Sign in to use this feature.

Years

Between: -

Subjects

remove_circle_outline
remove_circle_outline
remove_circle_outline
remove_circle_outline
remove_circle_outline
remove_circle_outline
remove_circle_outline
remove_circle_outline
remove_circle_outline

Journals

remove_circle_outline
remove_circle_outline
remove_circle_outline
remove_circle_outline
remove_circle_outline
remove_circle_outline
remove_circle_outline
remove_circle_outline
remove_circle_outline
remove_circle_outline
remove_circle_outline
remove_circle_outline
remove_circle_outline

Article Types

Countries / Regions

remove_circle_outline
remove_circle_outline
remove_circle_outline
remove_circle_outline
remove_circle_outline
remove_circle_outline

Search Results (1,117)

Search Parameters:
Keywords = orthogonal control

Order results
Result details
Results per page
Select all
Export citation of selected articles as:
27 pages, 4757 KB  
Article
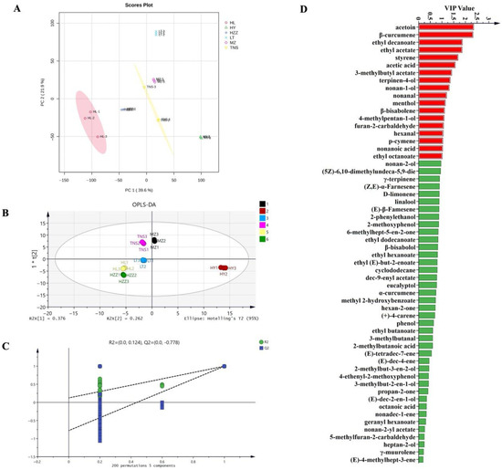
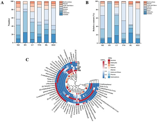
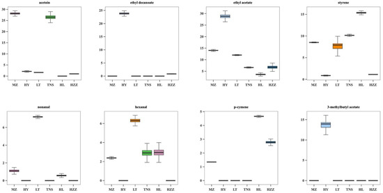
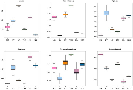
Identification of Key Aroma Substances in Pomegranate from Different Geographical Origins via Integrated Volatile Profiling and Multivariate Statistical Analysis
by Yanzhen Zhang, Wenzhu Guo, Haitao Qu, Lihua Zhang, Lingxiao Liu, Xiaojie Hu and Yunguo Liu
Foods 2025, 14(20), 3546; https://doi.org/10.3390/foods14203546 - 17 Oct 2025
Viewed by 275
Abstract
Pomegranate (Punica granatum L.), valued for its health benefits and distinctive flavor, derives its characteristic aroma from volatile organic compounds (VOCs) that vary significantly with geographical origin. In this study, VOCs in pomegranates from six Chinese geographical regions were characterized using an [...] Read more.
Pomegranate (Punica granatum L.), valued for its health benefits and distinctive flavor, derives its characteristic aroma from volatile organic compounds (VOCs) that vary significantly with geographical origin. In this study, VOCs in pomegranates from six Chinese geographical regions were characterized using an electronic nose (E-nose), an electronic tongue (E-tongue), headspace gas chromatography–ion mobility spectrometry (HS-GC-IMS), and headspace solid-phase microextraction–gas chromatography–mass spectrometry (HS-SPME-GC-MS). To elucidate geographical variations in odor, taste, and volatile profiles, a comprehensive multivariate statistical analysis integrating principal component analysis (PCA), hierarchical cluster analysis, orthogonal partial least squares-discriminant analysis (OPLS-DA), and variable importance in projection (VIP) was employed. The results demonstrated that the E-nose and E-tongue effectively distinguished pomegranate by geographical origin, with aroma contributing more significantly than taste to regional differentiation. A total of 46 and 58 VOCs were identified using HS-GC-IMS and HS-SPME-GC-MS, respectively, with different characteristic volatile compounds in pomegranate from various origins, and alkenes, esters, and alcohols were the primary contributors to regional variations. Notably, OPLS-DA revealed that HS-GC-IMS exhibited superior discriminatory power in separating pomegranates of different geographical origins, with HY and HL displaying closely related odor profiles while the other samples showed the most pronounced odor differences, but these findings contrasted with HS-SPME-GC-MS results. Additionally, the VIP method and the relative odor activity value (ROAV) further identified six and eight key aroma compounds based on HS-GC-IMS and HS-SPME-GC-MS data; in particular, hexanal, nonanal, β-pinene, 3-hydroxybutan-2-one, and β-ocimene were identified as key aroma compounds in pomegranate as potential regional markers. These findings highlight VOC profiles as potential geographical origin markers, supporting origin traceability and quality control in the pomegranate industry. Full article
(This article belongs to the Special Issue Flavor, Palatability, and Consumer Acceptance of Foods)
Show Figures

Figure 1

21 pages, 6790 KB  
Article
Finite-Time Attitude Control of Underactuated Spacecraft with a Hierarchical Sliding Mode Control Approach
by Jianli Wei, Wenhao Lyu, Bo Zhang and Hanqiao Huang
Aerospace 2025, 12(10), 938; https://doi.org/10.3390/aerospace12100938 - 17 Oct 2025
Viewed by 123
Abstract
In this paper, a finite-time three-axis stabilization controller for an underactuated rigid spacecraft is proposed based on well-designed hierarchical terminal sliding mode surfaces to handle the insufficiency of control effort and disturbances. Firstly, the attitude kinematic of an underactuated rigid spacecraft is parameterized [...] Read more.
In this paper, a finite-time three-axis stabilization controller for an underactuated rigid spacecraft is proposed based on well-designed hierarchical terminal sliding mode surfaces to handle the insufficiency of control effort and disturbances. Firstly, the attitude kinematic of an underactuated rigid spacecraft is parameterized by the w-z representation and the dynamic model with only two orthogonal torque inputs are presented. Secondly, based on the terminal sliding mode theory, a three-hierarchized sliding surface is established. A finite-time stable control law is derived by the Filippov equivalence theorem and the principle of sliding mode control. The finite-time stability is proved by the Lyapunov theory. Finally, the high performance of the proposed control approach is verified through numerical simulations and comparisons with state-of-the-art studies. Full article
(This article belongs to the Section Astronautics & Space Science)
Show Figures

Figure 1

23 pages, 3161 KB  
Article
Characterizing Hydraulic Fracture Morphology and Propagation Patterns in Horizontal Well Stimulation via Micro-Seismic Monitoring Analysis
by Longbo Lin, Xiaojun Xiong, Zhiyuan Xu, Xiaohua Yan and Yifan Wang
Symmetry 2025, 17(10), 1732; https://doi.org/10.3390/sym17101732 - 14 Oct 2025
Viewed by 176
Abstract
In horizontal well technology, hydraulic fracturing has been established as an essential technique for enhancing hydrocarbon production. However, the complex architecture of fracture networks challenges conventional monitoring methods. Micro-seismic monitoring, recognized for its superior resolution and sensitivity, enables precise fracture morphology characterization. This [...] Read more.
In horizontal well technology, hydraulic fracturing has been established as an essential technique for enhancing hydrocarbon production. However, the complex architecture of fracture networks challenges conventional monitoring methods. Micro-seismic monitoring, recognized for its superior resolution and sensitivity, enables precise fracture morphology characterization. This study advances diagnostic capabilities through integrated field–laboratory investigations and multi-domain signal processing. Hydraulic fracturing experiments under varied geological conditions generated critical micro-seismic datasets, with quantitative analyses revealing asymmetric propagation patterns (total length 312 ± 15 m, east wing 117 m/west wing 194 m) forming a 13.37 × 104 m3 stimulated reservoir volume. Spatial event distribution exhibited density disparities correlating with geophone offsets (west wing 3.8 events/m vs. east 1.2 events/m at 420–794 m distances). Advanced time–frequency analyses and inversion algorithms differentiated signal characteristics demonstrating logarithmic SNR (Signal-to-Noise Ratio)–magnitude relationships (SNR 0.49–4.82, R2 = 0.87), with near-field events (<500 m) showing 68% reduced magnitude variance compared to far-field counterparts. Coupled numerical simulations confirmed stress field interactions where fracture trajectories deviated 5–15° from principal stress directions due to prior-stage stress shadows. Branch fracture networks identified in Stages 4/7/9/10 with orthogonal/oblique intersections (45–65° dip angles) enhanced stimulation reservoir volume (SRV) by 37–42% versus planar fractures. These geometric parameters—including height (20 ± 3 m), width (44 ± 5 m), spacing, and complexity—were quantitatively linked to micro-seismic response patterns. The developed diagnostic framework provides operational guidelines for optimizing fracture geometry control, demonstrating how heterogeneity-driven signal variations inform stimulation strategy adjustments to improve reservoir recovery and economic returns. Full article
(This article belongs to the Special Issue Feature Papers in Section "Engineering and Materials" 2025)
Show Figures

Figure 1

18 pages, 776 KB  
Article
A Comprehensive Approach to Identifying the Parameters of a Counterflow Heat Exchanger Model Based on Sensitivity Analysis and Regularization Methods
by Salimzhan Tassanbayev, Gulzhan Uskenbayeva, Aliya Shukirova, Korlan Kulniyazova and Igor Slastenov
Processes 2025, 13(10), 3289; https://doi.org/10.3390/pr13103289 - 14 Oct 2025
Viewed by 172
Abstract
The study presents a robust methodology for simultaneous state and parameter estimation in nonlinear thermal systems, demonstrated on a counter-current heat exchanger model operating with nitrogen under industrial conditions. To address challenges of ill-conditioning and parameter correlation, local sensitivity analysis is combined with [...] Read more.
The study presents a robust methodology for simultaneous state and parameter estimation in nonlinear thermal systems, demonstrated on a counter-current heat exchanger model operating with nitrogen under industrial conditions. To address challenges of ill-conditioning and parameter correlation, local sensitivity analysis is combined with regularization through optimal parameter subset selection using orthogonalization and D-optimal experimental design. The Unscented Kalman Filter (UKF) is employed to jointly estimate the augmented state vector in real time, leveraging high-fidelity dynamic simulations generated in Unisim Design with the Peng–Robinson equation of state. The proposed framework achieves high estimation accuracy and numerical stability, even under limited sensor availability and measurement noise. Monte Carlo simulations confirm robustness to ±2.5% uncertainty in initial conditions, while residual autocorrelation analysis validates estimator optimality. The approach provides a practical solution for real-time monitoring and model-based control in industrial heat exchangers and offers a generalizable strategy for building identifiable, noise-resilient models of complex nonlinear systems. Full article
Show Figures

Figure 1

39 pages, 19794 KB  
Article
Cylindrical Coordinate Analytical Solution for Axisymmetric Consolidation of Unsaturated Soils: Dual Bessel–Trigonometric Orthogonal Expansion Approach to Radial–Vertical Composite Seepage Systems
by Yiru Hu and Lei Ouyang
Symmetry 2025, 17(10), 1714; https://doi.org/10.3390/sym17101714 - 13 Oct 2025
Viewed by 195
Abstract
This study develops a novel analytical solution for three-dimensional axisymmetric consolidation of unsaturated soils incorporating radial–vertical composite seepage mechanisms and anisotropic permeability characteristics. A groundbreaking dual orthogonal expansion framework is established, utilizing innovative Bessel–trigonometric function coupling to solve the inherently complex spatiotemporal coupled [...] Read more.
This study develops a novel analytical solution for three-dimensional axisymmetric consolidation of unsaturated soils incorporating radial–vertical composite seepage mechanisms and anisotropic permeability characteristics. A groundbreaking dual orthogonal expansion framework is established, utilizing innovative Bessel–trigonometric function coupling to solve the inherently complex spatiotemporal coupled partial differential equations in cylindrical coordinate systems. The mathematical approach synergistically combines modal expansion theory with Laplace transform methodology, achieving simultaneous spatial expansion of gas–liquid two-phase pressure fields through orthogonal function series, thereby transforming the three-dimensional problem into solvable ordinary differential equations. Rigorous validation demonstrates exceptional accuracy with coefficient of determination R2 exceeding 0.999 and relative errors below 2% compared to numerical simulations, confirming theoretical correctness and practical applicability. The analytical solutions reveal four critical findings with quantitative engineering implications: (1) dual-directional drainage achieves 28% higher pressure dissipation efficiency than unidirectional drainage, providing design optimization criteria for vertical drainage systems; (2) normalized matric suction variation exhibits characteristic three-stage evolution featuring rapid decline, plateau stabilization, and slow recovery phases, while water phase follows bidirectional inverted S-curve patterns, enabling accurate consolidation behavior prediction under varying saturation conditions; (3) gas-water permeability ratio ka/kw spanning 0.1 to 1000 produces two orders of magnitude time compression effect from 10−2 s to 10−4 s, offering parametric design methods for construction sequence control; (4) initial pressure gradient parameters λa and λw demonstrate opposite regulatory mechanisms, where increasing λa retards consolidation while λw promotes the process, providing differentiated treatment strategies for various geological conditions. The unified framework accommodates both uniform and gradient initial pore pressure distributions, delivering theoretical support for refined embankment engineering design and construction control. Full article
(This article belongs to the Section Engineering and Materials)
Show Figures

Figure 1

15 pages, 3554 KB  
Article
Optimizing Amendment Ratios for Sustainable Recovery of Aeolian Sandy Soils in Coal Mining Subsidence Areas: An Orthogonal Experiment on Medicago sativa
by Lijun Hao, Zhenqi Hu, Qi Bian, Xuyang Jiang, Yingjia Cao, Changjiang Li and Ruihao Cui
Sustainability 2025, 17(20), 9010; https://doi.org/10.3390/su17209010 - 11 Oct 2025
Viewed by 201
Abstract
Coal mining in the aeolian sandy regions of western China has caused extensive land degradation. Traditional single-component soil amendments have proven inadequate for ecological restoration, underscoring the need for integrated and sustainable strategies to restore soil fertility and vegetation. A pot experiment using [...] Read more.
Coal mining in the aeolian sandy regions of western China has caused extensive land degradation. Traditional single-component soil amendments have proven inadequate for ecological restoration, underscoring the need for integrated and sustainable strategies to restore soil fertility and vegetation. A pot experiment using alfalfa (Medicago sativa L.) evaluated the effects of weathered coal, cow manure, and potassium polyacrylate combined in a three-factor three-level orthogonal design on plant growth, nutrient uptake, and soil properties. Results showed that compared with the control (C0O0P0), amendment treatments significantly increased alfalfa fresh weight (+47.57~107.38%), dry weight (+43.46~104.93%), plant height (+43.46~104.93%), and stem diameter (+12.62~31.52%), along with improved plant phosphorus and potassium concentrations (+15.41~46.65%). Soil fertility was also notably enhanced, with increases in soil organic matter, total nitrogen (TN), total phosphorus (TP), available nitrogen (AN), available phosphorus (AP), and available potassium (AK) ranging from 4.25% to 777.78%. In contrast, soil pH and bulk density were significantly reduced. The optimal amendment combination was identified as 10 g·kg−1 weathered coal, 5 g·kg−1 cow manure, and 0.6 g·kg−1 potassium polyacrylate. Structural equation modeling revealed that the amendments promoted plant growth both directly by improving soil conditions and indirectly by enhancing nutrient uptake. However, high doses (30 g·kg−1) of weathered coal may inhibit plant growth, and the co-application of high-dose weathered coal or manure with potassium polyacrylate may lead to antagonistic effects. This study provides fundamental insights into soil–plant interactions and proposes a sustainable amendment strategy for improving aeolian sandy soils, which could support future ecological reclamation efforts in coal mining area. Full article
Show Figures

Figure 1

20 pages, 4048 KB  
Article
Prediction and Optimization of Interference Fit Level in Slug Riveted Structure with Deep Learning Enhanced Genetic Algorithm
by Kanghe Yan, Lichao Wan, Nana Hui, Donghe Shan, Yang Zhao and Zhengping Chang
Machines 2025, 13(10), 936; https://doi.org/10.3390/machines13100936 - 10 Oct 2025
Viewed by 253
Abstract
The interference fit connection with slug rivets is widely used in aircraft assembly, and an appropriate interference value is vital for aircraft structural integrity. This study proposed a prediction–optimization framework that a deep neural network (DNN) surrogate was trained on a parametric finite [...] Read more.
The interference fit connection with slug rivets is widely used in aircraft assembly, and an appropriate interference value is vital for aircraft structural integrity. This study proposed a prediction–optimization framework that a deep neural network (DNN) surrogate was trained on a parametric finite element dataset to regress four interference measurements (G1–G4), and the trained DNN was embedded into a genetic algorithm (GA) to search process parameters that meet prescribed target interference. An orthogonal design with range analysis was employed to rank factor importance and provide interpretable trends, while finite element model (FEM) re-runs were used for validation. Compared with support vector regression, random-forest regression, and Bayesian regression, the DNN demonstrated superior fitting accuracy and a more favorable error distribution on held-out data. GA solutions obtained using the DNN surrogate achieved the target interference with a maximum relative deviation of 9.75%, confirming the effectiveness of the proposed workflow for rapid, physics-consistent interference control. The contributions of the study were as follows: (i) an end-to-end, quick-response, reproducible FEM→DNN→GA pipeline for slug-rivet interference; (ii) quantitative factor ranking with mechanistic interpretation; and (iii) minute-scale parameter optimization suitable for engineering deployment. Full article
Show Figures

Figure 1

11 pages, 903 KB  
Article
Preparation and Herbicidal Activity of a Microbial Agent Derived from Alternaria gaisen Strain GD-011
by Suifang Zhang, Haixia Zhu, Huan Li and Yongqiang Ma
Fermentation 2025, 11(10), 582; https://doi.org/10.3390/fermentation11100582 - 10 Oct 2025
Viewed by 389
Abstract
Microbial herbicides, recognized for their target specificity, environmental compatibility, and simple production processes, hold promising potential for sustainable agriculture. This study isolated a strain of Alternaria gaisen (designated GD-011) from infected Medicago sativa L. in Qinghai Province, China, and evaluated its herbicidal potential [...] Read more.
Microbial herbicides, recognized for their target specificity, environmental compatibility, and simple production processes, hold promising potential for sustainable agriculture. This study isolated a strain of Alternaria gaisen (designated GD-011) from infected Medicago sativa L. in Qinghai Province, China, and evaluated its herbicidal potential through systematic development and efficacy assessment. Using single-factor and orthogonal experimental designs, the optimal sporulation substrate was identified as wheat bran, and the fermentation medium was optimized to consist of 14.5 g wheat bran, 19.4 g wheat middlings, 1.5 g rapeseed cake, and 14.6 g corn flour. Based on colony diameter and OD600 measurements, diatomite was selected as the most suitable carrier, while bentonite, humic acid, and polyvinyl alcohol were chosen as the stabilizer, protectant, and dispersant, respectively. Pot trials under controlled conditions demonstrated strong herbicidal activity of GD-011 against three common weed species: Chenopodium album L., Elsholtzia densa Benth., and Galium aparine L. The highest efficacy was observed against C. album, with disease incidence and fresh weight inhibition reaching 80.83% and 79.87%, respectively. Inhibition rates for both E. densa and G. asparine exceeded 60%. A wettable powder formulation developed from GD-011 showed particularly effective control of C. album and E. densa, providing a practical foundation for the application of GD-011 as a novel bioherbicide. Full article
Show Figures

Figure 1

24 pages, 9736 KB  
Article
Experimental Study on Bidirectional Bending Performance of Steel-Ribbed Composite Slabs for Electrical Substations
by Lin Li, Zhenzhong Wei, Yong Liu, Yunan Jiang, Haomiao Chen, Yu Zhang, Kaifa Zhang, Kunjie Rong and Li Tian
Buildings 2025, 15(19), 3540; https://doi.org/10.3390/buildings15193540 - 1 Oct 2025
Viewed by 206
Abstract
This study investigates the bidirectional bending performance of double- and triple-spliced steel-ribbed composite slabs for substation applications. Full-scale experiments and numerical parametric analyses were conducted to evaluate ultimate load, ductility, stiffness, failure modes, and load-transfer mechanisms. Results indicate that double-spliced slabs exhibit better [...] Read more.
This study investigates the bidirectional bending performance of double- and triple-spliced steel-ribbed composite slabs for substation applications. Full-scale experiments and numerical parametric analyses were conducted to evaluate ultimate load, ductility, stiffness, failure modes, and load-transfer mechanisms. Results indicate that double-spliced slabs exhibit better performance than triple-spliced slabs, showing a 24.5% higher ultimate load and 65.3% greater ductility, with well-developed orthogonal cracks and yielding of both longitudinal prestressing steel and transverse reinforcement. Triple-spliced slabs display partial bidirectional behavior due to reduced transverse integrity, with stresses in edge slabs concentrated at the corners. Compared with monolithic slabs, spliced slabs show nearly identical stiffness at cracking onset but progressively reduced stiffness, load capacity, and ductility in the mid-to-late loading stages. Joint-crossing reinforcement is critical for transverse load transfer, and increasing its diameter is more effective than increasing its strength in preventing premature joint-controlled failure. These findings provide significant theoretical guidance and technical support for the prefabricated construction of high-voltage substation floor systems. Full article
(This article belongs to the Section Building Structures)
Show Figures

Figure 1

19 pages, 1415 KB  
Article
An Energy Saving MTPA-Based Model Predictive Control Strategy for PMSM in Electric Vehicles Under Variable Load Conditions
by Lihua Gao, Xiaodong Lv, Kai Ma and Zhihan Shi
Computation 2025, 13(10), 231; https://doi.org/10.3390/computation13100231 - 1 Oct 2025
Viewed by 209
Abstract
To promote energy efficiency and support sustainable electric transportation, this study addresses the challenge of real-time and energy-optimal control of permanent magnet synchronous motors (PMSMs) in electric vehicles operating under variable load conditions, proposing a novel Laguerre-based model predictive control (MPC) strategy integrated [...] Read more.
To promote energy efficiency and support sustainable electric transportation, this study addresses the challenge of real-time and energy-optimal control of permanent magnet synchronous motors (PMSMs) in electric vehicles operating under variable load conditions, proposing a novel Laguerre-based model predictive control (MPC) strategy integrated with maximum torque per ampere (MTPA) operation. Traditional MPC methods often suffer from limited prediction horizons and high computational burden when handling strong coupling and time-varying loads, compromising real-time performance. To overcome these limitations, a Laguerre function approximation is employed to model the dynamic evolution of control increments using a set of orthogonal basis functions, effectively reducing the control dimensionality while accelerating convergence. Furthermore, to enhance energy efficiency, the MTPA strategy is embedded by reformulating the current allocation process using d- and q-axis current variables and deriving equivalent reference currents to simplify the optimization structure. A cost function is designed to simultaneously ensure current accuracy and achieve maximum torque per unit current. Simulation results under typical electric vehicle conditions demonstrate that the proposed Laguerre-MTPA MPC controller significantly improves steady-state performance, reduces energy consumption, and ensures faster response to load disturbances compared to traditional MTPA-based control schemes. This work provides a practical and scalable control framework for energy-saving applications in sustainable electric transportation systems. Full article
(This article belongs to the Special Issue Nonlinear System Modelling and Control)
Show Figures

Figure 1

25 pages, 6196 KB  
Article
Experimental Study and Engineering Application of Concrete-Encased Reinforcement for Mine Pillars
by Fuhua Peng and Weijun Wang
Appl. Sci. 2025, 15(19), 10615; https://doi.org/10.3390/app151910615 - 30 Sep 2025
Viewed by 274
Abstract
The stability of the mine pillar is a key issue related to the safe mining underground. Reinforcing the mine pillar is an important method to improve its stability. To reveal the reinforcement effect and mechanism of concrete-encased mine pillars, laboratory tests and field [...] Read more.
The stability of the mine pillar is a key issue related to the safe mining underground. Reinforcing the mine pillar is an important method to improve its stability. To reveal the reinforcement effect and mechanism of concrete-encased mine pillars, laboratory tests and field engineering application studies were conducted. Four groups of tests were carried out considering different sample sizes, rock strengths, encasing material strengths, and encasing layer thicknesses. The results demonstrated that mortar-encased rock specimens exhibited significant improvements in peak stress and axial peak strain. The reinforcement effectiveness was inversely proportional to the specimen’s height-to-diameter ratio and rock strength, while directly proportional to the wrapping material strength and layer thickness. Orthogonal range analysis revealed the sensitivity ranking of influencing factors as follows: encasing thickness > specimen height-to-diameter ratio > encasing material strength > rock strength. After encasing, the failure mode transitioned from integral failure to fragmented failure, with encased specimens demonstrating enhanced energy absorption capacity and bearing capacity. Increasing encasing strength and thickness induced a tendency towards plastic deformation failure. The encased rock-specimen system can be regarded as a parallel composite structure of rock and mortar layer. This configuration not only increases the bearing capacity of the mortar layer but also significantly enhances the rock’s intrinsic bearing capacity through confining pressure provided by the encasing material, which grows substantially with improvements in encasing material strength and thickness. Field applications in mines demonstrated that concrete-encased reinforcement of key area pillars can effectively control overall ground pressure in mining operations. The research results of this paper indicated that the reinforcement of mine pillars by concrete wrapping can enhance the stability of mine pillars and provide a new idea for improving the safety of mines. Full article
Show Figures

Figure 1

21 pages, 3952 KB  
Article
Multi-Objective Optimization Study on Capture Performance of Diesel Particulate Filter Based on the GRA-MLR-WOA Hybrid Method
by Muxin Nian, Rui Dong, Weihuang Zhong, Yunhua Zhang and Diming Lou
Sustainability 2025, 17(19), 8777; https://doi.org/10.3390/su17198777 - 30 Sep 2025
Viewed by 310
Abstract
The diesel particulate filter (DPF) is among the most effective measures for controlling particulate emissions from diesel vehicles. Therefore, resource-efficient DPF design and operation are critical to sustainable deployment. In practical engineering, the pursuit of high filtration efficiency inevitably leads to excessively high [...] Read more.
The diesel particulate filter (DPF) is among the most effective measures for controlling particulate emissions from diesel vehicles. Therefore, resource-efficient DPF design and operation are critical to sustainable deployment. In practical engineering, the pursuit of high filtration efficiency inevitably leads to excessively high pressure drop, which in turn impairs the fuel economy and operational reliability of the engine. To address this pair of conflicting objectives, this study introduces a hybrid GRA-MLR-WOA approach, with the initial filtration efficiency and pressure drop at an 80 g soot capture amount as the optimization objectives, to optimize the structural parameters of the DPF. Firstly, based on a computational fluid dynamics (CFD) model and orthogonal experimental design, combined with grey relational analysis (GRA), the effects of key structural parameters on filtration efficiency and pressure drop were evaluated. Secondly, Box–Behnken Design (BBD) was integrated with multiple linear regression (MLR) to establish mathematical regression models describing the relationships between structural parameters, filtration efficiency, and pressure drop. Finally, the whale optimization algorithm (WOA) was employed to obtain the Pareto frontier of the regression models. Through screening with the goal of maximizing initial filtration efficiency, the optimized DPF achieved a 46.85% increase in initial filtration efficiency and a 34.88% reduction in pressure drop compared to the original model. This study targets sustainable filtration design and proposes an optimization framework that jointly optimizes pressure drop and the initial filtration efficiency. The results provide a robust empirical basis for engineering practice and demonstrate strong reproducibility. Full article
Show Figures

Figure 1

24 pages, 6146 KB  
Article
Research on Capacity Prediction and Interpretability of Dense Gas Pressure Based on Ensemble Learning
by Xuanyu Liu, Zhiwei Yu, Chao Zhou, Yu Wang and Yujie Bai
Processes 2025, 13(10), 3132; https://doi.org/10.3390/pr13103132 - 29 Sep 2025
Viewed by 383
Abstract
Data-driven modeling methods have been preliminarily applied in the development of tight-gas reservoirs, demonstrating unique advantages in post-fracturing productivity prediction. However, most of the established predictive models are “black-box” models, which provide productivity predictions based on a set of input parameters without revealing [...] Read more.
Data-driven modeling methods have been preliminarily applied in the development of tight-gas reservoirs, demonstrating unique advantages in post-fracturing productivity prediction. However, most of the established predictive models are “black-box” models, which provide productivity predictions based on a set of input parameters without revealing the internal prediction mechanisms. This lack of transparency reduces the credibility and practical utility of such models. To address the challenges of poor performance and low trustworthiness of “black-box” machine learning models, this study explores a data-driven approach to “black-box” predictive modeling by integrating ensemble learning with interpretability methods. The results indicate the following: The post-fracturing productivity prediction model for tight-gas reservoirs developed in this study, based on ensemble learning, achieves a goodness of fit of 0.923, representing a 26.09% improvement compared to the best-performing individual machine learning model. The stacking ensemble model predicts post-fracturing productivity for horizontal wells more accurately and effectively mitigates the prediction biases of individual machine learning models. An interpretability method for the “black-box” ensemble learning-based productivity prediction model was established, revealing the ranked importance of factors influencing post-fracturing productivity: reservoir properties, controllable operational parameters, and rock mechanics. This ranking aligns with the results of orthogonal experiments from mechanism-driven numerical models, providing mutual validation and enhancing the credibility of the ensemble learning-based productivity prediction model. In conclusion, this study integrates mechanistic numerical models and data-driven models to explore the influence of various factors on post-fracturing productivity. The cross-validation of results from both approaches underscores the reliability of the findings, offering theoretical and methodological support for the design of fracturing schemes and the iterative advancement of fracturing technologies in tight-gas reservoirs. Full article
(This article belongs to the Topic Enhanced Oil Recovery Technologies, 4th Edition)
Show Figures

Figure 1

20 pages, 12556 KB  
Article
Volatile Fingerprinting and Regional Differentiation of Safflower (Carthamus tinctorius L.) Using GC–IMS Combined with OPLS-DA
by Jiaqi Liu, Hao Duan, Li Wang, Rui Qin, Jiao Liu, Hong Liu, Shuyuan Bao and Wenjie Yan
Foods 2025, 14(19), 3381; https://doi.org/10.3390/foods14193381 - 29 Sep 2025
Viewed by 428
Abstract
This study aimed to systematically characterize the volatile organic compound (VOC) profiles of safflower (Carthamus tinctorius L.) from eight major production regions, providing a scientific basis for quality evaluation and geographical traceability. VOC profiling was conducted using gas chromatography–ion mobility spectrometry (GC–IMS), [...] Read more.
This study aimed to systematically characterize the volatile organic compound (VOC) profiles of safflower (Carthamus tinctorius L.) from eight major production regions, providing a scientific basis for quality evaluation and geographical traceability. VOC profiling was conducted using gas chromatography–ion mobility spectrometry (GC–IMS), and regional differences were assessed through multivariate statistical analyses, including Principal Component Analysis (PCA), Orthogonal Partial Least Squares Discriminant Analysis (OPLS–DA), Euclidean distance, and hierarchical clustering. Key differential compounds were identified by variable importance in projection (VIP) and relative odor activity value (ROAV) analyses, with aldehydes and esters emerging as the primary contributors to the discrimination of samples across regions. VOC fingerprints of safflower were further established, and a combined VIP–ROAV strategy was proposed for the screening of characteristic compounds. These findings provide a reliable reference for safflower quality control and offer practical guidance for its geographical authentication in the food industry. Full article
Show Figures

Figure 1

19 pages, 2345 KB  
Article
Study on Main Controlling Factors of CO2 Enhanced Gas Recovery and Geological Storage in Tight Gas Reservoirs
by Lili Liu, Jinbu Li, Pengcheng Liu, Zepeng Yang, Bin Fu and Xinwei Liao
Processes 2025, 13(10), 3097; https://doi.org/10.3390/pr13103097 - 27 Sep 2025
Viewed by 329
Abstract
Tight gas reservoirs, as important unconventional natural gas resources, face low recovery rates due to low porosity, low permeability, and strong heterogeneity. CO2 Storage with Enhanced Gas Recovery (CSEGR) technology combines CO2 geological storage with natural gas development, providing both economic [...] Read more.
Tight gas reservoirs, as important unconventional natural gas resources, face low recovery rates due to low porosity, low permeability, and strong heterogeneity. CO2 Storage with Enhanced Gas Recovery (CSEGR) technology combines CO2 geological storage with natural gas development, providing both economic and environmental benefits. However, the main controlling factors and influence mechanisms remain unclear. This study utilized the PR-EOS to investigate CH4, CO2, and natural gas physical properties, established a numerical simulation model considering CO2 dissolution and geochemical reactions, and explored the influence of injection scheme, injection rate, production rate, and shut-in condition on CO2 enhanced recovery and storage effectiveness through orthogonal design. Results show that CO2 exhibits significant differences in compressibility factor, density, and viscosity compared to natural gas, enabling piston-like displacement. Intermittent injection slightly outperforms continuous injection in recovery enhancement, while continuous injection provides greater CO2 storage capacity. The ranking of the significance of different influencing factors for enhanced oil recovery is as follows: injection rate > production rate > injection scheme > shut-in condition. For the effect of geological storage of CO2, it is as follows: injection rate > injection scheme > production rate > shut-in condition. During gas injection, supercritical, ionic, and dissolved CO2 continuously increase while mineral CO2 decreases, with storage mechanisms dominated by structural and residual trapping. The study provides scientific basis for optimizing CO2 flooding strategies in tight gas reservoirs. Full article
(This article belongs to the Section Energy Systems)
Show Figures

Figure 1

Back to TopTop