics (CFD) to construct an air-seawater two-phase flow model, utilizing the standard k-ε turbulence model and nonlinear wave theory to accurately simulate complex marine environments. The solid domain establishes a wind turbine-stratified seabed system via the finite element method (FEM), describing soil-rock mechanical properties based on the Mohr-Coulomb constitutive model. Comparative studies indicate that the equivalent static method significantly underestimates the displacement response of pile foundations, particularly under the extreme shutdown conditions examined in this study. This value should be interpreted as a case-specific observation rather than a universal deviation, and the discrepancy may vary with sea state, wind speed, current velocity, and wind–wave misalignment, thereby leading to non-conservative estimates of stress distribution. In contrast, the fluid-structure interaction method can reveal key physical processes such as local flow acceleration and wake–interference effects around the tower and the parked rotor under shutdown conditions, and the nonlinear interaction and resistance-increasing mechanisms between waves and currents. This model provides a reliable tool for safety assessment and damage evolution analysis of wind turbine foundations under extreme marine conditions, promoting the transformation of offshore wind power structure design from empirical formulas to mechanism-driven approaches. Full article
Show Figures

Figure 1

19 pages, 915 KB  
Article
Spatial Planning in Protected Areas: Conceptualization and a Multi-Criteria Compatibility Assessment Model Applied to Kozara National Park
by Neda Živak, Irena Medar-Tanjga, Branka Zolak Poljašević, Vukosava Čolić, Dijana Gvozden Sliško and Mitja Tanjga
Land 2026, 15(4), 596; https://doi.org/10.3390/land15040596 - 4 Apr 2026
Viewed by 171
Abstract
Cultural and natural heritage are increasingly framed as components of territorial governance rather than isolated conservation elements; yet, a structural gap persists between their strategic recognition in planning documents and their measurable integration into statutory land-use systems that guide spatial decision-making. This gap [...] Read more.
Cultural and natural heritage are increasingly framed as components of territorial governance rather than isolated conservation elements; yet, a structural gap persists between their strategic recognition in planning documents and their measurable integration into statutory land-use systems that guide spatial decision-making. This gap is particularly pronounced in protected areas, where ecological integrity, cultural and symbolic values, tourism functions, and socio-economic expectations converge within environmentally sensitive landscapes. This study develops and empirically applies a compatibility-based analytical framework that embeds Multi-Criteria Decision Analysis (MCDA) within the statutory spatial planning system of Kozara National Park. The framework combines (i) institutional analysis of legally binding planning instruments, (ii) zoning-aligned analytical units derived from the Special-Purpose Spatial Plan and Management Plan, and (iii) a weighted multi-criteria model incorporating ecological integrity, cultural–historical significance, tourism and recreation capacity under controlled use, and socio-economic feasibility. Climate-related disturbance exposure is incorporated as a planning-relevant modifier of ecological compatibility. Composite compatibility scores under the baseline configuration range from 2.55 to 3.85 across analytical units. Rank correlation analysis suggests a high degree of structural consistency across both alternative weighting configurations relative to the baseline scenario (Spearman’s ρ ≈ 0.90), with only limited rank reordering observed, primarily between the two highest-ranked analytical units. Dispersed low-intensity recreational configurations demonstrate the highest structural robustness, whereas infrastructure-intensive zones exhibit management-dependent compatibility. The findings show how spatial planning in protected areas can operationalize compatibility as a measurable decision-support principle without substituting statutory zoning logic. Full article
Show Figures

Figure 1

22 pages, 333 KB  
Article
From Nature to Strength: A Proof-of-Concept Study Integrating a Nature-Based Intervention with Virtually Supported Resistance Training in Young Men
by Alfred S. Y. Lee, Bradley A. Rudner, Ryan E. Rhodes and Nevin J. Harper
Healthcare 2026, 14(7), 937; https://doi.org/10.3390/healthcare14070937 - 3 Apr 2026
Viewed by 296
Abstract
Background: Young men experience substantial mental health and mortality-related risks, yet they often do not engage in conventional health promotion programs. This highlights the need for gender-specifc interventions that are acceptable, engaging, and feasible for young men. Purpose of Research: Guided by self-determination [...] Read more.
Background: Young men experience substantial mental health and mortality-related risks, yet they often do not engage in conventional health promotion programs. This highlights the need for gender-specifc interventions that are acceptable, engaging, and feasible for young men. Purpose of Research: Guided by self-determination theory, this single-group proof-of-concept study evaluated the feasibility and acceptability of a dual-component intervention combining an in-person nature-based intervention (NBI; two days of group activities and guided reflection in a forested park) and a subsequent virtually supported resistance training (RT) program for young men and explored secondary, exploratory pre- to post-changes in depressive and anxiety symptoms. Methods: Eight men aged 18–34 not meeting RT recommendations (i.e., <2 sessions/week) completed a two-day, in-person NBI followed by six weeks of virtually supported RT with weekly group check-ins. Primary feasibility outcomes were satisfaction and qualitative acceptability for NBI/RT, recruitment, retention, and adherence. Secondary, exploratory quantitative outcomes were pre- to post-changes in depressive and anxiety symptom scores. Brief semi-structured exit interviews were conducted at the study end and audio-recorded for analysis. Results: Satisfaction met a priori thresholds for both components (NBI = 3.4/4; RT = 4.3/5; criteria ≥ 3.0 and ≥ 3.5). Recruitment was 46% and retention 100%, exceeding the 42% and 80% criteria, respectively. Exit interview themes highlighted guided learning, accountability, and feeling more connected to nature as acceptability drivers, with the scheduling burden noted but manageable. Depressive and anxiety symptom scores were lower post-intervention. Conclusions: Challenges in recruitment, group dynamics, and participant selection require refinement before the next phase; however, high satisfaction with both the NBI and RT segments, together with improvements in anxiety and depression symptom scores, supports progressing to a feasibility trial once these enhancements are in place. Full article
20 pages, 1040 KB  
Article
Sustainability Perception in Park Management Training: Evidence from Undergraduate Business Administration Education
by Mingwen Yu and Zhipeng Li
J. Parks 2026, 1(2), 7; https://doi.org/10.3390/jop1020007 - 1 Apr 2026
Viewed by 192
Abstract
This study addressed how business administration training influenced perceptions of sustainable development goals (SDGs) within park management, situating the research at the intersection of sustainability education and applied management practice. A controlled experiment was conducted in Chongqing Central Park, where 100 undergraduate students [...] Read more.
This study addressed how business administration training influenced perceptions of sustainable development goals (SDGs) within park management, situating the research at the intersection of sustainability education and applied management practice. A controlled experiment was conducted in Chongqing Central Park, where 100 undergraduate students were randomly assigned to either an integrated business administration training program or a conventional park management program for two months, followed by standardized questionnaire surveys and statistical analyses, including analysis of variance and multivariate linear regression. A pretest verified randomization equivalence. The results demonstrated that participants who received integrated training reported higher perceptions of SDGs related to quality education, climate action, and life on land, alongside improvements in entrepreneurial mindset, social and economic value preferences, multitasking awareness, decision-related attributes, and interest in nature education. Regression analyses revealed that SDG perception was primarily strengthened by social value orientation and entrepreneurial mindset factors, whereas certain employee attributes and elements of nature education satisfaction exerted negative or weaker effects, particularly among trained participants. In contrast, the control group showed limited and mostly insignificant relationships, with SDG perception relying largely on baseline attitudes. Overall, the findings indicate that embedding business administration concepts into park management training enhances multidimensional sustainability awareness and provides evidence that socially oriented entrepreneurship and structured management thinking contribute meaningfully to SDG perception formation without overstating causal claims. Full article
Show Figures

Figure A1

27 pages, 3736 KB  
Article
Strategic Framework to Reinforce the Application for the UNESCO Global Geopark Label: The Case of Chefchaouen Geopark (NW Morocco)
by Ali Aoulad-Sidi-Mhend, Youssef Bennady and Hamida Lahjouji
Land 2026, 15(4), 575; https://doi.org/10.3390/land15040575 - 31 Mar 2026
Viewed by 450
Abstract
The aspiring United Nations Educational, Scientific and Cultural Organization (UNESCO) Global Geopark of Chefchaouen includes part of the Talassemtane National Park (TNP), classified by UNESCO as an exceptional natural heritage site within the Intercontinental Mediterranean Biosphere Reserve (RBIM). The other section corresponds to [...] Read more.
The aspiring United Nations Educational, Scientific and Cultural Organization (UNESCO) Global Geopark of Chefchaouen includes part of the Talassemtane National Park (TNP), classified by UNESCO as an exceptional natural heritage site within the Intercontinental Mediterranean Biosphere Reserve (RBIM). The other section corresponds to the Ghomara Coast (GC), characterized by an outstanding succession of metamorphic rocks. This study identifies and highlights the most significant sites of geological interest (geosites and geodiversity sites) in the territory. Forty-two sites are proposed as geological heritage sites, thirty of which are organized into four accessible georoutes (Oued Laou Valley, Ghomara Coast, Talambote–Akchour, and Chaouen–Ametrasse), while the other twelve are located along trails and forest tracks inside or near the TNP. These sites cover a wide range of geological typologies, including structural geology, stratigraphy–sedimentology, paleontology, geomaterials, petrology, geomorphology, and hydrogeology. To classify and rank the sites objectively, a numerical methodology based on the recent literature was applied. Scientific value (SV), Potential Educational Use (PEU), and Potential Touristic Use (PTU) were quantified using multiple criteria, facilitating route selection according to user needs. Degradation Risk (DR) was also measured, providing managers with essential guidance for an appropriate geoconservation plan. Actions consistent with UNESCO Global Geoparks Network criteria are proposed to improve conservation, support education, and promote sustainable tourism, thereby enhancing economic activity in the region. The initiative aims to promote the region’s exceptional geological, cultural, and natural heritage. The Chefchaouen Geopark was designated a deferred candidate during the UNESCO Global Geoparks Council meeting of 8–9 September 2024. According to Section 5.5 of its guidelines, the Council may defer an application for up to two years to allow improvements without requiring a second field evaluation. To consolidate the Chefchaouen candidacy, we developed a strategy to strengthen compliance with UNESCO requirements, reduce the risk of final rejection, and maintain the territory’s credibility with international networks and partners. This work presents an operational, costed, and scheduled roadmap enabling stakeholders at all levels to converge toward a complete and coherent application. Full article
(This article belongs to the Special Issue National Parks and Natural Protected Area Systems)
Show Figures

Figure 1

23 pages, 790 KB  
Article
Climate-Resilient Schoolyards: Comparative Strategies and Priorities for Urban Climate Adaptation
by Carmen Díaz-López, Carmen María Muñoz-González, Alejandro Morales-Ruiz and Rubén Mora-Esteban
Environments 2026, 13(4), 188; https://doi.org/10.3390/environments13040188 - 31 Mar 2026
Viewed by 336
Abstract
Schools are increasingly recognised as critical public infrastructure for urban climate adaptation, particularly in heat-vulnerable and park-poor neighbourhoods. This study examines schoolyards as distributed cooling systems, social spaces, and educational landscapes and proposes an integrated decision support approach for programme comparison and prioritisation. [...] Read more.
Schools are increasingly recognised as critical public infrastructure for urban climate adaptation, particularly in heat-vulnerable and park-poor neighbourhoods. This study examines schoolyards as distributed cooling systems, social spaces, and educational landscapes and proposes an integrated decision support approach for programme comparison and prioritisation. A comparative review of nine international schoolyard transformation programmes (Paris, Barcelona, Madrid, Milan, Rotterdam, Los Angeles, New York, Melbourne, and Santiago de Chile) was conducted using municipal plans, reports, and implementation guidance. Design strategies, governance configurations, and monitoring approaches were synthesised through a CAME (Correct, Adapt, Maintain, Explore) framework. Building on this synthesis, a Multicriteria Analysis framework was developed to support prioritisation across four criteria families: environmental and climatic performance, social and educational equity, urban integration and accessibility, and feasibility and co-benefits. The results highlight a recurrent toolkit of interventions—depaving, tree planting, shade provision, cool and permeable surfaces, nature-based drainage systems, and monitoring practices—that is consistently associated in the reviewed evidence with improved thermal comfort, stormwater performance, biodiversity, and community use beyond school hours. It is concluded that a combined CAME–Multicriteria Analysis structure provides a transferable basis for transparent, criteria-based prioritisation of schoolyard interventions by local governments and school authorities. Full article
Show Figures

Figure 1

23 pages, 1520 KB  
Article
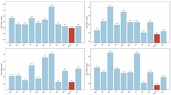
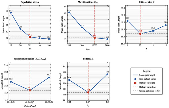
A Multi-Strategy Enhanced Crested Porcupine Optimizer for Autonomous Vehicle Grid Path Planning
by Weijia Li, Ying Cao, Yahui Shan and Guangyin Jin
Mathematics 2026, 14(7), 1147; https://doi.org/10.3390/math14071147 - 29 Mar 2026
Viewed by 204
Abstract
Autonomous ground vehicles operating in structured and semi-structured environments—such as urban roads, parking lots, and logistics warehouses—require fast, reliable, and collision-free path planning on occupancy grid maps. Existing metaheuristic planners often suffer from premature convergence, insufficient population diversity, and poor feasibility maintenance, limiting [...] Read more.
Autonomous ground vehicles operating in structured and semi-structured environments—such as urban roads, parking lots, and logistics warehouses—require fast, reliable, and collision-free path planning on occupancy grid maps. Existing metaheuristic planners often suffer from premature convergence, insufficient population diversity, and poor feasibility maintenance, limiting their deployment in safety-critical vehicular navigation. This paper proposes a multi-strategy enhanced Crested Porcupine Optimizer (MSCPO) that systematically addresses these limitations through four coordinated enhancements: chaos-opposition initialization with feasibility repair to ensure high-quality and diverse initial routes; a diversity-coupled adaptive mechanism for dynamic strategy scheduling throughout the search; elite-guided differential Lévy perturbation to escape local optima and accelerate convergence; and a two-stage safety-aware objective with elite local refinement to sharpen final solution precision. Experiments on four representative grid maps with varying obstacle densities, conducted over 30 independent runs per algorithm, demonstrate that MSCPO consistently outperforms state-of-the-art metaheuristic planners and deterministic baselines in path length, smoothness, and convergence speed. Statistical analysis via Wilcoxon rank-sum and Friedman tests confirms the significance of the improvements. An ablation study quantifies the individual contribution of each enhancement module, confirming the practical effectiveness of MSCPO for autonomous vehicle navigation tasks. Full article
(This article belongs to the Section E2: Control Theory and Mechanics)
Show Figures

Figure 1

19 pages, 657 KB  
Article
Industrial Park-Based Energy Transition Policies and Urban Carbon Intensity: Evidence Using China’s Low-Carbon Industrial Park Pilots
by Rui Li and Jiajun Xu
Energies 2026, 19(7), 1643; https://doi.org/10.3390/en19071643 - 27 Mar 2026
Viewed by 354
Abstract
In response to global climate change, low-carbon transition in the industrial sector has become essential for emission reduction. Industrial parks, as concentrated centers of production, are major sources of urban energy use and carbon emissions. Whether park-based policy interventions can generate broader decarbonization [...] Read more.
In response to global climate change, low-carbon transition in the industrial sector has become essential for emission reduction. Industrial parks, as concentrated centers of production, are major sources of urban energy use and carbon emissions. Whether park-based policy interventions can generate broader decarbonization effects remains unclear. This study conceptualizes China’s National Low-Carbon Industrial Park Pilot Policy (NLCIPP) as a meso-level systemic intervention and examines its impact on urban carbon intensity (UCI). Using panel data for 282 Chinese cities from 2006 to 2020, causal effects are identified through a multi-period DID framework combined with a synthetic DID approach. The results show that the NLCIPP significantly reduces UCI, indicating that energy-oriented interventions at the industrial park level can induce broader decarbonization outcomes. The policy effect mainly works via reduced energy consumption and enhanced green technological capability, while the contribution of industrial structural upgrading is relatively limited. Stronger impacts appear in central regions, cities with stricter environmental regulation, and non-resource-based cities, highlighting the context-dependent effectiveness of energy transition policies. These findings provide empirical evidence for designing effective industrial energy policies to promote low-carbon transition. Full article
Show Figures

Figure 1

28 pages, 616 KB  
Article
Innovative Development of Regions: An Integrated Analysis of Infrastructure, Investment, and Human Capital
by Olga V. Sysoeva and Victor V. Sysoev
Adm. Sci. 2026, 16(4), 164; https://doi.org/10.3390/admsci16040164 - 27 Mar 2026
Viewed by 460
Abstract
Here, we explore the determinants and territorial heterogeneity of regional innovation development across Russian regions, employing the Russian Regional Innovation Index (RRII) and indicators of Gross Regional Product (GRP). The empirical database comprises 1363 small innovation enterprises (SMEs) spun-off from budgetary and research [...] Read more.
Here, we explore the determinants and territorial heterogeneity of regional innovation development across Russian regions, employing the Russian Regional Innovation Index (RRII) and indicators of Gross Regional Product (GRP). The empirical database comprises 1363 small innovation enterprises (SMEs) spun-off from budgetary and research organizations and universities, specifically 34 flagship universities, 28 innovation clusters, 156 technology parks, and 15 science and technology innovation centers, along with indicators of the infrastructure–institutional environment, innovation–investment activity, scientific–educational potential, and human–social characteristics. Regression analysis enabled the identification of major factor groups that strongly effect regional innovation development, with infrastructure–institutional and innovation–investment indicators being the most significant. Cluster analysis of RRII and GRP delineated three groups of regions, (1) leaders with high innovation activity and substantial economic potential, (2) intermediate regions with moderate innovation activity and varying economic capacity, and (3) regions with high economic capacity but low innovation activity, exhibiting structural disparities between the economy and innovation. By combining regression and cluster analyses, we provide a comprehensive assessment of regional innovation ecosystems, reveal spatial imbalances, and identify priority areas for regional innovation policy. The study contributes to the theory of regional innovation systems and offers practical recommendations for strategic planning and optimizing the allocation of resources among key elements of innovation infrastructure. Full article
(This article belongs to the Section Strategic Management)
Show Figures

Figure 1

26 pages, 4650 KB  
Article
Vegetation Structure Drives Seasonal and Diel Dynamics of Avian Soundscapes in an Urban Wetland
by Zhe Wen, Zhewen Ye, Yunfeng Yang and Yao Xiong
Plants 2026, 15(7), 1023; https://doi.org/10.3390/plants15071023 - 26 Mar 2026
Viewed by 267
Abstract
Urban wetlands are acoustic hotspots where vegetation structure, hydrological dynamics, and anthropogenic noise interact, yet multi-season assessments of how vegetation influences avian soundscapes are limited. This study explored bird soundscape dynamics across forest, open forest grassland, and meadow habitats in Nanjing Xinjizhou National [...] Read more.
Urban wetlands are acoustic hotspots where vegetation structure, hydrological dynamics, and anthropogenic noise interact, yet multi-season assessments of how vegetation influences avian soundscapes are limited. This study explored bird soundscape dynamics across forest, open forest grassland, and meadow habitats in Nanjing Xinjizhou National Wetland Park, eastern China, using passive acoustic monitoring during spring and autumn 2023. Twelve sampling points (four per vegetation type) were established, and six acoustic indices were calculated, including the Acoustic Complexity Index (ACI), Acoustic Diversity Index (ADI), Acoustic Evenness Index (AEI), Bioacoustic Index (BIO), Normalized Difference Soundscape Index (NDSI), and Acoustic Entropy Index (H). were calculated from 48-h recordings each season. Random forest models and redundancy analysis assessed the relationships between acoustic indices, fine-scale vegetation parameters (e.g., crown width, tree height, species richness), and anthropogenic factors (e.g., distance to roads/trails, surface hardness). Vegetation structure, particularly crown width, was the primary driver of avian acoustic diversity, with broad-crowned forests consistently exhibiting the highest acoustic complexity. In spring, anthropogenic factors such as trail and road proximity dominated soundscape variation, suppressing biological sounds. In autumn, with reduced human presence, vegetation structure emerged as the dominant factor, while bioacoustic activity remained elevated despite reduced peaks in acoustic complexity. Proximity to roads increased low-frequency (1–2 kHz) noise and suppressed mid-frequency (4–8 kHz) bird vocalizations, but trees with crown widths ≥4 m maintained higher acoustic diversity even near disturbance sources. This study demonstrates that vegetation structure mediates both resource availability and sound propagation, buffering the effects of anthropogenic disturbance in frequency-specific ways. Multi-season sampling is crucial for understanding the dynamic interplay between vegetation phenology and human activity that shapes urban wetland soundscapes. Full article
Show Figures

Figure 1

22 pages, 3090 KB  
Review
Smart Parking Systems as Data-Oriented Architectural Spaces: A Conceptual Framework for Sustainable Urban Mobility
by Hayri Ulvi, Semra Arslan Selçuk and Gülsel Satoğlu
Sustainability 2026, 18(7), 3229; https://doi.org/10.3390/su18073229 - 25 Mar 2026
Viewed by 467
Abstract
The increasing number of vehicles in cities reduces the efficiency of parking infrastructure and increases traffic congestion, making it challenging to achieve sustainable transportation goals. This situation necessitates a re-evaluation of urban mobility systems in conjunction with spatial organization and digital technologies. This [...] Read more.
The increasing number of vehicles in cities reduces the efficiency of parking infrastructure and increases traffic congestion, making it challenging to achieve sustainable transportation goals. This situation necessitates a re-evaluation of urban mobility systems in conjunction with spatial organization and digital technologies. This article examines smart parking systems as “data-oriented spaces”, analyzing their impact on urban mobility, energy efficiency and spatial organization from a multidimensional perspective. The research adopts a qualitative, multi-level approach, structured through a comprehensive literature review, a comparative analysis of five international case studies and a conceptual synthesis of the findings. The data obtained were evaluated using criteria such as technological infrastructure, spatial structure, sustainability performance and user interaction. The findings reveal that smart parking systems not only serve as vehicle storage but can also function as digital–spatial interfaces that direct urban data flows. This study presents a conceptual framework that treats smart parking systems as data-oriented architectural spaces, offering a holistic approach to the design of sustainable urban mobility infrastructures. This perspective allows for redesigning parking structures as adaptable, data-oriented architectural systems that optimize circulation patterns, reduce search-related emissions, increase spatial efficiency and support sustainable urban mobility networks. Full article
Show Figures

Figure 1

23 pages, 1222 KB  
Article
From Forest Land Easements to Broader Conservation Agreements: An Analysis of Pathways to Community Support in China’s National Park Pilot
by Fangbing Hu, Zhen Sun, Guangyu Wang, Wanting Peng and Chengzhao Wu
Forests 2026, 17(4), 403; https://doi.org/10.3390/f17040403 - 24 Mar 2026
Viewed by 146
Abstract
Conservation easements (CEs) represent a complex policy instrument designed to mediate the feedback loops within coupled human and natural systems in protected areas. However, their efficacy is often constrained by a lack of systemic understanding of the localized drivers of community support. Building [...] Read more.
Conservation easements (CEs) represent a complex policy instrument designed to mediate the feedback loops within coupled human and natural systems in protected areas. However, their efficacy is often constrained by a lack of systemic understanding of the localized drivers of community support. Building upon the successful implementation of Forest Land Easements (FLEs) within China’s Qianjiangyuan National Park Pilot, this study investigates the potential to expand this policy model to other land types. This study investigates the multilevel factors influencing residents’ willingness to adopt three types of CEs, including forest land (FLE), agricultural land (ALE) and homestead land (HLE) easements in China’s Qianjiangyuan National Park Pilot, the country’s primary CE reform site. We conceptualize a hierarchical support model wherein community participation (CP) and human well-being (HW) interact with support for park management (SM), forming a subsystem that drives decisions within the broader land-use. Utilizing structural equation modelling (SEM) and stepwise regression analysis on survey data from 336 households, we tested this model. The results reveal that SM acts as a critical direct mediator and positive driver of CE acceptance, while CP and HW exert significant indirect effects through SM, demonstrating a key feedback pathway. Regression analyses further elucidate that support for different CE types is driven by distinct configurations of factors, highlighting the heterogeneous nature of subsystems. Notably, livelihood benefits and prior participation experiences emerged as consistent, cross-cutting systemic leverages. It demonstrates that leveraging the implementation experience and community support gained from existing forest land easements is crucial. This study concludes that effective CE design must move beyond one-size-fits-all approaches. It necessitates differentiated, adaptive policies that are coherently aligned with local livelihood subsystems and strategically strengthen participatory feedback mechanisms initiated by successful FLEs. Our findings provide an evidence-based framework for designing resilient, socially sustainable conservation policies in complex protected area systems, grounded in proven practice. Full article
(This article belongs to the Special Issue Forestry Economy Sustainability and Ecosystem Governance)
Show Figures

Figure 1

27 pages, 890 KB  
Review
Benefits of Coupling Electric Vehicle Charging with Photovoltaic Electricity Production: A Global Overview
by Noémie Jeannin, Jérémy Dumoulin, Christophe Ballif and Nicolas Wyrsch
Appl. Sci. 2026, 16(7), 3132; https://doi.org/10.3390/app16073132 - 24 Mar 2026
Viewed by 189
Abstract
The global energy transition aims to decarbonise both transportation and electricity generation to mitigate climate change and reduce reliance on fossil fuels. Electrification of private transportation, through the adoption of electric vehicles, presents a promising pathway to achieving the first objective. Concurrently, the [...] Read more.
The global energy transition aims to decarbonise both transportation and electricity generation to mitigate climate change and reduce reliance on fossil fuels. Electrification of private transportation, through the adoption of electric vehicles, presents a promising pathway to achieving the first objective. Concurrently, the rapid advancement and cost reduction of photovoltaic technology have positioned solar energy as a viable solution for renewable electricity production. This review synthesises recent modelling and empirical studies examining the synergies and challenges of coupling EV charging with photovoltaic electricity production. It explores the multifaceted benefits of this integration across various contexts: residential, workplace, highways, and public parking infrastructures. Additionally, the review delves into practical considerations essential for real-world implementation, such as political incentives, charging stations, and tariff structures. By offering an overview of the cost effectiveness and implementation challenges across the four corners of the world, in a diversity of climate, solar irradiance and mobility behaviours, the review bridges the gap identified in the previous reviews on the potential of coupling electric vehicle charging with photovoltaic electricity production. Full article
Show Figures

Figure 1

Back to TopTop