Higher-Order PID-Nested Nonsingular Terminal Sliding Mode Control for Induction Motor Speed Servo Systems
Abstract
1. Introduction
2. Materials and Methods
2.1. Higher-Order PID-NTSM Control for a Nonlinear System
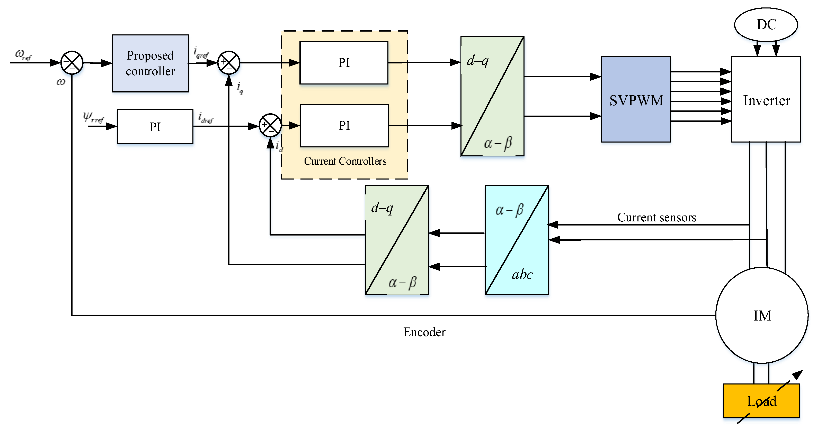
2.2. Mathematical Model of Induction Motor Speed Servo Systems
2.3. Higher-Order PID-Nested Nonsingular Terminal Sliding Mode Control for Speed Controller
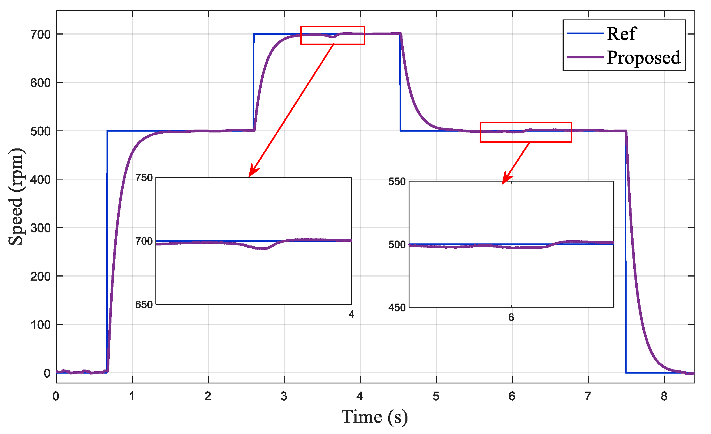
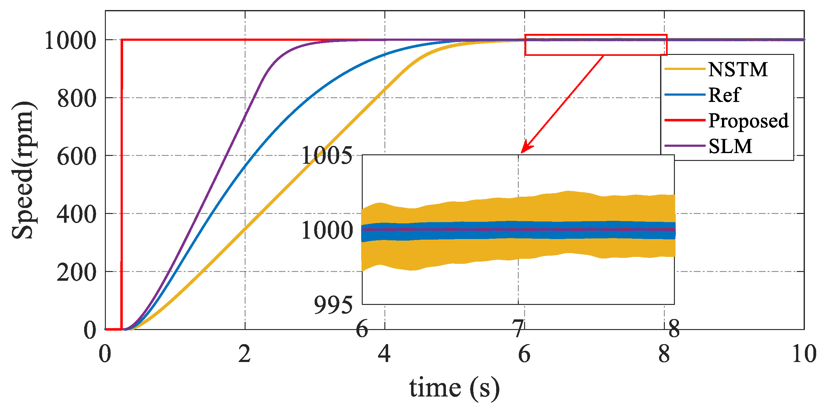
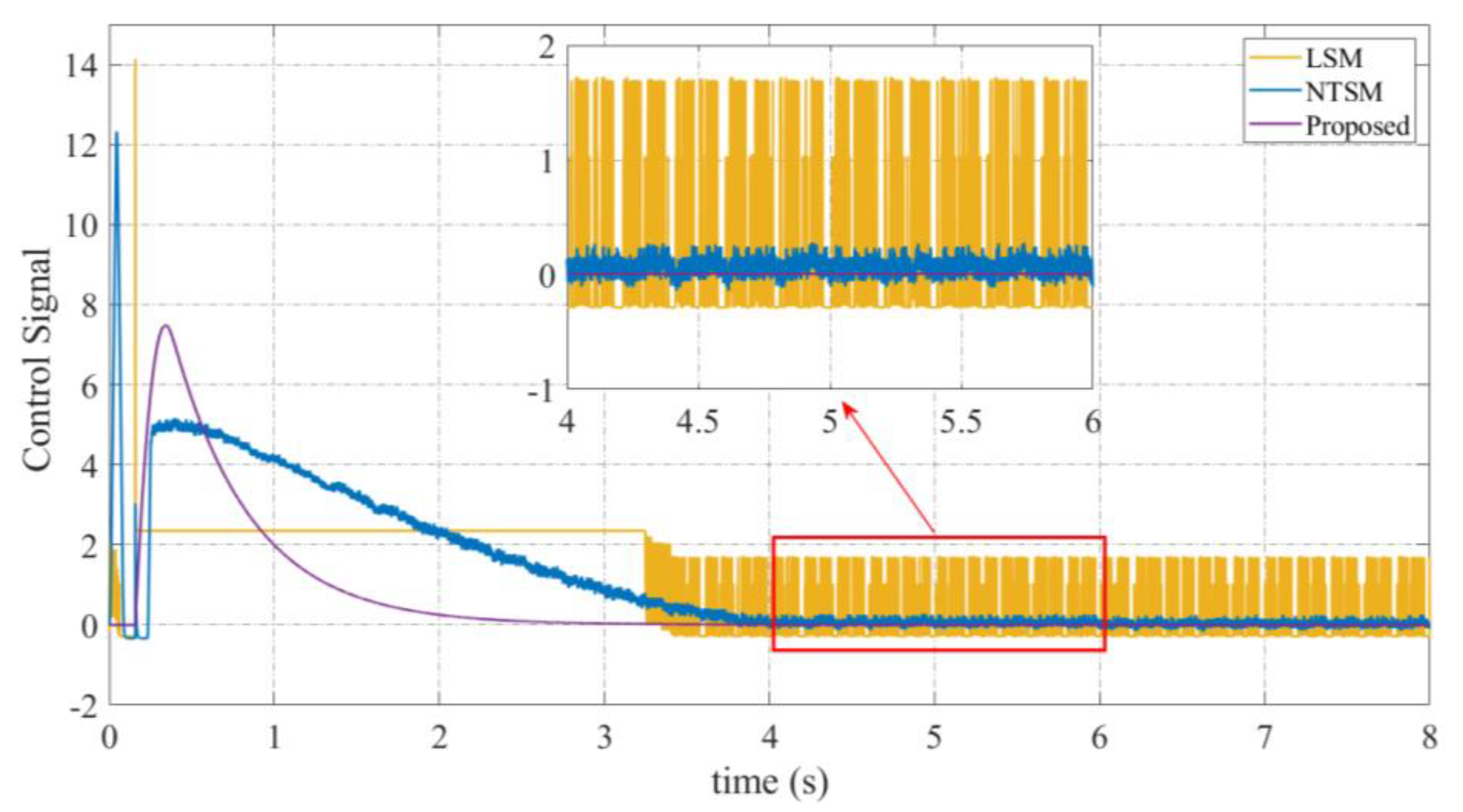
3. Results and Discussions
4. Conclusions
Author Contributions
Funding
Institutional Review Board Statement
Informed Consent Statement
Data Availability Statement
Conflicts of Interest
References
- Gundewar, S.K.; Kane, P.V. Condition monitoring and fault diagnosis of induction motor. J. Vib. Eng. Technol. 2021, 9, 643–674. [Google Scholar] [CrossRef]
- Palka, R.; Woronowicz, K. Linear induction motors in transportation systems. Energies 2021, 14, 2549. [Google Scholar] [CrossRef]
- Sengamalai, U.; Anbazhagan, G.; Thentral, T.M.T.; Vishnuram, P.; Khurshaid, T.; Kamel, S. Three phase induction motor drive: A systematic review on dynamic modeling, parameter estimation, and control schemes. Energies 2022, 15, 8260. [Google Scholar] [CrossRef]
- Glowacz, A. Thermographic fault diagnosis of electrical faults of commutator and induction motors. Eng. Appl. Artif. Intell. 2023, 121, 105962. [Google Scholar] [CrossRef]
- Mohanraj, D.; Aruldavid, R.; Verma, R.; Sathiyasekar, K.; Barnawi, A.B.; Chokkalingam, B.; Mihet-Popa, L. A review of BLDC motor: State of art, advanced control techniques, and applications. IEEE Access 2022, 10, 54833–54869. [Google Scholar] [CrossRef]
- Marulasiddappa, H.; Pushparajesh, V. Review on different control techniques for induction motor drive in electric vehicle. IOP Conf. Ser. Mater. Sci. Eng. 2021, 1055, 012142. [Google Scholar] [CrossRef]
- Umar, M.; Ali, A. Speed Control of Direct Torque Control Induction Motor Drive using Fuzzy Adaptive PID Controller. In Proceedings of the 2022 IEEE 19th International Bhurban Conference on Applied Sciences and Technology (IBCAST), Islamabad, Pakistan, 16–20 August 2022; pp. 549–555. [Google Scholar]
- Machhour, Z.; El Mrabet, M.; Mekrini, Z.; Boulaala, M. Comparative Study Between DTC and FOC Control Strategies Applied to the BLDC Motor: A Review. In International Conference on Advanced Intelligent Systems for Sustainable Development; Springer: Cham, Switzerland, 2023. [Google Scholar]
- Li, W.; Xu, Z.; Zhang, Y. Induction motor control system based on FOC algorithm. In Proceedings of the 2019 IEEE 8th Joint International Information Technology And Artificial Intelligence Conference (ITAIC), Chongqing, China, 24–26 May 2019. [Google Scholar]
- Duarte-Mermoud, M.A.; Mira, F.J.; Pelissier, I.S.; Travieso-Torres, J.C. Evaluation of a fractional order PI controller applied to induction motor speed control. In Proceedings of the 2010 8th IEEE International Conference on Control and Automation, ICCA 2010, Xiamen, China, 9–11 June 2010. [Google Scholar]
- Alnaib, I.I.; Alsammak, A.N. Optimization of fractional PI controller parameters for enhanced induction motor speed control via indirect field-oriented control. Electr. Eng. Electromechanics 2025, 1, 3–7. [Google Scholar] [CrossRef]
- Devanshu, A.; Singh, M.; Kumar, N. An improved nonlinear flux observer based sensorless FOC IM drive with adaptive predictive current control. IEEE Trans. Power Electron. 2019, 35, 652–666. [Google Scholar] [CrossRef]
- Adigintla, S.; Aware, M.V. Robust fractional order speed controllers for induction motor under parameter variations and low speed operating regions. IEEE Trans. Circuits Syst. II Express Briefs 2022, 70, 1119–1123. [Google Scholar] [CrossRef]
- Utkin, V.I. Sliding mode control design principles and applications to electric drives. IEEE Trans. Ind. Electron. 2002, 40, 23–36. [Google Scholar] [CrossRef]
- Feng, Y.; Yu, X.; Han, F. High-order terminal sliding-mode observer for parameter estimation of a permanent-magnet synchronous motor. IEEE Trans. Ind. Electron. 2012, 60, 4272–4280. [Google Scholar] [CrossRef]
- Feng, Y.; Zhou, M.; Han, F.; Yu, X. Speed control of induction motor servo drives using terminal sliding-mode controller. In Advances in Variable Structure Systems and Sliding Mode Control—Theory and Applications; Springer: Cham, Switzerland, 2018; pp. 341–356. [Google Scholar]
- Yang, Z.; Zhang, D.; Sun, X.; Sun, W.; Chen, L. Nonsingular fast terminal sliding mode control for a bearingless induction motor. IEEE Access 2017, 5, 16656–16664. [Google Scholar] [CrossRef]
- Boiko, I.M. Chattering in sliding mode control systems with boundary layer approximation of discontinuous control. Int. J. Syst. Sci. 2013, 44, 1126–1133. [Google Scholar] [CrossRef]
- Tseng, M.L.; Chen, M.S. Chattering reduction of sliding mode control by low-pass filtering the control signal. Asian J. Control. 2010, 12, 392–398. [Google Scholar] [CrossRef]
- Venkataraman, S.; Gulati, S. Control of nonlinear systems using terminal sliding modes. J. Dyn. Sys. Meas. Control. 1993, 115, 554–560. [Google Scholar] [CrossRef]
- Yu, X.; Feng, Y.; Man, Z. Terminal sliding mode control–an overview. IEEE Open J. Ind. Electron. Soc. 2020, 2, 36–52. [Google Scholar] [CrossRef]
- Dong, H.; Yang, X.; Gao, H.; Yu, X. Practical terminal sliding-mode control and its applications in servo systems. IEEE Trans. Ind. Electron. 2022, 70, 752–761. [Google Scholar] [CrossRef]
- Feng, Y.; Yu, X.; Man, Z. Non-singular terminal sliding mode control of rigid manipulators. Automatica 2002, 38, 2159–2167. [Google Scholar] [CrossRef]
- Feng, Y.; Yu, X.; Han, F. On nonsingular terminal sliding-mode control of nonlinear systems. Automatica 2013, 49, 1715–1722. [Google Scholar] [CrossRef]
- El-Sousy, F.F.M.; Amin, M.M.; Mohammed, O.A. Robust adaptive neural network tracking control with optimized super-twisting sliding-mode technique for induction motor drive system. IEEE Trans. Ind. Appl. 2022, 58, 4134–4157. [Google Scholar] [CrossRef]
- Mousavi, M.S.; Davari, S.A.; Nekoukar, V.; Garcia, C.; Rodriguez, J. Integral sliding mode observer-based ultralocal model for finite-set model predictive current control of induction motor. IEEE J. Emerg. Sel. Top. Power Electron. 2021, 10, 2912–2922. [Google Scholar] [CrossRef]
- Shiravani, F.; Alkorta, P.; Cortajarena, J.A.; Barambones, O. An Integral Sliding Mode Stator Current Control for Industrial Induction Motor. Mathematics 2022, 10, 2765. [Google Scholar] [CrossRef]
- Gambhire, S.J.; Kishore, D.R.; Londhe, P.S.; Pawar, S.N. Review of sliding mode based control techniques for control system applications. Int. J. Dyn. Control. 2021, 9, 363–378. [Google Scholar] [CrossRef]
- Utkin, V.; Poznyak, A.; Orlov, Y.; Polyakov, A. Conventional and high order sliding mode control. J. Frankl. Inst. 2020, 357, 10244–10261. [Google Scholar] [CrossRef]
- Yu, X.; Zhihong, M. Fast terminal sliding-mode control design for nonlinear dynamical systems. In IEEE Transactions on Circuits and Systems I: Fundamental Theory and Applications; IEEE: Piscataway, NJ, USA, 2002; Volume 49, pp. 261–264. [Google Scholar]
- Feng, Y.; Zhou, M.; Han, Q.-L.; Han, F.; Cao, Z.; Ding, S. Integral-type sliding-mode control for a class of mechatronic systems with gain adaptation. IEEE Trans. Ind. Inform. 2019, 16, 5357–5368. [Google Scholar] [CrossRef]
- Liu, Y.; Zhong, S.; Kausar, N.; Zhang, C.; Mohammadzadeh, A.; Pamucar, D. A Stable Fuzzy-Based Computational Model and Control for Inductions Motors. Cmes-Comput. Model. Eng. Sci. 2024, 138, 793–812. [Google Scholar] [CrossRef]
- Chen, W.; Tao, D.; Tang, B. A New Reaching Law Based Nonsingular Terminal Sliding Mode Control Scheme for the Servo System with Periodic Uncertainties. IEEE Access 2024, 12, 64461–64472. [Google Scholar] [CrossRef]











| Parameter | Symbol | Value | Unit |
|---|---|---|---|
| Power | P | 180 | W |
| Number of pole pairs | p | 2 | - |
| Stator resistance | Rs | 4.5 | Ohm |
| Rotor resistance | Rr | 2 | Ohm |
| Mutual flux | Lm | 0.0491 | H |
| Stator inductance | Ls | 0.0034 | H |
| Rotor inductance | Lr | 0.0034 | H |
| Moment of inertia | J | 3.5170 × 10−4 | Kg.m2 |
| Friction constant | B | 4.2490 × 10−4 | N.m.s |
| Parameter | Value |
|---|---|
| p | 5 |
| q | 3 |
| ζ1 | 1 |
| ζ2 | 250 |
| ζ3 | 0.001 |
| γ | 0.008 |
| K | 1000 |
| IAE (10−3) | ISE (10−5) | |
|---|---|---|
| Proposed | 0.001 | 0.003 |
| NTSM | 0.438 | 0.822 |
| SLM | 1.933 | 2.272 |
| MAE | RMS | |
|---|---|---|
| Proposed | 0.0097 | 0.0169 |
| NTSM | 0.1057 | 0.1464 |
| SLM | 0.4144 | 0.5893 |
Disclaimer/Publisher’s Note: The statements, opinions and data contained in all publications are solely those of the individual author(s) and contributor(s) and not of MDPI and/or the editor(s). MDPI and/or the editor(s) disclaim responsibility for any injury to people or property resulting from any ideas, methods, instructions or products referred to in the content. |
© 2025 by the authors. Licensee MDPI, Basel, Switzerland. This article is an open access article distributed under the terms and conditions of the Creative Commons Attribution (CC BY) license (https://creativecommons.org/licenses/by/4.0/).
Share and Cite
Minh Trieu, N.; Tan No, N.; Nguyen Vu, T.; Truong Thinh, N. Higher-Order PID-Nested Nonsingular Terminal Sliding Mode Control for Induction Motor Speed Servo Systems. Actuators 2025, 14, 580. https://doi.org/10.3390/act14120580
Minh Trieu N, Tan No N, Nguyen Vu T, Truong Thinh N. Higher-Order PID-Nested Nonsingular Terminal Sliding Mode Control for Induction Motor Speed Servo Systems. Actuators. 2025; 14(12):580. https://doi.org/10.3390/act14120580
Chicago/Turabian StyleMinh Trieu, Nguyen, Nguyen Tan No, Truong Nguyen Vu, and Nguyen Truong Thinh. 2025. "Higher-Order PID-Nested Nonsingular Terminal Sliding Mode Control for Induction Motor Speed Servo Systems" Actuators 14, no. 12: 580. https://doi.org/10.3390/act14120580
APA StyleMinh Trieu, N., Tan No, N., Nguyen Vu, T., & Truong Thinh, N. (2025). Higher-Order PID-Nested Nonsingular Terminal Sliding Mode Control for Induction Motor Speed Servo Systems. Actuators, 14(12), 580. https://doi.org/10.3390/act14120580

