Sign in to use this feature.

Years

Between: -

Subjects

remove_circle_outline
remove_circle_outline
remove_circle_outline
remove_circle_outline
remove_circle_outline
remove_circle_outline
remove_circle_outline
remove_circle_outline

Journals

Article Types

Countries / Regions

Search Results (38)

Search Parameters:
Keywords = non-stationary temperature field

Order results
Result details
Results per page
Select all
Export citation of selected articles as:
21 pages, 1163 KB  
Article
Frictional Heating During Sliding of Two Layers Made of Different Materials
by Katarzyna Topczewska, Aleksander Yevtushenko and Przemysław Zamojski
Materials 2025, 18(22), 5088; https://doi.org/10.3390/ma18225088 - 9 Nov 2025
Viewed by 306
Abstract
The non-stationary heat problem of friction for two homogeneous layers with imperfect thermal contact and convective heat exchange on the free surfaces is considered. Assuming a constant specific power of friction, an exact solution of the formulated problem is obtained using the Laplace [...] Read more.
The non-stationary heat problem of friction for two homogeneous layers with imperfect thermal contact and convective heat exchange on the free surfaces is considered. Assuming a constant specific power of friction, an exact solution of the formulated problem is obtained using the Laplace integral transform. The solution is verified by checking the fulfillment of the boundary and initial conditions both in the transform space as well as in the space of the original. Particular solutions are also derived for some specific cases, namely, the perfect thermal contact of friction at large values of the contact heat transfer coefficient and the asymptotic solution at the initial time moments of the heating process. On the basis of developed solutions, numerical analysis was performed in dimensionless form. The influence of the thermal contact conductance, the convective cooling intensity, and the relative layer thickness on the temperature field is investigated. It was established that for Biot number Bi50 yields nearly equal surface temperatures. Full article
Show Figures

Figure 1

27 pages, 3840 KB  
Article
Adaptive Lag Binning and Physics-Weighted Variograms: A LOOCV-Optimised Universal Kriging Framework with Trend Decomposition for High-Fidelity 3D Cryogenic Temperature Field Reconstruction
by Jiecheng Tang, Yisha Chen, Baolin Liu, Jie Cao and Jianxin Wang
Processes 2025, 13(10), 3160; https://doi.org/10.3390/pr13103160 - 3 Oct 2025
Viewed by 561
Abstract
Biobanks rely on ultra-low-temperature (ULT) storage for irreplaceable specimens, where precise 3D temperature field reconstruction is critical to preserve integrity. This is the first study to apply geostatistical methods to ULT field reconstruction in cryogenic biobanking systems. We address critical gaps in sparse-sensor [...] Read more.
Biobanks rely on ultra-low-temperature (ULT) storage for irreplaceable specimens, where precise 3D temperature field reconstruction is critical to preserve integrity. This is the first study to apply geostatistical methods to ULT field reconstruction in cryogenic biobanking systems. We address critical gaps in sparse-sensor environments where conventional interpolation fails due to vertical thermal stratification and non-stationary trends. Our physics-informed universal kriging framework introduces (1) the first domain-specific adaptation of universal kriging for 3D cryogenic temperature field reconstruction; (2) eight novel lag-binning methods explicitly designed for sparse, anisotropic sensor networks; and (3) a leave-one-out cross-validation-driven framework that automatically selects the optimal combination of trend model, binning strategy, logistic weighting, and variogram model fitting. Validated on real data collected from a 3000 L operating cryogenic chest freezer, the method achieves sub-degree accuracy by isolating physics-guided vertical trends (quadratic detrending dominant) and stabilising variogram estimation under sparsity. Unlike static approaches, our framework dynamically adapts to thermal regimes without manual tuning, enabling centimetre-scale virtual sensing. This work establishes geostatistics as a foundational tool for cryogenic thermal monitoring, with direct engineering applications in biobank quality control and predictive analytics. Full article
Show Figures

Figure 1

14 pages, 2817 KB  
Article
Light-Induced Heating of Microsized Nematic Volumes
by Dmitrii Shcherbinin, Denis A. Glukharev, Semyon Rudyi, Anastasiia Piven, Tetiana Orlova, Izabela Śliwa and Alex Zakharov
Crystals 2025, 15(9), 822; https://doi.org/10.3390/cryst15090822 - 19 Sep 2025
Viewed by 514
Abstract
The experimental study has been carried out using advanced computer vision methods in order to visualize the moment of excitation and further propagation of a non stationary isotropic domain in a hybrid aligned nematic (HAN) microsized volume under the effect of a laser [...] Read more.
The experimental study has been carried out using advanced computer vision methods in order to visualize the moment of excitation and further propagation of a non stationary isotropic domain in a hybrid aligned nematic (HAN) microsized volume under the effect of a laser beam focused on a bounding liquid crystal surface. It has been shown that, when the laser power exceeds a certain threshold value, in bulk of the HAN microvolume, an isotropic circular domain is formed. We also observed a structure of alternating concentric rings around the isotropic circular region, which increases with distance from the center of the isotropic domain. The formation of a sequence of rings in a polarizing microscopic image indicates the formation of a complex topology of the director field in the HAN cell under study. The following evolution of the texture can be represented by two modes. Firstly, the “fast” heating mode, which is responsible for the formation and explosive expansion of an isotropic zone in bulk of the HAN microvolume with characteristic time τ1 due to a laser spot heating on the upper indium tin oxide (ITO) layer. Secondly, the “slow” heating mode, when an isotropic zone and concentric rings slowly expand with characteristic time τ2 mainly due to the finite thermoconductivity of ITO layer. When the laser power significantly exceeds the threshold value, damped oscillations of the isotropic domain are observed. We also introduced the metrics that allows quantitatively estimate the behavior of texture observed. The results obtained form an experimental basis for further investigation of thermomechanical force appearing in the LC system with coupled gradients of temperature and director fields. Full article
(This article belongs to the Collection Liquid Crystals and Their Applications)
Show Figures

Figure 1

18 pages, 5373 KB  
Article
Novel Spatio-Temporal Joint Learning-Based Intelligent Hollowing Detection in Dams for Low-Data Infrared Images
by Lili Zhang, Zihan Jin, Yibo Wang, Ziyi Wang, Zeyu Duan, Taoran Qi and Rui Shi
Sensors 2025, 25(10), 3199; https://doi.org/10.3390/s25103199 - 19 May 2025
Viewed by 849
Abstract
Concrete dams are prone to various hidden dangers after long-term operation and may lead to significant risk if failed to be detected in time. However, the existing hollowing detection techniques are few as well as inefficient when facing the demands of comprehensive coverage [...] Read more.
Concrete dams are prone to various hidden dangers after long-term operation and may lead to significant risk if failed to be detected in time. However, the existing hollowing detection techniques are few as well as inefficient when facing the demands of comprehensive coverage and intelligent management for regular inspections. Hence, we proposed an innovative, non-destructive infrared inspection method via constructed dataset and proposed deep learning algorithms. We first modeled the surface temperature field variation of concrete dams as a one-dimensional, non-stationary partial differential equation with Robin boundary. We also designed physics-informed neural networks (PINNs) with multi-subnets to compute the temperature value automatically. Secondly, we obtained the time-domain features in one-dimensional space and used the diffusion techniques to obtain the synthetic infrared images with dam hollowing by converting the one-dimensional temperatures into two-dimensional ones. Finally, we employed adaptive joint learning to obtain the spatio-temporal features. We designed the experiments on the dataset we constructed, and we demonstrated that the method proposed in this paper can handle the low-data (few shots real images) issue. Our method achieved 94.7% of recognition accuracy based on few shots real images, which is 17.9% and 5.8% higher than maximum entropy and classical OTSU methods, respectively. Furthermore, it attained a sub-10% cross-sectional calculation error for hollowing dimensions, outperforming maximum entropy (70.5% error reduction) and OTSU (7.4% error reduction) methods, which shows our method being one novel method for automated intelligent hollowing detection. Full article
Show Figures

Figure 1

15 pages, 6512 KB  
Article
Wind Field Characteristics of the 13 June 2014 Downburst Event in Beijing Based on Meteorological Tower Records
by Shi Zhang, Yibo Wang, Zengzhi Qian, Kexin Guo, Xiaoda Xu, Daxing Zhou and Qing Cao
Atmosphere 2025, 16(1), 27; https://doi.org/10.3390/atmos16010027 - 29 Dec 2024
Cited by 1 | Viewed by 1122
Abstract
Understanding the characteristics of downburst wind fields is crucial for studying structural resistance to downbursts. Based on measured data from the 325 m meteorological tower in Beijing, this paper investigates the spatiotemporal evolution of mean and fluctuating winds during a non-stationary downburst. Key [...] Read more.
Understanding the characteristics of downburst wind fields is crucial for studying structural resistance to downbursts. Based on measured data from the 325 m meteorological tower in Beijing, this paper investigates the spatiotemporal evolution of mean and fluctuating winds during a non-stationary downburst. Key wind field parameters such as the mean wind speed, turbulence intensity, turbulence integral length scale, probability density function, power spectral density, evolutionary power spectral density, and gust factor are statistically analyzed. The results show that the wind speed of downburst undergoes rapid changes, with wind direction significantly influenced by outflow vortices at low altitudes and relatively stable at higher altitudes. When the event happens, the temperature decreases sharply. The mean wind speeds and turbulence integral length scale of the downburst exhibit pronounced “nose-shaped” profile characteristics at the moment when peak wind speed occurs. The turbulence intensity at lower altitudes predominantly exceeds that at higher altitudes. The probability density distribution function of the reduced fluctuating wind speed matches the standard Gaussian distribution curve. The fluctuating wind speeds of the downburst exhibit significant non-stationary characteristics, with their energy mainly distributing in the period of rapid change of wind speed in the time domain and concentrating in the vicinity of 0–0.1 Hz in the frequency domain. The gust factor reaches its maximum at the moment when the peak wind speed occurs. Full article
(This article belongs to the Special Issue Weather and Climate Extremes: Past, Current and Future)
Show Figures

Figure 1

12 pages, 3488 KB  
Article
Mathematical Modeling of the Heat Transfer Process in Spherical Objects with Flat, Cylindrical and Spherical Defects
by Pavel Balabanov, Andrey Egorov, Alexander Divin, Sergey Ponomarev, Victor Yudaev, Sergey Baranov and Huthefa Abu Zetoonh
Computation 2024, 12(7), 148; https://doi.org/10.3390/computation12070148 - 17 Jul 2024
Cited by 1 | Viewed by 1817
Abstract
This paper proposes a method for determining the optimal parameters for the thermal testing of plant tissues of fruits and vegetables containing surface and subsurface defects in the form of areas of plant tissues with different thermophysical characteristics. Based on well-known mathematical models [...] Read more.
This paper proposes a method for determining the optimal parameters for the thermal testing of plant tissues of fruits and vegetables containing surface and subsurface defects in the form of areas of plant tissues with different thermophysical characteristics. Based on well-known mathematical models for objects of predominantly flat, cylindrical and spherical shapes containing flat, spherical and cylindrical regions of defects, numerical solutions of three-dimensional, non-stationary temperature fields were found, making it possible to measure the power and time of the thermal exposure of the sample surface to the radiation from infrared lamps using the finite element method. This made it possible to ensure the reliable detection of a temperature contrast of up to 4 °C between the defect and defect-free regions of the test object using modern thermal imaging cameras. In this case, subsurface defects can be detected at a depth of up to 3 mm from the surface. To determine the parameters of mathematical models of temperature fields, such as thermal conductivity and a coefficient of the thermal diffusivity of plant tissues, a new method of a pulsed heat flux from a flat heater is proposed; this differs in the method of processing experimental data and makes it possible to determine the required characteristics with high accuracy during the active stage of the experiment in a period not exceeding 1–3 min. Full article
(This article belongs to the Special Issue Mathematical Modeling and Study of Nonlinear Dynamic Processes)
Show Figures

Figure 1

14 pages, 3361 KB  
Article
Complete Ensemble Empirical Mode Decomposition and Wavelet Algorithm Denoising Method for Bridge Monitoring Signals
by Bing-Chen Yang, Fang-Zhou Xu, Yu Zhao, Tian-Yun Yao, Hai-Yang Hu, Meng-Yi Jia, Yong-Jun Zhou and Ming-Zhu Li
Buildings 2024, 14(7), 2056; https://doi.org/10.3390/buildings14072056 - 5 Jul 2024
Cited by 10 | Viewed by 2836
Abstract
In order to investigate the analysis and processing methods for nonstationary signals generated in bridge health monitoring systems, this study combines the advantages of complete ensemble empirical mode decomposition (CEEMD) and wavelet threshold denoising algorithms to construct the CEEMD–wavelet threshold denoising algorithm. The [...] Read more.
In order to investigate the analysis and processing methods for nonstationary signals generated in bridge health monitoring systems, this study combines the advantages of complete ensemble empirical mode decomposition (CEEMD) and wavelet threshold denoising algorithms to construct the CEEMD–wavelet threshold denoising algorithm. The algorithm follows the following steps: first, add noise to the monitoring data and obtain all the mode components through empirical mode decomposition (EMD), denoise the mode components with noise using the wavelet threshold function to remove the noise components, select the optimal stratification for denoising the monitoring data of the Guozigou Bridge in Xinjiang in January 2023, determine the wavelet type and threshold selection criteria, and reconstruct the denoised intrinsic mode function (IMF) components to achieve accurate extraction of the effective signal. By referencing the deflection, temperature, and strain data of the Guozigou Bridge in Xinjiang in January 2023 and comparing the data cleaned by different mode decomposition and wavelet threshold denoising methods, the results show that compared with empirical mode decomposition (EMD)–wavelet threshold denoising and variational mode decomposition (VMD)–wavelet threshold denoising, the signal-to-noise ratios and root-mean-square errors of the four types of monitoring data obtained by the algorithm proposed in this study are the most ideal. Under the premise of minimizing reconstruction errors when processing a large amount of data, it has better convergence, verifying the practicality and reliability of the algorithm in the field of bridge health monitoring data cleaning and providing a certain reference value for further research in the field of signal processing. The computational method constructed in this study will provide theoretical support for data cleaning and analysis of nonstationary and nonlinear random signals, which is conducive to further promoting the improvement of bridge health monitoring systems. Full article
(This article belongs to the Section Building Structures)
Show Figures

Figure 1

16 pages, 2916 KB  
Article
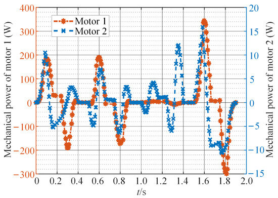
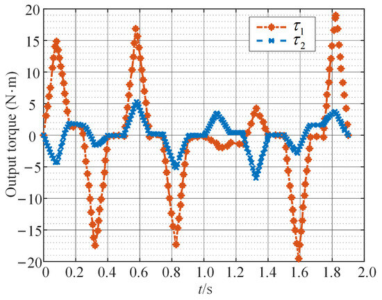
Lifetime Prediction of Permanent Magnet Synchronous Motor in Selective Compliance Assembly Robot Arm Considering Insulation Thermal Aging
by Mingxu Chen, Bingye Zhang, Haibo Li, Xiang Gao, Jiajin Wang and Jian Zhang
Sensors 2024, 24(12), 3747; https://doi.org/10.3390/s24123747 - 9 Jun 2024
Cited by 5 | Viewed by 2630
Abstract
The direct-drive selective compliance assembly robot arm (SCARA) is widely used in high-end manufacturing fields, as it omits the mechanical transmission structures and has the advantages of high positioning accuracy and fast movement speed. However, due to the intensifying dynamic coupling problem of [...] Read more.
The direct-drive selective compliance assembly robot arm (SCARA) is widely used in high-end manufacturing fields, as it omits the mechanical transmission structures and has the advantages of high positioning accuracy and fast movement speed. However, due to the intensifying dynamic coupling problem of structures in the direct-drive SCARA, the permanent magnet synchronous motors (PMSMs) located at the joints will take on nonstationary loads, which causes excessive internal temperature and reduces the lifetime of PMSMs. To address these issues, the lifetime prediction of PMSMs is studied. The kinematic and dynamic models of the SCARA are established to calculate the torque curve required by the PMSM in specific typical motion tasks. Additionally, considering thermal stress as the main factor affecting lifetime, accelerated degradation tests are conducted on insulation material. Then, the reliability function of the PMSM is formulated based on the accelerated degradation model. Based on the parameters and working conditions of the PMSM, the temperature field distribution is obtained through simulation. The maximum temperature is used as the reference temperature to conduct reliability evaluation and lifetime prediction of the PMSM. The research results show that for a typical point-to-point task, the PMSM can run for 102,623 h while achieving the reliability requirement of 0.99. Full article
(This article belongs to the Section Sensors and Robotics)
Show Figures

Figure 1

19 pages, 10306 KB  
Article
Electrical Heating of Carbon Textile Reinforced Concrete—Possible Effects on Tensile Load-Bearing Behavior
by Annette Dahlhoff and Michael Raupach
Appl. Sci. 2024, 14(11), 4430; https://doi.org/10.3390/app14114430 - 23 May 2024
Cited by 3 | Viewed by 1712
Abstract
Carbon-textile-reinforced concrete (CTRC) is currently used as a high-performance composite material in the construction industry, comprising concrete and a non-metallic reinforcement. In addition to remarkable material properties such as tensile-load-bearing behavior, durability and density, this innovative material features high electrical conductivity, offering the [...] Read more.
Carbon-textile-reinforced concrete (CTRC) is currently used as a high-performance composite material in the construction industry, comprising concrete and a non-metallic reinforcement. In addition to remarkable material properties such as tensile-load-bearing behavior, durability and density, this innovative material features high electrical conductivity, offering the potential for electrical heat generation within building components. This paper contributes to the field by exploring the unique combination of properties exhibited by carbon-textile reinforcements (CTR) electrically heated up to 80 °C. The impact of the electrical heating of CTR was evaluated by conducting stationary tests on load-bearing behavior. The tests were conducted on two different CTRs: one impregnated with polystyrene, and the other with epoxy resin additionally surface-modified with quartz sand. In order to quantify the influence of individual material parameters, tensile tests were conducted on the components comprising CTR and mortar, as well as the composite CTRC. The analysis focused on electrically heated carbon-textile reinforcements, comparing them through experiments conducted at varying ambient temperatures. This study presents pioneering findings on heated CTRC, determining that electrical heating decreases tensile strength with increasing temperature for the investigated reinforcement materials. The softening of the impregnation materials proved to be a decisive factor. This interdisciplinary approach bridges materials science with thermal management in construction, offering insights into the practical applications of CTR in innovative building designs. Full article
(This article belongs to the Section Civil Engineering)
Show Figures

Figure 1

26 pages, 12365 KB  
Article
Improving the Fuel Economy and Energy Efficiency of Train Cab Climate Systems, Considering Air Recirculation Modes
by Ivan Panfilov, Alexey N. Beskopylny and Besarion Meskhi
Energies 2024, 17(9), 2224; https://doi.org/10.3390/en17092224 - 5 May 2024
Cited by 3 | Viewed by 2309
Abstract
Current developments in vehicles have generated great interest in the research and optimization of heating, ventilation, and air conditioning (HVAC) systems as a factor to reduce fuel consumption. One of the key trends for finding solutions is the intensive development of electric transport [...] Read more.
Current developments in vehicles have generated great interest in the research and optimization of heating, ventilation, and air conditioning (HVAC) systems as a factor to reduce fuel consumption. One of the key trends for finding solutions is the intensive development of electric transport and, consequently, additional requirements for reducing energy consumption and modifying climate systems. Of particular interest is the optimal functioning of comfort and life support systems during air recirculation, i.e., when there is a complete or partial absence of outside air supply, in particular to reduce energy consumption or when the environment is polluted. This work examines numerical models of airfields (temperature, speed, and humidity) and also focuses on the concentration of carbon dioxide and oxygen in the cabin, which is a critical factor for ensuring the health of the driver and passengers. To build a mathematical model, the Navier–Stokes equations with energy, continuity, and diffusion equations are used to simulate the diffusion of gases and air humidity. In the Ansys Fluent finite volume analysis package, the model is solved numerically using averaged RANS equations and k-ω turbulence models. The cabin of a mainline locomotive with two drivers, taking into account their breathing, is used as a transport model. The problem was solved in a nonstationary formulation for the design scenario of summer and winter, the time of stabilization of the fields was found, and graphs were constructed for different points in time. A comparative analysis of the uniformity of fields along the height of the cabin was carried out with different locations of deflectors, and optimal configurations were found. Energy efficiency values of the climate system operation in recirculation operating modes were obtained. A qualitative assessment of the driver’s blowing directions under different circulation and recirculation modes is given from the point of view of the concentration of carbon dioxide in the breathing area. The proposed solution makes it possible to reduce electricity consumption from 3.1 kW to 0.6 kW and in winter mode from 11.6 kW to 3.9 kW and save up to 1.5 L/h of fuel. The conducted research can be used to develop modern energy-efficient and safe systems for providing comfortable climate conditions for drivers and passengers of various types of transport. Full article
(This article belongs to the Section B: Energy and Environment)
Show Figures

Figure 1

12 pages, 4550 KB  
Article
Effect of Initial Position and Crystallographic Orientation on Grain Selection Procedure in Z-Form Selector for Ni-Based Single-Crystal Superalloy
by Yuanyuan Guo, Jun Bao, Xuanning Zhang, Mai Zhang, Xiqiong Yang and Jian Zhang
Materials 2024, 17(8), 1885; https://doi.org/10.3390/ma17081885 - 19 Apr 2024
Cited by 2 | Viewed by 1356
Abstract
The grain selection process in a Z-form selector for Ni-based single-crystal superalloy was simulated using a macro-scale ProCAST software (2013 version) coupled CAFE module combined with an experiment to investigate the grain selection procedure and mechanism with different grain positions and crystal orientation [...] Read more.
The grain selection process in a Z-form selector for Ni-based single-crystal superalloy was simulated using a macro-scale ProCAST software (2013 version) coupled CAFE module combined with an experiment to investigate the grain selection procedure and mechanism with different grain positions and crystal orientation relationships. A non-stationary solidification process was found in the Z-form selector, and the liquid–solid (L–S) interface was tilted in the same direction as the selector channel during directional solidification. Given that the grain boundary was parallel to the Z-form selector, the overgrowth rate of the bi-crystal in the selector channel was very low. The initial position of the bi-crystal in the selector channel has a greater effect on the overgrowth rate than the effects of primary and secondary orientations. The grain selection was a result of the coupling of the competitive grain growth effect and geometrical restriction effect. Finally, the selection grain mechanism within the Z-form selector was discussed, coalescing the temperature field and the grain competition growth mechanism. Full article
Show Figures

Figure 1

13 pages, 6856 KB  
Article
High-Temperature Behavior of Carbon Reinforced Concrete
by Daniel Ehlig, Alexander Schumann and Lutz Nietner
Buildings 2024, 14(2), 364; https://doi.org/10.3390/buildings14020364 - 29 Jan 2024
Cited by 1 | Viewed by 1705
Abstract
Carbon reinforced concrete is perceived by industry as a promising alternative to the currently established construction products. Previous building authority approvals and approvals for this construction method largely exclude questions of preventive fire protection with regard to load-bearing behavior under fire because there [...] Read more.
Carbon reinforced concrete is perceived by industry as a promising alternative to the currently established construction products. Previous building authority approvals and approvals for this construction method largely exclude questions of preventive fire protection with regard to load-bearing behavior under fire because there are hardly any reliable research results available in this field. This article shows the results of experimental investigations including thermogravimetric analyses of carbon reinforcement and tensile tests on the composite material carbon reinforced concrete. The thermogravimetric analyses show the loss of mass of the carbon reinforcement under a temperature load. A decomposition of the coating system of the carbon fibers and, with increasing temperature load, also of the carbon was observed. By varying various boundary conditions, such as the heating rate and the oxygen content present, their influences can be assessed. Stationary and non-stationary tensile tests on strip-shaped carbon reinforced concrete specimens were used to determine the load-bearing and deformation behavior in the high-temperature range up to 700 °C. The investigations were carried out under constant heating rates of 2 K/min and 10 K/min. This made it possible to obtain stress-strain curves and information on the various temperature-dependent deformation components from mechanical strains and load-independent strains. The time- and temperature-dependent decomposition of the carbon resulted in a reduction in the tensile load-bearing capacity of the reinforcement in the high-temperature range. This effect can be taken into account by considering the cross-sectional loss of the carbon reinforcement in a hot design. Full article
(This article belongs to the Special Issue Research on the Performance of Non-metallic Reinforced Concrete)
Show Figures

Figure 1

15 pages, 5310 KB  
Article
Toward Zero Carbon Emissions: Investigating the Combustion Performance of Shaped Microcombustors Using H2/Air and NH3/Air Mixtures
by Giacomo Cinieri, Zubair Ali Shah, Guido Marseglia and Maria Grazia De Giorgi
Aerospace 2024, 11(1), 12; https://doi.org/10.3390/aerospace11010012 - 22 Dec 2023
Cited by 5 | Viewed by 2087
Abstract
The research effort in the microcombustor field has recently increased due to the demand for high-performance systems in microelectromechanical and micro power generation devices. To address rising concerns about pollutants from fossil sources, zero-carbon fuels such as hydrogen (H2) and ammonia [...] Read more.
The research effort in the microcombustor field has recently increased due to the demand for high-performance systems in microelectromechanical and micro power generation devices. To address rising concerns about pollutants from fossil sources, zero-carbon fuels such as hydrogen (H2) and ammonia (NH3) have been considered as an alternative in microcombustion processes. In a microcombustor, the surface area-to-volume ratio is much higher compared to conventional combustion systems, resulting in faster heat transfer rates and more intense combustion reactions. However, achieving efficient mixing of fuel and an oxidizer in a microcombustor can be challenging due to its small size, particularly for highly reactive fuels like H2. For NH3, challenges in microcombustion involve a low reactive, high ignition temperature (923 K vs. 793 K of H2) and high concentration of NOx combustion products. Therefore, studying the performance of these fuels in microcombustors is important for developing clean energy technologies. In this paper, to explore features of non-premixed NH3/air and H2/air combustion in micro-scale combustors, an Ansys Fluent numerical investigation was conducted on a Y-shaped microcombustor. Results show that for combustion with H2, stationary flames can be achieved even at lower equivalence ratios. Additionally, the pollutants generated from H2 in the flame are generally twice those of NH3. The overall efficiency of the microcombustor is two times greater for NH3 conditions than for H2 conditions. Full article
Show Figures

Figure 1

11 pages, 376 KB  
Article
Fundamental Relation for the Ideal Gas in the Gravitational Field and Heat Flow
by Robert Hołyst, Paweł J. Żuk, Karol Makuch, Anna Maciołek and Konrad Giżyński
Entropy 2023, 25(11), 1483; https://doi.org/10.3390/e25111483 - 26 Oct 2023
Cited by 3 | Viewed by 5344
Abstract
We formulate the first law of global thermodynamics for stationary states of the ideal gas in the gravitational field subjected to heat flow. We map the non-uniform system (described by profiles of the density and temperature) onto the uniform one and show that [...] Read more.
We formulate the first law of global thermodynamics for stationary states of the ideal gas in the gravitational field subjected to heat flow. We map the non-uniform system (described by profiles of the density and temperature) onto the uniform one and show that the total internal energy U(S*,V,N,L,M*) is the function of the following parameters of state: the non-equilibrium entropy S*, volume V, number of particles, N, height of the column L along the gravitational force, and renormalized mass of a particle M*. Each parameter corresponds to a different way of energy exchange with the environment. The parameter M* changes internal energy due to the shift of the centre of mass induced by the heat flux. We give analytical expressions for the non-equilibrium entropy S* and effective mass M*. When the heat flow goes to zero, S* approaches equilibrium entropy. Additionally, when the gravitational field vanishes, our fundamental relation reduces to the fundamental relation at equilibrium. Full article
(This article belongs to the Special Issue Entropy, Time and Evolution II)
Show Figures

Figure 1

52 pages, 27214 KB  
Article
Physical and Mathematical Models of Quantum Dielectric Relaxation in Electrical and Optoelectric Elements Based on Hydrogen-Bonded Crystals
by Valeriy Kalytka, Ali Mekhtiyev, Yelena Neshina, Aliya Alkina, Raushan Aimagambetova, Gabit Mukhambetov, Aleksandr Bashirov, Dmitriy Afanasyev, Arkadiy Bilichenko, Dinara Zhumagulova, Zukhra Ismailova and Yelena Senina
Crystals 2023, 13(9), 1353; https://doi.org/10.3390/cryst13091353 - 6 Sep 2023
Cited by 3 | Viewed by 1857
Abstract
The quantum statistical properties of the proton subsystem in hydrogen-bonded crystals (HBC) are investigated. Based on the non-stationary Liouville operator equation (taking into account a number of assumptions established in the experiment), a quantum kinetic equation is constructed for the ensemble of non-interacting [...] Read more.
The quantum statistical properties of the proton subsystem in hydrogen-bonded crystals (HBC) are investigated. Based on the non-stationary Liouville operator equation (taking into account a number of assumptions established in the experiment), a quantum kinetic equation is constructed for the ensemble of non-interacting protons (an ideal proton gas) moving in the crystal potential image perturbed by the external electric field. The balanced density matrix for the unperturbed proton subsystem is constructed using the quantum canonical Gibbs distribution, and the non-balanced density matrix is calculated from the solutions of the nonlinear quantum kinetic equation by methods in linear approximation of perturbation theory for the blocking electrode model. Full quantum mechanical averaging of the polarization operator makes it possible to study the theoretical frequency-temperature spectra of the complex dielectric permittivity (CDP) calculated using quantum relaxation parameters that differ significantly from their semiclassical counterparts. A scheme is presented for an analytical study of the dielectric loss tangent in the region of quantum nonlinear relaxation in HBC. The results obtained in the given paper are of scientific interest in developing the theoretical foundations of proton conduction processes in energy-independent memory elements (with anomalously high residual polarization) based on thin films of ferroelectric materials in the ultralow temperature range (1–10 K). The theoretical results obtained have a direct application to the study of the tunneling mechanisms of spontaneous polarization in ferroelectric HBC with a rectangular hysteresis loop, in particular in crystals of potassium dideutrophosphate (KDP), widely used in nonlinear optics and laser technology. The quantum properties of proton relaxation in HBC can be applied in the future to the study of solid-state electrolytes with high proton conductivity for hydrogen energy, capacitor technology (superionics, varicodes), and elements of MIS and MSM structures in the development of resonant tunnel diodes for microelectronics and computer technology. Full article
(This article belongs to the Special Issue Theoretical Investigation on Non-covalent Interactions)
Show Figures

Figure 1

Back to TopTop