Sign in to use this feature.

Years

Between: -

Subjects

remove_circle_outline
remove_circle_outline
remove_circle_outline
remove_circle_outline
remove_circle_outline
remove_circle_outline
remove_circle_outline
remove_circle_outline

Journals

Article Types

Countries / Regions

Search Results (121)

Search Parameters:
Keywords = off-design simulations

Order results
Result details
Results per page
Select all
Export citation of selected articles as:
19 pages, 16674 KB  
Article
The Influence of Leading Edge Tubercle on the Transient Pressure Fluctuations of a Hubless Propeller
by Max Hieke, Matthias Witte and Frank-Hendrik Wurm
Int. J. Turbomach. Propuls. Power 2026, 11(1), 4; https://doi.org/10.3390/ijtpp11010004 - 31 Dec 2025
Abstract
In recent years, the design priorities of modern marine propellers have shifted from maximizing efficiency to minimizing vibration-induced noise emissions and improving structural durability. However, an optimized design does not necessarily ensure optimal performance across the full operational range of a vessel. Due [...] Read more.
In recent years, the design priorities of modern marine propellers have shifted from maximizing efficiency to minimizing vibration-induced noise emissions and improving structural durability. However, an optimized design does not necessarily ensure optimal performance across the full operational range of a vessel. Due to operational constraints such as reduced docking times and regional speed regulations, propellers frequently operate off-design. This deviation from the design point leads to periodic turbulent boundary layer separation on the propeller blades, resulting in increased unsteady pressure fluctuations and, consequently, elevated hydroacoustic noise emissions. To mitigate these effects, bio-inspired modifications have been investigated as a means of improving flow characteristics and reducing pressure fluctuations. Tubercles, characteristic protrusions along the leading edge of humpback whale fins, have been shown to enhance lift characteristics beyond the stall angle by modifying the flow separation pattern. However, their influence on transient pressure fluctuations and the associated hydroacoustic behavior of marine propellers remains insufficiently explored. In this study, we apply the concept of tubercles to the blades of a hubless propeller, also referred to as a rim-drive propeller. We analyze the pressure fluctuations on the blades and in the wake by comparing conventional propeller blades with those featuring tubercles. The flow fields of both reference and tubercle-modified blades were simulated using the Stress Blended Eddy Simulation (SBES) turbulence model to highlight differences in the flow field. In both configurations, multiple helix-shaped vortex systems form in the propeller wake, but their decay characteristics vary, with the vortex structures collapsing at different distances from the propeller center. Additionally, Proper Orthogonal Decomposition (POD) analysis was employed to isolate and analyze the periodic, coherent flow structures in each case. Previous studies on the flow field of hubless propellers have demonstrated a direct correlation between transient pressure fluctuations in the flow field and the resulting noise emissions. It was demonstrated that the tubercle modification significantly reduces pressure fluctuations both on the propeller blades and in the wake flow. In the analyzed case, a reduction in pressure fluctuations by a factor of three to ten for the different BPF orders was observed within the wake flow. Full article
50 pages, 1835 KB  
Review
Overview of the Energy Conservation and Sustainable Transformation of Aerospace Systems with Advanced Ejector Technology
by Yiqiao Li, Hao Huang, Siyuan Liu, Caijing Ge, Jing Huang, Shengqiang Shen, Yali Guo and Yong Yang
Energies 2026, 19(1), 221; https://doi.org/10.3390/en19010221 - 31 Dec 2025
Abstract
As an energy-saving fluid machinery component, the ejector holds significant potential for promoting energy conservation and sustainable transformation in aerospace. This review synthesizes recent progress, identifies persistent challenges, and outlines future directions for ejector technology in this field, addressing a gap in existing [...] Read more.
As an energy-saving fluid machinery component, the ejector holds significant potential for promoting energy conservation and sustainable transformation in aerospace. This review synthesizes recent progress, identifies persistent challenges, and outlines future directions for ejector technology in this field, addressing a gap in existing reviews. (1) In aero-engine systems, performance faces constraints from high-speed compression effects and flow losses. These systems require optimized design across a wide range of speeds. A mixed configuration incorporating a blade mixer achieved a 5~7% thrust increase under static conditions. (2) In high-altitude test facilities, transient start-up and flow instability under off-design conditions demand more precise models and control strategies. An alternative solution using a second throat exhaust diffuser reduced the start-up time by 50~70%. (3) In rocket-based combined cycle engines, development is limited by thermal choking, mode transition, and combustion-flow coupling issues. Optimization of the rocket layout and geometric throat increased the bypass ratio in ejector mode by 35% and improved the specific impulse by 12.5%. Future efforts should focus on constructing multi-physics coupling numerical simulation models for ejectors, analyzing unsteady flow behavior and thermal effects within ejectors, and developing performance optimization strategies based on intelligent control. These approaches are expected to enhance the engineering applicability and system efficiency of ejector technology in the aerospace field, which is increasingly focused on energy conservation and sustainable transformation. Full article
Show Figures

Figure 1

32 pages, 3477 KB  
Article
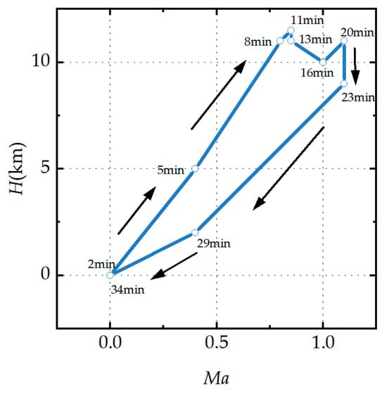
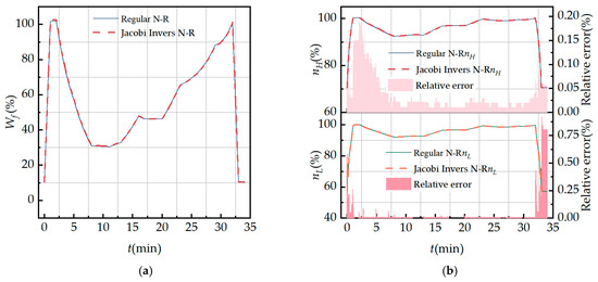
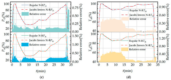
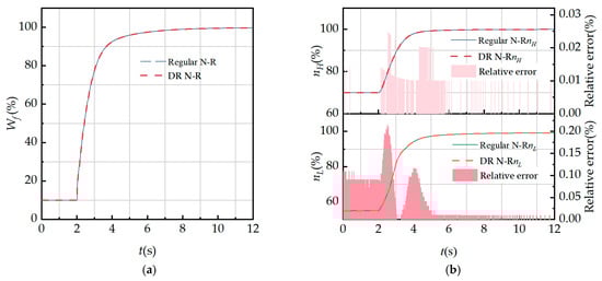
Research on Real-Time Improvement Methods for Aircraft Engine Onboard Models
by Lin Guo, Rong Wang, Ying Chen, Wenxiang Zhou and Jinquan Huang
Aerospace 2026, 13(1), 33; https://doi.org/10.3390/aerospace13010033 - 28 Dec 2025
Viewed by 109
Abstract
Onboard models serve as the foundation for the advanced control and fault diagnosis of aero-engines. Currently, to address the issues of high computational complexity and insufficient real-time performance in component-level aero-engine models, three improvement methods are proposed: constructing the Jacobian matrix along the [...] Read more.
Onboard models serve as the foundation for the advanced control and fault diagnosis of aero-engines. Currently, to address the issues of high computational complexity and insufficient real-time performance in component-level aero-engine models, three improvement methods are proposed: constructing the Jacobian matrix along the reverse flow path to avoid redundant calculations; reducing the number of initial guess variables and equations in the engine co-working system through aerothermodynamic analysis, thereby achieving dimensionality reduction in the nonlinear equation sets; and leveraging the minimal variation in Jacobian inverse elements across the full flight envelope to replace them with fixed gains, thus simplifying transient performance calculations. Simulation results demonstrate that, compared to the regular Newton-Raphson method, the reverse flow method reduces the steady-state, regular transient, and small-step transient calculation time by 27.6%, 33.9%, and 30.8%, respectively, with a maximum relative error within 1.6%; the dimensionality reduction method for equations cuts the steady-state, regular transient, and small-step transient calculation time by 20.1%, 11.4%, and 11.8%, with a maximum relative error within 1.4%; and the constant Jacobian matrix inverse method reduces the calculation time by 50.9% during full flight envelope transient performance simulation, with a maximum relative error below 1.6%. All methods improve real-time performance under rated operating conditions. However, only the reverse flow method preserves both high efficiency and accuracy under off-design operating conditions. Full article
(This article belongs to the Section Aeronautics)
Show Figures

Figure 1

23 pages, 5602 KB  
Article
Transient Analysis of Vortex-Induced Pressure Pulsations in a Vertical Axial Pump with Bidirectional Flow Passages Under Stall Conditions
by Fan Meng, Haoxuan Tang, Yanjun Li, Jiaxing Lu, Qixiang Hu and Mingming Ge
Machines 2026, 14(1), 34; https://doi.org/10.3390/machines14010034 - 25 Dec 2025
Viewed by 144
Abstract
Vertical axial-flow pumps with bidirectional passages are widely used in applications requiring flow reversal. However, their unique inlet geometry often leads to asymmetric impeller inflow conditions. This study investigates the internal flow behavior and pressure pulsation characteristics of a vertical bidirectional axial-flow pump [...] Read more.
Vertical axial-flow pumps with bidirectional passages are widely used in applications requiring flow reversal. However, their unique inlet geometry often leads to asymmetric impeller inflow conditions. This study investigates the internal flow behavior and pressure pulsation characteristics of a vertical bidirectional axial-flow pump under design, critical stall, and deep stall conditions using unsteady Reynolds-averaged Navier–Stokes simulations combined with Fast Fourier Transform and wavelet analysis. Results show that the pump reaches peak efficiency at the design point, with critical and deep stall occurring at 0.6 Qdes and 0.5 Qdes, respectively. The head at the deep stall condition shows a further drop of 7.51% compared to the critical stall condition. This progressive performance degradation is attributed to vortex-induced blockage: it initiates with the intensification of the tip leakage vortex and evolves into large-scale separation vortices covering the suction surface under deep stall—a mechanism distinctly influenced by the bidirectional inlet’s stagnant water zone. Inlet asymmetry, reflected by a normalized velocity coefficient (Vn) below 0.6 in the stagnant water zone under design flow, is partially mitigated during stall due to flow confinement. Pressure pulsations at the blade leading edge are dominated by the blade passing frequency (BPF), with amplitudes under critical stall about 3.2 times those at design conditions. At the impeller outlet, critical stall produces a mixed dominant frequency (shaft frequency and BPF), whereas deep stall yields the highest pulsation amplitude (BPF ≈ 4.8 × the design value) resulting from extreme passage blockage. These findings clarify how bidirectional-inlet-induced vortices modulate stall progression and provide theoretical guidance for enhancing the operational stability of such pumps under off-design conditions. Full article
(This article belongs to the Section Turbomachinery)
Show Figures

Figure 1

26 pages, 56883 KB  
Article
Numerical Aerothermodynamic Analysis of a Centrifugal Compressor Stage for Hydrogen Pipeline Transportation
by Murillo S. S. Pereira Neto, Bruno J. A. Nagy and Jurandir I. Yanagihara
Processes 2025, 13(12), 4008; https://doi.org/10.3390/pr13124008 - 11 Dec 2025
Viewed by 346
Abstract
Hydrogen pipeline compression is essential for H2 transportation, with low molecular mass limiting achievable pressure ratios. Existing meanline-based studies offer little guidance on 3D-geometry generation, while existing CFD analyses provide limited insight into secondary flows, loss mechanisms, and off-design behavior. An in-house [...] Read more.
Hydrogen pipeline compression is essential for H2 transportation, with low molecular mass limiting achievable pressure ratios. Existing meanline-based studies offer little guidance on 3D-geometry generation, while existing CFD analyses provide limited insight into secondary flows, loss mechanisms, and off-design behavior. An in-house tool combining meanline, streamline-curvature, and genetic algorithms generates CAD-ready geometries, analyzed with steady 3D CFD from surge to choke. In the absence of H2 experimental data, validation on an air compressor showed CFD errors of 1% in pressure ratio and 2% in isentropic efficiency. Simulations of the H2 compressor reveal that tip-leakage vortices dominate rotor-exit nonuniformity and mixing losses. Two potential stall triggers are identified: (1) incidence-induced separation at the leading-edge hub corner; (2) vaneless diffuser rotating stall, as hub separation tendencies seem connected to reduced static-pressure recovery. However, a deeper characterization would require advanced unsteady schemes. At choke onset, the incidence reaches −10°, and the relative Mach number at the leading-edge tip is 0.63, indicating a subsonic negative-incidence stall rather than sonic choking. A meanline loss breakdown analysis corroborates CFD by showing that mixing losses and skin friction prevail. Design-improvement areas have been identified to enhance the performance of hydrogen compressors for future energy systems. Full article
(This article belongs to the Section Energy Systems)
Show Figures

Figure 1

22 pages, 5783 KB  
Article
A Conjugate Heat Transfer Approach to Analyze the Thermal Performance of a 1 MW Synchronous Motor–Generator
by ByungKon Kim and Jun Su Park
Electronics 2025, 14(24), 4867; https://doi.org/10.3390/electronics14244867 - 10 Dec 2025
Viewed by 204
Abstract
This study used a 3D numerical model to investigate the heat-flow behavior of a 1 MW synchronous motor–generator by creating a conjugate heat transfer model that included the rotating parts. The computational model involved complex solid/fluid interfaces, a rotor–stator gap, and a fan-driven [...] Read more.
This study used a 3D numerical model to investigate the heat-flow behavior of a 1 MW synchronous motor–generator by creating a conjugate heat transfer model that included the rotating parts. The computational model involved complex solid/fluid interfaces, a rotor–stator gap, and a fan-driven cooling path that passes through a stator’s external flow path in order to identify local temperature fields and flow distributions. Under design conditions, localized high-temperature regions were observed in the rotor coil because the cooling air was heated, and the airflow then diverged through the stator’s internal channels. On the contrary, periodic low-temperature areas were formed around the stator’s circumference as a result of conductive heat diffusion into the outer casing. A correlation was derived describing a relationship where the peak temperature decreased in a clear logarithmic manner as the cooling air mass flow rate increased. We confirmed that a cooling flow rate of at least 2.0 kg/s is needed to keep the rotor coil temperature below 120 °C within its operational limit under design points. Furthermore, the functional form of the temperature–flow rate relationship remained logarithmic, and the correlation coefficients in this relationship changed linearly with heat generation, even under off-design conditions, where the total heat generation was reduced to 88% of the design value and the ambient temperature was lowered. The study results will provide a practical basis for swiftly estimating peak temperature for various operating scenarios and for determining cooling paths and fan geometry to avoid repeating expensive simulations. Full article
(This article belongs to the Section Power Electronics)
Show Figures

Figure 1

15 pages, 3663 KB  
Article
Advancing Sustainable Refrigeration: In-Depth Analysis and Application of Air Cycle Technologies
by Lorenz Hammerschmidt, Zlatko Raonic and Michael Tielsch
Thermo 2025, 5(4), 52; https://doi.org/10.3390/thermo5040052 - 12 Nov 2025
Viewed by 881
Abstract
Air cycle systems, once largely replaced by vapour-compression technologies due to efficiency concerns, are now re-emerging as a viable and sustainable alternative for highly dynamic thermal applications and excel in ultra-low temperature. By using air as the working fluid, these systems eliminate the [...] Read more.
Air cycle systems, once largely replaced by vapour-compression technologies due to efficiency concerns, are now re-emerging as a viable and sustainable alternative for highly dynamic thermal applications and excel in ultra-low temperature. By using air as the working fluid, these systems eliminate the need for synthetic refrigerants and comply naturally with evolving environmental regulations. This study presents the conceptual design and simulation-based analysis of a novel air cycle machine developed for advanced automotive testing environments. The system is intended to replicate a wide range of climatic conditions—from deep winter to peak summer—through the use of fast-responding turbomachinery and a flexible control strategy. A central focus is placed on the radial turbine, which is designed and evaluated using a modular, open source framework that integrates geometry generation, off-design CFD simulation, and performance mapping. The study outlines a potential operating strategy based on these simulations and discusses a control architecture combining lookup tables with zone-specific PID tuning. While the results are theoretical, they demonstrate the feasibility and flexibility of the proposed approach, particularly the turbine’s role within the system. Full article
Show Figures

Figure 1

22 pages, 2499 KB  
Article
The Development of a Model-Based Methodology to Implement a Fused Health Indicator for a Solid Oxide Fuel Cell
by Andrea Ambrosino, Giovanni Bove, Marco Sorrentino and Fabio Postiglione
Energies 2025, 18(18), 4822; https://doi.org/10.3390/en18184822 - 10 Sep 2025
Viewed by 656
Abstract
Hydrogen-based technologies are growing, thanks to recent advancements in systems such as fuel cells and electrolyzers. The present work aims to develop a methodology for the definition of a fused health indicator to monitor the operating and health conditions of a solid oxide [...] Read more.
Hydrogen-based technologies are growing, thanks to recent advancements in systems such as fuel cells and electrolyzers. The present work aims to develop a methodology for the definition of a fused health indicator to monitor the operating and health conditions of a solid oxide fuel cell system. A suitable degradation model was built to yield four trendable output indicators, which were subsequently merged to create the fused health indicator. Subsequently, the assessment of off-design conditions and two realistic scenarios (leakage and constant excess of air working regime) was carried out. The health indicator has proved suitable for fault detection, prognostic applications, control strategy improvement, and health management. In particular, the methodology has underlined the necessity of making the control strategy adaptive with respect to degradation. Through this approach, it is observed that reducing the solid oxide fuel cell temperature difference by 10 °C can result in a 1.2% increase in lifetime. In contrast, the leakage simulation reveals a decrease of about 10.5% in the health state after 100 h, resulting in about a 21% lower end-of-life. Full article
Show Figures

Figure 1

22 pages, 8363 KB  
Article
Off-Design Performance Modeling of the Natural Gas-Fired Allam Cycle
by Federico D’Ambrosio, Lorenzo Colleoni and Silvia Ravelli
Energies 2025, 18(17), 4771; https://doi.org/10.3390/en18174771 - 8 Sep 2025
Viewed by 947
Abstract
This work focuses on modeling the performance of the natural gas-fired Allam cycle under off-design conditions. Key thermodynamic parameters, such as turbine inlet pressure (TIP), turbine inlet temperature (TIT), and turbine outlet temperature (TOT), were evaluated at part-load and varying environmental conditions. In [...] Read more.
This work focuses on modeling the performance of the natural gas-fired Allam cycle under off-design conditions. Key thermodynamic parameters, such as turbine inlet pressure (TIP), turbine inlet temperature (TIT), and turbine outlet temperature (TOT), were evaluated at part-load and varying environmental conditions. In the former case, different control strategies were implemented in the simulation code (Thermoflex®) to reduce the power output. In the latter case, the impact of ambient temperature (Tamb) on the minimum cycle temperature (Tmin) was evaluated. The ultimate goal is to predict the thermal efficiency (ηth) and its decrease due to partial load operation and warm climate, without thermal recovery from the air separation unit (ASU). With the most efficient partial load strategy, ηth decreased from 50.4% at full load to 40.3% at about 30% load, at nominal Tmin. The penalty caused by the increase in Tmin due to hot weather, up to Tamb = 30 °C, was significant at loads above 60%, but limited to 0.5 percentage points (pp). Full article
Show Figures

Figure 1

22 pages, 8772 KB  
Article
Compact Turbine Last Stage-Exhaust Hood: Aerodynamic Performance and Structural Optimization Under Coupled Variable Working Conditions
by Yuang Shi, Lei Zhang, Yujin Zhou, Luotao Xie and Zichun Yang
Machines 2025, 13(9), 801; https://doi.org/10.3390/machines13090801 - 3 Sep 2025
Viewed by 707
Abstract
Addressing the insufficient research on the aerodynamic performance of the coupled last stage and exhaust hood structure in compact marine steam turbines under off-design conditions, this paper establishes for the first time a fully three-dimensional coupled model. It systematically analyzes the influence of [...] Read more.
Addressing the insufficient research on the aerodynamic performance of the coupled last stage and exhaust hood structure in compact marine steam turbines under off-design conditions, this paper establishes for the first time a fully three-dimensional coupled model. It systematically analyzes the influence of the last-stage moving blade shrouds and exhaust hood stiffeners on steam flow loss, static pressure recovery, and vibrational excitation. The research methodology includes the following: employing a hybrid structured-unstructured meshing technique, conducting numerical simulations based on the Shear Stress Transport (SST) turbulence model, and utilizing the static pressure recovery coefficient, total pressure loss coefficient, and cross-sectional flow velocity non-uniformity as performance evaluation metrics. The principal findings are as follows: (1) After installing self-locking shrouds on the moving blades, steam flow loss is reduced by 4.7%, and the outlet pressure non-uniformity decreases by 12.3%. (2) Although the addition of cruciform stiffeners in the diffuser section of the exhaust hood enhances structural rigidity, it results in an 8.4% decrease in the static pressure recovery coefficient, necessitating further optimization of geometric parameters. (3) The coupled model exhibits optimal aerodynamic performance at a 50% design flow rate and 100% design exhaust pressure. The results provide a theoretical basis for the structural optimization of low-noise compact steam turbines. Full article
(This article belongs to the Section Turbomachinery)
Show Figures

Figure 1

35 pages, 26488 KB  
Article
Synergetic Improvement of Blade Entry and Water Admission Angles for High Efficiency Cross-Flow Turbines in Micro-Hydropower Applications
by Ephrem Yohannes Assefa and Asfafaw Haileselassie Tesfay
Energies 2025, 18(17), 4540; https://doi.org/10.3390/en18174540 - 27 Aug 2025
Viewed by 870
Abstract
Cross-Flow Turbines (CFTs) are widely recognized for their adaptability and cost-effectiveness in micro-hydropower (MHP) systems. However, their hydraulic efficiency remains highly sensitive to geometric configurations, particularly the Blade Entry Angle (BEA) and Water Admission Angle (WAA). This study presents a high-fidelity computational fluid [...] Read more.
Cross-Flow Turbines (CFTs) are widely recognized for their adaptability and cost-effectiveness in micro-hydropower (MHP) systems. However, their hydraulic efficiency remains highly sensitive to geometric configurations, particularly the Blade Entry Angle (BEA) and Water Admission Angle (WAA). This study presents a high-fidelity computational fluid dynamics (CFDs) investigation of CFT performance across a wide range of BEA (5–40°) and WAA (45–105°) combinations at runner speeds from 150 to 1200 rpm, under constant head and flow conditions. The simulations were performed using a steady-state Reynolds-Averaged Navier–Stokes (RANS) model coupled with the volume of fluid (VOF) method and the SST k–ω turbulence closure. Benchmarking against the widely used industrial standard configuration (BEA = 30°, WAA = 90°), which achieved 79.1% efficiency at 900 rpm, this study identifies an optimized setup at BEA = 15° and WAA = 60° delivering a peak efficiency of 84.91% and shaft power output of 225.5 W—representing an efficiency gain of approximately 5.8%. The standard configuration was found to suffer from flow misalignment, jet dispersion, and increased internal energy loss, particularly at off-design speeds. In contrast, optimized geometries ensured stable pressure gradients, coherent jet–blade interaction, and enhanced momentum transfer. The results provide a validated performance map and establish a robust design reference for enhancing CFT efficiency and reliability in decentralized renewable energy systems. Full article
(This article belongs to the Special Issue Recent Advances in Hydro-Mechanical Turbines: Powering the Future)
Show Figures

Figure 1

21 pages, 2974 KB  
Article
Development of a Cavitation Indicator for Prediction of Failure in Pump-As-Turbines Using Numerical Simulation
by Maciej Janiszkiewicz and Aonghus McNabola
Energies 2025, 18(16), 4253; https://doi.org/10.3390/en18164253 - 11 Aug 2025
Viewed by 875
Abstract
The increasing deployment of pumps-as-turbines in small-scale hydropower applications in off-design conditions strengthens the need for the monitoring of the operation and maintenance (O&M) needs. PATs (pumps-as-turbines, pumps operated in reverse to generate electric current) are increasingly used because of their low cost [...] Read more.
The increasing deployment of pumps-as-turbines in small-scale hydropower applications in off-design conditions strengthens the need for the monitoring of the operation and maintenance (O&M) needs. PATs (pumps-as-turbines, pumps operated in reverse to generate electric current) are increasingly used because of their low cost as micro-hydropower plants; however, limited research has focused on their maintenance needs during operation. This is an important consideration given their use under conditions for which they were not originally designed. One of the most challenging O&M issues in hydromachinery is cavitation, which can harm turbines and reduce their efficiency. In this study, Computational Fluid Dynamics (CFD) was used for 15 different simulations of PAT configurations and their cavitation behaviour was investigated under varying inlet pressure and mass flow conditions. A cavitation strength indicator was developed using linear regression, describing the strength of cavitation from 0 (no cavitation) to 100 (extreme cavitation). This parameter depends on mass flow rate and head, which are easily measured parameters using standard sensors. With this approach, it is possible to monitor cavitation status in a continuous manner in a working PAT without the need for complex sensors. With this application, it is also possible to avoid costly damage, shutting down turbines when cavitation strength is exceptionally high. Full article
(This article belongs to the Special Issue Optimization Design and Simulation Analysis of Hydraulic Turbine)
Show Figures

Figure 1

23 pages, 2593 KB  
Article
Preliminary Comparison of Ammonia- and Natural Gas-Fueled Micro-Gas Turbine Systems in Heat-Driven CHP for a Small Residential Community
by Mateusz Proniewicz, Karolina Petela, Christine Mounaïm-Rousselle, Mirko R. Bothien, Andrea Gruber, Yong Fan, Minhyeok Lee and Andrzej Szlęk
Energies 2025, 18(15), 4103; https://doi.org/10.3390/en18154103 - 1 Aug 2025
Cited by 2 | Viewed by 1021
Abstract
This research considers a preliminary comparative technical evaluation of two micro-gas turbine (MGT) systems in combined heat and power (CHP) mode (100 kWe), aimed at supplying heat to a residential community of 15 average-sized buildings located in Central Europe over a year. Two [...] Read more.
This research considers a preliminary comparative technical evaluation of two micro-gas turbine (MGT) systems in combined heat and power (CHP) mode (100 kWe), aimed at supplying heat to a residential community of 15 average-sized buildings located in Central Europe over a year. Two systems were modelled in Ebsilon 15 software: a natural gas case (benchmark) and an ammonia-fueled case, both based on the same on-design parameters. Off-design simulations evaluated performance over variable ambient temperatures and loads. Idealized, unrecuperated cycles were adopted to isolate the thermodynamic impact of the fuel switch under complete combustion assumption. Under these assumptions, the study shows that the ammonia system produces more electrical energy and less excess heat, yielding marginally higher electrical efficiency and EUF (26.05% and 77.63%) than the natural gas system (24.59% and 77.55%), highlighting ammonia’s utilization potential in such a context. Future research should target validating ammonia combustion and emission profiles across the turbine load range, and updating the thermodynamic model with a recuperator and SCR accounting for realistic pressure losses. Full article
(This article belongs to the Special Issue Clean and Efficient Use of Energy: 3rd Edition)
Show Figures

Figure 1

14 pages, 6710 KB  
Article
Bow Thruster at Normal and Off-Design Conditions
by Mehrdad Kazemi and Nikolai Kornev
J. Mar. Sci. Eng. 2025, 13(8), 1463; https://doi.org/10.3390/jmse13081463 - 30 Jul 2025
Viewed by 850
Abstract
Reliable prediction of tunnel thruster performance under reverse, or off-design, reverse operating direction (ROD) conditions, is crucial for modern vessels that require bidirectional thrust from a single unit—such as yachts and offshore support vessels. Despite the increasing demand for such a capability, there [...] Read more.
Reliable prediction of tunnel thruster performance under reverse, or off-design, reverse operating direction (ROD) conditions, is crucial for modern vessels that require bidirectional thrust from a single unit—such as yachts and offshore support vessels. Despite the increasing demand for such a capability, there remains limited understanding of the unsteady hydrodynamic behavior and performance implications of ROD operation. This study addresses this gap through a scale-resolving computational fluid dynamics (CFD) investigation of a full-scale, fixed-pitch propeller with a diameter of 0.62, installed in a tunnel geometry representative of yacht-class side thrusters. Using advanced turbulence modeling, we compare the thruster’s performance under both the normal operating direction (NOD) and ROD. The results reveal notable differences: in ROD, the upstream separation zone was more compact and elongated, average thrust increases by approximately 3–4%, and torque and pressure fluctuations rise by 15–30%. These findings demonstrate that a single tunnel thruster can meet bidirectional manoeuvring requirements. However, the significantly elevated unsteady loads during ROD operation offer a plausible explanation for the increased noise and vibration frequently observed in practice. Full article
(This article belongs to the Section Ocean Engineering)
Show Figures

Figure 1

16 pages, 9182 KB  
Article
Analysis of the Energy Loss Characteristics of a Francis Turbine Under Off-Design Conditions with Sand-Laden Flow Based on Entropy Generation Theory
by Xudong Lu, Kang Xu, Zhongquan Wang, Yu Xiao, Yaogang Xu, Changjiu Huang, Jiayang Pang and Xiaobing Liu
Water 2025, 17(13), 2002; https://doi.org/10.3390/w17132002 - 3 Jul 2025
Viewed by 635
Abstract
To investigate the impact of sand-laden flow on energy loss in Francis turbines, this study integrates entropy generation theory with numerical simulations conducted using ANSYS CFX. The mixture multiphase flow model and the SST k-ω turbulence model are employed to simulate the solid–liquid [...] Read more.
To investigate the impact of sand-laden flow on energy loss in Francis turbines, this study integrates entropy generation theory with numerical simulations conducted using ANSYS CFX. The mixture multiphase flow model and the SST k-ω turbulence model are employed to simulate the solid–liquid two-phase flow throughout the entire flow passage of the turbine at the Gengda Hydropower Station (Minjiang River Basin section, 103°17′ E and 31°06′ N). The energy loss characteristics under different off-design conditions are analyzed on the basis of the average sediment concentration during the flood season (2.9 kg/m3) and a median particle diameter of 0.058 mm. The results indicate that indirect entropy generation and wall entropy generation are the primary contributors to total energy loss, while direct entropy generation accounts for less than 1%. As the guide vane opening increases, the proportion of wall entropy generation initially rises and then decreases, while the total indirect entropy generation exhibits a non-monotonic trend dominated by the flow pattern in the draft tube. Entropy generation on the runner walls increases steadily with larger openings, whereas entropy generation on the draft tube walls first decreases and then increases. The variation in entropy generation on the guide vanes remains relatively small. These findings provide technical support for the optimal design and operation of turbines in sediment-rich rivers. Full article
(This article belongs to the Section Hydraulics and Hydrodynamics)
Show Figures

Figure 1

Back to TopTop