Sign in to use this feature.

Years

Between: -

Subjects

remove_circle_outline
remove_circle_outline
remove_circle_outline
remove_circle_outline
remove_circle_outline
remove_circle_outline
remove_circle_outline
remove_circle_outline
remove_circle_outline

Journals

remove_circle_outline
remove_circle_outline
remove_circle_outline
remove_circle_outline
remove_circle_outline
remove_circle_outline

Article Types

Countries / Regions

remove_circle_outline
remove_circle_outline
remove_circle_outline
remove_circle_outline

Search Results (381)

Search Parameters:
Keywords = parameter space concept

Order results
Result details
Results per page
Select all
Export citation of selected articles as:
87 pages, 61280 KB  
Review
Differential Topology and Matrix Analysis: An Overview
by Petko H. Petkov
Axioms 2026, 15(3), 224; https://doi.org/10.3390/axioms15030224 - 16 Mar 2026
Viewed by 255
Abstract
This overview illustrates the application of methods from differential topology to several important problems in matrix analysis. In particular, it focuses on the use of smooth manifolds and smooth mappings to study fundamental issues such as the determination of matrix rank and the [...] Read more.
This overview illustrates the application of methods from differential topology to several important problems in matrix analysis. In particular, it focuses on the use of smooth manifolds and smooth mappings to study fundamental issues such as the determination of matrix rank and the computation of the Jordan form in the presence of uncertainties. Various aspects of numerical matrix analysis are discussed, including the genericity of matrix problems, characterization of singular sets in the parameter space, the distance to ill-posedness and its relation to problem conditioning. The conditioning of matrix problems is considered in both deterministic and probabilistic settings. The paper also addresses the regularization of ill-posed matrix problems in the presence of errors. Several examples are provided to illustrate these concepts and their practical relevance. The overview is intended for specialists from different fields who use matrix analysis in their work and do not have a strong background in differential topology. Full article
(This article belongs to the Special Issue New Advances in Numerical Linear Algebra and Its Applications)
Show Figures

Figure 1

82 pages, 6468 KB  
Article
Correction Functions and Refinement Algorithms for Enhancing the Performance of Machine Learning Models
by Attila Kovács, Judit Kovácsné Molnár and Károly Jármai
Automation 2026, 7(2), 45; https://doi.org/10.3390/automation7020045 - 6 Mar 2026
Viewed by 707
Abstract
The aim of this study is to investigate and demonstrate the role of correction functions and optimisation-based refinement algorithms in enhancing the performance of machine learning models, particularly in predictive anomaly detection tasks applied in industrial environments. The performance of machine learning models [...] Read more.
The aim of this study is to investigate and demonstrate the role of correction functions and optimisation-based refinement algorithms in enhancing the performance of machine learning models, particularly in predictive anomaly detection tasks applied in industrial environments. The performance of machine learning models is highly dependent on the quality of data preprocessing, model architecture, and post-processing methodology. In many practical applications—particularly in time-series forecasting and anomaly detection—the conventional training pipeline alone is insufficient, because model uncertainty, structural bias and the handling of rare events require specialised post hoc calibration and refinement mechanisms. This study provides a systematic overview of the role of correction functions (e.g., Principal Component Analysis (PCA), Squared Prediction Error (SPE)/Q-statistics, Hotelling’s T2, Bayesian calibration) and adaptive improvement algorithms (e.g., Genetic Algorithms (GA), Particle Swarm Optimisation (PSO), Simulated Annealing (SA), Gaussian Mixture Model (GMM) and ensemble-based techniques) in enhancing the performance of machine learning pipelines. The models were trained on a real industrial dataset compiled from power network analytics and harmonic-injection-based loading conditions. Model validation and equipment-level testing were performed using a large-scale harmonic measurement dataset collected over a five-year period. The reliability of the approach was confirmed by comparing predicted state transitions with actual fault occurrences, demonstrating its practical applicability and suitability for integration into predictive maintenance frameworks. The analysis demonstrates that correction functions introduce deterministic transformations in the data or error space, whereas improvement algorithms apply adaptive optimisation to fine-tune model parameters or decision boundaries. The combined use of these approaches significantly reduces overfitting, improves predictive accuracy and lowers false alarm rates. This work introduces the concept of an Organically Adaptive Predictive (OAP) ML model. The proposed model presents organic adaptivity, continuously adjusting its predictive behaviour in response to dynamic variations in network loading and harmonic spectrum composition. The introduced terminology characterises the organically emergent nature of the adaptive learning mechanism. Full article
Show Figures

Figure 1

21 pages, 1233 KB  
Systematic Review
Single-Photon Detectors for Satellite and CubeSat Quantum Key Distribution: A Systematic Evidence Map
by Georgi Tsochev, Elitsa Gieva and Maria Nenova
Entropy 2026, 28(3), 295; https://doi.org/10.3390/e28030295 - 5 Mar 2026
Viewed by 470
Abstract
Advancing satellite and CubeSat quantum key distribution (QKD) requires receiver-level engineering trade studies, because secure-key feasibility in space is limited by single-photon detectors (SPDs) operating under SWaP, thermal, and radiation constraints. However, the question arises: does the literature provide sufficiently consistent evidence to [...] Read more.
Advancing satellite and CubeSat quantum key distribution (QKD) requires receiver-level engineering trade studies, because secure-key feasibility in space is limited by single-photon detectors (SPDs) operating under SWaP, thermal, and radiation constraints. However, the question arises: does the literature provide sufficiently consistent evidence to guide detector selection for space QKD? This systematic evidence map examines how recent research connects SNSPDs, Si SPAD/APD, InGaAs SPAD/APD, and NFAD variants to CubeSat QKD and space-based quantum communication links. To do so, a concept-token methodology identifies mission contexts and detector families through targeted keywords and key phrases, followed by structured extraction of detection efficiency η, dark count rate (DCR), timing jitter, receiver timing window Δt, operating mode, temperature/cooling, and radiation evidence. The results show an upward trend in publications, with many appearing in the last two years. SNSPDs and APD/SPAD families are most regularly discussed, yet key parameters—especially η, jitter, and explicit Δt—are reported unevenly, limiting cross-study comparability. CubeSat-tagged studies emphasize APD/SPAD feasibility and radiation-driven DCR evolution, while SNSPDs remain performance-leading but cryogenics-limited. Standardized reporting of η, DCR, jitter, Δt, temperature, and radiation conditions emerges as a practical avenue for accelerating deployable space-QKD receivers. Full article
(This article belongs to the Special Issue Space Quantum Communication)
Show Figures

Figure 1

23 pages, 6391 KB  
Article
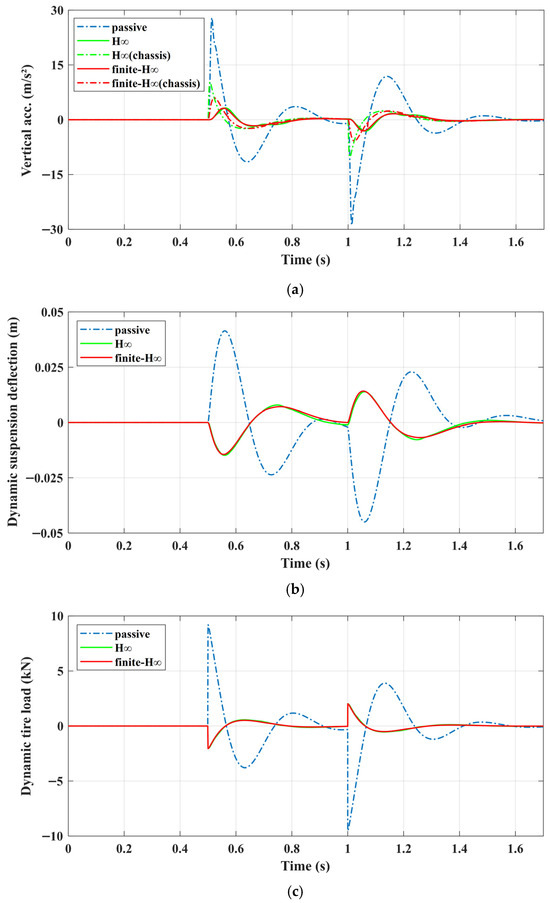
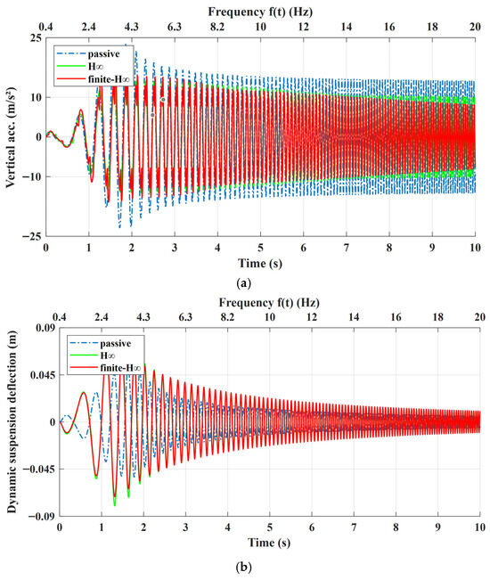
Design and Experimental Validation of a Quarter-Car Pseudo-Active Suspension for Body-on-Frame Vehicles
by Chengxi Li, Wuhan Qiu, Weihan Li, Dongkui Tan, Lijun Qian and Xianxu Frank Bai
Actuators 2026, 15(3), 142; https://doi.org/10.3390/act15030142 - 2 Mar 2026
Viewed by 377
Abstract
Suspension architecture has long been a central topic in vehicle chassis research and development. Passive, active, and semi-active suspensions provide different trade-offs in performance, complexity, and energy use. The pseudo-active actuator (PAA) is a newly emerging concept that delivers near active-level performance with [...] Read more.
Suspension architecture has long been a central topic in vehicle chassis research and development. Passive, active, and semi-active suspensions provide different trade-offs in performance, complexity, and energy use. The pseudo-active actuator (PAA) is a newly emerging concept that delivers near active-level performance with semi-active-level energy input, which opens a new direction for suspension architecture design. In this work, a pseudo-active suspension (PAS) based on a PAA is developed. Along with the structural investigation, the corresponding dynamic model and control system are established and experimentally validated. Taking a suspension of a body-on-frame (BoF) vehicle as the application platform, an engineering-feasible PAS configuration is proposed, and design/optimization principles are presented for key geometric parameters and components. A quarter-car three-mass PAS dynamic model is derived, in which the equivalent coupling introduced by the mechanical compensation mechanism is explicitly characterized, leading to a complete state-space representation. To address the multi-objective performance requirements of the PAS, a conventional H controller and a finite-frequency H controller with a specified target band are designed, respectively. A quarter-car PAS experimental rig and a real-time control platform are built, and experiments are conducted under various displacement excitation scenarios. Both simulations and experiments demonstrate that the proposed PAS and controllers meet the multi-objective design objectives and provide robust performance, supporting practical implementation. Full article
(This article belongs to the Section Actuators for Surface Vehicles)
Show Figures

Figure 1

25 pages, 33282 KB  
Article
Research on the Design Methodology of Children’s Play Spaces in Urban Communities Based on EFA–SEM
by Hui Liu, Yi Zhong, Yujia Li, Yajie Zhao, Shiyi Cao and Honglei Chen
Buildings 2026, 16(4), 780; https://doi.org/10.3390/buildings16040780 - 13 Feb 2026
Viewed by 377
Abstract
Urban community children’s play spaces play a crucial role in promoting both physical and mental health, significantly influencing children’s development and fostering a sense of belonging to the community. However, existing design practices often fail to adequately address the complex behavioral and emotional [...] Read more.
Urban community children’s play spaces play a crucial role in promoting both physical and mental health, significantly influencing children’s development and fostering a sense of belonging to the community. However, existing design practices often fail to adequately address the complex behavioral and emotional needs of children in these spaces. To overcome this gap, there is an urgent need for a system that can effectively respond to these complexities, thereby enhancing children’s play experiences and their attachment to the space. This study seeks to optimize the design of children’s play spaces in urban communities through a quantitative approach based on Exploratory Factor Analysis (EFA) and Structural Equation Modeling (SEM). First, multi-dimensional data concerning children’s physical environment, subjective perceptions, play behaviors, and satisfaction were gathered through field surveys and questionnaires. Reliability and validity assessments were conducted to ensure data quality. Subsequently, EFA was applied to perform dimensionality reduction and identify the underlying structure, resulting in the extraction of six key factors that influence children’s play experiences. Finally, SEM was utilized to construct a structural model, test hypotheses, and quantify the relationships between the identified dimensions. The results demonstrate that the EFA-SEM framework effectively transforms subjective concepts into actionable design parameters, meeting user needs and providing a solid scientific foundation for the design of children’s play spaces in urban communities. Full article
(This article belongs to the Special Issue Advanced Study on Urban Environment by Big Data Analytics)
Show Figures

Figure 1

17 pages, 5712 KB  
Article
Fast Fatigue Life Prediction of Polymers Through Combined Constitutive Mathematical and AI-Based Modeling
by T. Barriere, S. Carbillet, X. Gabrion, C. Guyeux and S. Holopainen
Polymers 2026, 18(4), 456; https://doi.org/10.3390/polym18040456 - 11 Feb 2026
Viewed by 617
Abstract
The prediction of fatigue life is critical in the design process, and current models offer a viable alternative to costly and time-consuming experimental fatigue testing. The constitutive fatigue model used integrates low-cycle and high-cycle fatigue behavior. This model is grounded on the concept [...] Read more.
The prediction of fatigue life is critical in the design process, and current models offer a viable alternative to costly and time-consuming experimental fatigue testing. The constitutive fatigue model used integrates low-cycle and high-cycle fatigue behavior. This model is grounded on the concept of fatigue damage evolution and incorporates a moving endurance surface within the stress space, eliminating the need for ambiguous cycle-counting methods. An interesting observation is that many polymers exhibit macroscopic fatigue characteristics, specifically, the form of the SN curve similar to those observed in metals. Consequently, all fatigue model parameters were expressed in terms of the well-established Coffin–Manson–Basquin model parameters. However, the constitutive mathematical modeling itself is computationally time-consuming, particularly when applied to predict high-cycle fatigue across large design spaces. Therefore, the proposed model was utilized exclusively to generate high-quality data for training machine learning models that offer significantly improved computational efficiency. The high-cycle fatigue design of polymers and other ductile materials, traditionally dependent on expensive and time-consuming experimental methods, is now expedited through an advanced modeling framework that combines constitutive mathematical modeling with AI-based approaches. Full article
(This article belongs to the Section Artificial Intelligence in Polymer Science)
Show Figures

Figure 1

27 pages, 3226 KB  
Article
Dynamic Interval Prediction of Subway Passenger Flow Using a Symmetry-Enhanced Hybrid FIG-ICPO-XGBoost Model
by Qingling He, Yifan Feng, Lin Ma, Xiaojuan Lu, Jiamei Zhang and Changxi Ma
Symmetry 2026, 18(2), 288; https://doi.org/10.3390/sym18020288 - 4 Feb 2026
Viewed by 280
Abstract
To address the challenges of characterizing subway passenger flow fluctuations and overcoming the slow convergence and significant errors of existing intelligent optimization algorithms in tuning deep learning parameters for flow prediction, this study proposes a novel subway passenger flow fluctuation interval prediction model [...] Read more.
To address the challenges of characterizing subway passenger flow fluctuations and overcoming the slow convergence and significant errors of existing intelligent optimization algorithms in tuning deep learning parameters for flow prediction, this study proposes a novel subway passenger flow fluctuation interval prediction model based on a Symmetry-Enhanced FIG-ICPO-XGBoost model. The core innovation is an Improved Cheetah Optimization Algorithm (ICPO), which incorporates enhancements including Circle mapping for population initialization, a hybrid strategy of dimension-by-dimension pinhole imaging opposition-based learning and Cauchy mutation to escape local optima, and adaptive variable spiral search with inertia weight to balance exploration and exploitation. The construction of this methodology embodies the concept of symmetry in algorithm design. For instance, Circle mapping achieves uniformity and ergodicity in the initial distribution of the population within the solution space, reflecting the symmetric principle of spatial coverage. Dimension-by-dimension pinhole imaging opposition-based learning generates opposite solutions through the principle of mirror symmetry, effectively expanding the search space. The adaptive variable spiral search strategy dynamically adjusts the spiral shape, simulating the symmetric relationship of dynamic balance between exploration and exploitation. Utilizing fuzzy-granulated passenger flow data (LOW, R, UP) from Harbin, the ICPO was employed to optimize XGBoost hyperparameters. Experimental results demonstrate the superior performance of the ICPO on 12 benchmark functions. The ICPO-XGBoost model achieves mean MAE, RMSE, and MAPE values of 10,291, 10,612, and 5.8%, respectively, for the predictions of the LOW, R, and UP datasets. Compared to existing models such as CPO-XGBoost, PSO-BiLSTM, GA-BP, and CNN-LSTM, these values represent improvements ranging from 4541 to 13,161 for MAE, 5258 to 14,613 for RMSE, and 2.6% to 7.2% for MAPE. The proposed model provides a reliable theoretical and data-driven foundation for optimizing subway train schedules and station passenger flow management. Full article
Show Figures

Figure 1

27 pages, 8063 KB  
Article
Assessing Identity in the Recent Algerian Architectural Production: Case of Administrative Buildings of Béchar
by Mohammed Miloudi and Ratiba Wided Biara
Architecture 2026, 6(1), 13; https://doi.org/10.3390/architecture6010013 - 26 Jan 2026
Viewed by 664
Abstract
This research addresses the issue of architectural identity. The loss of architectural identity in recent Algerian architectural production is a well-established fact that is frequently criticized by both specialists and the public. While the concept of architectural identity is widely used, it is [...] Read more.
This research addresses the issue of architectural identity. The loss of architectural identity in recent Algerian architectural production is a well-established fact that is frequently criticized by both specialists and the public. While the concept of architectural identity is widely used, it is often based on an overly simplistic perspective, typically limited to a few formal and esthetic patterns. This study aims to analyze the problem of the loss of architectural identity by rigorously defining the concept and identifying the tangible factors that influence it. We selected the city of Béchar, focusing specifically on its recently constructed administrative buildings, to examine this issue. We hypothesized that these buildings denote a loss of identity. To achieve the study’s objective, we first developed a multidimensional model for building analysis based on a literature review. We defined three parameters: design references, climatic considerations, and the relationship with the urban environment. The results indicate a general loss of identity caused by the inadequate integration of these three factors. This research demonstrates that architectural identity can serve as a genuine issue, enabling us to address fundamental design problems. The creative valorization of precedents allows us to focus on ideas and principles rather than appearances. Integrating the climatic factor promotes building sustainability and reduces their energy consumption, particularly in challenging climates, like that of Béchar. Finally, urban integration can produce livable, attractive spaces. Full article
Show Figures

Figure 1

21 pages, 2905 KB  
Article
Laboratory-Scale Evaluation of an Electrochemical Barrier System for Targeted Removal of Vinyl Chloride and Trichloroethylene from Groundwater
by Nataša Duduković, Lea Plavšin, Kristiana Zrnić Tenodi, Malcolm Watson, Marijana Kragulj Isakovski, Božo Dalmacija and Jasmina Agbaba
Hydrology 2026, 13(1), 40; https://doi.org/10.3390/hydrology13010040 - 20 Jan 2026
Viewed by 369
Abstract
Chlorinated solvents such as vinyl chloride (VC) and trichloroethylene (TCE) represent a persistent threat to groundwater-derived drinking-water supplies, including riverbank filtration well fields in alluvial aquifers. This work presents a laboratory-scale evaluation of an electrochemical barrier concept for targeted VC and TCE removal [...] Read more.
Chlorinated solvents such as vinyl chloride (VC) and trichloroethylene (TCE) represent a persistent threat to groundwater-derived drinking-water supplies, including riverbank filtration well fields in alluvial aquifers. This work presents a laboratory-scale evaluation of an electrochemical barrier concept for targeted VC and TCE removal performed using synthetic groundwater representative of a riverbank filtration setting in the Danube River basin. Experiments were conducted in a covered batch reactor equipped with Ti/IrO2–RuO2 mixed-metal-oxide anodes and Ti cathodes, systematically varying current intensity (10–60 mA), treatment time (0–60 min), active anode surface area (12–48 cm2), and inter-electrode distance (0.5–2.5 cm). At 60 mA, VC and TCE removals of 97% and 95%, respectively, were achieved within 20 min, while prolonged treatment to 60 min increased removal to about 99% for VC and 98.5% for TCE. Multivariate analysis (PCA) and correlation assessment identified applied current as the dominant control parameter, particularly for TCE removal, whereas electrode configuration and spacing played secondary roles within the investigated range. For the most cost-effective treatments meeting Serbian drinking-water criteria, estimated electricity costs were 0.39 €/m3 for VC and 0.10 €/m3 for TCE. Overall, the results demonstrate the technical feasibility and promising cost-effectiveness of electrochemical barriers as a proactive measure to protect riverbank filtration systems from future VC and TCE contamination n urban environments, while highlighting the need for follow-up studies on by-product formation and long-term performance. Full article
(This article belongs to the Section Water Resources and Risk Management)
Show Figures

Graphical abstract

14 pages, 1687 KB  
Article
Analysis on the Transient Synchronization Stability of a Wind Farm with Multiple PLL-Based PMSGs
by Bixing Ren, Dajiang Wang, Xinyao Zhu, Ningyu Zhang, Chunyu Chen and Qiang Li
Processes 2026, 14(2), 321; https://doi.org/10.3390/pr14020321 - 16 Jan 2026
Viewed by 269
Abstract
The presence of multiple permanent magnet synchronous generators (PMSGs) results in a highly complex and high-dimensional wind-farm model, making its transient synchronizing stability characteristics insufficiently understood and difficult to analyze. This paper investigates the mechanism by which interactions among multiple wind generators trigger [...] Read more.
The presence of multiple permanent magnet synchronous generators (PMSGs) results in a highly complex and high-dimensional wind-farm model, making its transient synchronizing stability characteristics insufficiently understood and difficult to analyze. This paper investigates the mechanism by which interactions among multiple wind generators trigger transient synchronizing instability in wind farms. First, considering the influence of line impedance ratios, a reduced single-machine aggregated model suitable for transient synchronizing stability analysis of a wind farm with multiple PMSGs was derived from the similarity normalization transformation of the state-space matrices. Based on the aggregated model, the concepts of equivalent accelerating area and equivalent decelerating area were introduced to evaluate transient synchronizing stability of the wind farm. Through a comprehensive analysis of the effects of the generator dynamics, number of generators, network topology, and system parameters on these indices, the mechanism by which multi-PMSG interactions induce transient synchronization instability in PMSG wind farms is revealed. Finally, case studies were conducted to validate the accuracy and applicability of the analysis. Full article
Show Figures

Figure 1

27 pages, 12605 KB  
Article
YOLOv11n-CGSD: Lightweight Detection of Dairy Cow Body Temperature from Infrared Thermography Images in Complex Barn Environments
by Zhongwei Kang, Hang Song, Hang Xue, Miao Wu, Derui Bao, Chuang Yan, Hang Shi, Jun Hu and Tomas Norton
Agriculture 2026, 16(2), 229; https://doi.org/10.3390/agriculture16020229 - 15 Jan 2026
Viewed by 592
Abstract
Dairy cow body temperature is a key physiological indicator that reflects metabolic level, immune status, and environmental stress responses, and it has been widely used for early disease recognition. Infrared thermography (IRT), as a non-contact imaging technique capable of remotely acquiring the surface [...] Read more.
Dairy cow body temperature is a key physiological indicator that reflects metabolic level, immune status, and environmental stress responses, and it has been widely used for early disease recognition. Infrared thermography (IRT), as a non-contact imaging technique capable of remotely acquiring the surface radiation temperature distribution of animals, is regarded as a powerful alternative to traditional temperature measurement methods. Under practical cowshed conditions, IRT images of dairy cows are easily affected by complex background interference and generally suffer from low resolution, poor contrast, indistinct boundaries, weak structural perception, and insufficient texture information, which lead to significant degradation in target detection and temperature extraction performance. To address these issues, a lightweight detection model named YOLOv11n-CGSD is proposed for dairy cow IRT images, aiming to improve the accuracy and robustness of region of interest (ROI) detection and body temperature extraction under complex background conditions. At the architectural level, a C3Ghost lightweight module based on the Ghost concept is first constructed to reduce redundant feature extraction while lowering computational cost and enhancing the network capability for preserving fine-grained features during feature propagation. Subsequently, a space-to-depth convolution module is introduced to perform spatial rearrangement of feature maps and achieve channel compression via non-strided convolution, thereby improving the sensitivity of the model to local temperature variations and structural details. Finally, a dynamic sampling mechanism is embedded in the neck of the network, where the upsampling and scale alignment processes are adaptively driven by feature content, enhancing the model response to boundary temperature changes and weak-texture regions. Experimental results indicate that the YOLOv11n-CGSD model can effectively shift attention from irrelevant background regions to ROI contour boundaries and increase attention coverage within the ROI. Under complex IRT conditions, the model achieves P, R, and mAP50 values of 89.11%, 86.80%, and 91.94%, which represent improvements of 3.11%, 5.14%, and 4.08%, respectively, compared with the baseline model. Using Tmax as the temperature extraction parameter, the maximum error (Max. Error) and mean error (MAE. Error) in the lower udder region are reduced by 33.3% and 25.7%, respectively, while in the around the anus region, the Max. Error and MAE. Error are reduced by 87.5% and 95.0%, respectively. These findings demonstrate that, under complex backgrounds and low-quality IRT imaging conditions, the proposed model achieves lightweight and high-performance detection for both lower udder (LU) and around the anus (AA) regions and provides a methodological reference and technical support for non-contact body temperature measurement of dairy cows in practical cowshed production environments. Full article
(This article belongs to the Section Farm Animal Production)
Show Figures

Figure 1

18 pages, 2777 KB  
Article
Multi-Objective Dimension and Shape Optimization Design of the Cable-Driven Parallel Robot Based on the Response Surface
by Zhiwei Cui, Kemeng Du, Ligang Jin, Rui Song, Yibin Li and Fuchun Sun
Electronics 2026, 15(2), 315; https://doi.org/10.3390/electronics15020315 - 11 Jan 2026
Viewed by 422
Abstract
Cable-driven parallel robots (CDPRs) are increasingly favored in rehabilitation, medical devices, and material transportation due to their flexible structure and large transmission distance. The CDPRs with a highly modular and flexible structure are usually easy to be quickly reorganized. It is important to [...] Read more.
Cable-driven parallel robots (CDPRs) are increasingly favored in rehabilitation, medical devices, and material transportation due to their flexible structure and large transmission distance. The CDPRs with a highly modular and flexible structure are usually easy to be quickly reorganized. It is important to study the dimension and shape optimization of the basis and moving platforms for rapidly reconstructing a high-performance CDPR. The influence of each parameter of CDPRs’ dimension and shape on performance is mutually coupled. Therefore, obtaining the global optimal result by simply superimposing each optimum parameter is usually difficult. To this end, the concepts of a constant stiffness space (CSS) and a cable-tension-constrained workspace (CTCW) and their calculation methods are introduced, and the CDPRs’ dimension and shape are optimized with the maximum CSS and CTCW volume as the optimization indicators. First, the response surface optimization model between CDPRs’ performance and multi-objective optimization parameters is established, taking into account the coupling relationship of each CDPR optimization parameter and the effect on performance, and it is solved by using the Latin hypercube design method. Then, the effect of CDPRs’ dimension and shape on performance is analyzed by using the response surface optimization model, and the CDPRs’ optimization dimensions are provided. Full article
Show Figures

Figure 1

25 pages, 593 KB  
Article
Lower Bounds for the Integrated and Minimax Risks in Intrinsic Statistical Estimation: A Geometric Approach
by José Manuel Corcuera and José María Oller
Mathematics 2026, 14(2), 240; https://doi.org/10.3390/math14020240 - 8 Jan 2026
Viewed by 451
Abstract
In parametric statistics, it is well established that the canonical measures of estimator performance—such as bias, variance, and mean squared error—are inherently dependent on the parameterization of the model. Consequently, these quantities describe the behavior of an estimator only relative to a particular [...] Read more.
In parametric statistics, it is well established that the canonical measures of estimator performance—such as bias, variance, and mean squared error—are inherently dependent on the parameterization of the model. Consequently, these quantities describe the behavior of an estimator only relative to a particular parameterization, rather than representing intrinsic properties of either the estimator itself or the underlying probability distribution it seeks to estimate. Some years ago, the authors introduced a framework, termed the intrinsic analysis of point estimation, in which tools from information geometry were employed to construct analogues of classical statistical notions that are intrinsic to both the estimator and the associated probability measure. Within this framework, a contravariant vector field was introduced to define the intrinsic bias, while the squared Riemannian distance naturally emerged as the intrinsic analogue of the classical squared distance. Intrinsic counterparts of the Cramér–Rao inequalities, as well as the Rao–Blackwell and Lehmann–Scheffé theorems, were also established. The present work extends the intrinsic analysis—originally founded on the concept of intrinsic risk, a fundamentally local measure of estimator performance—to an approach that characterizes the estimator over an entire region of the parameter space, thereby yielding an intrinsically global perspective. Building upon intrinsic risk, two indices are proposed to evaluate estimator performance within a bounded region: (i) the integral of the intrinsic risk with respect to the Riemannian volume over the specified region, and (ii) the maximum intrinsic risk attained within that region. The Riemannian volume induced by the Fisher information metric on the manifold associated with the parametric model provides a natural means of averaging the intrinsic risk. Using variational methods, integral inequalities of the Cramér–Rao type are derived for the mean squared integrated Rao distance of the estimators, thereby extending previous contributions by several authors. Furthermore, lower bounds for the maximum intrinsic risk are obtained through corresponding integral formulations. Full article
(This article belongs to the Section D1: Probability and Statistics)
Show Figures

Figure 1

18 pages, 4672 KB  
Article
Experimental Study on Electrolytic Simulation of Production Capacity Interference in Asymmetric Fishbone Wells
by Xu Dang, Shijun Huang, Liang Zhai, Bin Yuan and Mengchen Jiang
Processes 2026, 14(1), 179; https://doi.org/10.3390/pr14010179 - 5 Jan 2026
Viewed by 367
Abstract
As a type of multilateral wells, fishbone wells have the advantages of expanding oil drainage areas and increasing single well controlled reserves. However, there exists obvious productivity interference between branches of fishbone wells. In order to study the influence of fishbone wellbore structural [...] Read more.
As a type of multilateral wells, fishbone wells have the advantages of expanding oil drainage areas and increasing single well controlled reserves. However, there exists obvious productivity interference between branches of fishbone wells. In order to study the influence of fishbone wellbore structural parameters on productivity interference between branches, the method of water-electricity simulation experiments was adopted in this paper. The concepts of productivity interference coefficient and pressure propagation coefficient were proposed. The dependence of the productivity interference coefficient on wellbore morphological parameters was quantified. Research shows that the productivity interference coefficients of fishbone wells increase with the increase in the number of branches and decrease with the increase in branch length and branch angle. The productivity interference phenomenon between branches is caused by pressure interference. Increasing branch spacing by changing morphological parameters is the key to controlling productivity interference. The research results verify the productivity prediction model of fishbone wells and they also have important guiding significance for reasonable well placement and optimization design. Full article
Show Figures

Figure 1

34 pages, 15930 KB  
Article
Geometric Learning of Canonical Parameterizations of 2D-Curves
by Ioana Ciuclea, Giorgio Longari and Alice Barbora Tumpach
Entropy 2026, 28(1), 48; https://doi.org/10.3390/e28010048 - 30 Dec 2025
Viewed by 394
Abstract
Most datasets encountered in computer vision and medical applications present symmetries that should be taken into account in classification tasks. A typical example is the symmetry by rotation and/or scaling in object detection. A common way to build neural networks that learn the [...] Read more.
Most datasets encountered in computer vision and medical applications present symmetries that should be taken into account in classification tasks. A typical example is the symmetry by rotation and/or scaling in object detection. A common way to build neural networks that learn the symmetries is to use data augmentation. In order to avoid data augmentation and build more sustainable algorithms, we present an alternative method to mod out symmetries based on the notion of section of a principal fiber bundle. This framework allows to use simple metrics on the space of objects in order to measure dissimilarities between orbits of objects under the symmetry group. Moreover, the section used can be optimized to maximize separation of classes. We illustrate this methodology on a dataset of contours of objects for the groups of translations, rotations, scalings and reparameterizations. In particular, we present a 2-parameter family of canonical parameterizations of curves, containing the constant-speed parameterization as a special case, which we believe is interesting in its own right. We hope that this simple application will serve to convey the geometric concepts underlying this method, which have a wide range of possible applications. Full article
(This article belongs to the Special Issue Lie Group Machine Learning)
Show Figures

Figure 1

Back to TopTop