Sign in to use this feature.

Years

Between: -

Subjects

remove_circle_outline
remove_circle_outline
remove_circle_outline
remove_circle_outline
remove_circle_outline
remove_circle_outline
remove_circle_outline
remove_circle_outline

Journals

Article Types

Countries / Regions

Search Results (224)

Search Parameters:
Keywords = nonsingular terminal sliding mode control

Order results
Result details
Results per page
Select all
Export citation of selected articles as:
19 pages, 2794 KB  
Article
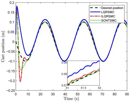
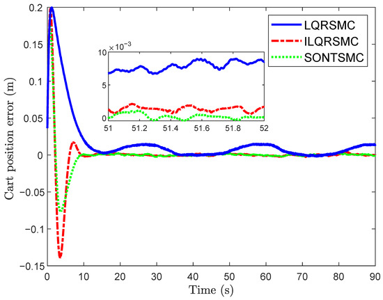
Second-Order Nonsingular Terminal Sliding Mode Control for Tracking and Stabilization of Cart–Inverted Pendulum
by Hiep Dai Le and Tamara Nestorović
Machines 2026, 14(1), 111; https://doi.org/10.3390/machines14010111 - 18 Jan 2026
Viewed by 111
Abstract
A second-order nonsingular terminal sliding mode control (SONTSMC) is proposed to solve the stabilization and tracking problems of an inverted pendulum. Although, a first-order sliding mode controller with the integral of the cart position can eliminate the offset in the cart position caused [...] Read more.
A second-order nonsingular terminal sliding mode control (SONTSMC) is proposed to solve the stabilization and tracking problems of an inverted pendulum. Although, a first-order sliding mode controller with the integral of the cart position can eliminate the offset in the cart position caused by incorrect calibration of the pendulum angle while balancing the pendulum at the upright equilibrium position, its control precision and chattering reduction can be improved by using a higher-order sliding mode controller. Therefore, the SONTSMC is designed by combining nonsingular sliding mode control and first-order sliding mode control to construct a second-order sliding mode controller that enhances tracking accuracy and reduces the chattering problems associated with sliding mode control. The performance of the proposed control is compared with that of the linear quadratic regulator sliding mode control (LQRSMC) and the integral linear quadratic regulator sliding mode control (ILQRSMC) for CIP’s stabilization and tracking. The results indicate that SONTSMC significantly increases the control performance of CIP while efficiently utilizing control energy. Full article
Show Figures

Figure 1

20 pages, 2503 KB  
Article
Disturbance Observer-Based Terminal Sliding Mode Control Approach for Virtual Coupling Train Set
by Zhiyu He, Ning Xu, Kun Liang, Zhiwei Cao, Xiaoyu Zhao and Zhao Sheng
Appl. Sci. 2026, 16(2), 887; https://doi.org/10.3390/app16020887 - 15 Jan 2026
Viewed by 120
Abstract
To enhance line capacity in high-speed railways without new infrastructure, virtual coupling train sets (VCTSs) enable reduced inter-train distances via real-time communication and cooperative control. However, unknown disturbances and model uncertainties challenge VCTS performance, often causing chattering, slow convergence, and poor disturbance rejection. [...] Read more.
To enhance line capacity in high-speed railways without new infrastructure, virtual coupling train sets (VCTSs) enable reduced inter-train distances via real-time communication and cooperative control. However, unknown disturbances and model uncertainties challenge VCTS performance, often causing chattering, slow convergence, and poor disturbance rejection. This paper proposes a novel finite-time extended state observer-based nonsingular terminal sliding mode (FTESO-NTSM) control strategy. The method integrates a nonsingular terminal sliding mode surface with a hyperbolic tangent-based reaching law to ensure fast convergence and chattering suppression, while a finite-time extended state observer estimates and compensates for lumped disturbances in real time. Lyapunov analysis rigorously proves finite-time stability. Numerical simulations under different initial statuses are conducted to validate the effectiveness of the proposed method. The results show that the maximum observation error achieves 0.0087 kN. The speed chattering magnitudes reach 0.00087 km/h, 0.0017 km/h, 0.0026 km/h, and 0.0034 km/h for the leading train and three followers, respectively. Furthermore, the convergence time of the followers is 56 s, 130 s, and 76 s, respectively. The results highlight that the proposed method can significantly improve line capacity and transportation efficiency. Full article
(This article belongs to the Special Issue Advances in Intelligent Transportation and Its Applications)
Show Figures

Figure 1

18 pages, 3663 KB  
Article
Trajectory Tracking Control of a Six-Axis Robotic Manipulator Based on an Extended Kalman Filter-Based State Observer
by Jianxuan Liu, Tao Chen, Zhen Dou, Xiaojuan Li and Xiangjun Zou
Machines 2026, 14(1), 78; https://doi.org/10.3390/machines14010078 - 8 Jan 2026
Viewed by 226
Abstract
To achieve high-precision trajectory tracking for multi-joint robotic manipulators in the presence of model uncertainties, external disturbances, and strong coupling effects, this paper proposes a nonsingular fast terminal sliding mode control (NFTSMC) scheme incorporating an extended Kalman filter-based disturbance observer. First, the Kalman [...] Read more.
To achieve high-precision trajectory tracking for multi-joint robotic manipulators in the presence of model uncertainties, external disturbances, and strong coupling effects, this paper proposes a nonsingular fast terminal sliding mode control (NFTSMC) scheme incorporating an extended Kalman filter-based disturbance observer. First, the Kalman filter is combined with an extended state observer to perform the real-time observation of both internal and external disturbances in the system, accurately estimating system uncertainty and external disturbances. This approach reduces noise interference while significantly improving the correction accuracy of position and tracking errors. Second, an improved nonsingular fast terminal sliding mode controller with an optimized convergence law is introduced to ensure stability during the tracking process, effectively mitigate oscillation phenomena, and accelerate the system’s convergence speed. Finally, the convergence of the proposed method is analyzed by constructing an appropriate Lyapunov function. Simulation and experimental results strongly validate the superior performance of the proposed control strategy, demonstrating that the system can achieve high-precision trajectory tracking under the complex coupled effects of a six-axis robotic manipulator, and exhibits significant advantages in terms of accuracy and robustness. Full article
(This article belongs to the Special Issue Sensing to Cognition: The Evolution of Robotic Vision)
Show Figures

Figure 1

16 pages, 1650 KB  
Article
Torque Ripple Suppression in BLDC Reaction Wheels Using Adaptive Composite Control Strategy Under Non-Ideal Back-EMF
by Zhicheng Wang, Haitao Li, Tong Wen, Haitao Li and Xiangwen Chen
Actuators 2026, 15(1), 28; https://doi.org/10.3390/act15010028 - 3 Jan 2026
Viewed by 214
Abstract
High-precision torque regulation is essential to ensure reaction wheel systems meet the stringent attitude control requirements of modern spacecraft. In three-phase half-bridge brushless DC (BLDC) drives, non-ideal back-electromotive force (back-EMF) waveforms cause pronounced conduction interval torque ripple, leading to inaccurate and unstable output [...] Read more.
High-precision torque regulation is essential to ensure reaction wheel systems meet the stringent attitude control requirements of modern spacecraft. In three-phase half-bridge brushless DC (BLDC) drives, non-ideal back-electromotive force (back-EMF) waveforms cause pronounced conduction interval torque ripple, leading to inaccurate and unstable output torque. To address this problem, this article proposes a composite torque control strategy integrating an Adaptive Nonsingular Fast Terminal Sliding-Mode Observer (ANFTSMO) with an Adaptive Sliding-Mode Controller (ASMC). The ANFTSMO achieves precise back-EMF estimation and electromagnetic torque reconstruction by eliminating singularities, reducing chattering, and adaptively adjusting observer gains. Meanwhile, the ASMC employs an adaptive switching gain function to achieve asymptotic current convergence with suppressed chattering, thereby ensuring accurate current tracking. System stability is verified via Lyapunov analysis. Simulation and experimental results demonstrate that, compared with conventional constant-current control, the torque smoothness and disturbance rejection of the proposed method are improved, enabling precise and stable reaction wheel torque delivery for high-accuracy spacecraft attitude regulation. Full article
Show Figures

Figure 1

30 pages, 15035 KB  
Article
Adaptive Non-Singular Fast Terminal Sliding Mode Trajectory Tracking Control for Robotic Manipulator with Novel Configuration Based on TD3 Deep Reinforcement Learning and Nonlinear Disturbance Observer
by Huaqiang You, Yanjun Liu, Zhenjie Shi, Zekai Wang, Lin Wang and Gang Xue
Sensors 2026, 26(1), 297; https://doi.org/10.3390/s26010297 - 2 Jan 2026
Viewed by 369
Abstract
This work proposes a non-singular fast terminal sliding mode control (NFTSMC) strategy based on the Twin Delayed Deep Deterministic Policy Gradient (TD3) algorithm and a nonlinear disturbance observer (NDO) to address the issues of modeling errors, motion disturbances, and transmission friction in robotic [...] Read more.
This work proposes a non-singular fast terminal sliding mode control (NFTSMC) strategy based on the Twin Delayed Deep Deterministic Policy Gradient (TD3) algorithm and a nonlinear disturbance observer (NDO) to address the issues of modeling errors, motion disturbances, and transmission friction in robotic manipulators. Firstly, a novel modular serial 5-DOF robotic manipulator configuration is designed, and its kinematic and dynamic models are established. Secondly, a nonlinear disturbance observer is employed to estimate the total disturbance of the system and apply feedforward compensation. Based on boundary layer technology, an improved NFTSMC method is proposed to accelerate the convergence of tracking errors, reduce chattering, and avoid singularity issues inherent in traditional terminal sliding mode control. The stability of the designed control system is proved using Lyapunov stability theory. Subsequently, a deep reinforcement learning (DRL) agent based on the TD3 algorithm is trained to adaptively adjust the control gains of the non-singular fast terminal sliding mode controller. The dynamic information of the robotic manipulator is used as the input to the TD3 agent, which searches for optimal controller parameters within a continuous action space. A composite reward function is designed to ensure the stable and efficient learning of the TD3 agent. Finally, the motion characteristics of three joints for the designed 5-DOF robotic manipulator are analyzed. The results show that compared to the non-singular fast terminal sliding mode control algorithm based on a nonlinear disturbance observer (NDONFT), the non-singular fast terminal sliding mode control algorithm integrating a nonlinear disturbance observer and the Twin Delayed Deep Deterministic Policy Gradient algorithm (TD3NDONFT) reduces the mean absolute error of position tracking for the three joints by 7.14%, 19.94%, and 6.14%, respectively, and reduces the mean absolute error of velocity tracking by 1.78%, 9.10%, and 2.11%, respectively. These results verify the effectiveness of the proposed algorithm in enhancing the trajectory tracking accuracy of the robotic manipulator under unknown time-varying disturbances and demonstrate its strong robustness against sudden disturbances. Full article
(This article belongs to the Section Sensors and Robotics)
Show Figures

Figure 1

20 pages, 5832 KB  
Article
Super-Twisting Algorithm Sliding Mode Control of Flexible Manipulators Considering Uncertainty
by Yanbo Zhang and Cheng Qian
Appl. Sci. 2026, 16(1), 387; https://doi.org/10.3390/app16010387 - 30 Dec 2025
Viewed by 223
Abstract
The dynamic model of a spatial flexible manipulator is challenging to establish accurately and is susceptible to disturbances from uncertainties, which negatively impact system control. To mitigate the effects of uncertainties and improve control precision, this paper develops the dynamic model of a [...] Read more.
The dynamic model of a spatial flexible manipulator is challenging to establish accurately and is susceptible to disturbances from uncertainties, which negatively impact system control. To mitigate the effects of uncertainties and improve control precision, this paper develops the dynamic model of a spatial flexible manipulator system using the Lagrange principle and the assumed mode method. Additionally, to address the chattering issue in sliding mode control, a super-twisting algorithm sliding mode control strategy is proposed, which utilizes an RBF neural network to compensate for system uncertainties. By incorporating the concept of higher-order sliding mode, the super-twisting algorithm sliding mode is integrated with non-singular terminal sliding mode to design the sliding surface and control law, ensuring the stable and rapid convergence of the system state while reducing chattering. The simulation results demonstrate that the proposed strategy reduces fluctuations in rotation angle and angular velocity errors at both the input and output ends, enhances trajectory tracking performance, and achieves effective chattering suppression. Full article
Show Figures

Figure 1

29 pages, 9586 KB  
Article
L1 Adaptive Nonsingular Fast Terminal Super-Twisting Control for Quadrotor UAVs Under Unknown Disturbances
by Shunsuke Komiyama, Kenji Uchiyama and Kai Masuda
Drones 2025, 9(12), 878; https://doi.org/10.3390/drones9120878 - 18 Dec 2025
Viewed by 469
Abstract
Quadrotor UAVs benefit from control strategies that can deliver rapid convergence and strong robustness in order to fully exploit their high agility. Finite-time control based on terminal sliding modes has been recognized as an effective alternative to classical sliding mode control, which only [...] Read more.
Quadrotor UAVs benefit from control strategies that can deliver rapid convergence and strong robustness in order to fully exploit their high agility. Finite-time control based on terminal sliding modes has been recognized as an effective alternative to classical sliding mode control, which only guarantees asymptotic convergence. Its enhanced variant, nonsingular fast terminal sliding mode control, eliminates singularities and achieves accelerated convergence; however, chattering-induced high-frequency oscillations remain a major concern. To address this issue, this study introduces a hybrid control framework that combines the super-twisting algorithm with L1 adaptive control. The super-twisting component preserves the robustness of sliding mode control while mitigating chattering, whereas L1 adaptive control provides rapid online estimation and compensation of model uncertainties and unknown disturbances. The resulting scheme is implemented in a quadrotor flight-control architecture and evaluated through numerical simulations. The results show that the proposed controller offers faster convergence and enhanced robustness relative to existing approaches, particularly in the presence of wind perturbations, periodic obstacle-avoidance maneuvers, and abrupt partial loss of propeller thrust. Full article
Show Figures

Figure 1

25 pages, 1946 KB  
Article
Prescribed-Time Leader–Follower Synchronization of Higher-Order Nonlinear Multi-Agent Systems via Fuzzy Neural Adaptive Sliding Control
by Safeer Ullah, Muhammad Zeeshan Babar, Sultan Alghamdi, Ahmed S. Alsafran, Habib Kraiem and Abdullah A. Algethami
Sensors 2025, 25(24), 7483; https://doi.org/10.3390/s25247483 - 9 Dec 2025
Viewed by 599
Abstract
This paper introduces a novel control framework for prescribed-time synchronization of higher-order nonlinear multi-agent systems (MAS) subject to parametric uncertainties and external disturbances. The proposed method integrates a fuzzy neural network (FNN) with a robust non-singular terminal sliding mode controller (NTSMC) to ensure [...] Read more.
This paper introduces a novel control framework for prescribed-time synchronization of higher-order nonlinear multi-agent systems (MAS) subject to parametric uncertainties and external disturbances. The proposed method integrates a fuzzy neural network (FNN) with a robust non-singular terminal sliding mode controller (NTSMC) to ensure leader–follower consensus within a user-defined time horizon, regardless of the initial conditions. The FNN is employed to approximate unknown nonlinearities online, while an adaptive update law ensures accurate compensation for uncertainty. A terminal sliding manifold is designed to enforce finite-time convergence, and Lyapunov-based analysis rigorously proves prescribed-time stability and boundedness of all closed-loop signals. Simulation studies on a leader–follower MAS with four nonlinear agents under directed communication topology demonstrate the superiority of the proposed approach over conventional sliding mode control, achieving faster convergence, enhanced robustness, and improved adaptability against system uncertainties and external perturbations. Full article
(This article belongs to the Section Sensors and Robotics)
Show Figures

Figure 1

18 pages, 1683 KB  
Article
Global Fast Terminal Sliding Mode Control for Trajectory Tracking Control of Quadrotor UAVs
by Runze Gao, Shaobo Wu and Hongguang Li
Sensors 2025, 25(24), 7480; https://doi.org/10.3390/s25247480 - 9 Dec 2025
Viewed by 462
Abstract
A fast and stable flight control system is crucial for improving the efficiency of unmanned aerial vehicle (UAV) missions. Focusing on the trajectory tracking control of quadrotor UAVs, this paper proposes a trajectory tracking control method based on the global fast terminal sliding [...] Read more.
A fast and stable flight control system is crucial for improving the efficiency of unmanned aerial vehicle (UAV) missions. Focusing on the trajectory tracking control of quadrotor UAVs, this paper proposes a trajectory tracking control method based on the global fast terminal sliding mode control (GFTSMC) algorithm to address the slow response speed and insufficient anti-disturbance capability inherent in the widely used Proportional–Integral–Derivative (PID) control algorithm and conventional sliding mode control (SMC) algorithm. Firstly, considering the gyroscopic moment of a quadrotor UAV’s rotors, an accurate kinematic and dynamic model of a quadrotor UAV is established, and the trajectory tracking problem faced by such UAVs is decoupled into the command tracking problems of the position loop and the attitude loop. Secondly, GFTSMC controllers are designed for these loops, and the Lyapunov principle is adopted to prove the stability of the designed controllers. Finally, simulation verification is carried out. The simulation results show that, compared to PID control, GFTSMC-based trajectory tracking control for quadrotor UAVs exhibits the characteristics of no overshoot, higher tracking accuracy, and stronger anti-disturbance capability. Compared to nonsingular terminal sliding mode control (NTSMC) and SMC, GFTSMC-based trajectory tracking control reduces the steady-state convergence time by 33.8% and 36.5% and the steady-state disturbance error by 83.1% and 97.3%, respectively, demonstrating faster response speed and stronger anti-disturbance capability. Therefore, the application of GFTSMC significantly improves the trajectory tracking control performance of quadrotor UAVs, thereby supporting them in performing operations in scenarios requiring high real-time performance, precision, and anti-disturbance capability. Full article
Show Figures

Figure 1

17 pages, 4731 KB  
Article
The Adaptive Nonsingular Terminal Sliding Mode Control of Six-Pole Radial–Axial Hybrid Magnetic Bearing Considering Varying Current Stiffness
by Jintao Ju, Xin Li, Jian Huang, Rui Yan and Rui Zhou
Electronics 2025, 14(24), 4807; https://doi.org/10.3390/electronics14244807 - 6 Dec 2025
Viewed by 269
Abstract
Most control strategies for magnetic bearings are typically formulated upon the linearized suspension force model, and the nonlinear characteristics are neglected or regarded as the disturbance and variation in parameters of the control system. The controllers based on linearized suspension force model struggle [...] Read more.
Most control strategies for magnetic bearings are typically formulated upon the linearized suspension force model, and the nonlinear characteristics are neglected or regarded as the disturbance and variation in parameters of the control system. The controllers based on linearized suspension force model struggle to achieve fast response under disturbance. Therefore, a nonlinear mathematic model that simultaneously represents the main nonlinearity of suspension force and facilitates the design of high-performance controller is necessary to establish. In this study, a new mathematical model of suspension force with varying current stiffness is developed, and a specific controller was designed based on this model. Firstly, the nonlinear mathematical model of six-pole radial–axial hybrid magnetic bearing (RAHMB) is established. Secondly, the characteristics of the current stiffness varying with rotor displacement are analyzed and the expression between current stiffness and rotor displacement is fitted. Then, the linearized model is built via Taylor expansion of the nonlinear model. Subsequently, the varying current stiffness model is constructed by substituting the fitted expression of varying current stiffness into linearized model. Finally, an adaptive nonsingular terminal sliding mode controller (ANTSMC) is designed based on the proposed varying current stiffness model. The simulation and experiment results have shown that the ANTSMC based on varying current stiffness model reduces chattering more than 64% and reduces convergence time more than 70% to the NTSMC based on the linearized model. Full article
Show Figures

Figure 1

17 pages, 1482 KB  
Article
Integrated Adaptive Robust Control for Pipe Robots Facing Compound Uncertainties
by Ke Han, Dong Zhang, Xiangli Tao, Yilong Li, Haonan Li, Haiwei Wang and Xuefei Liu
Symmetry 2025, 17(12), 2042; https://doi.org/10.3390/sym17122042 - 1 Dec 2025
Viewed by 243
Abstract
To address the challenges of low control accuracy and poor robustness for pipe robots operating in complex environments with compound uncertainties, including parameter variations, nonlinear friction, and external disturbances, this paper proposes an integrated adaptive robust control strategy. The framework begins by establishing [...] Read more.
To address the challenges of low control accuracy and poor robustness for pipe robots operating in complex environments with compound uncertainties, including parameter variations, nonlinear friction, and external disturbances, this paper proposes an integrated adaptive robust control strategy. The framework begins by establishing a high-fidelity dynamic model that considers arbitrary pipe inclination. Subsequently, a Finite-Time Disturbance Observer (FTDO) is designed to rapidly and accurately estimate and compensate for the lumped uncertainties, thereby enhancing the system’s disturbance rejection capabilities. Based on this compensation, an Adaptive Non-singular Terminal Sliding Mode Control (ANTSMC) law is synthesized. By adjusting its gain online, the controller handles unknown uncertainty bounds, ensures the finite-time convergence of tracking errors, and effectively suppresses chattering. Simulation results validate that the proposed method achieves high-precision trajectory tracking with smooth control inputs and strong robustness, even in the presence of significant uncertainties. This study offers an effective solution for the high-precision and robust motion control of pipe robots. Full article
(This article belongs to the Section Engineering and Materials)
Show Figures

Figure 1

17 pages, 2899 KB  
Article
Higher-Order PID-Nested Nonsingular Terminal Sliding Mode Control for Induction Motor Speed Servo Systems
by Nguyen Minh Trieu, Nguyen Tan No, Truong Nguyen Vu and Nguyen Truong Thinh
Actuators 2025, 14(12), 580; https://doi.org/10.3390/act14120580 - 30 Nov 2025
Viewed by 297
Abstract
This paper presents an approach to the velocity control loop of induction motor drives utilizing the Higher-Order PID-Nested Nonsingular Terminal Sliding Mode (PID-NTSM) method. Here, the PID-NTSM sliding manifold is formulated by the incorporation of both derivative and integral errors of states into [...] Read more.
This paper presents an approach to the velocity control loop of induction motor drives utilizing the Higher-Order PID-Nested Nonsingular Terminal Sliding Mode (PID-NTSM) method. Here, the PID-NTSM sliding manifold is formulated by the incorporation of both derivative and integral errors of states into the conventional nonsingular terminal sliding mode surface (NTSM). In this manner, the control signals take the higher-order sliding mode control law, obtained by multiple integrals. In this way, such signals are continuous, and the sliding manifold is obtained in finite time; the system’s states asymptotically converge chattering-free to zero at a much faster response time and higher tracking precision while maintaining inherited robustness characteristics. The effectiveness of the proposed method is comprehensively validated both numerically and experimentally. Full article
(This article belongs to the Section Control Systems)
Show Figures

Figure 1

15 pages, 3491 KB  
Article
Gearless Coal Mill Anti-Disturbance Sliding Mode Control Based on Improved Deadbeat Predictive Current Control
by Qiming Wang, Mingduo Zhang and Changhong Jiang
Actuators 2025, 14(11), 554; https://doi.org/10.3390/act14110554 - 11 Nov 2025
Viewed by 319
Abstract
This paper presents a composite control strategy for gearless coal mill to improve the disturbance immunity under low-speed variable operating conditions. First, the gearless coal mill encounters power supply voltage fluctuations, mechanical failures, or ambient temperature changes during operation. These situations can cause [...] Read more.
This paper presents a composite control strategy for gearless coal mill to improve the disturbance immunity under low-speed variable operating conditions. First, the gearless coal mill encounters power supply voltage fluctuations, mechanical failures, or ambient temperature changes during operation. These situations can cause the system to suffer from the problem of insufficient control accuracy of the rotational speed. Therefore, a non-singular fast terminal sliding mode control strategy is proposed to improve the speed response. Then, to address the problem of load perturbation caused by different coal quality, this paper designs the extended state observer. Feed-forward compensation of the perturbation is performed to improve the robustness. Finally, due to the parameter mismatch problem caused by heat in operations that take a long time, this paper proposes a sliding-mode-based deadbeat predictive current control. The strategy possesses the fast dynamic response of deadbeat predictive current control while retaining the strong robustness of sliding mode control. Lyapunov proved the stability of the proposed control strategy. The experimental results verified that the proposed control strategy had better control performance. Full article
Show Figures

Figure 1

18 pages, 947 KB  
Article
Fixed-Time Attitude Control for a Flexible Space-Tethered Satellite via a Nonsingular Terminal Sliding-Mode Controller
by Cong Xue, Qiao Shi, Hecun Zheng, Baizheng Huan, Weiran Yao, Yankun Wang and Xiangyu Shao
Aerospace 2025, 12(10), 907; https://doi.org/10.3390/aerospace12100907 - 9 Oct 2025
Viewed by 586
Abstract
This paper presents a rigid–flexible coupling dynamic modeling framework and a fixed-time control strategy for a flexible space-tethered satellite (STS) system. A high-fidelity rigid–flexible coupling dynamic model of STS is developed using the finite element method, accurately capturing the coupled attitude dynamics of [...] Read more.
This paper presents a rigid–flexible coupling dynamic modeling framework and a fixed-time control strategy for a flexible space-tethered satellite (STS) system. A high-fidelity rigid–flexible coupling dynamic model of STS is developed using the finite element method, accurately capturing the coupled attitude dynamics of the satellite platform and flexible tether. Leveraging a simplified representation of the STS model, a nonsingular terminal sliding-mode controller (NTSMC) is synthesized via fixed-time stability theory. Uncertainties and disturbances within the system are compensated for by a radial basis function neural network (RBFNN), ensuring strong robustness. The controller’s fixed-time convergence property—with convergence time independent of initial conditions—is established using Lyapunov stability theory, enabling reliable operation in complex space environments. Numerical simulations implemented on the STS rigid–flexible coupling model validate the controller’s efficacy. Comparative analyses demonstrate superior tracking performance and enhanced practicality over conventional sliding-mode controllers, especially in the aspect of chattering suppression for the satellite thrusters. Full article
(This article belongs to the Special Issue Application of Tether Technology in Space)
Show Figures

Figure 1

21 pages, 4287 KB  
Article
Performance Enhancement and Control Strategy for Dual-Stator Bearingless Switched Reluctance Motors in Magnetically Levitated Artificial Hearts
by Chuanyu Sun, Tao Liu, Chunmei Wang, Qilong Gao, Xingling Xiao and Ning Han
Electronics 2025, 14(19), 3782; https://doi.org/10.3390/electronics14193782 - 24 Sep 2025
Viewed by 463
Abstract
Magnetically levitated artificial hearts impose stringent requirements on the blood-pump motor: zero friction, minimal heat generation and full biocompatibility. Traditional mechanical-bearing motors and permanent-magnet bearingless motors fail to satisfy all of these demands simultaneously. A bearingless switched reluctance motor (BSRM), whose rotor contains [...] Read more.
Magnetically levitated artificial hearts impose stringent requirements on the blood-pump motor: zero friction, minimal heat generation and full biocompatibility. Traditional mechanical-bearing motors and permanent-magnet bearingless motors fail to satisfy all of these demands simultaneously. A bearingless switched reluctance motor (BSRM), whose rotor contains no permanent magnets, offers a simple structure, high thermal tolerance, and inherent fault-tolerance, making it an ideal drive for implantable circulatory support. This paper proposes an 18/15/6-pole dual-stator BSRM (DSBSRM) that spatially separates the torque and levitation flux paths, enabling independent, high-precision control of both functions. To suppress torque ripple induced by pulsatile blood flow, a variable-overlap TSF-PWM-DITC strategy is developed that optimizes commutation angles online. In addition, a grey-wolf-optimized fast non-singular terminal sliding-mode controller (NRLTSMC) is introduced to shorten rotor displacement–error convergence time and to enhance suspension robustness against hydraulic disturbances. Co-simulation results under typical artificial heart operating conditions show noticeable reductions in torque ripple and speed fluctuation, as well as smaller rotor radial positioning error, validating the proposed motor and control scheme as a high-performance, biocompatible, and reliable drive solution for next-generation magnetically levitated artificial hearts. Full article
Show Figures

Figure 1

Back to TopTop