Cylindrical Coordinate Analytical Solution for Axisymmetric Consolidation of Unsaturated Soils: Dual Bessel–Trigonometric Orthogonal Expansion Approach to Radial–Vertical Composite Seepage Systems
Abstract
1. Introduction
2. Mathematical Solution for Axisymmetric Consolidation Response to Uniform Loading
2.1. Fundamental Hypotheses
2.2. Mathematical Formulation of Cylindrical Consolidation
2.3. Temporal and Spatial Constraints
2.4. Theoretical Formulation Procedure
- (a)
 - One-way drainage conditions:
 
- (b)
 - Two-way drainage conditions:
 
2.5. Average Degree of Consolidation and Settlement Calculation
2.6. Analytical Solution Verification
3. Consolidation Response Investigation Under Varying Initial Pore Pressure Distribution Conditions
3.1. Initial Uniform Pore Pressure Arrangement
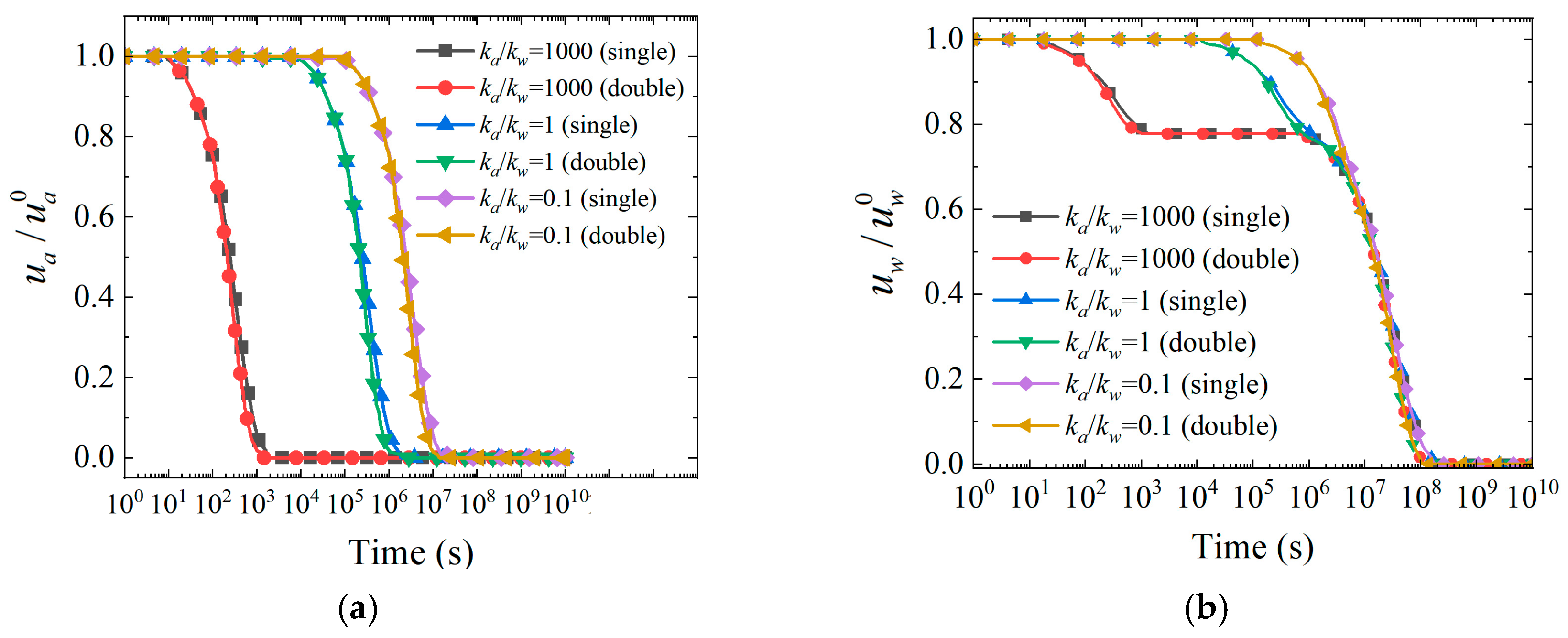
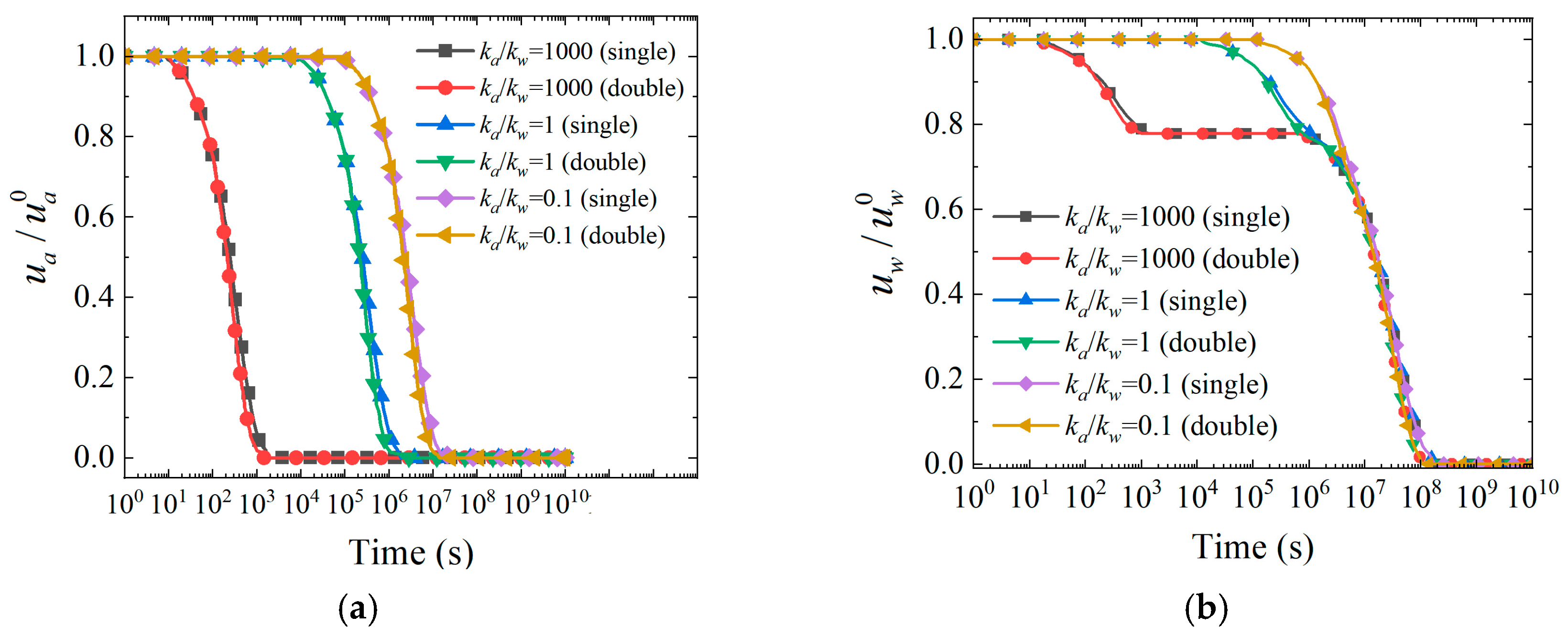
3.1.1. Influence Regarding ka/kw Toward and and Consolidation Properties
3.1.2. Analysis of Spatio-Temporal Evolution of and Under One-Way and Two-Way Drainage Conditions
3.1.3. Comparison of Radial Pore Pressure Distribution Properties Under One-Way and Two-Way Drainage Conditions
3.2. Linear Initial Pore Pressure Arrangement
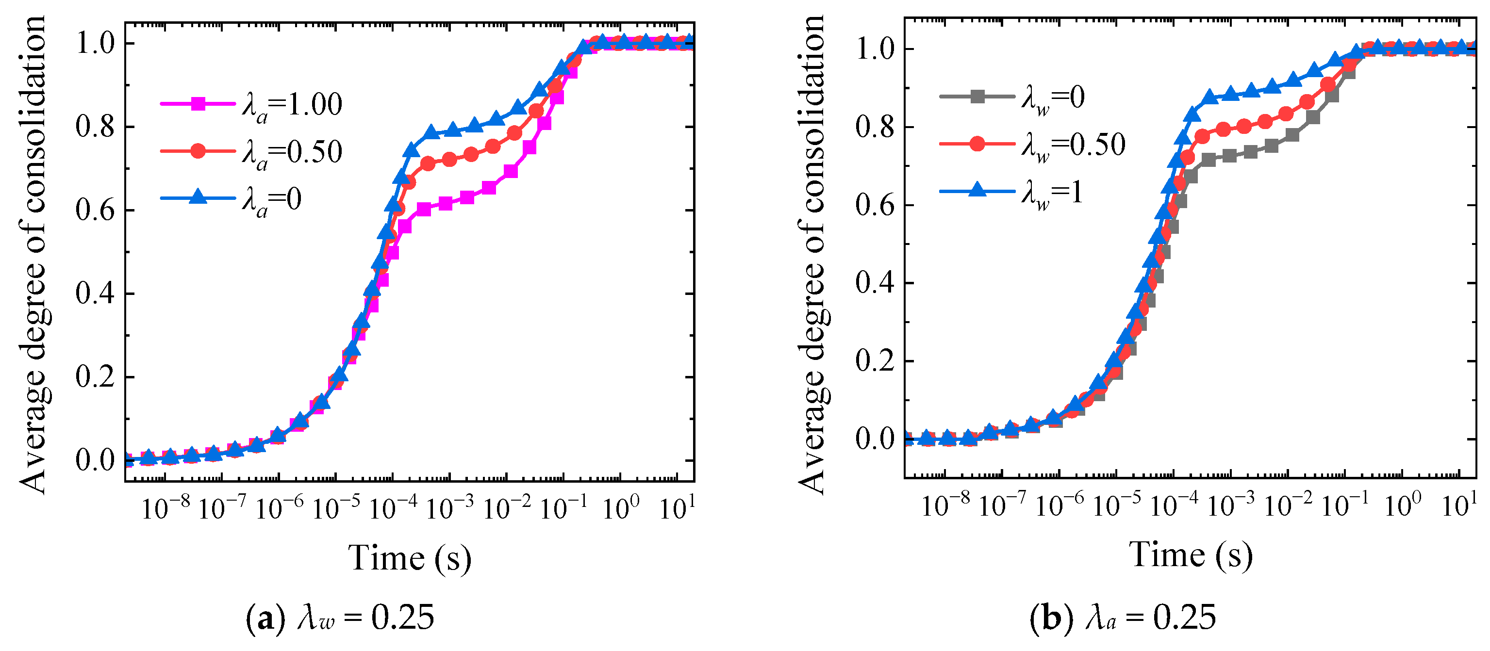
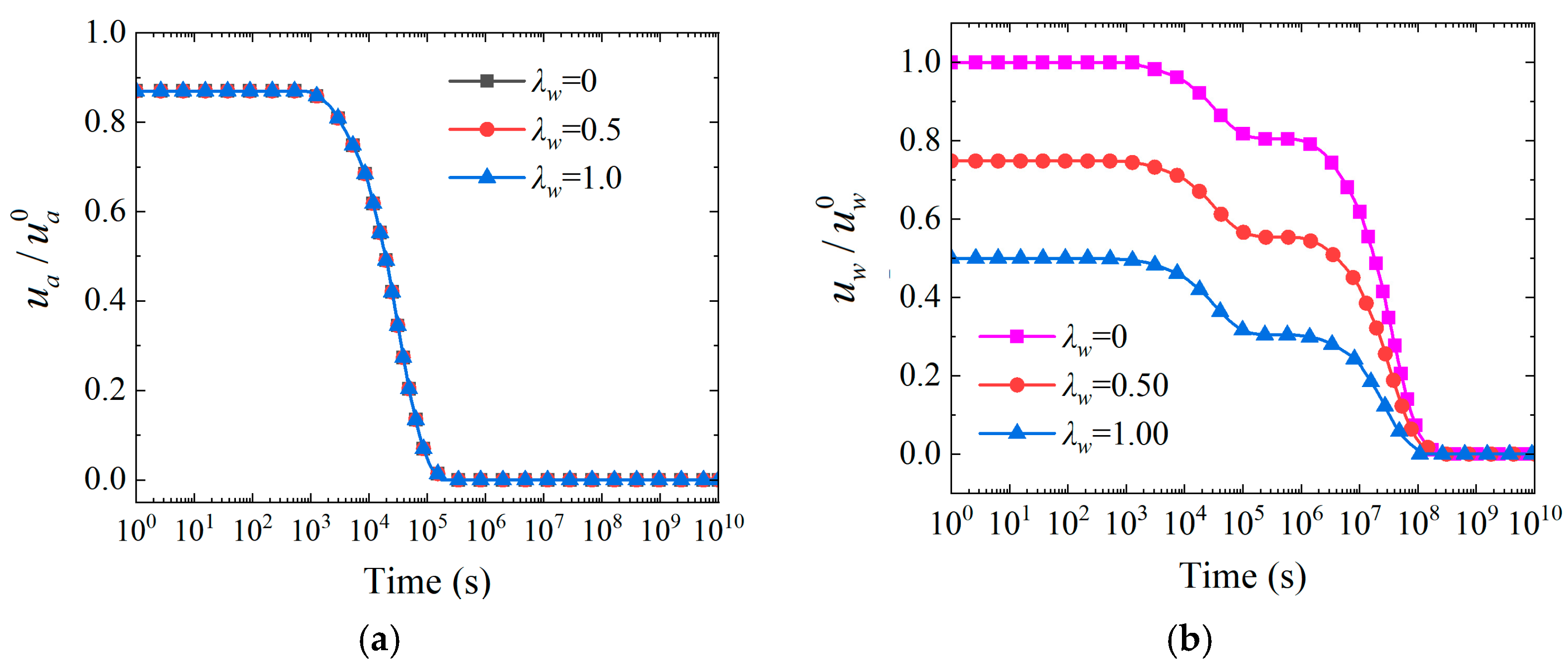
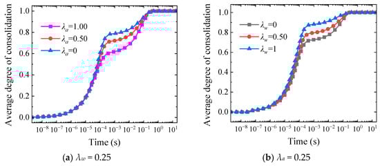
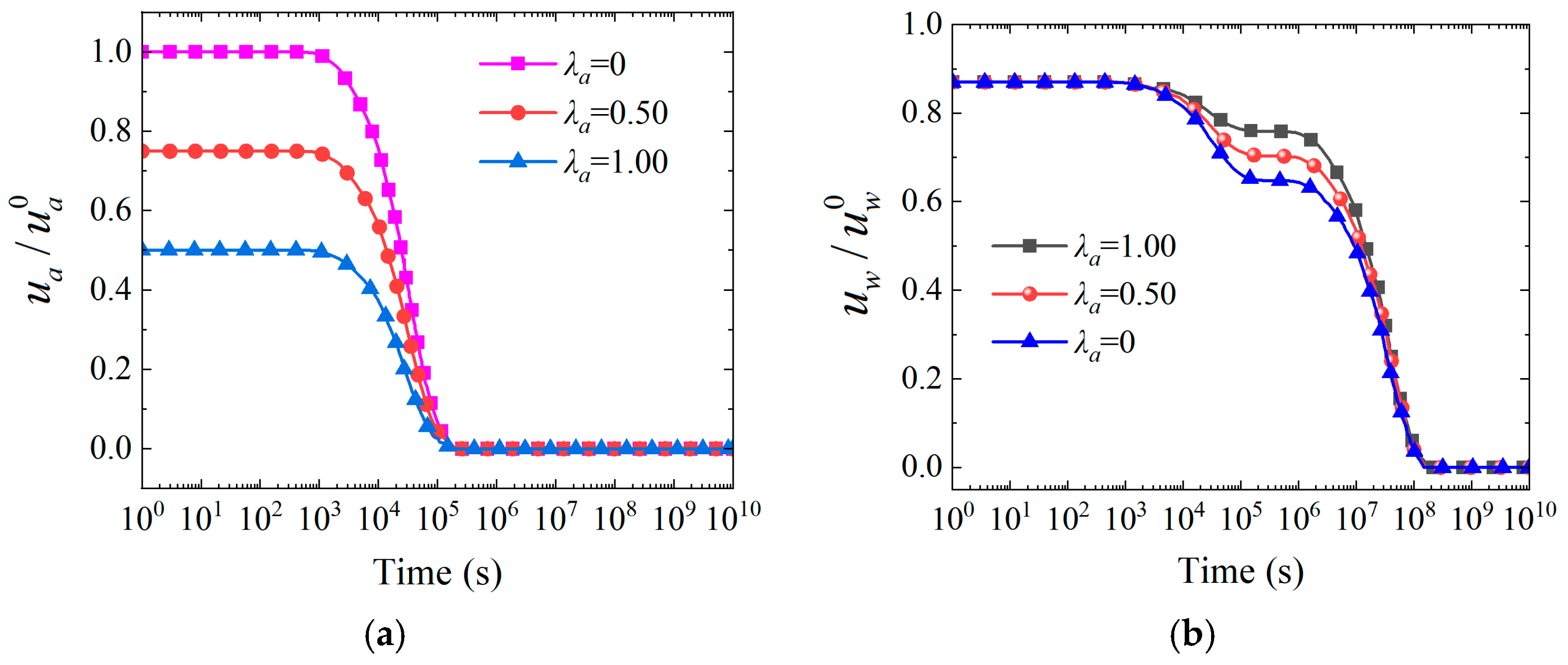
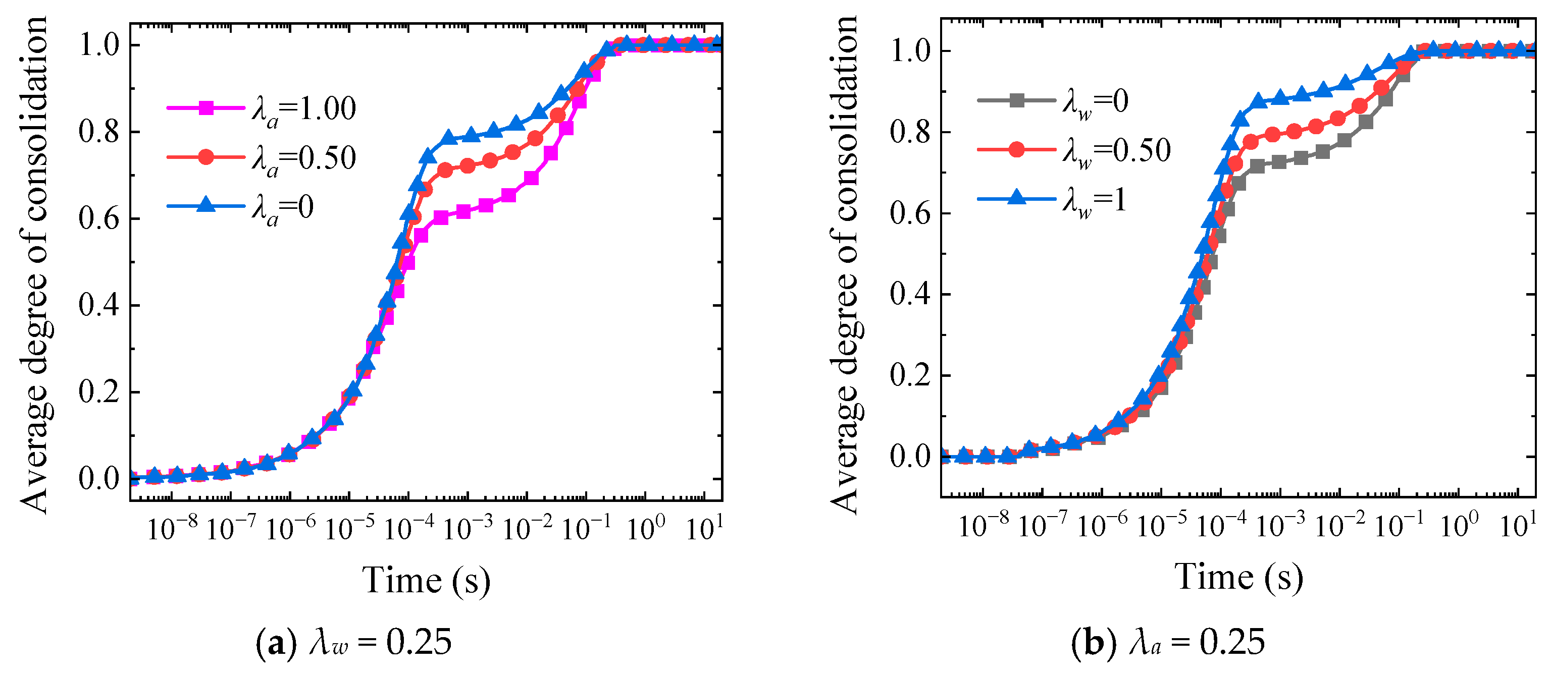
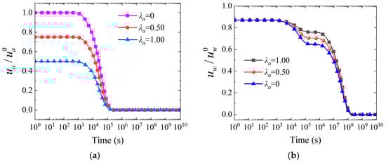
3.2.1. Evaluation of λa and λw Effects on and Variation Pattern and Consolidation Properties
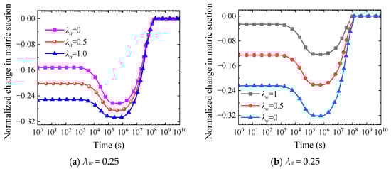
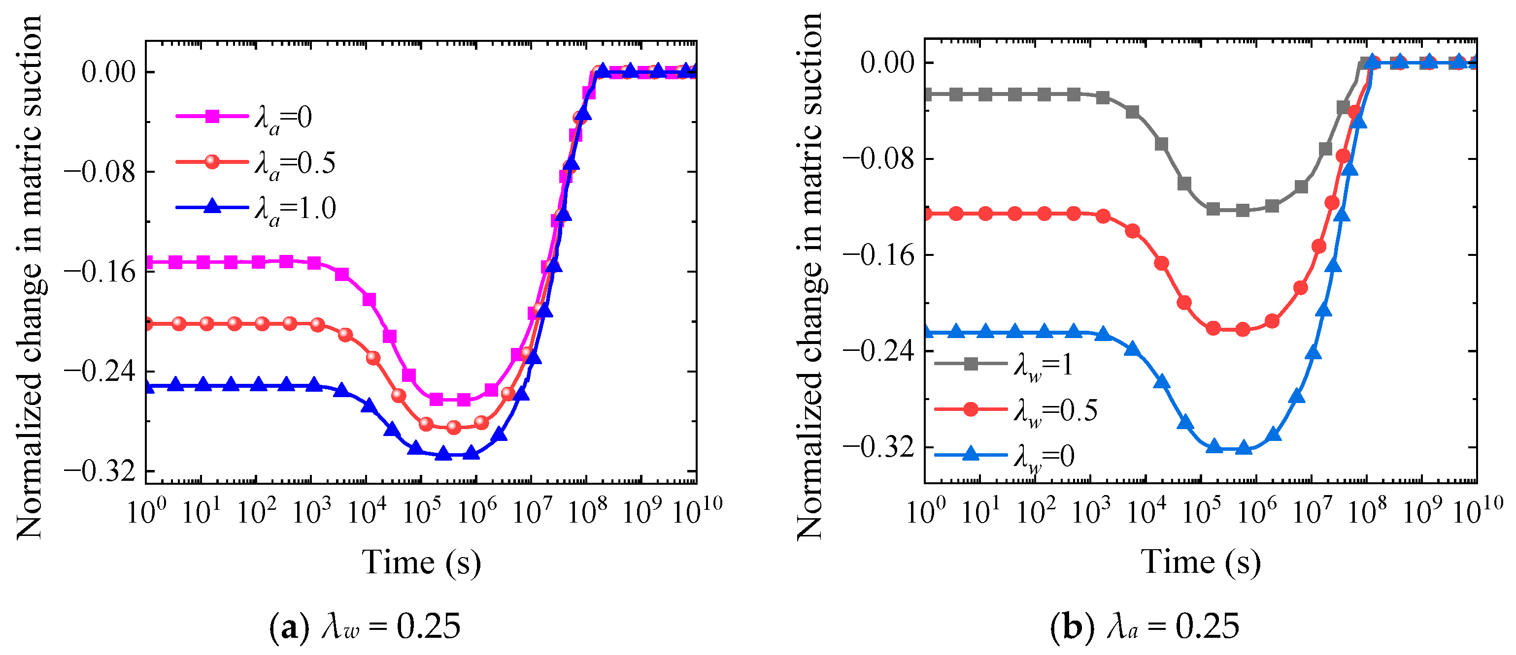
3.2.2. Analysis of the Effects of λa and λw on Normalized Matric Suction Variation
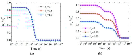
3.2.3. Analysis of Spatial-Temporal Development of and Under One-Way and Two-Way Drainage Conditions
4. Conclusions
- (1)
 - The proposed hybrid solution technique combining modal expansion theory and Laplace transform establishes a three-dimensional consolidation analytical solution that considers radial–vertical composite seepage mechanisms and anisotropic permeability characteristics. This breakthrough overcomes the limitations of traditional one-dimensional or purely radial theories, with the coefficient of determination between analytical solutions and numerical simulations exceeding 0.999 and relative errors controlled within 2%, significantly improving the accuracy of embankment settlement predictions, thereby confirming the theoretical correctness and practical applicability of this analytical solution for geotechnical engineering applications.
 - (2)
 - The study reveals that pressure dissipation efficiency under two-way drainage conditions improves by approximately 28% compared to one-way drainage. This finding provides quantitative design criteria for optimizing vertical drainage systems such as sand drains, enabling dual radial–vertical dissipation mechanisms that effectively eliminate deep pressure retention phenomena and shorten preloading treatment periods.
 - (3)
 - The theoretical framework reveals the characteristic three-stage evolution pattern of normalized matric suction variation featuring rapid decline, plateau stabilization, and slow recovery phases, along with the bidirectional inverted S-curve characteristics of water phase pressure, enabling accurate prediction of consolidation behavior in unsaturated embankment soils under different moisture conditions.
 - (4)
 - When the permeability coefficient ratio ka/kw increases from 0.1 to 1000, consolidation initiation time compresses from 10−2 s to 10−4 s, exhibiting approximately two orders of magnitude time compression effect, providing a parametric design method for construction sequence control and construction period optimization.
 - (5)
 - The established analytical framework applies to both uniform and gradient distribution initial pore pressure conditions. The initial pressure gradient parameters λa and λw exhibit opposite regulatory mechanisms on the consolidation process, with increasing λa producing a retarding effect on consolidation while increasing λw significantly promotes the consolidation process, providing differentiated treatment strategies for embankment soils under various geological conditions and achieving theoretical support for refined design and construction control in embankment engineering.
 
Author Contributions
Funding
Data Availability Statement
Acknowledgments
Conflicts of Interest
Nomenclature
| Symbol | Definition | Unit | 
| ua | Excess pore air pressure | kPa | 
| uw | Excess pore water pressure | kPa | 
| r | Radial coordinate | m | 
| z | Vertical coordinate (depth) | m | 
| t | Time variable | s | 
| Ca | Volumetric compressibility coefficient for gas phase | kPa−1 | 
| Cw | Volumetric compressibility coefficient for water phase | kPa−1 | 
| Consolidation coefficient for gas phase in radial direction | m2/s | |
| Consolidation coefficient for gas phase in vertical direction | m2/s | |
| Consolidation coefficient for water phase in radial direction | m2/s | |
| Consolidation coefficient for water phase in vertical direction | m2/s | |
| Flow conductivity coefficient for gas phase in radial direction | m/s | |
| Flow conductivity coefficient for gas phase in vertical direction | m/s | |
| Coefficient of volume change of soil element with respect to net stress variation | kPa−1 | |
| Coefficient of volume change of soil element with respect to matric suction variation | kPa−1 | |
| R | Universal gas constant | J/(mol·K) | 
| Θ | Thermodynamic absolute temperature | K | 
| g | Gravitational acceleration | m/s2 | 
| M | Molar mass of gas | kg/mol | 
| Volumetric response factors of pore gas to effective stress variation | kPa−1 | |
| Volumetric response factors of pore gas to matric potential variation | kPa−1 | |
| Initial excess pore air pressure | kPa | |
| Initial excess pore water pressure | kPa | |
| Standard atmospheric pressure condition | kPa | |
| n | Void ratio | - | 
| Sr | Degree of saturation | - | 
| Flow conductivity coefficient for water phase in radial direction | m/s | |
| Flow conductivity factor of aqueous medium in vertical direction | m/s | |
| γw | Specific weight of the aqueous medium | kN/m3 | 
| r1 | Inner radius (permeable boundary) | m | 
| r2 | Outer radius (impermeable boundary) | m | 
| H | Thickness of soil layer | m | 
| distribution | - | |
| distribution | - | |
| Radial orthogonal basis function (Bessel function) | - | |
| Vertical orthogonal basis function (trigonometric function) | - | |
| J0 | Zero-order Bessel function of the first kind | - | 
| J1 | First-order Bessel function of the first kind | - | 
| Total volume change at time t | m3 | |
| Total volumetric strain | - | |
| S(t) | Consolidation settlement at time t | m | 
| Constant uniformly distributed load | kPa | |
| Maximum settlement | m | |
| Average degree of consolidation | - | 
Appendix A. Partial Derivative Derivations
Appendix B. Laplace Transform Solution Process
Appendix C. Initial Coefficient Calculations
References
- Biot, M.A. General theory of three-dimensional consolidation. J. Appl. Phys. 1941, 12, 155–164. [Google Scholar] [CrossRef]
 - Moradi, M.; Keshavarz, A.; Fazeli, A. One dimensional consolidation of multi-layered unsaturated soil under partially permeable boundary conditions and time-dependent loading. Comput. Geotech. 2019, 107, 45–54. [Google Scholar] [CrossRef]
 - Dakshanamurthy, V.; Fredlund, D. Moisture and air flow in an unsaturated soil. In Proceedings of the 4th International Conference on Expansive Soils, ASCE, Denver, CO, USA, 16–18 June 1980; pp. 514–532. [Google Scholar]
 - Dakshanamurthy, V.; Fredlund, D. A mathematical model for predicting moisture flow in an unsaturated soil under hydraulic and temperature gradients. Water Resour. Res. 1981, 17, 714–722. [Google Scholar] [CrossRef]
 - Dakshanamurthy, V.; Fredlund, D.G.; Rahardjo, H. Coupled three-dimensional consolidation theory of unsaturated porous media. In Proceedings of the 5th International Conference on Expansive Soils, Adelaide, Australia, 21–23 May 1984; pp. 99–103. [Google Scholar]
 - Loret, B.; Khalili, N. A three-phase model for unsaturated soils. Int. J. Numer. Anal. Methods Geomech. 2000, 24, 893–927. [Google Scholar] [CrossRef]
 - Conte, E. Consolidation analysis for unsaturated soils. Can. Geotech. J. 2004, 41, 599–612. [Google Scholar] [CrossRef]
 - Sun, D.A.; Matsuoka, H.; Yao, Y.P.; Ichihara, W. An elasto-plastic model for unsaturated soil in three-dimensional stresses. Soils Found. 2000, 40, 17–28. [Google Scholar] [CrossRef]
 - Sun, D.A.; Cui, H.B.; Matsuoka, H.; Sheng, D. A three-dimensional elastoplastic model for unsaturated compacted soils with hydraulic hysteresis. Soils Found. 2007, 47, 253–264. [Google Scholar] [CrossRef]
 - Niu, L.; Yao, P.; Cui, W.J.; Wan, Z. Three-dimensional method for constitutive relationship of overconsolidation unsaturated soil. Rock Soil Mech. 2011, 32, 2341–2345. [Google Scholar]
 - Nakai, T.; Shahin, H.M.; Kikumoto, M.; Kyokawa, H.; Zhang, F.; Farias, M.M. A simple and unified three-dimensional model to describe various characteristics of soils. Soils Found. 2011, 51, 1149–1168. [Google Scholar] [CrossRef]
 - Lu, C.Y.; Zhu, S. Analysis of three-dimensional consolidation of unsaturated soils. Iran. J. Sci. Technol. Trans. Civ. Eng. 2014, 38, 485–496. [Google Scholar]
 - Huang, M.; Lv, C.; Zhou, Z. A general analytical solution for axisymmetric consolidation of unsaturated soil with impeded drainage boundaries. Geofluids 2021, 2021, 4610882. [Google Scholar] [CrossRef]
 - Ho, L.; Fatahi, B. Analytical solution to axisymmetric consolidation of unsaturated soil stratum under equal strain condition incorporating smear effects. Int. J. Numer. Anal. Methods Geomech. 2018, 42, 1890–1913. [Google Scholar] [CrossRef]
 - Ho, L.; Fatahi, B.; Khabbaz, H. Analytical solution to axisymmetric consolidation in unsaturated soils with linearly depth-dependent initial conditions. Comput. Geotech. 2016, 74, 102–121. [Google Scholar] [CrossRef]
 - Ho, L.; Fatahi, B.; Khabbaz, H. A closed form analytical solution for two-dimensional plane strain consolidation of unsaturated soil stratum. Int. J. Numer. Anal. Methods Geomech. 2015, 39, 1665–1692. [Google Scholar] [CrossRef]
 - Zhao, X.; Ni, J.; Liu, Y.; Gong, W. A general analytical solution for axisymmetric electro-osmotic consolidation of unsaturated soil with semi-permeable boundary. Int. J. Numer. Anal. Methods Geomech. 2024, 48, 2542–2563. [Google Scholar] [CrossRef]
 - Shen, L.; Qian, B.; Li, L. Axisymmetric consolidation behavior of multilayered unsaturated soils with transversely isotropic permeability. Front. Earth Sci. 2024, 12, 1483314. [Google Scholar] [CrossRef]
 - Yuan, Q.; He, Q.; Tang, H.; Lang, L. Three-dimensional consolidation characteristics of unsaturated soil under the depth- and time-dependent stresses. Geotech. Geol. Eng. 2024, 42, 4934856. [Google Scholar]
 - Qin, A.F.; Jiang, L.H.; Xu, W.F.; Mei, G.X. Analytical solution to consolidation of unsaturated soil by vertical drains with continuous permeable boundary. Rock Soil Mech. 2021, 42, 1345–1354. [Google Scholar]
 - Nguyen, H.N.; Canh, T.N.; Thanh, T.T.; Van Ke, T.; Phan, V.-D.; Van Thom, D. Finite element modelling of a composite shell with shear connectors. Symmetry 2019, 11, 527. [Google Scholar] [CrossRef]
 - Tho, N.C.; Ta, N.T.; Thom, D.V. New numerical results from simulations of beams and space frame systems with a tuned mass damper. Materials 2019, 12, 1329. [Google Scholar] [CrossRef]
 - Pham, T.D.; Pham, Q.H.; Phan, V.D.; Nguyen, H.N.; Do, V.T. Free vibration analysis of functionally graded shells using an edge-based smoothed finite element method. Symmetry 2019, 11, 684. [Google Scholar] [CrossRef]
 - Sheng, D.; Gens, A.; Fredlund, D.G.; Sloan, S.W. Unsaturated soils: From constitutive modelling to numerical algorithms. Comput. Geotech. 2008, 35, 810–824. [Google Scholar] [CrossRef]
 - Riad, B.; Zhang, X. Consistent Three-Dimensional Elasto-Plastic Model to Study Unsaturated Soil Behavior with Considerations of Coupled Hydro-Mechanical Hysteresis. Transp. Res. Rec. 2021, 2675, 346–369. [Google Scholar] [CrossRef]
 - Wang, L.; Zhang, X.; Lei, Q.; Panayides, S.; Tinti, S. A three-dimensional particle finite element model for simulating soil flow with elastoplasticity. Acta Geotech. 2022, 17, 5639–5653. [Google Scholar] [CrossRef]
 - Chen, Z.; Ni, P.; Zhu, X.; Chen, D.; Mei, G. Consolidation of unsaturated soil by vertical drain considering smear and well resistance. Geosynth. Int. 2022, 29, 270–281. [Google Scholar] [CrossRef]
 - Zhou, F.; Chen, Z.; Wang, X. An equal-strain analytical solution for the radial consolidation of unsaturated soils by vertical drains considering drain resistance. Adv. Civ. Eng. 2018, 2018, 5069159. [Google Scholar] [CrossRef]
 - Terzaghi, K. Theoretical Soil Mechanics; John Wiley & Sons: New York, NY, USA, 1943. [Google Scholar]
 - Lambe, T.W.; Whitman, R.V. Soil Mechanics SI Version; John Wiley & Sons: New York, NY, USA, 2008. [Google Scholar]
 - Fredlund, D.G.; Rahardjo, H. Soil Mechanics for Unsaturated Soils; John Wiley & Sons: New York, NY, USA, 1993. [Google Scholar]
 - Bear, J.; Bachmat, Y. Introduction to Modeling of Transport Phenomena in Porous Media; Springer: Berlin/Heidelberg, Germany, 2012. [Google Scholar]
 - Coussy, O. Poromechanics; John Wiley & Sons: New York, NY, USA, 2004. [Google Scholar]
 - Mitchell, J.K.; Soga, K. Fundamentals of Soil Behavior; John Wiley & Sons: New York, NY, USA, 2005. [Google Scholar]
 - Hansbo, S. Consolidation of fine-grained soils by prefabricated drains. In Proceedings of the 10th International Conference on Soil Mechanics and Foundation Engineering (ICSMFE), Stockholm, Sweden, 15–19 June 1981; Volume 3, pp. 677–682. [Google Scholar]
 - Indraratna, B.; Redana, I.W. Numerical modeling of vertical drains with smear and well resistance installed in soft clay. Can. Geotech. J. 2000, 37, 132–145. [Google Scholar] [CrossRef]
 - Shan, Z.; Ling, D.; Ding, H. Exact solutions for one-dimensional consolidation of one-way-layer unsaturated soil. Int. J. Numer. Anal. Methods Geomech. 2012, 36, 708–722. [Google Scholar] [CrossRef]
 - Van Genuchten, M.T. A closed-form equation for predicting the hydraulic conductivity of unsaturated soils. Soil Sci. Soc. Am. J. 1980, 44, 892–898. [Google Scholar] [CrossRef]
 - Mualem, Y. A new model for predicting the hydraulic conductivity of unsaturated porous media. Water Resour. Res. 1976, 12, 513–522. [Google Scholar] [CrossRef]
 - Qin, A.F.; Chen, G.J.; Tan, Y.W.; Sun, D.A. Analytical solution to one-dimensional consolidation in unsaturated soils. Appl. Math. Mech. 2008, 29, 1329–1340. [Google Scholar] [CrossRef]
 - Venkatramaiah, C. Geotechnical Engineering; New Age International Publishers: New Delhi, India, 2006. [Google Scholar]
 - Wong, T.T.; Fredlund, D.G.; Krahn, J. A numerical study of coupled consolidation in unsaturated soils. Can. Geotech. J. 1998, 35, 926–937. [Google Scholar] [CrossRef]
 - Conte, E. Plane strain and axially symmetric consolidation in unsaturated soils. Int. J. Geomech. 2006, 6, 131–135. [Google Scholar] [CrossRef]
 - Conte, E.; Troncone, A. Radial consolidation with vertical drains and general time-dependent loading. Can. Geotech. J. 2009, 46, 25–36. [Google Scholar] [CrossRef]
 - Fredlund, D.G.; Rahardjo, H.; Fredlund, M.D. Unsaturated Soil Mechanics in Engineering Practice; John Wiley & Sons: Hoboken, NJ, USA, 2012. [Google Scholar]
 - Huang, M.; Zhao, M. A general analytical solution for one dimensional consolidation of unsaturated soil incorporating impeded drainage boundaries. Comput. Geotech. 2020, 128, 103801. [Google Scholar] [CrossRef]
 - Yuan, Q.; He, Q.; Lang, L.; Yang, X. Analytical solution for Fredlund–Hasan unsaturated consolidation using mode superposition method. Int. J. Numer. Anal. Methods Geomech. 2023, 47, 3234–3247. [Google Scholar] [CrossRef]
 - Liu, Y.; Zheng, J.J.; Cao, W.Z. A closed-form solution for 2D plane strain consolidation in unsaturated soils considering the lateral semipermeable drainage boundary. Comput. Geotech. 2021, 140, 104435. [Google Scholar] [CrossRef]
 - Zhou, W.H.; Zhao, L.S.; Li, X.B. A simple analytical solution to one-dimensional consolidation for unsaturated soils. Int. J. Numer. Anal. Methods Geomech. 2014, 38, 794–810. [Google Scholar] [CrossRef]
 - Ho, L.; Fatahi, B.; Khabbaz, H. Analytical solution for one-dimensional consolidation of unsaturated soils using eigenfunction expansion method. Int. J. Numer. Anal. Methods Geomech. 2014, 38, 1058–1077. [Google Scholar] [CrossRef]
 - Wang, L.; Sun, D.; Qin, A. General semi-analytical solutions to one-dimensional consolidation for unsaturated soils. Appl. Math. Mech. 2017, 38, 831–850. [Google Scholar] [CrossRef]
 




























Disclaimer/Publisher’s Note: The statements, opinions and data contained in all publications are solely those of the individual author(s) and contributor(s) and not of MDPI and/or the editor(s). MDPI and/or the editor(s) disclaim responsibility for any injury to people or property resulting from any ideas, methods, instructions or products referred to in the content.  | 
© 2025 by the authors. Licensee MDPI, Basel, Switzerland. This article is an open access article distributed under the terms and conditions of the Creative Commons Attribution (CC BY) license (https://creativecommons.org/licenses/by/4.0/).
Share and Cite
Hu, Y.; Ouyang, L. Cylindrical Coordinate Analytical Solution for Axisymmetric Consolidation of Unsaturated Soils: Dual Bessel–Trigonometric Orthogonal Expansion Approach to Radial–Vertical Composite Seepage Systems. Symmetry 2025, 17, 1714. https://doi.org/10.3390/sym17101714
Hu Y, Ouyang L. Cylindrical Coordinate Analytical Solution for Axisymmetric Consolidation of Unsaturated Soils: Dual Bessel–Trigonometric Orthogonal Expansion Approach to Radial–Vertical Composite Seepage Systems. Symmetry. 2025; 17(10):1714. https://doi.org/10.3390/sym17101714
Chicago/Turabian StyleHu, Yiru, and Lei Ouyang. 2025. "Cylindrical Coordinate Analytical Solution for Axisymmetric Consolidation of Unsaturated Soils: Dual Bessel–Trigonometric Orthogonal Expansion Approach to Radial–Vertical Composite Seepage Systems" Symmetry 17, no. 10: 1714. https://doi.org/10.3390/sym17101714
APA StyleHu, Y., & Ouyang, L. (2025). Cylindrical Coordinate Analytical Solution for Axisymmetric Consolidation of Unsaturated Soils: Dual Bessel–Trigonometric Orthogonal Expansion Approach to Radial–Vertical Composite Seepage Systems. Symmetry, 17(10), 1714. https://doi.org/10.3390/sym17101714
        
