Effectiveness of Orthodontic Methods for Leveling the Curve of Spee: A Systematic Review with Meta-Analysis
Abstract
1. Introduction
2. Materials and Methods
2.1. Protocol Registration
2.2. PICO Question
- Population (P): Patients undergoing orthodontic treatment presenting with an accentuated curve of Spee, as well as in vitro models simulating this condition.
- Intervention (I): Orthodontic techniques or mechanics aimed at leveling or correcting the curve of Spee.
- Comparison (C): Alternative orthodontic approaches or conventional treatment methods used to achieve curve correction.
- Outcome (O): Improvement or leveling of the curve of Spee, assessed through quantitative measures such as changes in curve depth or occlusal plane leveling.
2.3. Search Strategy
2.4. Eligibility Criteria
2.5. Selection of Studies
2.6. Data Collection and Synthesis
2.7. Analyzing the Risk of Bias
2.8. Quantitative Data Analysis
3. Results
3.1. Study Selection
3.2. Characteristics of the Studies Included
3.3. Summary of Quantitative Evidence
3.4. Risk of Bias Analysis
4. Discussion
5. Conclusions
Author Contributions
Funding
Institutional Review Board Statement
Informed Consent Statement
Data Availability Statement
Conflicts of Interest
Appendix A
| Database | Search Strategy |
|---|---|
| PubMed via MedLine | (“Curve of Spee” OR “Spee, Curve” OR “Spee Curve” OR “Spee’s curve” OR “Spee’s curvature” OR “curvature of occluding surface of the teeth” OR “curvature of the occlusal alignment of teeth”) AND (Orthodontics[Mesh] OR Orthodont* OR “Dental Occlusion”[Mesh] OR “Dental Occlusion*” OR “Occlusion, Dental” OR “Occlusions, Dental” OR “normal occlusion” OR “teeth occlusion” OR “tooth occlusion” OR “Occlusal Plane *” OR “Plane, Occlusal” OR “Planes, Occlusal” OR “Occlusal Guidance*” OR “Guidance, Occlusal”) |
| Web of Science All Databases | (“Curve of Spee” OR “Spee, Curve” OR “Spee Curve” OR “Spee’s curve” OR “Spee’s curvature” OR “curvature of occluding surface of the teeth” OR “curvature of the occlusal alignment of teeth”) AND (Orthodont * OR “Dental Occlusion *” OR “Occlusion, Dental” OR “Occlusions, Dental” OR “normal occlusion” OR “teeth occlusion” OR “tooth occlusion” OR “Occlusal Plane *” OR “Plane, Occlusal” OR “Planes, Occlusal” OR “Occlusal Guidance *” OR “Guidance, Occlusal”) |
| Embase | (‘curve of spee’ OR ‘spee, curve’ OR ‘spee curve’ OR ‘spee’s curve’ OR ‘spee’s curvature’ OR ‘curvature of occluding surface of the teeth’ OR ‘curvature of the occlusal alignment of teeth’) AND (‘orthodontics’/exp OR orthodont* OR ‘tooth occlusion’/exp OR ‘normal occlusion’ OR ‘teeth occlusion’ OR ‘tooth occlusion’ OR ‘dental occlusion*’ OR ‘occlusion, dental’ OR ‘occlusions, dental’ OR ‘occlusal plane’/exp OR ‘occlusal plane*’ OR ‘plane, occlusal’ OR ‘planes, occlusal’ OR ‘occlusal guidance’ OR ‘guidance, occlusal’) AND ([article]/lim OR [article in press]/lim OR [data papers]/lim OR [letter]/lim) |
| Cochrane | #1 “curve of spee” #2 “spee, curve” #3 “spee curve” #4 “spee’s curve” #5 “spee’s curvature” #6 “curvature of occluding surface of the teeth” #7 “curvatura of the occlusal alignment of teeth” #8 MeSH descriptor: [Orthodontics] explode all trees #9 orthodont * #10 MeSH descriptor: [Dental Occlusion] explode all trees #11 (dental NEXT occlusion *) #12 (occlusion * NEXT dental) #13 “normal occlusion” #14 “teeth occlusion” #15 “tooth occlusion” #16 (occlusal NEXT plane *) #17 (plane * NEXT occlusal) #18 (occlusal NEXT guidance *) #19 “guidance, occlusal” #20 (#1 OR #2 OR #3 OR #4 OR #5 OR #6 OR #7) AND (#8 OR #9 OR #10 OR #11 OR #12 OR #13 OR #14 OR #15 OR #16 OR #17 OR #18 OR #19) |
| Excluded Study | Reason for Exclusion |
|---|---|
| Amm, E. et al., 2022 [70] | No description of spee curve correction. The study compares the verticalization of molars in leveled or unlevelled COS, with different methods |
| Arnett, G. et al., 2022 [71] | Protocol description |
| Arnett, G. et al., 2022 [72] | No description of spee curve correction. |
| Baldridge, D., 1969 [73] | No description of spee curve correction. |
| Chattopadhyay, J. et al., 2023 [74] | Descriptive study without data on spee curve correction |
| Chu, Y. et al., 2009 [75] | Protocol description |
| Danguy, M. & Danguy-Derot, C., 2003 [76] | Descriptive study without data on spee curve correction |
| De Praeter, J. et al., 2002 [5] | No description of spee curve correction method. |
| Fauconnier, H. & Oosterbosch, J., 1949 [77] | No description of spee curve correction. |
| Ferguson, J W., 1990 [78] | Descriptive study without data on spee curve correction |
| Garcia, R., 1985 [79] | No description of spee curve correction. |
| Goel, P. et al., 2014 [80] | No description of spee curve correction. |
| Häll, B. et al., 2008 [81] | No description of spee curve correction method. |
| Hoppenreijs, T. et al., 1998 [82] | Descriptive study without data on spee curve correction |
| Martins, R.P., 2017 [83] | Descriptive study without data on spee curve correction |
| Mischler, W.A. & Delivanis, H.P., 1984 [84] | No description of spee curve correction method. |
| Ohannessian, P., 1979 [85] | No description of spee curve correction method. |
| Spengeman, W., 1968 [86] | Descriptive study without data on spee curve correction |
| Tremont, T.J. & Posnick, J.C., 2020 [87] | Descriptive study without data on spee curve correction |
| Wiechmann, D., 1999 [88] | Descriptive study without data on spee curve correction |
| Zemann, W. et al., 2012 [89] | No description of spee curve correction. |
| Zhang, L. et al., 2022 [90] | No description of spee curve correction. |
| Structured Summary | Scientific Background and Explanation of Rationale | Specific Objectives and/or Hypotheses | The Intervention for Each Group | Definition of Outcome | Sample Size | SEQUENCE Generation | Allocation Concealment Mechanism | Implementation | Blinding | Statistical Method | Outcomes and Estimation | Limitations | Funding | Protocol | |
|---|---|---|---|---|---|---|---|---|---|---|---|---|---|---|---|
| de Brito, G. et al., 2019 [24] | Y | Y | Y | Y | Y | N | N | N | N | N | N | N | Y | N | N |
| Clifford, P.et al., 1999 [25] | Y | Y | Y | Y | Y | N | N | N | N | N | N | N | Y | N | N |
| Fawaz, P. et al., 2021 [26] | Y | Y | Y | N | Y | Y | N | N | N | N | Y | Y | Y | N | N |
| Theerasopon, P. et al., 2019 [27] | Y | Y | Y | Y | Y | N | N | N | N | N | N | N | Y | Y | N |
| Yeung, S. et al., 2024 [28] | Y | Y | Y | Y | Y | Y | N | N | N | N | Y | Y | Y | N | N |
| Zhu, L. et al., 2024 [29] | Y | Y | Y | N | N | N | N | N | N | N | N | N | Y | Y | N |
| Randomization Process | Effect of Assignment to Intervention | Missing Outcome Data | Risk of Bias in Measurement of the Outcome | Risk of Bias in Selection of the Reported Result | Overall | |
|---|---|---|---|---|---|---|
| AlQabandi, A. et al.,1999 [14] | H | H | H | L | L | High |
| Ba-Hattab, R. et al., 2023 [32] | L | H | H | L | H | High |
| Bernstein, R. et al., 2007 [33] | H | H | H | L | H | High |
| Dritsas, K. et al., 2022 [38] | L | H | H | L | H | High |
| Gravina, M. et al., 2013 [44] | H | H | H | L | H | High |
| Nasrawi, Y. et al., 2022 [54] | L | H | H | L | H | High |
| Preston, C. et al., 2008 [57] | H | H | H | L | H | High |
| Shakhtour, F., 2024 [61] | H | H | SC | SC | L | High |
| Theerasopon, P. et al., 2021 [65] | L | H | H | L | H | High |
| Confounding Factors | Selection of Participants | Classification of Interventions | Deviations from Intended Interventions | Missing Data | Measurement of the Outcome | Selection of the Reported Result | Overall | |
|---|---|---|---|---|---|---|---|---|
| Ahammed, A. et al., 2014 [30] | L | M | S | L | L | L | L | S |
| Alshuraim, F. et al., 2024 [31] | L | M | S | L | L | L | L | S |
| Busenhart, D. M. et al., 2024 [34] | L | M | S | L | L | L | L | S |
| Chiqueto, K. et al., 2008 [35] | L | M | L | L | L | L | L | M |
| Chung, T. et al., 1997 [36] | L | M | S | L | L | L | L | S |
| Ciavarella, D. et al., 2024 [37] | L | M | L | L | L | L | L | M |
| Fawaz, V. et al., 2023 [39] | L | M | S | L | L | L | L | S |
| Feldman, E. et al., 2015 [40] | L | M | L | L | L | L | L | M |
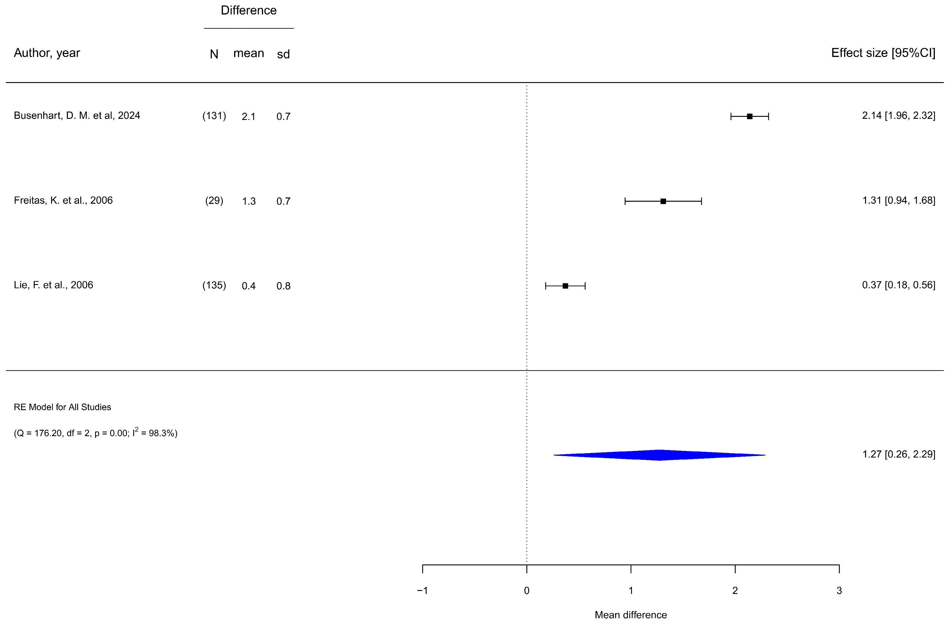
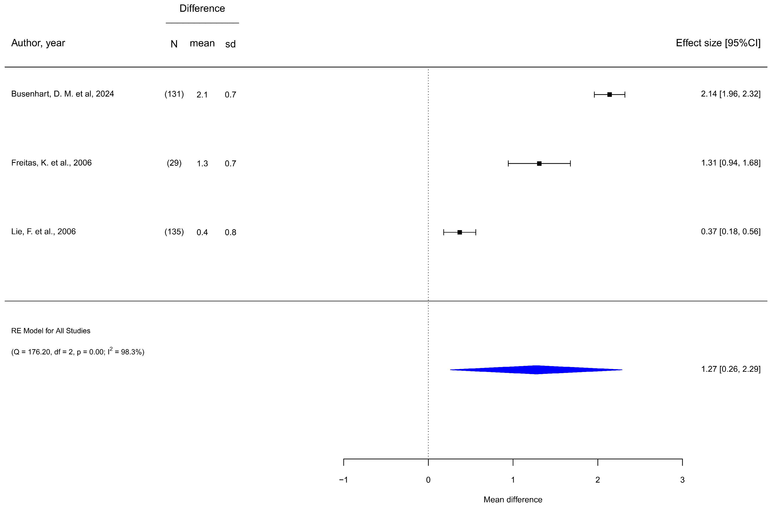
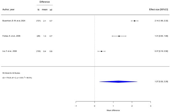
| Freitas, K. et al., 2006 [41] | L | M | L | L | L | L | L | M |
| Givins, E.D., 1970 [42] | L | S | S | L | L | L | L | S |
| Goh, S. et al., 2022 [43] | L | M | L | S | S | L | L | S |
| Harini, A. et al., 2024 [45] | L | S | L | L | L | M | L | S |
| Hellsing, E., 1990 [46] | L | M | S | L | L | L | L | S |
| Jeong, H. et al., 2020 [47] | L | M | L | L | L | L | L | M |
| Koyama, T., 1979 [48] | L | M | S | L | L | L | L | S |
| Kravitz, N. et al., 2023 [49] | L | M | L | L | L | L | L | M |
| Lie, F. et al., 2006 [50] | L | M | S | L | L | L | L | S |
| Lim, Z. et al., 2023 [51] | L | M | S | S | S | L | L | S |
| Lupatini, P. et al., 2015 [52] | L | M | S | L | L | L | L | S |
| Martins, D. et al., 2012 [53] | L | M | L | L | L | L | L | M |
| Nawaz, A. et al., 2018 [55] | L | M | L | L | L | L | L | M |
| Pandis, N. et al., 2010 [56] | L | M | L | L | L | L | L | M |
| Rizvi, B. et al., 2013 [58] | L | M | L | L | L | L | L | M |
| Rozzi, M. et al., 2017 [59] | L | M | L | L | L | L | L | M |
| Rozzi, M. et al., 2019 [60] | L | M | L | L | L | L | L | M |
| Rozzi, M. et al., 2022 [9] | L | M | L | L | L | L | L | M |
| Shannon, K.R., Nanda R. S., 2004 [62] | L | M | S | L | L | L | L | S |
| Sinha, A. et al. 2024 [63] | S | M | L | L | L | M | L | S |
| Sondhi, A. et al., 1980 [64] | L | M | S | L | L | L | L | S |
References
- Proffit, W.; Fields, H.; Sarver, D. Contemporary Orthodontics, 4th ed.; Mosby: St. Louis, MO, USA, 2007. [Google Scholar]
- Kumar, K.P.S.; Tamizharasi, S. Significance of curve of Spee: An orthodontic review. J. Pharm. Bioallied Sci. 2012, 4, S323–S328. [Google Scholar] [CrossRef]
- Marshall, S.D.; Caspersen, M.; Hardinger, R.R.; Franciscus, R.G.; Aquilino, S.A.; Southard, T.E. Development of the curve of Spee. Am. J. Orthod. Dentofac. Orthop. 2008, 134, 344–352. [Google Scholar] [CrossRef]
- Alkhalaf, Z.A.; Sghaireen, M.G.; Issrani, R.; Ganji, K.K.; Alruwaili, N.N.; Alsaleh, R.M.; Alruwaili, M.R.S.; Alabdali, M.F.; Alsirhani, M.A.R.; Alam, M.K. The Effect of Accentuation of Curve of Spee on Masticatory Efficiency-A Systematic Review and Meta-Analysis. Children 2023, 10, 511. [Google Scholar] [CrossRef]
- De Praeter, J.; Dermaut, L.; Martens, G.; Kuijpers-Jagtman, A.M. Long-term stability of the leveling of the curve of Spee. Am. J. Orthod. Dentofac. Orthop. 2002, 121, 266–272. [Google Scholar] [CrossRef] [PubMed]
- Veli, I.; Ozturk, M.A.; Uysal, T. Curve of Spee and its relationship to vertical eruption of teeth among different malocclusion groups. Am. J. Orthod. Dentofac. Orthop. 2015, 147, 305–312. [Google Scholar] [CrossRef] [PubMed]
- Halimi, A.; Benyahia, H.; Azeroual, M.F.; Bahije, L.; Zaoui, F. Relationship between the curve of Spee and craniofacial variables: A regression analysis. Int. Orthod. 2018, 16, 361–373. [Google Scholar] [CrossRef] [PubMed]
- Osborn, J.W. Orientation of the masseter muscle and the curve of Spee in relation to crushing forces on the molar teeth of primates. Am. J. Phys. Anthr. 1993, 92, 99–106. [Google Scholar] [CrossRef]
- Rozzi, M.; Tiberti, G.; Mucedero, M.; Cozza, P. Leveling the curve of Spee: Comparison between continuous archwire treatment and Invisalign system: A retrospective study. Am. J. Orthod. Dentofac. Orthop. 2022, 162, 645–655. [Google Scholar] [CrossRef]
- Trouten, J.C.; Enlow, D.H.; Rabine, M.; Phelps, A.E.; Swedlow, D. Morphologic factors in open bite and deep bite. Angle Orthod. 1983, 53, 192–211. [Google Scholar] [CrossRef]
- Orthlieb, J.D. The curve of Spee: Understanding the sagittal organization of mandibular teeth. Cranio 1997, 15, 333–340. [Google Scholar] [CrossRef]
- Al-Zoubi, E.M.; Al-Nimri, K.S. A comparative study between the effect of reverse curve of Spee archwires and anterior bite turbos in the treatment of deep overbite cases. Angle Orthod. 2022, 92, 36–44. [Google Scholar] [CrossRef]
- Huang, G.J.; Bates, S.B.; Ehlert, A.A.; Whiting, D.P.; Chen, S.S.H.; Bollen, A.M. Stability of deep-bite correction: A systematic review. J. World Fed. Orthod. 2012, 1, e89–e96. [Google Scholar] [CrossRef]
- AlQabandi, A.K.; Sadowsky, C.; BeGole, E.A. A comparison of the effects of rectangular and round arch wires in leveling the curve of Spee. Am. J. Orthod. Dentofac. Orthop. 1999, 116, 522–529. [Google Scholar] [CrossRef] [PubMed]
- Ricketts, R.M. Bioprogressive therapy as an answer to orthodontic needs. Part I. Am J Orthod. 1976, 70, 241–268. [Google Scholar] [CrossRef]
- Braun, S.; Hnat, W.P.; Johnson, B.E. The curve of Spee revisited. Am. J. Orthod. Dentofac. Orthop. 1996, 110, 206–210. [Google Scholar] [CrossRef] [PubMed]
- Nanda, R. The differential diagnosis and treatment of excessive overbite. Dent. Clin. N. Am. 1981, 25, 69–84. [Google Scholar] [CrossRef] [PubMed]
- Schudy, F.F. The association of anatomical entities as applied to clinical orthodontics. Angle Orthod. 1966, 36, 190–203. [Google Scholar] [CrossRef]
- Andrews, L.F. The six keys to normal occlusion. Am. J. Orthod. 1972, 62, 296–309. [Google Scholar] [CrossRef]
- Faggion, C.M. Guidelines for reporting pre-clinical in vitro studies on dental materials. J. Evid. Based Dent. Pract. 2012, 12, 182–189. [Google Scholar] [CrossRef]
- Sterne, J.A.C.; Savović, J.; Page, M.J.; Elbers, R.G.; Blencowe, N.S.; Boutron, I.; Cates, C.J.; Cheng, H.Y.; Corbett, M.S.; Eldridge, S.M.; et al. RoB 2: A revised tool for assessing risk of bias in randomised trials. BMJ 2019, 366, l4898. [Google Scholar] [CrossRef]
- Sterne, J.A.C.; Hernán, M.A.; Reeves, B.C.; Savović, J.; Berkman, N.D.; Viswanathan, M.; Henry, D.; Altman, D.G.; Ansari, M.T.; Boutron, I.; et al. ROBINS-I: A tool for assessing risk of bias in non-randomised studies of interventions. BMJ 2016, 355, i4919. [Google Scholar] [CrossRef]
- Viechtbauer, W. Conducting Meta-Analyses in R with the metafor Package. J. Stat. Softw. 2010, 36, 1–48. [Google Scholar] [CrossRef]
- de Brito, G.M.; de Araújo Brito, H.H.; Marra, G.G.M.; Freitas, L.R.P.; Hargreaves, B.O.; Magalhães, P.A.A.; Oliveira, D.D. Pure Mandibular Incisor Intrusion: A Finite Element Study to Evaluate the Segmented Arch Technique. Materials 2019, 12, 2784. [Google Scholar] [CrossRef]
- Clifford, P.M.; Orr, J.F.; Burden, D.J. The effects of increasing the reverse curve of Spee in a lower archwire examined using a dynamic photo-elastic gelatine model. Eur. J. Orthod. 1999, 21, 213–222. [Google Scholar] [CrossRef]
- Fawaz, P.; Amm, E.; Khoury, E. The curve of Spee and its levelling in different vertical skeletal patterns: A 3D set-up study. Int. Orthod. 2021, 19, 659–668. [Google Scholar] [CrossRef] [PubMed]
- Theerasopon, P.; Kosuwon, W.; Charoemratrote, C. Stress assessment of mandibular incisor intrusion during initial leveling in continuous arch system with different archwire shapes of superelastic nickel-titanium: A three-dimensional finite element study. Int. J. Health Allied Sci. 2019, 8, 92. [Google Scholar] [CrossRef]
- Yeung, S.; Owen, B.; Heo, G.; Carey, J.P.; Major, P.W.; Romanyk, D.L. In vitro measurement of the initial forces and moments generated for a curve of Spee malocclusion with labial and lingual archwire forms. Angle Orthod. 2025, 95, 35–42. [Google Scholar] [CrossRef] [PubMed]
- Zhu, L.; Liu, L.; Wang, W.; Deng, W.W. Effects of different patterns of movement for correcting a deep curve of Spee with clear aligners on the anterior teeth: A finite element analysis. BMC Oral Health 2024, 24, 217. [Google Scholar] [CrossRef] [PubMed]
- Ahammed, A.R.Y.; Ganiger, C.C.; Shetty, V.; Sunny, S.; Shetty, S.; Pawar, R.; Suresh, K.V. Post-retention Development of Curve of Spee in Pre-adjusted Edgewise Appliance Cases, Its Correlation to Dentoskeletal Parameters: An In vitro Study. J. Int. Oral Health 2014, 6, 31–35. [Google Scholar]
- Alshuraim, F.; Burns, C.; Morgan, D.; Jabr, L.; Rossouw, P.E.; Michelogiannakis, D. The second molar dilemma in orthodontics: To bond or not to bond? Angle Orthod. 2024, 94, 320–327. [Google Scholar] [CrossRef]
- Ba-Hattab, R.; Abu Alhaija, E.S.; Nasrawi, Y.H.; Taha, N.; Daher, H.; Daher, S. Leveling the curve of Spee using different sized archwires: A randomized clinical trial of blood flow changes. Clin. Oral Investig. 2023, 27, 2943–2955. [Google Scholar] [CrossRef]
- Bernstein, R.L.; Preston, C.B.; Lampasso, J. Leveling the curve of Spee with a continuous archwire technique: A long term cephalometric study. Am. J. Orthod. Dentofac. Orthop. 2007, 131, 363–371. [Google Scholar] [CrossRef]
- Busenhart, D.M.; Schätzle, M.; Eliades, T.; Papageorgiou, S.N. Long-term stability of curve of Spee depth among orthodontically treated patients: A retrospective longitudinal study. Orthod. Craniofacial Res. 2024, 27, 572–581. [Google Scholar] [CrossRef]
- Chiqueto, K.; Martins, D.R.; Janson, G. Effects of accentuated and reversed curve of Spee on apical root resorption. Am. J. Orthod. Dentofac. Orthop. 2008, 133, 261–268, quiz 328.e2. [Google Scholar] [CrossRef] [PubMed]
- Chung, T.S.; Sadowsky, P.L.; Wallace, D.D.; McCutcheon, M.J. A three-dimensional analysis of mandibular arch changes following curve of Spee leveling in nonextraction orthodontic treatment. Int. J. Adult Orthod. Orthognath. Surg. 1997, 12, 109–121. [Google Scholar]
- Ciavarella, D.; Fanelli, C.; Suriano, C.; Campobasso, A.; Lorusso, M.; Ferrara, D.; Maci, M.; Esposito, R.; Tepedino, M. Curve of Spee modification in different vertical skeletal patterns after clear aligner therapy: A 3D set-up retrospective study. Prog. Orthod. 2024, 25, 5. [Google Scholar] [CrossRef] [PubMed]
- Dritsas, K.; Alharbi, M.; Kouvelis, G.; Kloukos, D.; Gkantidis, N. Effect of the timing of second molar bonding on the duration of the mandibular arch levelling: A randomized clinical trial. Eur. J. Orthod. 2022, 44, 203–209. [Google Scholar] [CrossRef]
- Fawaz, V.; Purushothaman, B.; Siyo, R.K.N.; Naseem, K.T.; Ashok, A.; Bavitha, T.K. Investigation of the change in the degree of Frankfort mandibular plane angle after levelling the curve of spee in different malocclusion groups. J. Orthod. Sci. 2023, 12, 65. [Google Scholar] [CrossRef]
- Feldman, E.; Kennedy, D.B.; Aleksejuniene, J.; Hannam, A.G.; Yen, E.H. Mandibular changes secondary to serial extractions compared with late premolar extractions and controls. Am. J. Orthod. Dentofac. Orthop. 2015, 148, 633–640. [Google Scholar] [CrossRef] [PubMed]
- Freitas, K.M.S.; Crepaldi, A.; Freitas, M.R.; Fonseca, R.C.; Crepaldi, M.V. Estudo da recidiva da sobremordida relacionada com a curva de Spee, em pacientes Classe II, divisão 1, na fase pós-contenção. Rev. Dent. Press Ortod. Ortop. Facial 2006, 11, 138–150. [Google Scholar] [CrossRef]
- Givins, E.D. A cephalometric analysis of the degree of change in the curve of Spee of non-extraction orthodontic cases before and after treatment. Bull. Pac. Coast Soc. Orthod. 1970, 45, 36–37. [Google Scholar]
- Goh, S.; Dreyer, C.; Weir, T. The predictability of the mandibular curve of Spee leveling with the Invisalign appliance. Am. J. Orthod. Dentofac. Orthop. 2022, 162, 193–200. [Google Scholar] [CrossRef]
- Gravina, M.A.; Brunharo, I.H.V.P.; Fraga, M.R.; Artese, F.; da Silva Campos, J.; Vitral, R.W.F.; Quintão, C.C.A. Clinical evaluation of dental alignment and leveling with three different types of orthodontic wires. Dent. Press J. Orthod. 2013, 18, 31–37. [Google Scholar] [CrossRef]
- Harini, A.; Kadiveti, A.; Vivek Reddy, G.; Alahari, S.S.K.; Singaraju, G.S.; Mandava, P. Predictors of Curve of Spee Leveling in Class II Division 1 Malocclusion Treated with Reverse Curve of Spee Archwires: An Observational Study. Cureus 2024, 16, e67163. [Google Scholar] [CrossRef]
- Hellsing, E. Increased overbite and craniomandibular disorders—A clinical approach. Am. J. Orthod. Dentofac. Orthop. 1990, 98, 516–522. [Google Scholar] [CrossRef] [PubMed]
- Jeong, H.J.; Kim, S.-H.; Choi, B.-J.; Han, S.-H.; Ahn, H.-W. The Envelope of Segmental Movement and Airway Changes After Mandibular Anterior Subapical Osteotomy in Skeletal Class II Protrusion Patients. J. Craniofacial Surg. 2020, 31, 668–672. [Google Scholar] [CrossRef] [PubMed]
- Koyama, T. A comparative analysis of the curve of Spee (lateral aspect) before and after orthodontic treatment—With particular reference to overbite patients. J. Nihon Univ. Sch. Dent. 1979, 21, 25–34. [Google Scholar] [CrossRef] [PubMed]
- Kravitz, N.D.; Hansa, I.; Vaid, N.R.; Moshiri, M.; Adel, S.M. Does age influence deep overbite correction with Invisalign? A prospective study evaluating mandibular incisor intrusion in adolescents vs. adults. Angle Orthod. 2024, 94, 145–150. [Google Scholar] [CrossRef]
- Lie, F.; Kuitert, R.; Zentner, A. Post-treatment development of the curve of Spee. Eur. J. Orthod. 2006, 28, 262–268. [Google Scholar] [CrossRef]
- Lim, Z.W.; Meade, M.J.; Weir, T. The predictability of maxillary curve of Spee leveling with the Invisalign appliance. Angle Orthod. 2023, 93, 638–643. [Google Scholar] [CrossRef]
- Lupatini, P.; Vitral, R.; Campos, M.; Gravina, M.; Fraga, M.; Mota Júnior, S. Assessment of Long-Term Stability of Leveling of the Curve of Spee after Orthodontic Treatment in Mesocephalic Patients—A Pilot Study. Pesqui. Bras. Odontopediatria Clínica Integr. 2015, 15, 263–270. [Google Scholar] [CrossRef]
- Martins, D.R.; Tibola, D.; Janson, G.; Maria, F.R.T. Effects of intrusion combined with anterior retraction on apical root resorption. Eur. J. Orthod. 2012, 34, 170–175. [Google Scholar] [CrossRef]
- Nasrawi, Y.H.; Alhaija, E.S.A.; Al Maaitah, E.F. Efficacy of lower arch leveling, lower incisors’ root resorption, and pain associated with the correction of curve of Spee using different orthodontic archwires: A randomized clinical trial. Clin. Oral Investig. 2022, 26, 7107–7120. [Google Scholar] [CrossRef]
- Nawaz, A.; Munir, D.; Burhan Ud Din, M. An Expressive Research to Assess the Skeletal Variations after Arc of Spee Flattening with Non-Stop Archwire in Terms of Mean Change and Change Percentage. INDO Am. J. Pharm. Sci. 2018, 11, 12491–12497. [Google Scholar]
- Pandis, N.; Polychronopoulou, A.; Sifakakis, I.; Makou, M.; Eliades, T. Effects of levelling of the curve of Spee on the proclination of mandibular incisors and expansion of dental arches: A prospective clinical trial. Australas. Orthod. J. 2010, 26, 61–65. [Google Scholar] [CrossRef]
- Preston, C.B.; Maggard, M.B.; Lampasso, J.; Chalabi, O. Long-term effectiveness of the continuous and the sectional archwire techniques in leveling the curve of Spee. Am. J. Orthod. Dentofac. Orthop. 2008, 133, 550–555. [Google Scholar] [CrossRef]
- Rizvi, B.; Shah Faisal, S.; Siddique, H. Changes in Skeletal and Dental Structures after Leveling the Curve of Spee with Continuous Archwire. Ann. Abbassi Shaheed Hosp. Karachi Med. Dent. Coll. 2013, 18, 63–67. [Google Scholar]
- Rozzi, M.; Mucedero, M.; Pezzuto, C.; Cozza, P. Leveling the curve of Spee with continuous archwire appliances in different vertical skeletal patterns: A retrospective study. Am. J. Orthod. Dentofac. Orthop. 2017, 151, 758–766. [Google Scholar] [CrossRef]
- Rozzi, M.; Mucedero, M.; Pezzuto, C.; Lione, R.; Cozza, P. Long-term stability of curve of Spee levelled with continuous archwires in subjects with different vertical patterns: A retrospective study. Eur. J. Orthod. 2019, 41, 286–293. [Google Scholar] [CrossRef]
- Shakhtour, F.; Al-Nimri, K. Comparison between effects of reverse curve of Spee nickel titanium archwire and stainless steel archwires with and without torque on the lower incisors in deep overbite treatment: A randomized control study. Angle Orthod. 2025, 95, 27–34. [Google Scholar] [CrossRef] [PubMed]
- Shannon, K.R.; Nanda, R.S. Changes in the curve of Spee with treatment and at 2 years posttreatment. Am. J. Orthod. Dentofac. Orthop. 2004, 125, 589–596. [Google Scholar] [CrossRef]
- Sinha, A.; Jain, S.; Kunjappan, S.M.; Jai, V.A.; Kamble, R.; Jadhav, A.V. Assessing Cephalometric Changes in Deep Bite Correction: An Analysis of Class II Division 1 Orthodontic Patients Treated with the Reverse Curve of Spee Archwire. J. Pharm. Bioallied Sci. 2024, 16 (Suppl. 4), S3245–S3247. [Google Scholar] [CrossRef]
- Sondhi, A.; Cleall, J.F.; BeGole, E.A. Dimensional changes in the dental arches of orthodontically treated cases. Am. J. Orthod. 1980, 77, 60–74. [Google Scholar] [CrossRef]
- Theerasopon, P.; Lindauer, S.J.; Charoemratrote, C. Separation of aligning and leveling stages to control mandibular incisor inclination: A randomized clinical trial. Dent. Press J. Orthod. 2021, 26, e2119378. [Google Scholar] [CrossRef] [PubMed]
- Boccuzzi, M.; Cosola, S.; Butera, A.; Genovesi, A.; Laborante, T.; Castaldo, A.; Zizza, A.; Oldoini, G.; Nota, A.; Tecco, S. Predictability of ClinCheck in Overbite Correction with Aligners: A Systematic Review. Appl. Sci. 2025, 15, 7268. [Google Scholar] [CrossRef]
- Dhiman, S. Curve of Spee—From orthodontic perspective. Indian J. Dent. 2015, 6, 199–202. [Google Scholar] [CrossRef]
- Berg, R. Stability of deep overbite correction. Eur. J. Orthod. 1983, 5, 75–83. [Google Scholar] [CrossRef] [PubMed]
- Razdolsky, Y.; Sadowsky, C.; BeGole, E.A. Occlusal contacts following orthodontic treatment: A follow-up study. Angle Orthod. 1989, 59, 181–186. [Google Scholar] [CrossRef]
- Amm, E.; Amm, C.E.; Vaden, J. Effect of Class II elastics on different mandibular arch preparation stabilized with aligners and stainless-steel wires: A FEM study. Orthod. Craniofacial Res. 2022, 25, 520–529. [Google Scholar] [CrossRef]
- Arnett, G.W.; D’Agostino, A.; Grendene, E.; McLaughlin, R.P.; Trevisiol, L. Combined orthodontic and surgical open bite correction: Principles for success. Part 2. Angle Orthod. 2022, 92, 431–445. [Google Scholar] [CrossRef]
- Arnett, G.W.; Trevisiol, L.; Grendene, E.; McLaughlin, R.P.; D’Agostino, A. Combined orthodontic and surgical open bite correction. Angle Orthod. 2022, 92, 161–172. [Google Scholar] [CrossRef] [PubMed]
- Baldridge, D.W. Leveling the curve of Spee: Its effect on mandibular arch length. JPO J. Pract. Orthod. 1969, 3, 26–41. [Google Scholar]
- Chattopadhyay, J.; Fatima, A.; Naukarkar, P.; Sarate, S.; Kumar, M.; Patel, M. A Comparative Study Of Different Intrusion Methods And Their Effect On Maxillary Incisors. J. Pharm. Negat. Results 2023, 14, 809–814. [Google Scholar] [CrossRef]
- Chu, Y.M.; Bergeron, L.; Chen, Y.R. Bimaxillary protrusion: An overview of the surgical-orthodontic treatment. Semin. Plast. Surg. 2009, 23, 32–39. [Google Scholar] [CrossRef]
- Danguy, M.; Danguy-Derot, C. Treatment of overbite and leveling. L’Orthodontie Française 2003, 74, 511–517. [Google Scholar] [CrossRef]
- Fauconnier, H.; Oosterbosch, J. The inverted Spee curve. Arch. Stomatol. 1949, 4, 167–171. [Google Scholar] [PubMed]
- Ferguson, J.W. Lower incisor torque: The effects of rectangular archwires with a reverse curve of Spee. Br. J. Orthod. 1990, 17, 311–315. [Google Scholar] [CrossRef]
- Garcia, R. Leveling the curve of Spee: A new prediction formula. J. Charles H. Tweed Int. Found 1985, 13, 65–72. [Google Scholar]
- Goel, P.; Tandon, R.; Agrawal, K.K. A comparative study of different intrusion methods and their effect on maxillary incisors. J. Oral Biol. Craniofacial Res. 2014, 4, 186–191. [Google Scholar] [CrossRef] [PubMed]
- Häll, B.; Jämsä, T.; Soukka, T.; Peltomäki, T. Duration of surgical-orthodontic treatment. Acta Odontol. Scand. 2008, 66, 274–277. [Google Scholar] [CrossRef]
- Hoppenreijs, T.J.; Voorsmit, R.A.; Freihofer, H.P. Open bite deformity in amelogenesis imperfecta. Part 1: An analysis of contributory factors and implications for treatment. J. Cranio Maxillofac. Surg. 1998, 26, 260–266. [Google Scholar] [CrossRef] [PubMed]
- Martins, P.M. Early vertical correction of the deep curve of Spee. Dent. Press J. Orthod. 2017, 22, 118–125. [Google Scholar] [CrossRef]
- Mischler, W.A.; Delivanis, H.P. Comparison study between three tooth positioners. Am. J. Orthod. 1984, 85, 154–158. [Google Scholar] [CrossRef]
- Ohannessian, P. Une approche mathématique de la correction et du nivellement de la courbe de Spee. L’Orthodontie Française 1979, 50, 710–711. [Google Scholar]
- Spengeman, W.G. The curve of Spee leveling appliance (Cosla). Am. J. Orthod. 1968, 54, 202–216. [Google Scholar] [CrossRef]
- Tremont, T.J.; Posnick, J.C. Selected Orthodontic Principles for Management of Cranio-Maxillofacial Deformities. Oral Maxillofac. Surg. Clin. N. Am. 2020, 32, 321–338. [Google Scholar] [CrossRef]
- Wiechmann, D. Lingual orthodontics (part 2): Archwire fabrication. J. Orofac. Orthop. 1999, 60, 416–426. [Google Scholar] [CrossRef] [PubMed]
- Zemann, W.; Metzler, P.; Jacobsen, C.; Obwegeser, J.A. Segmental distraction osteogenesis of the anterior alveolar process using tooth-borne devices: Is it skeletal movement or mainly dental tipping? J. Oral Maxillofac. Surg. 2012, 70, 1292–1299. [Google Scholar] [CrossRef]
- Zhang, L.; Lin, S.; Chen, J.; Huang, L.; Huang, Z.; Li, H. Risk factors for midcourse correction during treatment of first series of aligners with Invisalign. Am. J. Orthod. Dentofac. Orthop. 2022, 162, e96–e102. [Google Scholar] [CrossRef] [PubMed]



| Author/Year | Study Design | Sample Size | Correction Methodology | Follow-Up | Main Results | Primary Outcomes | Secondary Outcomes | Conclusion |
|---|---|---|---|---|---|---|---|---|
| de Brito, G. et al., 2019 [24] | In silico | n = 4 FEM1-larger cantilever, more anterior PAF FEM2-PAF in the middle of the canine crown (MD) FEM3—2 mm smaller cantilever than in FEM2 FEM4-smallest cantilever | Segmented arch technique: AI archwire (0.021 × 0.025) an AI IBA (0.0215 × 0.0275) TMA tip-back springs (0.017 × 0.025) | Does not refer | Pure intrusion of the lower incisors: when the PAF in the IBA was 2 mm distal to the center of the canine crown. | Changes in the position of the lower incisors: -Forces applied mesial to the center of the canine crown resulted in proclination. -Forces applied more than 2 mm distal to the center of the canine resulted in retroclination of the lower incisors. | Stress distribution in the incisors: FEM 1 and FEM 2: Stress concentrated on the vestibular surfaces and apices of the incisor roots (vestibular intrusion and tipping); FEM 3: Uniformly distributed stress (pure intrusion); FEM 4: Stress concentrated on the apices and lingual surfaces of the incisors (lingual intrusion and tipping). Effects on the posterior anchorage segment: -Primarily in the 1st M. -Greater stress in FEM 1, decreasing progressively with the decrease of the cantilever. | The PAF in the IBA not only influences the direction of movement of the lower incisors (intrusion, proclination or retroclination), but also affects the distribution of reaction forces in the posterior segments of the anchorage unit. |
| Clifford, P. et al., 1999 [25] | In silico | X | AI Reverse Curve Arc 0.018 × 0.025 | 9 am | RSC of 1 mm increased arch length by 1.6 mm but increasing RSC to 5 mm did not increase arch length. Stress distribution increased near the roots of incisors and molars as RSC was increased | -Downward vertical movement: in the crowns of the incisors, canines and 2nd M. -Upward vertical movement: In the crowns of the 1st and 2nd PMs and 1st M. -Distal rotational movements: 1st and 2nd M, with the 2nd M demonstrating more movement than the 1st. An increase was observed with the increase in the depth of the RSC arch. | -RSC (1 to 5 mm): No increase in arch length; slight reductions in intercanine distance (<1 mm). -AI (0.018 × 0.025 in.) and RSC (1 and 2 mm) flat archwire: Minimal reduction in intermolar distance (0–0.6 mm). -RSC (3 to 5 mm): Small increases in intermolar distance. -Flat arch: Small stress in the apical 2/3 of the incisors, slight tension pattern in the apices of the 2nd lower M. -RSC 1 mm: More intense stress at the apical of the incisors and canines, tension pattern at the distal root of the 2nd lower M, less tension pattern at the 1st M. -RSC 5 mm: Greater tensions in the roots of the incisors, canines and M. | Continuous AI arcing resulted in a slight increase in arc length. RSC 5 mm had minimal impact on arch width. Increasing the depth of RSC increased the stress patterns around the roots of incisors and molars. |
| Fawaz, P. et al., 2021 [26] | Comparative cross-sectional in silico | Hypodivergent Group: n = 90 Normodivergent Group: n = 30 Hyperdivergent Group: n = 30 | Extrusion of PMs and verticalization of posterior teeth by virtual simulation. 17.27 ± 5.112 a. 36 ♂ and 54 ♀. Hypodivergent Group: 16.830 ± 3.840 a, 14 ♂ and 16 ♀. Normodivergent Group: 15.690 ± 4.680 a, 9 ♂ and 21 ♀. Hyperdivergent Group: 19.290 ± 6.030 a, 13 ♂ and 17 ♀ | Does not refer | There is no correlation between the space required to level the CoS and the different vertical skeletal patterns as well as the different parameters evaluated. | PM Extrusion Verticalization of posterior teeth | Moderate correlation: Between the verticalization angle of the 1st and 2nd M. Space required to level the CoS: It did not show any correlation with the deepest point of the CoS nor with the verticalization angle of the molars. | The lower arch leveling was performed by extrusion of the PMs and verticalization of the posterior teeth, confirming that well-planned orthodontic mechanics can minimize the side effects (inclination of the lower incisors) encountered during treatment. |
| Theerasopon, P. et al., 2019 [27] | In silico | 195,792 tetrahedral elements and 356,810 nodes | Superelastic round (0.016), square (0.016 × 0.016) or rectangular (0.016 × 0.022) NiTi orthodontic archwires | Does not refer | The intrusive force exerted by the orthodontic archwires within the PDL space caused stress in both the buccal and lingual cervical root thirds, being more significant in the buccal cervical root third. Round archwires caused greater stress and buccal displacement. | Displacement in the vestibular direction Movement in the vertical dimension Y-axis displacement | Stress on the buccal radicular cervical 1/3 | The type of orthodontic wire used influences not only the stress distribution in the vestibular cervical root third during intrusion of the lower incisors, but also the vestibular inclination of the teeth. |
| Yeung, S., 2025 [28] | In silico | n = 61 (orthodontic simulator with 3 archwire) | 0.016 inch × 0.022 inch stainless-steel: labial straight, lingual straight, and lingual mush-room | Does not refer | The lowest force magnitudes were measured for labial straight archwires at each tooth position. The lateral incisor experienced the largest gingival forces with all archwire forms. The first premolar and first molar experienced labiolingual crown tipping moments in opposite directions between labial and the two lingual archwire forms. |
| Regardless of archwire form, the lateral incisor received large gingival forces and lingual root torque, which has increased concerns of root resorption. | Labial straight archwire exerted the lowest force magnitudes overall. For lingual archwire forms, the labiolingual inclination of the first premolar could be highly variable during leveling. Regardless, tipping tended toward the buccal direction with lingual archwires and buccal direction with labial. |
| Zhu, L. et al., 2024 [29] | In silico study | 5 models. A: Distalization of the 2nd M (0.25 mm); B: Distalization of the 2nd M (0.25 mm), extrusion of the 1st M (0.15 mm); C: Distalization of the 2nd M (0.25 mm), extrusion of the 1st and 2nd PMs (0.15 mm); D: Distalization of the 2nd M (0.25 mm), extrusion of the 1st M and PMs (0.15 mm); E: Distalization of the 2nd M (0.25 mm), extrusion of the 1st M and PMs (0.15 mm), expansion of the 1st M and PMs (0.15 mm) | Invisible aligners | Does not refer | All anterior teeth showed labial tipping, with the lower central incisor of configuration E being the most tipped. Configuration E resulted in less distal movement of the lower molars compared with configuration A, which showed the greatest distal displacement. The root apices of all teeth moved mesial, resulting in an uncontrolled distal lingual tipping movement. Configuration E exerted greater pressure on the PDL of the central and lateral incisors. | -Vestibular inclination of the anterior teeth -Maximum lip displacement; -Distalization and distal displacement of lower molars. | Pressure on the PDL of the central and lateral incisors; Variation in stress distribution across incisors; Absence of significant differences in canines between the studied configurations. | Invisible aligners facilitated mandibular molar distalization in all evaluated patterns. Simultaneous PM extrusion and 2nd M distalization had little impact on 2nd M distalization. During simultaneous expansion and extrusion, emphasis was placed on preserving the buccal alveolar bone of the anterior teeth to avoid gingival recession, dehiscence, and fenestration. It is recommended to adapt clinical protocols according to the periodontal status of the mandibular anterior teeth to minimize complications. |
| Author/Year | Study Design | Sample Size | Average Age And Sex | Correction Methodology | Follow-Up | Main results | Primary Outcomes | Secondary Outcomes | Conclusion |
|---|---|---|---|---|---|---|---|---|---|
| Ahammed, A. et al., 2014 [30] | Cohort Retrospective | n = 24 | 14.5 years | Pre-adjusted edgewise device T1: Pre-treatment T2: Post-treatment T3: Post-retention | 2.6 years | -T2-T1: Significant difference in CoS, OJ and OB. -T3-T1: Significant difference in CoS and OB. -T3-T2 there is no significant difference in CoS | T2-T1: CoS—1.31 (p < 0.01 s) T3-T1: CoS—1.44 (p < 0.01 s) T2-T1: Incisor lower than NB 0.08 (p > 0.05 ns) T3-T1: Incisor lower than NB−0.17 (p > 0.05 ns) | T2-T1: lower incisor to NB without statistically significant difference. Significant difference in OJ and OB. T3-T1: Significant difference in OB. Lower incisor in NB and OJ without statistically significant difference. | Leveling CoS is a stable treatment goal |
| AlQabandi, A. et al.,1999 [14] | RCT | n = 28 Group 1—round arches (n = 12) Group 2—rectangular arches (n = 16) | Group I: 15.12 ± 4.83 years, 6 ♀ and 6 ♂ Group II: 12.16 ± 3.57 a, 8 ♀ and 8 ♂ | Round arches or rectangular arches (0.016 × 0.022) in NiTi, progressing to stainless steel arches 0.016 × 0.022 | Does not refer | In both groups, there was a significant reduction in CoS depth, increase in arch depth relative to molars, reduction in crowding and proclination of the lower incisors. There was no statistically significant difference between the change in CoS depth between the 2 groups. In group I, CoS was leveled on average by 6.3 m. In group II, CoS was leveled on average by 6.1 m. | Lower incisor inclination: -The mean inclination of the lower incisor was 6.75° ± 4.85° in group I and 6.10° ± 3.95° in group II. No significant difference in inclination was observed between the two groups. CoS Reduction: There was a significant reduction in CoS in both groups analyzed. |
-Axial inclination of the lower incisor and the depth of the mandibular arch. -Mandibular arch depth was inversely correlated with the change in intercanine width. | The technique using NiTi archwire followed by stainless steel wire with mild RSC did not prevent proclination of the lower incisors after leveling the CoS with continuous archwire. There was a significant reduction in CoS depth in both groups, but this reduction did not correlate with proclination of the lower incisors. This was significantly associated with a reduction in intercanine width and dental crowding. |
| Alshuraim, F. et al., 2024 [31] | Cohort Retrospective | n = 62 Group 2° M cemented: n = 30. Group 2° M cementless: n = 32 | Cemented group: 16.07 ± 1.80 years, 11 ♂ and 19 ♀. Uncemented group: 15.69 ± 1.86 years, 14 ♂ and 18 ♀. | Fixed orthodontic treatment without extractions (conventional arches, bite tubes and intermaxillary elastics) with or without cementation of the 2nd molars | Does not refer | The mean overall CR-Eval score was significantly higher in the group without cemented 2nd M (25.25 ± 3.98 vs. 17.70 ± 2.97). There was a significant reduction in CoS between T1 and T2 (Cemented group: from 2.49 ± 0.26 mm to 1.72 ± 0.15 mm; Uncemented group: from 2.54 ± 0.26 mm to 1.96 ± 0.15 mm). There were no significant differences in CoS, OB, IMPA, or treatment duration between the groups. | CoS Reduction | -Interincisal angle (IMPA); -Number of emergency consultations: higher in the group with cemented 2nd M (3.3 ± 0.6 vs. 1.9 ± 0.4). -Assessment of the quality of orthodontic treatment (CR-Eval) between the two groups evaluated. | Bonding of 2ndM improves the outcome of non-extraction fixed orthodontics, as demonstrated by the CR-Eval evaluation, without increasing the duration of treatment, regardless of whether there are more emergency consultations |
| Ba-Hattab, R. et al., 2023 [32] | RCT | n = 30 Group 1-stainless steel 0.017 × 0.025 (n = 10); Group 2—stainless steel 0.019 × 0.025 (n = 10); Group 3-TMA 0.021 × 0.025 (n = 10) | Group 1: 21.6 years; Group 2: 23.5 years; Group 3: 20.20 years. 20 ♀ and 10 ♂ | Reverse curve arch: stainless steel 0.017 × 0.025; stainless steel 019 × 0.025; TMA 0.021 × 0.025 | 1 m | Significant CoS reduction in all groups. The CoS depth before intervention averaged 5.30 ± 0.46 mm, 5.60 ± 0.92 mm, and 5.40 ± 0.49 mm in groups 1, 2, and 3, respectively. After 1 month, the CoS averaged 4.40 ± 0.49 mm, 4.70 ± 0.91 mm, and 4.70 ± 0.46 mm in groups 1, 2, and 3, respectively (p > 0.05). Significant differences in BF changes between intrusion and extrusion forces using different archwire sizes and materials | CoS Reduction | No significant differences were found between the variations in BF in response to the application of intrusive and extrusive forces using different types of orthodontic archwires. In the groups where the first premolars (PMs) were extruded, there was a greater reduction in bite force compared to the intruded incisors in the first 20 min after archwire insertion. After one week, blood flow continued to increase in the extruded PMs and intruded incisors in certain groups. | During CoS leveling, a temporary reduction in blood flow occurred after 20 min, followed by a gradual recovery that returned to baseline levels after one week. A faster return of BF to baseline values was observed in the stainless steel arch groups after PM extrusion. The bite force initially after force application was influenced by tooth type and change in CoS depth, indicating the complexity of the biological response during orthodontic treatment. |
| Bernstein, R. et al., 2007 [33] | RCT | n = 31 | T1 (before treatment): 12 to 6 m; T2 (post-treatment) 14 to 11 m; T3 (post-containment) 26 to 4 m. 22 ♀ and 9 ♂ | Continuous arc technique | 11 to 5 m | CoS completely leveled in 21 patients after treatment. 10 of the 31 patients remained level 5 to 25 years after orthodontic treatment. |
|
| -Leveling of the CoS mainly by extrusion of the PMs. -The continuous arch technique is effective for leveling the CoS in patients with Class II Division 1 deep bite malocclusion treated without extractions, especially when the initial CoS is 2 to 4 mm. -Leveling of the CoS with the continuous arch technique occurs through the extrusion of the premolars and, to a lesser extent, intrusion of the incisors. -Small but statistically significant recurrence after treatment. |
| Busenhart, D.M. et al., 2024 [34] | Cohort Retrospective | n = 157 Fixed appliance group (n = 131). Fixed appliance + tooth extractions group (n = 26). | 11.6 ± 2 years 89 ♀ and 68 ♂ | Edgewise fixed appliances with 0.018 slot. 26 patients were treated with lower PM extractions, 5 of whom had the 1st PM extracted and 21 had the 2nd PM extracted. | Average 7.1 years (minimum 3 years) | Reduction of CoS in the group without extractions:—Significant reduction in CoS depth in the 1st PM from 1.87 mm (T1) to 0.22 mm (T2), with slight recurrence to 0.12 mm (T3). -Reduction in the 2nd PM from 2.01 mm (T1) to 0.76 mm (T2). Relapse and Long-Term changes: -Minimal recurrence in PMs and in the 1st M in the group without extractions. Stability and relapse: -The stability of the PMs was similar. -Less recurrence in the 1st M in the group with extractions. -The average recurrence rate of CoS depth was 4.6%. | Reduction of CoS in PMs and 1st M | Influence of demographic variables: -Sex: Did not show differences. -Age of patient at start of treatment: Statistically significant at T1, associated with the depth of the CoS in the 1st and 2nd PMs. Duration of treatment (T1–T2) and follow-up (T2–T3): They did not show statistically significant effects on the depth of the CoS. Post-treatment relapse: -The amount of recurrence (T2–T3) was significantly associated with the amount of CoS depth correction during treatment (T1–T2). -Each additional mm of CoS correction during treatment was associated with 0.11 mm more recurrence in the first PMs and 0.17 mm more in the 2nd PM. | Effective leveling of curves of Spee: It has been demonstrated that pronounced CoS can be satisfactorily leveled by orthodontic treatment. Long-term stability: The results indicate that CoS leveling presents satisfactory stability over time after orthodontic treatment. Impact of PM extractions: There was an observed association between performing PM extractions and lower post-treatment CoS recurrence. |
| Chiqueto, K. et al., 2008 [35] | Cohort Retrospective | n = 60 Group 1-overbite, intrusive methods (n = 30). Group 2-normal bite, without intrusion (n = 30). | G1: 12.8 ± 1.23 years, 18 ♂ and 12 ♀. G2: 12.87 ± 1.43 years, 16 ♂ and 14 ♀. | Continuous round and rectangular stainless steel arches with reverse and sharp curves | Does not refer | G1: greater root resorption, greater changes in OB and OJ, vestibular inclination of the lower incisor and horizontal displacement of the upper incisor. The upper incisors showed greater resorption than the lower incisors. | G1: vestibular inclination of the lower incisor and horizontal displacement of the upper incisor. | Correlation of root resorption Effect of intrusion mechanics Difference between upper and lower incisors | The accentuation and inversion mechanics of CoS resulted in greater root resorption compared with nonintrusive techniques. Correlation of root resorption: -There was a statistically significant correlation between root resorption and the amount of deep overbite correction. -The amount of intrusion of the upper incisors correlated significantly with the observed root resorption. Maxillary incisors showed statistically higher incidence of root resorption compared to mandibular incisors during orthodontic treatment. |
| Chung, T. et al., 1997 [36] | Cohort Retrospective | n = 33 | Does not refer | Treatment without tooth extractions and IP reduction of enamel (6 with orthodontic-surgical treatment, surgery without leveling) | Does not refer | Leveling correlated with expansion in all dimensions (weak correlations) except 3-D arch length. Only 11% of the leveling variability could be explained by changes in anteroposterior and transverse dimensions. Change in 3-D arch length was associated with both a change in arch depth and a change in CoS depth (approximately 62%). | CoS Leveling: Average CoS leveling was 1.3 ± 0.7 mm Increased depth, length and width of the arch with orthodontic treatment | Changes in arc length Changes in arch depth Changes in arch width Relationships between variables Pattern of change with CoS as dependent variable Specific correlations | Increase in 3D arch length because of orthodontic treatment. No statistical evidence of correlation was found between CoS leveling and 3D or 2D increase in arch length. A linear regression model based on 3D arch length revealed that the interaction between two specific variables (arch depth and CoS leveling) could explain 60% of the increase in 3D arch length. |
| Ciavarella, D. et al., 2024 [37] | Cohort Retrospective | n = 106. Group 0-SN-MP < 30.5°, hypodivergent (n = 36) Group 1—SN-MP > 35.5°, hyperdivergent (n = 34) Group 2—30.5 ≤ SN-MP ≤ 35.5°, normodivergent (n = 36) | 22.3 ± 3.4 years 47 ♂ and 59 ♀ | Invisible aligners (treatment focused on preventing extrusion and intrusion of molars and incisors and preventing pro-inclination of incisors) | Does not refer | In group 2, the T1–T0 difference in the distance from the 1st M to the occlusal plane was 1 mm greater than that observed in group 1 (p < 0.05); in group 2, the T1–T0 difference in the distance from the 2nd PM to the occlusal plane was 1.23 mm greater than that observed in group 1 (p < 0.05), while in group 0, it was 1.08 mm greater than in group 1 (p < 0.05); in group 2, the T1–T0 difference in the distance from the 1st PM to the occlusal plane was 0.97 mm greater than that observed in group 1 (p < 0.05) | Non-relevant modifications of CoS in the 3 groups (−0.01 mm); Modification of CoS in different facial biotypes; Changes in the 2nd molars | 6 MB difference 5 MB difference 4 V difference Statistical analysis between groups | The study demonstrated that aligner treatment did not result in clinically significant changes in CoS depth. Normodivergent patients showed greater intrusion of the 1st and 2nd MP, as well as the 1st M, compared to hyperdivergent patients. Finally, hypodivergent patients exhibited greater intrusion of the 2nd MP compared to hyperdivergent patients. These results suggest that aligner treatment may not be the most appropriate option for hypodivergent patients, potentially leading to a reduction in the initial vertical dimension. |
| Dritsas, K. et al., 2022 [38] | RCT | n = 32. Group A—initial 0.014 NiTi archwire, tubes cemented to the 2nd lower molars at the time of placement of the 0.016 × 0.022 NiTi archwire (n = 16) Group B—2nd molars cemented at the 1st appointment (n = 16) | 12 to 18 | In both groups, arch sequence: 0.014 Sentalloy 80 gr (NiTi); 0.016 × 0.022 Neo Sentalloy 80 gr (NiTi); and, 0.017 × 0.025 stainless steel | Does not refer | Group A tended to need more days to level the CoS than group B, but without a statistically significant difference. | Number of days to level CoS | Initial OJ and number of detached brackets: Regarding the occlusal factors studied, only the initial OJ appeared to be moderately associated with the days required to level the mandibular arch. | The leveling of the CoS was not affected by the height of inclusion of the 2nd M in the device. |
| Fawaz, V. et al., 2023 [39] | Cohort Retrospective | n = 75. GI—class I (n: 25) GII-class II (n: 25) GIII-class III (n: 25) | Age > 14 years | Fixed orthodontic treatment | Does not refer | After CoS leveling, the FMP angle decreased in the Class I and II groups and increased in the Class III group. These results were statistically significant except in the Class I malocclusion group. | Leveling of the CoS before and after orthodontic treatment | Average FMP angle before and after treatment Correlation between CoS and FMP angle: A slight positive correlation was observed between CoS and FMP angle in the Class I and III malocclusion groups, and a negative correlation in the Class II malocclusion group. | It was observed that in the Class I and II groups, there was a significant decrease in the FMP angle, indicating an improvement in the dental relationship after orthodontic treatment. In contrast, in the Class III group, there was an increase in the FMP angle, suggesting a specific modification of the dental relationship in this type of malocclusion. |
| Feldman, E. et al., 2015 [40] | Cohort Retrospective | n = 90. Group I—Class I controls (n = 30) SE Group (n = 30) LPE Group (n = 30) | 45 ♂ and 45 ♀ | Serial extractions or late extractions of PMs. Orthodontic treatment later. T0: initial evaluation time. T1: After natural displacement and before orthodontics, for patients in the control group and patients with serial extraction. Pretreatment for patients with late PMS extraction. T2: After comprehensive orthodontic treatment for serial extraction and delayed extraction groups of PMs. | Does not refer | From T0 to T1, incisors and canines in patients with SE tilted distally and became vertical. At T1, molars in the SE group tilted more. At T1, the LPE group showed significant differences in incisor and canine angulations compared to the other 2 groups. From T1 to T2, canines and molars in the SE group verticalized, with decreased incisor and canine angulation and increased molar angulation. From T0 to T1, in the SE group there was a significant decrease in the radius of the CoS sphere and the Monson sphere, and an increase in the radius of the Wilson curve sphere, while from T1 to T2, a significant increase in the radius of the Monson sphere and the Wilson curve and a non-significant decrease in the radius of the CoS sphere. | Changes in the radii of the CoS sphere, Monson and Wilson curve. Statistical differences between groups at T1. Teeth inclination and angulation. Changes in inclination and verticalization of teeth from T1–T2. | Significant increase in the radius of the Monson sphere from T1–T2. Significant increase in the radius of the Wilson curve sphere from T0–T1 to T1–T2. Statistically significant difference in the mean radii between the three groups at T1. Significant difference between the SE group in relation to the Monson sphere and the Wilson curve compared to the other two groups at T1. | -The SE group showed changes in tooth inclination over time, with an initial increase followed by a decrease in the lingual inclination of the molars from T0 to T1, followed by verticalization during orthodontic treatment. -The incisors and canines of the SE group tilted distally from T0 to T1, while the molars showed mesial inclination and greater prominence of the occlusal curves. -After orthodontic treatment (T1–T2), there was minimal proclination of the incisors, significant proclination of the canines and significant verticalization of the molars in the SE group. -The changes observed in the SE group were reflected by smaller Monson spheres and Wilson curves after the period of dental drift, compared with the control and LPE groups. |
| Freitas, K. et al., 2006 [41] | Case–control Retrospective | n = 58. Group 1 (experimental) n = 29; Group 2 (control): n = 29 | Group 1: Initial: 13 years; Final: 15 years and 4 m; retention: 20 years and 7 m;11 ♀ and 18 ♂. Group 2: Two measurements: 12 years and 9 m and 15 years and 1 month; 11 ♀ and 18 ♂ | NiTi and stainless steel archwires with reverse curve in the lower arch and accentuated in the upper arch and extraction of the four 1st PMs | 5 years | -Statistically significant reduction in CoS after orthodontic treatment. -Statistically significant increase in CoS from the post-treatment to post-retention phase. -Positive correlation between overbite and CoS in the post-retention phase. -Positive correlation between CoS in the post-retention phase and relapse of the initial overbite associated with greater correction achieved by the treatment and greater overbite in the post-retention phase. | CoS reduction Difference between treatment and post-retention phases CoS percentage correction Changes in the position of the upper and lower incisors Intrusive effect | Overbite Recurrence OJ: Reduction and recurrence: Relative stability of OJ correction after treatment Change in Inter-incisor Angle during treatment Change in Inter-incisor Angle after retention Relatively stable leveling of CoS during long-term orthodontic treatment | Orthodontic treatment was effective in initially reducing overbite and CoS. However, there was significant relapse of these corrections after the end of active treatment, especially evident in CoS. The positive correlation between overbite relapse and post-retention CoS suggests that changes in CoS may influence the stability of overbite correction over time. These findings highlight the importance of appropriate retention strategies to maintain long-term orthodontic results. |
| Givins, E.D., 1970 [42] | Cohort Retrospective | n = 33 | Does not refer | Treatment without tooth extractions | Minimum 2 years | After orthodontic treatment, the shape of the CoS was leveled in relation to that presented at the beginning of treatment. The shape of the CoS and the angle of the mandibular occlusal plane tended to remain constant after orthodontic treatment. | CoS Shape Relapse of CoS correction: The points that presented the greatest consistency and the greatest amount of relapse along the CoS were the canines and the 1st mandibular PMs. Cases with low mandibular angle showed a greater relapse of CoS. | Mandibular occlusal plane angle | Orthodontic treatment was effective in reducing and leveling the CoS in patients with different types of malocclusions, resulting in a change in the initial shape to a flatter configuration. The stability of the CoS shape and the mandibular occlusal plane angle indicates a good response to orthodontic treatment. |
| Goh, S. et al., 2022 [43] | Cohort Retrospective | n = 42 | 31.6 ± 9.8 a. 17 ♂ and 25 ♀ | Invisible aligners (8 patients with IP reduction) | Does not refer | ClinCheck predicted 0.55 mm more CoS correction than the actual outcome. The mean accuracy of CoS correction was 35%, and ClinCheck overestimated leveling in 85% of patients. First molars had the lowest accuracy and extrusion relative to the occlusal plane. | Correction of overbite predicted by ClinCheck compared to actual outcome. ClinCheck overestimation percentage in overbite correction. Accuracy of change in angulation of lower central incisors relative to that predicted by ClinCheck. | X | To achieve the desired treatment goals, an overcorrection of the CoS leveling should be prescribed in the ClinCheck treatment plan and the extrusion of the lower 1st M should be the region of focus. The clinician should consider the use of adjunctive methods to improve leveling. |
| Gravina, M. et al., 2013 [44] | RCT | n = 36. Group I—stainless steel arch 0.014 (n = 11) Group II—Multifilament stainless steel 0.015 (n = 12) Group III—Superelastic NiTi 0.014 (n = 13) | 14 ± 2 a. 18 ♂ and 18 ♀ | Lower 0.014 inch stainless steel archwire or Lower 0.015 inch Multifilament stainless steel archwire or Lower 0.014 inch Superelastic NiTi archwire T1: Before treatment T2: After treatment | Does not refer | Statistically significant intergroup differences only at T2, in relation to the dental irregularity index, with NiTi and multifilament stainless steel archwires having greater alignment capacity than conventional stainless steel archwires. | Change in overbite (CoS) between periods T2 and T1 for the three groups. Change in overbite (CoS) between periods T2 and T1 for each group individually. | T2-T1 irregularity index Alignment capability of conventional stainless steel arch compared to other groups Significant differences between groups in the irregularity index at T2-T1 | Changes in the positions of the lower incisors were not different between the 3 groups evaluated, indicating a similarity in the behavior of the lower teeth in response to orthodontic treatment. CoS leveling showed no significant differences between groups using only one type of archwire for a period of 8 weeks, suggesting similar efficacy. There were statistically significant differences in the values of the irregularity index at T2, with the groups that used NiTi and multifilament stainless steel presenting greater tooth alignment compared to the other groups. |
| Harini, A., 2024 [45] | Cohort Retrospective | n = 84 | 22.3 ± 1.2 years, 27 ♂ and 57 ♀ | NiTi wires with a reverse curve of Spee (non-extraction). NiTi archwires in a standardized sequence of 0.014, 0.016, 0.018-inch, and 0.017 × 0.025-inch. Subsequently, 0.017 × 0.025-inch, 0.019 × 0.025-inch NiTi, and 0.019 × 0.025-inch RCS wires were used until a 0.019 × 0.025-inch SS wire could be inserted passively for retraction. | 2 to 5.5 m | The CoS decreased by−1.43 ± 0.68 mm, which is statistically significant (<0.001). There is no significant difference in CoS reduction between the categorical variables. Despite statistically significant differences in the parameters between pre-and post-treatment, the linear correlation between most of the variables and CoS reduction ranged from very weak (<0.20) to weak (0.20–0.39). | The CoS decreased by−1.43 ± 0.68 mm, which is statistically significant (<0.001). A mean proclination of 2.48 degrees for lower incisors was noted, increasing the L1-MP angle from 103.25 ± 9.1 of pre-treatment values to 105.73 ± 6.83 after treatment. There is also a decrease in the L6-MP angle (-2.14 ± 5.64), suggesting distal inclination of the crowns of the first molar. | SN-OP (°), OP-MP (°), L6-MP (°), L6-MP (mm), PM-MP (mm), ICW (mm), and IWM (mm), exhibited statistical significance between pre- and post-treatment. There is no significant difference in CoS reduction between the categorical variables. Despite statistically significant differences in the parameters between pre-and post-treatment, the linear correlation between most of the variables and CoS reduction ranged from very weak (<0.20) to weak (0.20–0.39). The association of the WALA-M (mm), overjet, and overbite with the flattening of the CoS from pretreatment to post-treatment is positive, and the correlation is statistically significant. Other variables ANB, FMA, SN-OP, OP-MP, CG, L1-MP (mm), PM-MP (mm), ICW (mm), IMW (mm), and WALA-PM (mm) exhibited a positive correlation, but that is not statistically significant. | The vertical extrusion of lower premolars and molars combined with the intrusion of lower incisors contributed to the reduction of the CoS by reverse curve wires. The increase in transverse arch widths contributes to the correction of deep bites. There is a change in the orientation of the occlusal plane with the flattening of the CoS. |
| Hellsing, E., 1990 [46] | Case–control Prospective | n = 11 Experimental—with TMJ disorders (n = 10) Control—no TMJ disorders (n = 1) | 34 years 3 ♂ and 8 ♀ | Palatal arch with anterior bite plate. fixed appliances placed and, when necessary, PMs were extracted (n = 10). The maxillary lingual arch was not removed until the lower dental arch was stabilized with a 0.016 wire. | 2 years | Relief from headaches and TMJ pain with the use of the device. Average reduction in OB of 3.4 mm | Average treatment time to achieve molar occlusion. Leveling of the CoS after molar contact. Clinically observed OB reduction after molar contact. Proclination of the incisors. Intrusion of the incisors. | Relief from headaches and TMJ pain after 1 week of using the lingual arch. Improved jaw mobility due to the bite opening provided by the device. Increased mandibular inclination. Increased lower facial height (LAFH). | Lingual arches with bite plates are effective in relieving signs and symptoms of temporomandibular disorders. The average time for molars to have occlusal contact and decrease the OB was 3 m. |
| Jeong, H. et al., 2020 [47] | Cohort Retrospective | n = 33 Group I—flat CoS (n = 18). Group II—deep CoS (n = 15) | 27.8 years. 3 ♂ and 30 ♀ | Extraction of the 4 PMs and anterior mandibular subapical osteotomy | Does not refer | The mean retraction of the lower incisors was 4.04 mm at the edge and 4.29 mm at the apex. The intrusion of the lower incisors was 3.33 mm at the edge and 3.42 mm at the apex. Correlation between anterior segment movements and airway-related parameters | The axis of the lower incisors did not change significantly. Patients with a deep CoS demonstrated significantly greater intrusion of the incisors, while the axis of the incisors became more pro-inclined. | The lower pharyngeal airway became narrower, and the hyoid bone moved downward after surgery. The decrease in the lower pharyngeal airway space was correlated with apex retraction and proclination of the lower incisors. Point B moved posteriorly. Head posture was not significantly influenced by surgery. Surgery should be performed with caution in patients with skeletal class II who are vulnerable to airway problems. | The anterior segment motion envelope was 6.5 to 7.2 mm of retraction and 5.6 to 5.8 mm of intrusion. Increased intrusion to level the CoS compromised anterior segment verticalization. To establish accurate surgical treatment goals, a balance must be made between the amount of intrusion and changes in the axis of the lower incisors. |
| Koyama, T., 1979 [48] | Cohort Retrospective | n = 20 | Start of treatment: 13 to 11 m, end of treatment: 17 to 5 m, end of retention: 19 to 11 m | Edgewise device and extraction of the four PMs | Does not refer | In op 1–6 after retention, a slight curve similar to that of the post-treatment cases was observed. In op 1–7 after retention, the curve became slightly deeper in the mandible. It was not possible to establish whether this deepening of the curve in the mandible was due to treatment relapse or occlusal movement after treatment. | When CoS in subjects with normal occlusion was compared with orthodontic patients: -After active treatment: smooth and slight curve, except in the lateral incisors, the CoS in the mandible tends to be flat. -After retention: reverse curve or straight line. | The OB grades were 59.2% preoperative, 42.6% postoperative, and 41.4% post-retention. | In orthodontic patients, the CoS is reversed or straight both after treatment and after retention. |
| Kravitz, N. et al., 2023 [49] | Cohort Prospective | n = 58 | Teenage group: 15.1 years, 9 ♂ and 20 ♀. Adult group: 40.7 years, 7 ♂ and 22 ♀ | Invisible aligners (with bite ramps on the upper incisors) with reverse curve implemented | 1 year | The mean accuracy of intrusion of the lower incisors was 63.5% in adolescents and 45.3% in adults. The intrusion accuracy of the lower central incisors was 52.1% and of the lateral incisors 56.5% (no statistical significance) | The amount of intrusion achieved was 1.7 mm in adolescents and 0.9 in adults (statistically significant difference). | Weak negative correlation between age and accuracy, with advancing age the accuracy of intrusion decreases slightly | Lower incisor intrusion with aligners is significantly more accurate in adolescents than in adults. No statistical difference in intrusion accuracy between lower central and lateral incisors with horizontal attachments placed on the lateral incisors. Orthodontists may consider reducing the degree of overcorrection for lower incisor intrusion in adolescents with deep bites who implementing the reverse curve of Spee mechanics. |
| Lie, F. et al., 2006 [50] | Cohort retrospective | n = 135 TLA Group (n = 100) ULA Group (n = 35) | T1 (before treatment): 12.0 ± 1.5 years; T2 (end of treatment): 14.6 ± 1.5 years; T3 (after 3 years without retention): 26.6 ± 5.0 years. 50 ♂ and 85 ♀ | The upper arch was treated in all subjects. The lower arch was treated in 100 subjects (TLA group) and 35 (ULA group) were untreated. In patients in whom both arches were treated, 47 had extraction of four PMs and 53 had treatment without extractions. | 3 years after retention | Post-treatment CoS depth often unstable. Post-treatment stability appeared to be more frequent in the TLA group than in the ULA group, but without statistical significance. The results suggest that an ideal curve depth of about 2.0 mm at T2 is associated with the least amount of post-treatment change. Changing from flat curves during treatment often leads to long-term CoS instability. In the TLA group, originally deep curves showed more stability than originally flat or normal curves. In the ULA group, originally normal curves showed more stability than originally flat or deep curves. | In the TLA group, 52 patients remained stable in terms of curve depth, 29 relapsed and 19 underwent a spontaneous change to another curve type. In the ULA group, 21 patients remained stable, 5 relapsed and 9 underwent a spontaneous change. TLA group with−0.8 mm of curve depth between T1–T2 and an increase of 0.3 mm between T2–T3 (relapse of 37.5%). ULA group with +0.1 mm of curve depth between T1–T2 and −0.2 mm between T2–T3. TLA group decreased curve depth between T1–T2 associated with an increase between T2–T3 and distal displacement of the deepest point between T1–T2 related to a mesial relocation between T2–T3. | The deepest point of the curve was displaced distally during T1–T2 and showed mesial relocation during T2–T3. Deep curve at T2 was associated with decreased curve depth between T2–T3. TLA group showed differences in CoS depth and deepest point over time without significant interaction with sex and lower dental extractions. TLA group showed positive correlation between curve depth and OB only at T1. Changes in OB correlated positively with changes in curve depth between T1–T2 (not between T2–T3). Curve depth at the end of treatment explained 26% of the total variation in curve depth between T2–T3. 47% of the post-treatment change in the deepest point can be explained by extraction treatment, more distal location of the deepest point and pro-inclination of the lower incisors at the end of treatment. | Both the depth of the mandibular CoS and the location of its deepest point after orthodontic treatment are often unstable. Greater stability can be expected after relatively large changes in leveling of deep curves during treatment compared to smaller changes. The only predictor of post-treatment CoS depth change was the depth at the end of treatment; a CoS of approximately 2 mm at the end of treatment appears to be associated with favorable long-term stability. Predictors for post-treatment change in deepest point location were extractions in the lower arch, deepest point location, and lower incisor proclination at end of treatment. |
| Lim, Z. et al., 2023 [51] | Cohort Retrospective | n = 53 | 33 years. 16 ♂ and 37 ♀ | Invisible aligners | Does not refer | Significant difference between predicted and actual mean maxillary CoS leveling (46%), with a deficiency of 0.11 mm. Planned intrusion tended to be more accurate posteriorly, with an overexpression of 117% for the 1st molars. Planned extrusion was the least accurate, with the mild arch demonstrating expressions of −14% to −48% (teeth intruded despite a prescribed extrusive movement) | No significant difference was found between predicted and actual movements of the molars and 2nd PMs in the planned intrusive movement. Within the planned intrusion subgroup, there was a significant mean deficit for the 1st PMs and canines. There were significant differences between all predicted and actual movements within the planned extrusion subgroup. The mean expression for the 1st molars and PMs demonstrated an intrusive movement despite the planned extrusion. | The clear aligner did not accurately predict maxillary CoS leveling. Planned intrusive movements were overcorrected, and planned extrusive movements were under corrected or resulted in intrusion (effect was most apparent for the maxillary 1st M). Attempting to open the bite or level the maxillary CoS by extruding the maxillary molars with aligners may not produce the desired result. The use of attachments or prescribing overcorrection should be considered within ClinCheck when planning maxillary posterior extrusion. | |
| Lupatini, P. et al., 2015 [52] | Cohort Retrospective | n = 10 | Initial (T0): 15.7 ± 8.04 years; After (T1): 19.8 ± 7.71 years; Retention (T2): 27.9 ± 7.96 years. 7 ♀ and 3 ♂ | Treatment without extractions or orthognathic surgery | 8.4 ± 0.69 years | The mean CoS correction was 1.36 mm (73.11%) and the mean recurrence was 0.03 mm (2.2%). There was no significant difference between the T1–T2 values on the right or left side. On the other hand, there was a significant difference between the T0–T1 and T0-T2 values. | The mean CoS depth at T0 was 1.86 mm, 0.50 mm at T1 and 0.53 mm at T2. The mean depth correction was 1.36 mm (73.11%) and the mean recurrence was 0.03 mm (2.2%). | The results suggest that there was no significant recurrence of CoS, being a stable procedure after 8 years of treatment in mesocephalic patients who still use fixed mandibular retention. The values found between T0 and T1 show that the CoS was leveled during orthodontic treatment. | |
| Martins, D. et al., 2012 [53] | Cohort Retrospective | n = 56 Group I—increased OJ and OB (n = 28) Group II—increased OJ, normal OB (n = 28) | Group I: 13.41 years, 16 ♂ and 12 ♀ Group II: 13.27 years, 16 ♂ and 12 ♀ | Edgewise device and extraction of two or four PMs. Group I: continuous arch with sharp curve or reverse curve Group II: no intrusive mechanics | Does not refer | Group I showed greater root resorption than group II. The initial severity of overbite and the amount of correction had significant positive correlations with root resorption. | Group I showed greater changes in overbite treatment than Group II. | Group I presented a higher degree of root resorption. The combination of anterior retraction with intrusive mechanics causes more root resorption than anterior retraction of the maxillary incisors alone. | Patients with deep overbite treated with intrusion mechanics aimed at accentuating and reversing CoS, combined with anterior retraction, presented statistically greater root resorption of the upper incisors than patients with a normal overbite treated with anterior retraction without intrusion. There was a statistically significant positive correlation of root resorption with the initial severity of the overbite and with the amount of correction. |
| Nasrawi, Y. et al., 2022 [54] | RCT | n = 53 Group 1—stainless steel 0.017 × 0.025 reverse curve (n = 18) Group 2-stainless steel 0.019 × 0.025 reverse curve (n = 17) Group 3—TMA 0.021 × 0.025 reverse curve (n = 18) | Group 1: 12 ♀, 6 ♂ Group 2: 12 ♀, 5 ♂ Group 3: 15 ♀, 3 ♂ | Stainless steel arc 0.017 × 0.025 reverse curve; stainless steel arc 0.019 × 0.025 reverse curve; TMA arc 0.021 × 0.025 reverse curve. 6 m | Does not refer | The 3 arches were effective in leveling and safe for the roots of the lower anterior teeth. Statistically significant difference between reduction of groups 1 and 2 and groups 2 and 3. | Significant monthly reduction in CoS in all groups. Group 2 with greater reduction compared to groups 1 and 3. CoS reduction of 3.82 mm, 4.47 mm, and 3.85 mm in groups 1, 2, and 3, respectively. Arch length and width increased significantly in groups 2 and 3. | During CoS leveling, the external apical root resorption of the lower incisors ranged from 0.68 to 0.72 mm, from 0.63 to 0.82 mm, and from 0.53 to 0.88 mm in groups 1, 2, and 3, respectively (p > 0.05), being similar in groups 1 and 2 and greater in group 3. Higher pain scores were observed in group 2. | The 3 arches were effective in leveling the CoS with minimal external apical root resorption. CoS was leveled by intrusion and proclination of the lower incisors and extrusion of the lower molars. Intrusion was more pronounced in group 3 and extrusion was more pronounced in group 1. Pain was greater in group 2 during the first 24 h, and after 48 h it was similar in all groups. |
| Nawaz, A. et al., 2018 [55] | Cohort Prospective | n = 35 | 15.05 ± 2.65 years. 13 ♂ and 22 ♀ | 0.019-inch continuous stainless steel archwire with opposing archwire in the lower arch. | Does not refer | The mean changes (T2-T1) for L4-MP were statistically significant. | There was an average extrusion of 3.25 ± 3.44 mm of the 1st s PM The mean reduction in overbite, 7 months after insertion of the continuous orthodontic archwire with opposing archwire (T2-T1), was 3.67 ± 2.94 mm. | The mean reduction in OJ, (T2-T1) was 4.75 ± 3.79 mm. The mean change (T2-T1) in IMPA was statistically significant. L1-APog increased significantly by 3.39 ± 2.98 mm. The PFO-MP angle showed a mean increase of 4.30 ± 6.4°, statistically significant. | The continuous arch method effectively leveled the CoS. The CoS leveling was mainly due to the extrusion of the PMs, protrusion of the mandibular teeth and increase in IMPA, significantly increasing the functional occlusal plane in the mandibular plane and the height of the lower face. |
| Pandis, N. et al., 2010 [56] | Cohort Prospective | n = 50 | 13.8 ± 1.3 years. 10 ♂ and 40 ♀ | Straight archwire appliance. Sequence: 0.014 or 0.016 ideal form Sentalloy, followed by 0.020 ideal form Sentalloy, 0.020 stainless steel wire and 0.018 × 0.025 stainless steel wire | Does not refer | The CoS showed an average decrease of 0.9 mm, with 50% of cases ranging between 0.4 mm and 1.4 mm. The only predictor of curve leveling was the angle of the lower incisors in relation to the mandibular plane | The CoS showed an average decrease of 0.9 mm, with 50% of cases ranging from 0.4 mm to 1.4 mm. A 4-degree proclination of the lower incisors resulted in a 1-mm leveling. Incisor inclinations increased | Increased intercanine and intermolar widths | The CoS is primarily leveled by proclination of the lower incisors. For every 1 mm of leveling, the incisors proclination 4 degrees, without increasing the arch width. |
| Preston, C. et al., 2008 [57] | RCT | n = 44 Alexander Group—continuous arch (n = 31) Bench Group—segmented arch (n = 13) | Alexander Group: T1 (before treatment)—12 years and 6 m; T2 (2 m after treatment)—14 years and 11 m, T3 (after retention)—26 years and 4 m Bench Group: T1-13 years and 6 m, T2-16 years and 2 m, T3-22 years and 5 m | Alexander Continuous Arch Technique or Bioprogressive Segmented Arch Technique | Alexander Group: 11 years and 5 m Bench Group: 4 years and 1 m | 22 patients in the Alexander group were level at T2. 9 patients in the Bench group were level at T2. There was no significant correlation between CoS at T1 and recurrence. In both groups, patients who did not have a completely level curve at T2 relapsed more than those who did. | Statistically significant reduction in CoS after treatment in both groups. Alexander group 71% completely leveled. Bench group 69% completely leveled | All occlusal characteristics had statistically significant differences between T1–T2 and T2–T3.
| Both techniques produced significant reductions in CoS (T1 to T2). Statistically significant but clinically insignificant post-retention relapse of CoS (T2 to T3). For both techniques, a statistically significant difference in the incidence of CoS relapse was observed between patients who were completely leveled post-treatment and those who were not. No correlation was found between pre-treatment CoS and relapse in any of the other occlusal characteristics studied. This study indicates that in well-treated patients, the observed relapse in CoS is minimal and occurs over a long period of time. |
| Rizvi, B. et al., 2013 [58] | Cohort Prospective | n = 31 | 14.03 ± 1.60 years. 10 ♂ and 21 ♀ | Stainless steel continuous arc reverse curve 0.018 | Does not refer | Significant reduction in OJ and OB. Significant increase in IMPA. Significant increase in L4-MP. Significant increase in L1-Apog. | Mean PM extrusion of 2.24 ± 2.43 mm (Significant increase in L4-MP). Non-significant change in L6-MP. Proclination of lower incisors. | Significant reduction in OB (53.5%) and OJ. Significant increase in IMPA. Significant increase in L1-Apog. Increase in LAFH (hourly rotation). | The continuous arch technique leveled the CoS in this sample of patients with Class II division 1 deep bite treated without extractions. Leveling occurred mainly by extrusion of the PMs, protrusion of the lower incisors and increase in the IMPA angle to a slightly higher limit than normal. Highly significant decreases were observed in the OJ and OB. |
| Rozzi, M. et al., 2017 [59] | Cohort Retrospective | n = 90 Group 1—low maxillomandibular angle (n = 30) Group 2—normal maxillomandibular angle (n = 30) Group 3—high maxillomandibular angle (n = 30) | 19 years and 4 m. 39 ♂ and 51 ♀ | Continuous arc technique | Does not refer | Skeletal variables: there was no significant change in the 3 groups. Dento-alveolar variables: group 1 with proclination and intrusion of the lower incisors, group 3 with extrusion of the posterior teeth and uprighting of the 1st and 2nd molars. | CoS modification was similar in the 3 groups. The mean CoS correction ranged from 2.69 mm for group 1 to 2.10 mm for group 3. | Between groups 2 and 3, a significant reduction in the inter-incisor angle was observed in group 2. Group 3-occlusal plane with increasing clockwise rotation. In all groups, improvement in OB | In group 1, leveling occurred by proclination and intrusion of the lower incisors. In group 3, leveling occurred by extrusion and verticalization of the posterior teeth. There were no significant differences between groups in the leveling of the CoS. |
| Rozzi, M. et al., 2019 [60] | Cohort Retrospective | n = 60 Group 1—low maxillomandibular angle (n = 21) Group 2—normal maxillomandibular angle (n = 20) Group 3—high maxillomandibular angle (n = 19) | 19.8 ± 1.4 years. 28 ♂ and 32 ♀ | Continuous arch technique (combined with class II intermaxillary elastics and interproximal reduction of the incisors). T1: Before treatment T2: End of treatment T3: 2 years after treatment | 2 years | In group 1, the leveling of the CoS occurred by proclination and intrusion of the lower incisors, while in group 3 the CoS was leveled by extrusion and verticalization of the lower posterior teeth. Group 1 showed significant relapse of the inclination of the lower incisors. On the other hand, group 3 had greater stability in the leveling of the CoS obtained by the stable extrusion of the posterior teeth. | Between T2-T1: No difference in CoS reduction. The mean CoS leveling ranged from −2.87 mm in group 1 to −2.08 mm in group 3. Between T3-T2: greater CoS relapse in group 1 (CoS: +1.52 mm) compared with group 3 (CoS: +0.53 mm). Group 3 with increased axial angulation of the 1st and 2nd molars | Between T2-T1: Group 1 with decreased clockwise rotation of the occlusal plane, with no difference between groups in OB correction. Group 3 with less reduction in the inter-incisor angle compared to group 1. Between T3-T2: Group 3 with greater stability of the inter-incisor angle. Greater relapse of the OB in group 1. | Leveling without statistically significant difference between groups, occurring by proclination and intrusion in group 1 and by extrusion of the posterior teeth in group 3. The long-term instability of the proclination of the incisors determined the relapse of the OB and CoS in group 1. |
| Rozzi, M. et al., 2022 [9] | Cohort Retrospective | n = 62 Group I—aligners (n = 30) Group F—continuous arch (n = 32) | Group I: 24 years and 5 m (±19 m), 13 ♂ and 17; Group F: 22 years and 4 m (±21 m), 12 ♂ and 20 ♀ | Continuous arch technique or invisible aligners | Does not refer | Leveling of the CoS was obtained in both groups. Group F presented extrusion of the posterior teeth and proclination of the lower incisors. Group I presented intrusion of the lower incisors. | Group F: statistically significant leveling (−2.3 mm). Group I: statistically significant leveling (−2.2 mm), intrusion and proclination of the lower incisors and retroclination of the upper incisors. More proclination in group F than in I. | Group F: statistically significant clockwise rotation of the occlusal plane, significant decrease in OJ and OB, and decrease in the interincisor angle. Group I: counterclockwise rotation with minimal reduction in the Sella-MP angle, significant decrease in OJ and OB, with increase in the interincisor angle (no statistical significance). | Both methods effectively level CoS, with no statistically significant differences in CoS values when comparing T1–T0 between the 2 groups. |
| Shakhtour, F. 2024 [61] | RCT | n = 62 Group I—0.019 × 0.025 SS reverse CS with crown labial torque (n = 20) Group II—0.019 × 0.025 SS Reverse CS without crown labial torque (n = 22) Group III—rocking-chair NiTi 0.016 × 0.022 with reverse CS (n = 20) | Group I—20.5 years, 7 ♂ and 13 ♀ Group II—19.4 years, 10 ♂ and 12 ♀ Group III—18.2 years, 9 ♂ and 11 ♀ | 0.019 × 0.025-inch SS archwire with reverse CS with crown labial torque or 0.01 × 0.025-inch SS Reverse CS with zero crown labial torque or rocking-chair NiTi 0.016 × 0.022-inch with reverse CS | Does not refer | The lower incisor angular change was significantly smaller in Group II compared to Group I and Group III. Lower incisor anterior movement was reduced in Group II compared to Group I and Group III. Group III showed significantly more downward movement of the lower Incisors. The three groups showed comparable amounts of true intrusion. | The angular change of lower incisors was significantly smaller in group II (0.3°) compared to Group I (4.8°) and Group III (6.0°, p < 0.001). There was a significant difference in the anterior movement between Group II and Group I (p = 0.014) and Group III (p = 0.008). There was no significant difference in lower incisor proclination and forward movement between Group I and Group III | The lower incisors in group III showed significantly more downward movement (1.945 mm) in comparison to group I (1.01 mm) and II (0.97 mm, p < 0.001). No significant differences were detected among the three groups in relation to the intrusion of point I (p = 0.536). | 0.016 × 0.022 NiTi and 0.019 × 0.025 SS with crown labial torque reverse CS archwires resulted in similar proclination and forward movement of the lower incisors. Removal of anterior crown labial torque from the 0.019 × 0.025 SS reverse CS archwire prevents lower incisor proclination and forward movement. 0.016 × 0.022 reverse CS NiTi archwire exhibited the highest degree of downward movement of the lower incisor incisal edge. No significant difference in true intrusion of the lower incisors was detected among the groups. |
| Shannon, K.R., & Nanda, R.S., 2004 [62] | Cohort Retrospective | n = 50 | 14 years and 5 m. 24 ♂ and 26 ♀ | Verticalization of molars, extrusion of PMs, intrusion or vestibularization of incisors. 20 patients with extractions and 30 without extractions | Average: 2 years and 8 m (from 2 years to 5 years and 8 m) | On average, CoS leveled to maximum depth 0.57 ± 0.54 mm. No differences in CoS relapse (approximately 16%) between groups with/without extractions and between dental classes. Statistically significant correlation between CoS relapse and verticalization of the 2nd M. | With treatment: extrusion of the 1st and 2nd molars, 1st and 2nd PMs, intrusion and proclination of the lower incisors. Post-retention: posterior teeth continued to erupt, and the 2nd molar angled mesially and incisors extruded. |
| Relatively stable CoS leveling after treatment. CoS corrected in 63% of patients, but with 16% relapse. No significant differences in CoS relapse between groups with/without extractions. Correlation between CoS relapse and post-retention changes in OB and irregularity index. Patients with fixed retainers relapse less than those with removable retainers |
| Sinha A., et al. 2024 [63] | Cohort Retrospective | n = 168 | 18.5 years 84 ♀ and 84 ♂ | Reverse curve of Spee archwire | Does not refer | Significant reduction in OB Altered inclinations of maxillary and mandibular incisors Reduced ANB angle Patient satisfaction | Maxillary incisor inclination: 2.8 mm (p 0.002) Mandibular incisor inclination: −2.3 (p 0.008) | OB: −4.1 (p < 0.001) ANB angle: −0.7 (p 0.015) Patient satisfaction: remarkable improvement in the perceived treatment progress. Subgroup analysis based on age and sex reveals consistent changes in cephalometric parameters across different groups | Efficacy of reverse CoS archwires in the correction of deep bite malocclusion |
| Sondhi, A. et al., 1980 [64] | Cohort Retrospective | n = 53. Sub-sample: n = 15 | Does not refer | Edgewise | Minimum 2 years | The group that had molar eruption during the post-treatment period exhibited a stable correction of the overbite, unlike the other study group. | Vertical changes in molar position during treatment did not show a definitive association with the stability of the corrected overbite. The association between the stability of the overbite dimension and incisor intrusion or extrusion was not statistically significant. | Stable overbite correction in patients with molar eruption during the post-treatment period. Overbite relapse in patients without molar eruption during the post-treatment period. Correlation between changes in maxillary arch length and maxillary incisor inclination to the SN plane. Correlation between changes in mandibular arch length and mandibular incisor inclination to the mandibular plane, with non-high correlation values. | Eruption of the 1st M during the post-treatment period is associated with greater stability in the overbite. Overbite relapse does not show significant differences between cases in which the incisors are intruded during treatment and those in which they are not. The correlation between changes in dental arch length and changes in incisor inclination is not high. The depth of the CoS does not show a significant correlation with the inclination of the occlusal plane. |
| Theerasopon, P. et al., 2021 [65] | RCT | n = 30. Group 1—simultaneous control, leveling and alignment (n = 15). Group 2—experimental, initially aligned, later leveled (n = 15) | 22.48 years. 11 ♂ and 19 ♀ | Group 1—aligned with NiTi 0.014 and 0.016 and stainless steel 0.016 × 0.016 and 0.016 × 0.022; Group 2- aligned with NiTi 0.014” and 0.016, then leveled with stainless steel 0.016 × 0.016, with a passive CoS and TMA 0.016” × 0.022” with accentuated CoS, then stainless steel 0.016 × 0.022 | Does not refer | Group 1 | CoS Reduction Incisor projection Incisor intrusion Group 2 showed significantly lower incisor projection with greater incisor intrusion. The CoS in Group 2 showed significantly greater reduction (−2.88 mm) than in Group 1 (−1.69 mm). | Gum recession Dental crowding Treatment time in group 2 was significantly longer than in group 1 | The type of archwire used significantly influences the projection of the lower incisors and the leveling of the CoS. Group 1, treated with round arches, presented a notable projection of the lower incisors, especially exacerbated when rectangular arches were used. Group 2 showed minimal projection of the lower incisors, accompanied by a greater reduction in CoS. These results highlight the importance of choosing the appropriate arch type to achieve the desired orthodontic goals, such as tooth alignment and CoS correction for a satisfactory aesthetic and functional result. |
| -Round arch: the lower incisors tipped labially and intruded, reduction of the CoS 1.19 mm. -Rectangular arch: the lower incisors intruded and projected additionally. | |||||||||
| Group 2 | |||||||||
| -Round arch: lower incisors tilted slightly buccally, without significant intrusion. -Rectangular arch: incisors, for the most part, intruded, with a slight projection. |
| Comparison | Outcome (mm) | Control (mean, mm) | Mean Difference (95% CI) | Prediction Interval (mm) |
|---|---|---|---|---|
| Aligners vs. Conventional Appliances | Primary tooth movement/alignment | 2.5 mm | −0.8 mm (−2.5 to +0.9) | −4.3 to +2.7 |
| Conventional Appliances with Extractions vs. Without Extractions | Space closure/retraction | 3.0 mm | +0.5 mm (−1.5 to +2.4) | −3.8 to +4.9 |
| Overall | Mean tooth displacement | 2.8 mm | Range across interventions: −1.2 mm to +1.0 mm | −4.6 to +3.7 |
| Outcome | No. Studies/Subjects | Risk of Bias | Inconsistency | Indirectness | Imprecision | Publication Bias | Overall Certainty |
|---|---|---|---|---|---|---|---|
| Conventional appliances | 17/852 | Very serious 1 | Very serious 2 | Not serious | Serious 3 | Not assessed 4 | ⊕⊝⊝⊝ VERY LOW |
| Conventional appliances with extractions | 3/295 | Very serious 5 | Very serious 6 | Not serious | Very serious 7 | Not assessed 4 | ⊕⊝⊝⊝ VERY LOW |
| Invisible aligners | 2/115 | Serious 8 | Very serious 9 | Not serious | Very serious 10 | Not assessed 4 | ⊕⊝⊝⊝ VERY LOW |
Disclaimer/Publisher’s Note: The statements, opinions and data contained in all publications are solely those of the individual author(s) and contributor(s) and not of MDPI and/or the editor(s). MDPI and/or the editor(s) disclaim responsibility for any injury to people or property resulting from any ideas, methods, instructions or products referred to in the content. |
© 2025 by the authors. Licensee MDPI, Basel, Switzerland. This article is an open access article distributed under the terms and conditions of the Creative Commons Attribution (CC BY) license (https://creativecommons.org/licenses/by/4.0/).
Share and Cite
Francisco, I.; Pinto, A.L.; Nunes, C.; Prata Ribeiro, M.; Caramelo, F.; Marto, C.M.; Paula, A.B.; Travassos, R.; Vale, F. Effectiveness of Orthodontic Methods for Leveling the Curve of Spee: A Systematic Review with Meta-Analysis. Appl. Sci. 2025, 15, 12217. https://doi.org/10.3390/app152212217
Francisco I, Pinto AL, Nunes C, Prata Ribeiro M, Caramelo F, Marto CM, Paula AB, Travassos R, Vale F. Effectiveness of Orthodontic Methods for Leveling the Curve of Spee: A Systematic Review with Meta-Analysis. Applied Sciences. 2025; 15(22):12217. https://doi.org/10.3390/app152212217
Chicago/Turabian StyleFrancisco, Inês, Ana Lúcia Pinto, Catarina Nunes, Madalena Prata Ribeiro, Francisco Caramelo, Carlos Miguel Marto, Anabela Baptista Paula, Raquel Travassos, and Francisco Vale. 2025. "Effectiveness of Orthodontic Methods for Leveling the Curve of Spee: A Systematic Review with Meta-Analysis" Applied Sciences 15, no. 22: 12217. https://doi.org/10.3390/app152212217
APA StyleFrancisco, I., Pinto, A. L., Nunes, C., Prata Ribeiro, M., Caramelo, F., Marto, C. M., Paula, A. B., Travassos, R., & Vale, F. (2025). Effectiveness of Orthodontic Methods for Leveling the Curve of Spee: A Systematic Review with Meta-Analysis. Applied Sciences, 15(22), 12217. https://doi.org/10.3390/app152212217

