Abstract
To enhance line capacity in high-speed railways without new infrastructure, virtual coupling train sets (VCTSs) enable reduced inter-train distances via real-time communication and cooperative control. However, unknown disturbances and model uncertainties challenge VCTS performance, often causing chattering, slow convergence, and poor disturbance rejection. This paper proposes a novel finite-time extended state observer-based nonsingular terminal sliding mode (FTESO-NTSM) control strategy. The method integrates a nonsingular terminal sliding mode surface with a hyperbolic tangent-based reaching law to ensure fast convergence and chattering suppression, while a finite-time extended state observer estimates and compensates for lumped disturbances in real time. Lyapunov analysis rigorously proves finite-time stability. Numerical simulations under different initial statuses are conducted to validate the effectiveness of the proposed method. The results show that the maximum observation error achieves 0.0087 kN. The speed chattering magnitudes reach 0.00087 km/h, 0.0017 km/h, 0.0026 km/h, and 0.0034 km/h for the leading train and three followers, respectively. Furthermore, the convergence time of the followers is 56 s, 130 s, and 76 s, respectively. The results highlight that the proposed method can significantly improve line capacity and transportation efficiency.
1. Introduction
In the past few decades, high-speed railway (HSR) has experienced rapid development, emerging as a pivotal solution for meeting the growing demand for efficient, high-capacity, and environmentally sustainable inter-city transportation [1,2]. As of the end of 2024, the operational mileage of high-speed rail in China has reached 48,000 km, accounting for 70% of the total high-speed rail mileage worldwide. While HSR has significantly facilitated business and cultural exchanges, its rapid expansion has also introduced several operational challenges.
In China, the carrying capacity of several major corridors, such as the Beijing–Shanghai, Shanghai–Nanjing, Shanghai–Hangzhou, and Beijing–Tianjin HSR lines, is approaching saturation. At some pivotal hub stations, the headway between consecutive trains has been compressed to as low as three minutes, which is nearing the theoretical minimum under the conventional Moving Block Signaling (MBS) system. To alleviate the mounting pressure on these congested lines, authorities have resorted to the planning and construction of new parallel lines. A case in point is the Shanghai–Nanjing corridor, which currently operates four parallel lines with a fifth under construction. However, this approach of building new infrastructure is often constrained by prohibitively high costs, extended construction periods, and significant land resource consumption, rendering it an unsustainable long-term strategy. Consequently, there is an urgent need to explore innovative technologies that can drastically enhance line capacity without relying solely on new physical infrastructure. Therefore, virtual coupling (VC), first introduced by Bock [3] in 1999, is proposed as a promising alternative.
Currently, in global high-speed railway systems, the Automatic Train Protection (ATP) primarily relies on absolute position-based methods, such as Fixed Block Signaling (FBS) or MBS [4]. This conventional paradigm inherently limits line capacity. In a typical two-train following scenario, the following train must stop before the current absolute position of the leading train to ensure safety; this is a conservative principle that fails to account for the coordinated dynamics of both trains. In practice, it is highly improbable for a train to perform an emergency stop within such a short distance under normal operations.
To overcome this fundamental limitation, VCTS introduces a relative-position-based tracking mode. By utilizing real-time and continuous T2T communication, VCTS replaces the rigid safety margins of physical blocks with a flexible “virtual coupler.” This coupler dynamically synchronizes the states of adjacent trains, enabling a drastic reduction in inter-train distance while rigorously maintaining safety, thereby unlocking potential for a quantum leap in line capacity.
Research on VCTS primarily encompasses four key directions: T2T wireless communication [5,6], operating safety protection [7], cooperative control method [8,9], and transportation organization [10,11]. T2T wireless communication focuses on establishing a reliable, low-latency, and high-integrity communication link as the fundamental enabler for real-time state synchronization within the VCTS. Operating safety protection is dedicated to developing a failsafe framework and formal safety models that guarantee collision-free operation under the stringent constraints of drastically reduced inter-train distances. Cooperative control method centers on the design of distributed control algorithms that ensure precise and stable tracking of speed and relative distance, while compensating for nonlinear dynamics and external disturbances. Transportation organization involves optimizing system-level operations, including dynamic scheduling and resource management, to maximize line capacity and operational efficiency under the VC paradigm.
Focusing on the third domain, this paper investigates the design and optimization of VCTS control laws. The core objective is to dynamically regulate train speeds and spacing, ensuring operational safety under ATP supervision. Xun et al. [12] and Wu et al. [13] overviewed the latest control methods for VC in railway operation and analyzed the advantages and disadvantages of each method. Di Meo et al. [14] designed a train position and velocity tracking error feedback controller considering communication delay. Quaglietta et al. [15] developed a multi-state train-following model to evaluate the impact on capacity in the VCTS. Simulations are adopted by using part of the South West Main Line in the UK with the aim of identifying capacity performances. Cao et al. [16] introduced a generalized model predictive (GMC) and mixed artificial potential field method to perform cooperative control and prevent collision of the virtual coupling train. Liu et al. [17] proposed an optimal control method for VCTS in HSR by considering safe spacing and braking performance. The local stability and the sufficient condition for string stability have been proved. Zhang et al. [18] addressed the cooperative control problem for VC trains under fixed departure and coupling time, and presented a fixed-time tracking approach by applying distributed observers. However, the aforementioned studies have not considered the inherent unknown external disturbances which are inevitable during actual operations.
In recent years, the rapid advancement of deep learning has spurred growing interest in exploring intelligent control algorithms as a promising alternative for the cooperative control of VCTSs. Basile et al. [19] developed a Deep Deterministic Policy Gradient (DDPG)-based control strategy to coordinate and manage the nonlinear heterogeneous High-Speed Trains convoy, considering uncertain nonlinearities and unexpected external factors. Wang et al. [20] also addressed the dynamic and complex operation environment and proposed a Q-learning method for VCTS cooperative control. To reduce the calculating complexation, an artificial potential field (APF) approach is applied to optimize the reward function. Although certain uncertainties are taken into account, deep learning-based controllers for VCTS are inherently limited by their offline nature, which prevents them from adapting to unforeseen, fast-evolving disturbances in real time. Furthermore, the considerable computational cost required for training presents a notable barrier to their practical implementation.
Moreover, Model Predictive Control (MPC) has been proven to be popular for solving cooperative control problems in VCTSs. MPC operates by iteratively solving a finite-horizon optimal control problem online under multiple constraints. Felez et al. [21,22] introduced a decentralized MPC method for the leading train and following trains under nonlinear constraints. Simulation results showed that the proposed MPC-based approach can achieve shorter tracking distance compared to MBS system. Liu et al. [23] presented a distributed MPC approach aiming at minimizing the interference and maintaining constantly safe spacing between trains in the VCTS. This study designed the terminal variant set and provided mathematical proofs for its feasibility and stability. Luo et al. [24] proposed a robust MPC approach for the close following operation based on relative braking principle. They applied a semi-definite program-based controller tuning algorithm to satisfy the nonlinear safety constraint. Despite all these factors, the practical application of MPC is limited by its reliance on an accurate train model and computational cost for real-time optimization.
This paper employs a sliding mode control (SMC) strategy. By designing a sliding surface, SMC ensures the system trajectories converge to the desired dynamics and exhibit inherent robustness against model inaccuracies and disturbances, thereby circumventing the need for a precise model. Wang et al. [25] dealt with uncertain resistance parameters and unknown disturbances by proposing an adaptive cruising controller based on SMC and APF mechanism. Park et al. [26] designed a gap controller based on SMC to ensure the separation is completed before a given location. They adopted a position error correction scheme based on balises to reduce controller perturbations. Wang et al. [27] investigated the formation control problem of virtual coupling trains under unknown parameters and external disturbance. A robust formation control law based on SMC is developed to coordinate the movement of the VCTS. Theoretically, SMC is not entirely model-independent. Its control output synthesizes a model-based equivalent control and a discontinuous switching control. This switching action, while essential for robustness, inevitably causes chattering. The severity of this chattering is inversely related to the accuracy of the nominal train model used, as model inaccuracies must be compensated for by a larger switching gain, thereby presenting a fundamental trade-off between robustness and control smoothness.
Motivated by the studies mentioned above, this paper proposes a finite-time nonsingular terminal sliding mode (NTSM) control method with error observer scheme for VCTS to deal with the parametric certainty, multiple constraints, and time-varying external disturbances. The main contributions of this paper can be highlighted as follows:
- A novel reaching law incorporating a constant velocity term and a tanh function is proposed for the NTSM in the VCTS. This formulation enables the system to swiftly converge towards the sliding surface from large initial tracking errors and seamlessly transitions to a chattering suppression mode with sustained convergence speed when the error is small, ensuring both rapid response and robust performance.
- To counteract the performance degradation caused by model-plant mismatch and unknown disturbances, we augment the NTSM controller with an extended state observer (ESO) designed to estimate the total lumped disturbance. The finite-time stability of the close-loop system under the proposed composite controller is then rigorously proven using Lyapunov theory.
- Simulation tests are established and validated to evaluate the proposed FTESO-NTSM controller under high-speed railway scenarios. Through comparative experiments with several SM-based controllers, the simulation results demonstrate quantitatively that the proposed method achieves improvement in terms of convergence speed, tracking accuracy, and chattering attenuation, thereby providing a practical control solution for VCTS under complex operational conditions.
The remainder of this paper is organized as follows. Section 2 describes the dynamic train model formulation and lists some useful lemmas. Section 3 illustrates the proposed FTESO-NTSM controller, and proves the controller convergence and stability. Section 4 conducts several simulation experiments and analyzes the corresponding results. Finally, Section 5 concludes the contribution of this paper.
2. Problem Description
2.1. VCTS Model Establishment
As shown in Figure 1, the VCTS adopts leader–follower communication topology as the fundamental model, which consists of 1 leading train and n following trains. Each train is considered as an individual agent which can decide its own optimal strategy independently. The leading train only tracks the optimized profile and omnidirectionally transmits state information (e.g., position, speed, acceleration) to its follower. While the rest of trains in the VCTS share state information with adjacent trains bidirectionally.
Figure 1.
Leader–follower communication topology in the VCTS.
Assumption 1:
There is no delay in T2T wireless communication and the connection is reliable.
In the VCTS, we set the index of leading train as 0 and the followers are set as 1, 2, …, n. According to Newton’s Law, the longitude dynamic model of each train in the convoy can be formulated as follows:
where , denote the position and speed of train i at time t. represents the mass of train i. is the traction/braking force. denotes the basic resistance of train i which is related to mechanical, rolling, and air resistance. represents the additional resistance which mainly depends on the actual train operating environment.
The basic resistance can be calculated by adopting the classical Davis Equation as follows:
where a, b, c denote the Davis coefficients, respectively.
The additional resistance originates from real railway line conditions subject to slope, curve, and tunnel. The formulation can be described as follows:
where , , signify the unit slope resistance, curve resistance, and tunnel resistance, respectively.
The aforementioned equations express the theoretical longitude dynamic model of trains in the VCTS. However, due to the complex and variable running environment of trains, their actual operation is frequently subjected to dynamic, time-varying, and unknown disturbances from both internal and external sources. For instance, the control input is susceptible to deviations caused by fluctuations in the catenary voltage or uncertainties in the traction/braking systems. Meanwhile, the aerodynamic resistance is prone to discrepancies from Equation (2) due to structural factors of the train and external weather conditions (e.g., strong winds or rainfall).
Assumption 2:
The additional resistance is unaffected by external disturbances.
The additional resistance is primarily determined by the inherent line conditions, which remain relatively stable during train operation.
So, the expression of actual longitude dynamic model of trains can be rewritten as follows:
where , , represent the actual traction/braking force, aerodynamic drag, and additional resistance, respectively. denotes uncertain impact on the output force. , , represent the bias of the Davis coefficients. represents the uncertainty during the train operation.
For the convenience of modeling and controller design, the train longitude dynamic model can be divided into two parts: equivalent model and bias model. Equation (1) is designed for the equivalent model, while all the extra external disturbances can be combined as the bias model, which is given by the following:
where signifies the combination of uncertainty disturbances, such as catenary fluctuations, traction/braking system uncertainties, aerodynamic variations due to weather, unmodeled dynamics, and parameter drifts.
Assumption 3:
The external unknown disturbances is bounded by .
2.2. Constraints
In the VCTS, the design of train controllers is subject to multiple complex constraints, including fluctuating operational conditions, inherent nonlinear and time-varying dynamic properties of trains, and strict safety mandates for maintaining inter-train distances. These multifaceted limitations impose rigorous bounds on state variables, such as position, velocity, acceleration, and control inputs. To achieve efficient and safe operation of the VCTS while ensuring reliability and passenger comfort, it is imperative to systematically integrate these constraints into both the train dynamic modeling and the controller synthesis process.
Constraint 1:
The inter-station travel time and distance of trains are constrained by the predetermined timetable. The limitations can be expressed as
where T denotes the total travel time. S represents the distance between stations.
Constraint 2:
The control input is derived from traction and braking system, and is bounded by traction/braking characteristic profiles. Such constraints can be given by
where denotes the maximum braking force. represents the maximum traction force.
Constraint 3:
For running safety, the speed of trains must be controlled under the permitted restriction from Automatic Train Protection (ATP). Hence, the train operating speed satisfies
where denotes the speed limit which is set according to the line condition and so on.
Constraint 4:
In the VCTS, adjacent trains should remain at a safe distance based on the hit-soft-wall theory, as shown in Figure 2.
Figure 2.
Tracking distance between adjacent trains.
In this paper, the target safe distance between adjacent trains is dynamically computed based on the relative braking principle, ensuring that even in emergency braking, trains maintain a non-collision gap.
Thus, the tracking gap between neighboring trains should satisfy
where denotes the length of train i. represents the expected tracking gap between train i and train i + 1. And is defined based on the relative braking principle as
where denotes the preset minimum tracking distance between adjacent trains, which is equal to zero for the leading train. signifies the emergency braking acceleration of train i.
2.3. Some Useful Lemmas
Lemma 1
[27]: Consider the nonlinear system below,
Suppose there exists a continuous positive definite function V(x), and real numbers c > 0 and , such that the following inequality holds:
Then the origin is finite-time stable. The convergence time satisfies
Lemma 2
[28]: For a second-order system considering the external disturbances as
By defining as the system state error, we can formulate an error system as
With the lumped disturbance satisfies the condition that is bounded by LM, with , , there exist constants , and the observation error η becomes sufficiently small in a finite amount of time.
3. Controller Design
In this section, we will investigate the FTESO-NTSM control algorithm for each train in the VCTS by considering nonlinear external disturbances. First, we formulate the control objective cooperative operation model which accounts for tracking distance and velocity. Then, we adopt the NTSM control method as the baseline to avoid singularity caused by the classical terminal sliding mode (TSM) algorithm. Finally, an extended state observer based on tracking error is designed to estimate the external unknown disturbances. The goal of the proposed controller is to converge the tracking distance error and speed error to a balanced surface in finite time.
3.1. Cooperative Control Model
The primary control objective for VCTS is to maintain a safe and stable formation while ensuring all trains track the desired operational profile. Unlike traditional moving block systems that rely on fixed absolute braking distances, VCTSs require a cooperative control strategy where trains dynamically adjust their states based on the real-time information of adjacent trains. This necessitates precise tracking of both relative distance and velocity.
In this paper, relative distance and velocity are taken as the optimization target of controller design. According to Equation (10), the tracking error can be described as
where , denote the relative distance and velocity error of neighboring trains.
For the nonlinear train dynamics subject to unknown disturbances , the objective of the proposed controller is to design a distributed control law such that the state tracking errors and are driven to converge to a sufficiently small neighborhood of zero within a finite time , i.e.,:
3.2. Nonsingular Terminal Sliding Mode Controller Design
Applying the tracking error expressions defined in Equation (17), the NTSM controller is designed to achieve finite-time convergence of the tracking errors. The classical TSM control, while offering finite-time stability, suffers from the singularity problem that occurs when the system state is far from the equilibrium point and the derivative of the sliding variable becomes unbounded. The NTSM surface is introduced to circumvent this issue while preserving the finite-time convergence property.
The NTSM surface for the ith train is defined as
where β denotes a gain parameter such that β > 0. p and q represent the positive odd integers satisfying the condition .
The time derivative of the sliding surface is given by the following:
Substituting the error dynamics from Equation (17) into Equation (20), combining train longitude dynamic model Equation (5), we achieve the following:
Assuming that Equation (21) is equal to zero, we achieve the following:
Thus, the theoretically calculated output of train i + 1 can be expressed as
According to Equation (5), Equation (23) contains the unknown external disturbances which is nonlinear, time-varying, and hard to estimate. To ensure the tracking errors reach and remain on the sliding surface in finite time, the control law in Equation (24) should be split into two parts, i.e., an equivalent control term and a switching control term as follows:
From Equation (24), the equivalent control is derived under the assumption of no disturbances, as follows:
To guarantee robustness against disturbances and model uncertainties while mitigating the chattering phenomenon inherent in conventional sliding mode control, the switching control law is designed based on an improved exponential reaching law. In this paper, a hyperbolic tangent function is introduced to replace the traditional method. The switching control law is formulated as
where k1, k2 represent the controller gains which satisfy k1 > 0 and k2 > 0. μ denotes the scaling parameter which satisfies μ > 0.
Thus, the proposed NTSM control law is formulated as
Theorem 1:
Considering the tracking error dynamics (12) and the proposed NTSM control law (27), the sliding surface
will converge to zero in finite time. Meanwhile, the tracking distance error and speed error will also converge to zero in finite time.
Proof:
Consider the Lyapunov function candidate . Differentiating with respect to time and substituting the control law and tracking error yields
The property is equal to zero when . Applying the function , Equation (28) can be reformulated as follows:
Given that , the gain conditions and are bounded, and we achieve the following:
where . This inequality confirms that is negative definite, which means the designed controller is robust and the tracking error will converge to a neighborhood of zero, ultimately.
Since stands, Equation (30) can be rewritten as
Once the system approaches the balanced sliding surface, according to Lemma 1, the tracking distance and tracking speed converge to a finite time . □
3.3. Finite-Time Extended State Observer Design
Although the NTSM controller developed in the previous subsection can achieve finite-time convergence and robustness to a certain extent, its performance is constrained by the need for a priori knowledge of the disturbance bound, often leading to conservative control gains and chattering. To address this limitation, an FTESO is proposed in this section.
The lumped disturbance , as defined in Equation (5), is treated as an extended state. The system tracking error can be subsequently expressed as the following extended state-space model:
where denotes the known nominal dynamics. represents the derivative of the lumped disturbance, which is assumed to be bounded.
Assumption 4:
The derivative of the lumped disturbance is assumed to be bounded, i.e., .
Aiming for finite-time convergence of the estimation errors, the FTESO is constructed as follows:
where , , denote the estimates of , and , respectively. , , are observer gains. , , are preset constant values. The function is formulated as
Furthermore, we define the estimation error of ESO as , , . Equation (33) can be rewritten as
Theorem 2:
Considering the longitude dynamic model for each train in the VCTS when Assumption 4 is satisfied, there exist gain parameters and that make the observation error converge to a neighborhood of zero in finite time.
Proof:
Inspired by Lemma 2, the observation error is set as . The positive definite matrix P is .
The Lyapunov candidate function is proposed as
where η denotes the observation error. P is a positive definite matrix.
According to Lemma 2, the derivative of η with respect to time can be expressed as
where , . Then the characteristic function of A(r, ρ) is given by
Since and , all coefficients in are positive, which means satisfies the Hurwitz conditions. Furthermore, matrix A(r, ρ) is also Hurwitz compliant. So, there exists a positive definite matrix Q that satisfies .
Differentiating with respect to time, and by applying Equation (37), we achieve the following:
where . If we let , then we achieve the following:
where denotes the minimum characteristic value. When by selecting proper value of , holds. □
3.4. NTSM Controller with FTESO
The preceding subsections have individually detailed the design of the NTSM controller, which guarantees finite-time convergence of tracking errors, and the FTESO, which provides accurate and timely estimation of the lumped disturbance. To significantly enhance the system’s robustness and accuracy, these two components are now integrated into a composite control strategy. The structure of the proposed controller is shown in Figure 3.
Figure 3.
The structure of proposed FTESO-NTSM controller.
The equivalent control law in Equation (25) is modified by adding the unknown disturbance Di(t) with its estimate . Consequently, the integrated control law for train i is formulated as
Theorem 3:
For system (5), if we consider the tracking error dynamics (12), the FTESO-NTSM control law is designed as
The sliding surfacewill converge to zero in finite time. Meanwhile, the tracking distance error and speed error will also converge to zero in finite time.
Proof:
Consider the Lyapunov function candidate . Differentiating with respect to time and substituting the control law (44), we achieve the following:
Then, by differentiating with respect to time and combining with Equation (43), we can formulate the following:
Let . Then, we obtain the following:
The observation error of lumped disturbances will converge to a neighborhood of zero according to Section 3.3. So, Equation (45) can be given as
where . Since the estimate error of FTESO will converge to a neighborhood of zero in finite time, by selecting an appropriate value for k1, Equation (46) is guaranteed to be non-positive, thereby demonstrating the stability and reliability of the proposed controller.
Once the system approaches the balanced sliding surface, according to Lemma 1, the tracking distance and tracking speed converge to a finite time . □
4. Numerical Simulations
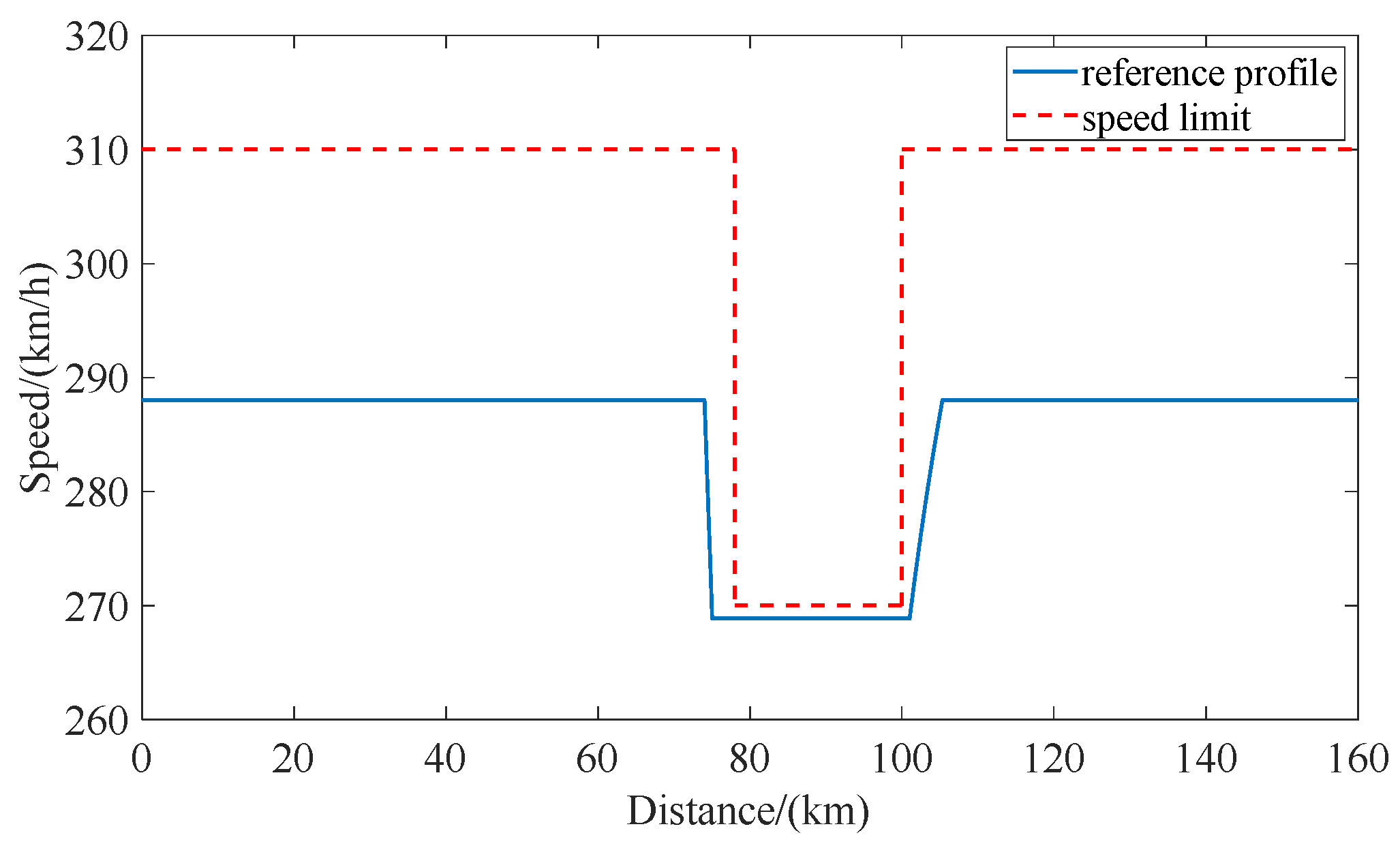
In this section, several numerical experiments are conducted for tracking control in the VCTS subject to multiple external disturbances to illustrate the performance of the proposed FTESO-NTSM control algorithm. In the simulation, we take 4 CRH-3 trains as a train convoy, which consists of 1 leading train and 3 following trains. The parameters of a CRH-3 train are shown in Table 1. To ensure convenience during the simulating process, a simulation environment was constructed to represent a cruising scenario under temporary speed restriction. To emulate diverse tracking behaviors in the train platoon, the initial conditions of each train, including their speed and tracking distance, were configured with different values. The operation conditions of HSR in the experiment are given as follows: (1) The total length of cruising distance is set as 160 km; (2) the maximum speed limit is 300 km/h; (3) the reference cruising speed is 288 km/h; and (4) a temporary speed restriction of 270 km/h is applied between 80 km and 100 km to emulate real-world operational interventions, such as maintenance zones or adverse weather conditions. The speed limit of the line is 310 km/h, as shown in Figure 4. The experiments are operated on a PC with a 1.6 GHz processor and 16 GB memory by Matlab2023b.
Table 1.
Parameters of CRH-3.
Figure 4.
The reference profile and speed limit.
The parameters of the proposed FTESO-NTSM controller are listed in Table 2. The sampling time period is set as 0.1 s. The reference profile for the leading train to track is shown in Figure 4.
Table 2.
Parameters of proposed controller.
First, we evaluate the effectiveness of the proposed FTESO-NTSM control method. The initial speed of the leading train and three following trains are 288 km/h, 284.4 km/h, 280.8 km/h, and 277.2 km/h, respectively. The initial tracking distance between the leader and follower 1, follower 1 and follower 2, follower 2 and follower 3 are set as 300 m. The nominal basic resistance coefficients are adopted from Table 1, which is given as . The external disturbance is assumed to be a preset function which is given as
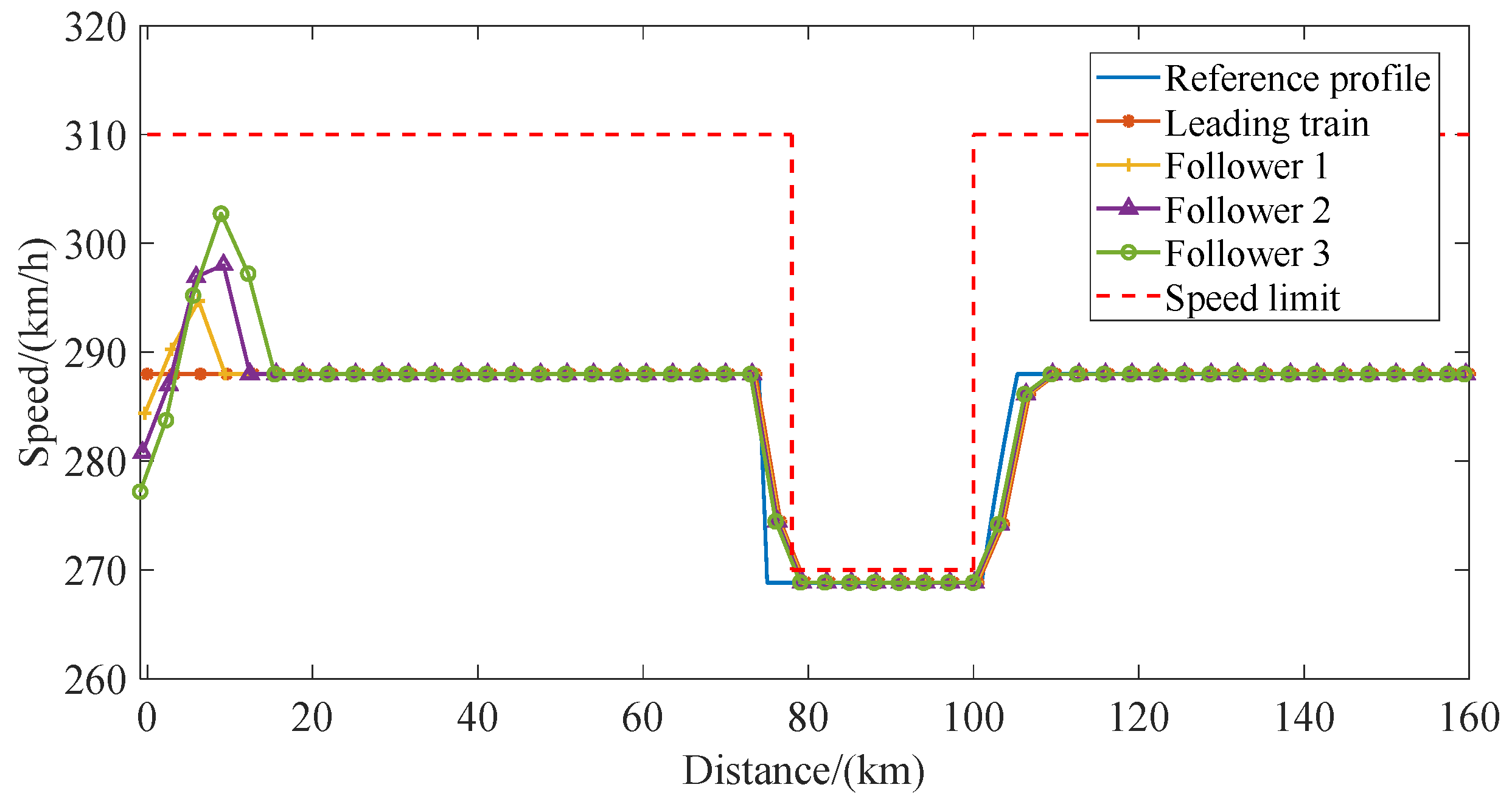
The cooperative operation performance of the trains in the VCTS is summarized in Figure 5, Figure 6 and Figure 7. Figure 5 depicts the speed profiles of the four trains under different initial conditions. The leading train accurately tracks the reference profile and cruises at 288 km/h at the beginning. When a temporary speed restriction is applied, it decelerates accordingly to 268.8 km/h and maintains this speed up to a distance of 10 km. Since the speed of all three following trains are lower than 288 km/h, they initially operate in traction phase to accelerate, reaching peak speeds of 299.8 km/h, 301.7 km/h, and 306.2 km/h for follower 1, follower 2, and follower 3, respectively. Then they start to decelerate to the target cruising speed. This coordinated acceleration–deceleration strategy enables the entire convoy to achieve the desired speed and inter-train spacing.
Figure 5.
Speed profiles of the trains in the VCTS under different initial states.
Figure 6.
Tracking speed error of adjacent trains in the VCTS.
Figure 7.
Tracking distance error of adjacent trains in the VCTS.
Figure 6 and Figure 7 illustrate the tracking speed error and tracking distance error profiles of adjacent trains in the VCTS. Since the reference profile does not account for external disturbances, the leading train exhibits fluctuation phenomenon during reference tracking. The tracking speed error varies within the range of [−0.049 km/h, 0.061 km/h] and the tracking distance is within the range of [7.7 × 10−4 m, 2.6 × 10−3 m] for most of the simulation duration. However, due to the temporary speed restriction, the maximum tracking distance error of the leading train increases to −0.28 m and 0.47 m. During the initial phase, followers 1, 2, and 3 operate at a speed-adjustment stage to achieve virtual coupling. Their acceleration initiation is sequentially delayed relative to their preceding trains, which can be attributed to their lower initial speeds and the dependency of their control strategies on the state of the preceding train. Ultimately, the three followers achieve coordinated operation by reaching both the target speed and the desired safe spacing at 69 s, 131 s, and 162 s, respectively.
Figure 8 illustrates the sliding mode surface profiles of the leading train and the three followers. The sliding mode surface of the leading train remains consistently near zero. In contrast, the followers exhibit initial fluctuations in their sliding surfaces due to tracking errors in both relative distance and speed. These surfaces subsequently converge to the vicinity of zero at 69 s, 131 s, and 162 s for followers 1, 2, and 3, respectively. This convergence behavior aligns well with the variation trends observed in Figure 6 and Figure 7.
Figure 8.
Sliding surface profiles of 4 trains in the VCTS.
Figure 9 presents the observed disturbance profiles for all four trains in the platoon. Throughout the simulation, the maximum observation error is 0.0087 kN; these results validate the effective disturbance estimation capability of the proposed ESO module.
Figure 9.
Observed external disturbance profiles of 4 trains in the VCTS.
To benchmark the performance of the proposed algorithm, it is compared with three alternative controllers: (1) a baseline NTSM controller without ESO(NTSM-T); (2) an NTSM controller incorporating ESO with an exponential reaching law (FTESO-NTSM-E); and (3) an NTSM controller without ESO but employing an exponential reaching law (NTSM-E). The initial speeds of the four trains are set at different values (288 km/h, 291.6 km/h, 284.4 km/h, and 295.2 km/h). The initial tracking distances are also varied at 250 m, 300 m, and 350 m to assess formation stability. The configurations for basic resistance and external disturbances are identical to those in the former simulation. The comparative results, depicted in Figure 10, demonstrate the convergence and tracking performance of all four control strategies.
Figure 10.
Comparison of speed profiles in the train convoy by FTESO-NTSM, NTSM-T, FTESO-NTSM-E, and NTSM-E.
As illustrated in Figure 10, the proposed FTESO-NTSM algorithm generates the minimal level of chattering during the cruising phase. Such performance can be attributed to two key factors. Firstly, algorithms incorporating the ESO module exhibit significantly less chattering than those without it, owing to the ESO’s capability to estimate and compensate for external disturbances in real time. Secondly, the adoption of a tanh function-based reaching law in our proposed method offers smoother control activity compared to the conventional exponential reaching law, which is inherently prone to inducing chattering. The quantitative comparison of speed chattering magnitudes for different algorithms during the cruising phase is further summarized in Table 3, which corroborates the aforementioned observations.
Table 3.
Comparison of speed chattering magnitudes during the cruising phase.
Figure 11 and Figure 12 depict the comparative tracking performance of speed and distance under the four control strategies in the VCTS. The proposed FTESO-NTSM algorithm demonstrates superior convergence capability, rapidly steering the system from initial state deviations to stable tracking speed and distance. As evidenced by the results, the three follower trains achieve convergence at 56 s, 130 s, and 76 s, respectively. A comparative summary of the convergence times for all strategies is quantitatively presented in Table 4.
Figure 11.
Comparison of tracking speed error profiles between adjacent trains.
Figure 12.
Comparison of tracking distance error profiles between adjacent trains.
Table 4.
Comparison of convergence performance.
Since VCTS control must operate in real time, the computational time for each train is recorded accordingly. The average calculating time is 0.003 s, which satisfies the control period in this paper and is both practical and feasible for onboard controllers.
5. Results and Conclusions
5.1. Results
Simulation experiments demonstrated the effectiveness of the proposed method in achieving stable operation of VCTS under various initial conditions. In the first simulation test, the maximum tracking speed errors between adjacent trains are 0.061 km/h, 6.896 km/h, 10.051 km/h, and 9.433 km/h, respectively. Correspondingly, the maximum tracking distance errors are 0.47 m, 300 m, 341.53 m, and 349.36 m. The three followers converge to the target speed and the desired safe spacing at 69 s, 131 s, and 162 s, respectively. The ESO module exhibits a maximum estimation error of 0.0087 kN, demonstrating its capability to accurately estimate external disturbances and thereby enhance control precision. In the second simulation test, we compare the proposed method with three conventional sliding mode controllers. The proposed method achieves speed chattering magnitudes of 0.00087 km/h, 0.0017 km/h, 0.0026 km/h, and 0.0034 km/h for the leading train and the three followers. Compared to the NTSM-T and NTSM-E controllers, which have no ESO module, FTESO-NTSM-E and the proposed FTESO-NTSM controllers exhibit smaller speed chattering performance. This is because the ESO module can estimate and compensate the external disturbances in real time for more accurate control output. Furthermore, the adoption of the tanh function to enable continuous and smooth switching on the sliding surface endows the proposed FTESO-NTSM controller with notably reduced speed chattering in comparison with the FTESO-NTSM-E controller, such as 0.00103 km/h reduction for the leading train, and 0.0016 km/h, 0.0013 km/h, and 0.0002 km/h reduction for the followers. In terms of convergence performance, the proposed controller enabled the three following trains to achieve stable convergence within 56 s, 130 s, and 76 s, respectively. In contrast, the NTSM-T and NTSM-E controllers, which lack an ESO module, exhibited significantly slower convergence, with corresponding convergence times of approximately 670 s, 480 s, and 390 s for the three followers. The FTESO-NTSM-E controller shows similar convergence times but exhibits higher chattering due to its discontinuous switching law. These results collectively validate its effectiveness in tracking speed/distance, convergence speed, and robustness of the proposed approach.
5.2. Conclusions
This paper set out to address the critical challenge of precise and robust cooperative control for VCTS operating under unknown external disturbances and multiple operational constraints. To this end, a novel FTESO-NTSM control strategy is proposed. The core of this approach lies in the synergistic integration of a finite-time convergent disturbance observer with a nonsingular terminal sliding mode controller featuring a smooth hyperbolic tangent reaching law. Theoretical analysis, grounded in Lyapunov stability theory, rigorously proves the finite-time stability of the closed-loop system. Simulation results demonstrate that the proposed controller significantly outperforms conventional sliding mode methods in key performance metrics. It achieves rapid convergence from varied initial states, maintains precise tracking of both speed and relative distance, and effectively suppresses control chattering. The embedded extended state observer proves its effectiveness in terms of real-time estimation and compensation of lumped disturbances, which is a fundamental contributor to the enhanced robustness and accuracy of the system.
However, this work is subject to certain limitations. The simulation environment relies on idealized assumptions, including delay-free T2T communication and deterministic disturbance models, which may not fully capture the stochastic and complex nature of real-world railway operations. Furthermore, the scenarios tested, while representative, are limited in scope. Future research should therefore focus on validating the controller’s performance under more realistic conditions. This includes incorporating stochastic disturbances, communication delays, and packet losses into the model, and testing across a wider spectrum of emergency and fault scenarios.
In conclusion, this research provides a theoretically sound and simulation-validated control framework for cooperative train operation in the VCTS. It offers a promising solution for enhancing railway line capacity and operational efficiency, marking a meaningful step toward the realization of safe and reliable virtually coupled train operations.
Author Contributions
Conceptualization, Z.H., N.X. and X.Z.; methodology, Z.H., N.X. and K.L.; software, Z.H.; investigation, Z.S.; writing—original draft preparation, Z.H. and Z.C.; writing—review and editing, K.L., Z.C. and Z.S.; supervision, X.Z. and Z.S. All authors have read and agreed to the published version of the manuscript.
Funding
This research was funded by the National Nature Science Foundation of China (grant number 12473072), the Science and Technology Research Project of China Railway (grant number L2024G004), and the State Key Laboratory of Advanced Rail Autonomous Operation (grant number RAO2025K07).
Institutional Review Board Statement
Not applicable.
Informed Consent Statement
Not applicable.
Data Availability Statement
The original contributions presented in this study are included in the article. Further inquiries can be directed to the corresponding author.
Conflicts of Interest
Authors Zhiyu He, Ning Xu, Xiaoyu Zhao, and Zhao Sheng were employed by the China Academy of Railway Sciences Corporation Limited. The remaining authors declare that the research was conducted in the absence of any commercial or financial relationships that could be construed as potential conflicts of interest.
References
- Dong, H.; Ning, B.; Cai, B.; Hou, Z. Automatic train control system development and simulation for high-speed railways. IEEE Circuits Syst. Mag. 2010, 10, 6–18. [Google Scholar] [CrossRef]
- Mo, Z. Prospect on Technical Development of Intelligent Railway Train Control System. Railw. Signal. Commun. 2022, 58, 1–7. [Google Scholar]
- Bock, U.; Varchmin, J. Enhancement of the occupancy of railroads using virtually coupled train formations. In Proceedings of the World Congress on Railway Research (WCRR), Tokyo, Japan, 16–20 November 1999. [Google Scholar]
- Ning, B. Absolute braking and relative distance braking-Train operation control modes in moving block systems. WIT Trans. Built Environ. 1998, 37, 991–1000. [Google Scholar]
- Li, C. Research on optimization design scheme of train autonomous control system based on train-to-train communication. Railw. Signal. Commun. 2023, 59, 64–69. [Google Scholar]
- Soliman, M.; Siemons, J.; Kochems, J.; Alshrafi, W.; Shamshoom, J.; Heberling, D.; Dekorsy, A. Automatic train coupling: Challenges and key enablers. IEEE Commun. Mag. 2019, 57, 32–38. [Google Scholar] [CrossRef]
- Song, H.; Schnieder, E. Development and evaluation procedure of the train-centric communication-based system. IEEE Trans. Veh. Technol. 2018, 68, 2035–2043. [Google Scholar] [CrossRef]
- Qiu, C.; Chen, T.; Lu, S.; Wang, H. A safety-oriented train tracking method of dynamic moving block train control system based on train-to-train communication. Intell. Transp. Syst. 2019, 14, 175–187. [Google Scholar] [CrossRef]
- Ding, Y.; Lv, J.; Liu, C. Research on train collaborative control method for urban rail transit based on distributed model predictive control. Railw. Signal. Commun. 2024, 60, 11–19. [Google Scholar]
- Li, S.; Yang, L.; Gao, Z. Distributed optimal control for multiple high-speed train movement: An alternating direction method of multipliers. Automatica 2020, 112, 108646. [Google Scholar] [CrossRef]
- Zhao, Q.; Wang, H. A multi-train cooperative control method of urban railway transportation based on artificial potential field. In Proceedings of the Chinese Automation Congress (CAC), Hangzhou, China, 22–24 November 2019. [Google Scholar]
- Liu, L.; Wang, P.; Wei, W.; Li, Q.; Zhang, B. Intelligent dispatching and coordinated control method at railway stations for virtually coupled train sets. In Proceedings of the IEEE Intelligent Transportation Systems Conference (ITSC), Auckland, New Zealand, 27–30 October 2019. [Google Scholar]
- Wu, Q.; Ge, X.; Han, Q.L.; Liu, Y. Railway virtual coupling: A survey of emerging control techniques. IEEE Trans. Intell. Veh. 2023, 8, 3239–3255. [Google Scholar] [CrossRef]
- Di Meo, C.; Di Vaio, M.; Flammini, F.; Nardone, R.; Santini, S.; Vittorini, V. ERTMS/ETCS virtual coupling: Proof of concept and numerical analysis. IEEE Trans. Intell. Transp. Syst. 2020, 21, 2545–2556. [Google Scholar] [CrossRef]
- Quaglietta, E.; Spartalis, P.; Wang, M.; Goverde, R.; Koningsbruggen, P. Modelling and analysis of virtual coupling with dynamic safety margin considering risk factors in railway operations. J. Rail Transport Plan. Manag. 2022, 22, 100313. [Google Scholar] [CrossRef]
- Cao, Y.; Wen, J.; Ma, L. Tracking and collision avoidance of virtual coupling train control system. Alex. Eng. J. 2021, 60, 2115–2125. [Google Scholar] [CrossRef]
- Liu, Y.; Zhou, Y.; Su, S.; Xun, J.; Tang, T. An analytical optimal control approach for virtually coupled high-speed trains with local and string stability. Transp. Res. C Emerg. Technol. 2021, 125, 102886. [Google Scholar] [CrossRef]
- Zhang, Z.; Song, H.; Wang, H.; Wang, X.; Dong, H. Cooperative multi-scenario departure control for virtual coupling trains: A fixed-time approach. IEEE Trans. Veh. Technol. 2021, 70, 8545–8555. [Google Scholar] [CrossRef]
- Basile, G.; Liu, D.G.; Petrillo, A.; Santini, S. Deep deterministic policy gradient virtual coupling control for the coordination and maneuvering of heterogeneous uncertain nonlinear high-speed trains. Eng. Appl. Artif. Intell. 2024, 133, 108120. [Google Scholar] [CrossRef]
- Wang, H.; Zhao, Q.; Lin, S.; Cui, D.; Luo, C.; Zhu, L.; Wang, X.; Tang, T. A reinforcement learning empowered cooperative control approach for IIoT-based virtually coupled train sets. IEEE Trans. Ind. Inform. 2021, 17, 4935–4945. [Google Scholar] [CrossRef]
- Felez, J.; Kim, Y.; Borrelli, F. A model predictive control approach for virtual coupling in railways. IEEE Trans. Intell. Transp. Syst. 2019, 20, 2728–2739. [Google Scholar] [CrossRef]
- Felez, J.; Vaquero-Serrano, M.; de Dios Sanz, J. A robust model predictive control for virtual coupling in train sets. Actuators 2022, 11, 372. [Google Scholar] [CrossRef]
- Liu, Y.; Liu, R.; Wei, C.; Xun, J.; Tang, T. Distributed model predictive control strategy for constrained high-speed virtually coupled train set. IEEE Trans. Veh. Technol. 2022, 71, 171–183. [Google Scholar] [CrossRef]
- Luo, X.; Tang, T.; Yin, J.; Liu, H. A robust MPC approach with controller tuning for close following operation of virtually coupled train set. Transp. Res. C Emerg. Technol. 2023, 151, 104116. [Google Scholar] [CrossRef]
- Wang, D.; Cao, Y. Adaptive cruise control of virtual coupled trains based on sliding mode. J. Phys. Conf. Ser. 2022, 2224, 012109. [Google Scholar] [CrossRef]
- Park, J.; Lee, B.; Eun, Y. Virtual coupling of railway vehicles: Gap reference for merge and separation, robust control, and position measurement. IEEE Trans. Intell. Transp. Syst. 2020, 23, 1085–1096. [Google Scholar] [CrossRef]
- Zhu, Z.; Xia, Y.; Fu, M. Attitude stabilization of rigid spacecraft with finite-time convergence. Int. J. Robust Nonlinear Control. 2011, 21, 686–702. [Google Scholar] [CrossRef]
- Zhao, D.; Yang, D. Model-free control of quad-rotor vehicle via finite-time convergent extended state observer. Int. J. Control. Autom. Syst. 2016, 14, 242–254. [Google Scholar] [CrossRef]
Disclaimer/Publisher’s Note: The statements, opinions and data contained in all publications are solely those of the individual author(s) and contributor(s) and not of MDPI and/or the editor(s). MDPI and/or the editor(s) disclaim responsibility for any injury to people or property resulting from any ideas, methods, instructions or products referred to in the content. |
© 2026 by the authors. Licensee MDPI, Basel, Switzerland. This article is an open access article distributed under the terms and conditions of the Creative Commons Attribution (CC BY) license.











