Electrical Heating of Carbon Textile Reinforced Concrete—Possible Effects on Tensile Load-Bearing Behavior
Abstract
1. Introduction
2. Materials
3. Experimental Methods
3.1. Methods
3.2. Experimental Setup and Testing Procedure
3.2.1. Tensile Strength Tests on Briquet Mortar Specimens
3.2.2. Tensile Strength Tests on CTR
3.2.3. Tensile Strength Tests on CTRC
4. Results and Discussion
4.1. Experimental Results of the Individual Components
4.1.1. Experimental Results of CTR
4.1.2. Experimental Results of Repair Mortar
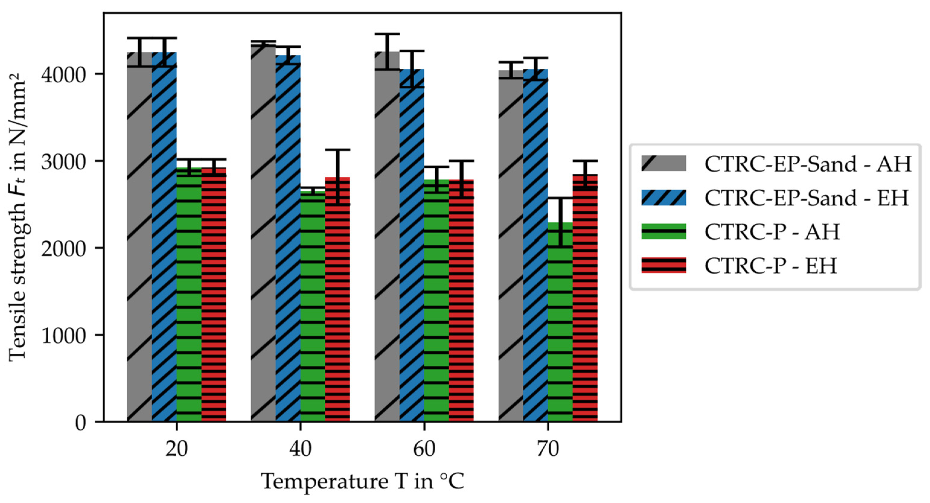
4.2. Experimental Results of CTRC
5. Conclusions and Outlook
- Overall, the experimental results for electrical heating demonstrate a decrease in tensile strength in the individual components and composites of CTRC at increasing test temperatures up to 70 °C. For the fiber strand component, a decrease in tensile strength of up to 10% with EH was determined. This decline was also observed in the tensile strength results of CTRC, exhibiting a 5% reduction. In comparison with the investigated reinforcement materials, the reductions in the tensile strength of the polystyrene-impregnated CTR were lower with increasing temperature. This deviates from the results for AH.
- Upon comparing the tensile strength of CTR with that of CTRC, CTR exhibits higher tensile strength, attributed to mechanical bonding and testing effects. However, the results indicate that the electrical heating process does not induce additional effects on the composite system compared to the temperature behavior observed at elevated ambient temperatures.
- However, a crucial factor in the utilization of electrically heated CTRC is the impregnation material. The results indicate that the material properties are mainly determined by the impregnation material, particularly at elevated temperatures. Any physical and chemical changes due to temperature variations have a substantial effect on load-bearing capacity and crack formation. Moreover, the results indicate that electrical conductivity varies with different impregnation materials, highlighting the importance of selecting suitable CTR for building components.
- Moreover, the stress–strain curve for the uniaxial tensile loading of electrically heated CTRC aligns with the material characteristics known from research results in the literature.
- However, EH seems to have a positive impact on the crack distribution of epoxy resin-impregnated CTR. Based on the results of the CTRC tensile strength tests, crack distribution and crack width were analyzed. Electrical heating resulted in an elevated number of cracks while simultaneously reducing the average crack width.
Author Contributions
Funding
Institutional Review Board Statement
Informed Consent Statement
Data Availability Statement
Conflicts of Interest
References
- Morales Cruz, C. Crack-Distributing Carbon Textile Reinforced Concrete Protection Layers. Ph.D. Thesis, RWTH Aachen University, Aachen, Germany, 2020. [Google Scholar]
- Asgharzadeh, A. Durability of Polymer Impregnated Carbon Textiles as CP Anode for Reinforced Concrete. Ph.D. Thesis, RWTH Aachen University, Aachen, Germany, 2019. [Google Scholar]
- Dahlhoff, A.; Morales Cruz, C.; Raupach, M. Influence of Selected Impregnation Materials on the Tensile Strength for Carbon Textile Reinforced Concrete at Elevated Temperatures. Buildings 2022, 12, 2177. [Google Scholar] [CrossRef]
- Tröger, M.S.F.; Große, M.S.S.; Rudloff, M.E.D.-I.T.; Heimbold, I.T. Entwicklung einer elektrischen Kontaktierung für multifunktionale Carbonfaser-Strukturen in Beton. In Proceedings of the 19th AALE-Konferenz, Luxemburg, 8–10 March 2023. [Google Scholar]
- Hasan, M.; Offermann, M.; Haupt, M.; Nocke, A.; Cherif, C. Carbon filament yarn-based hybrid yarn for the heating of textile-reinforced concrete. J. Ind. Text. 2014, 44, 183–197. [Google Scholar] [CrossRef]
- Gerlach, F.; Ahlborn, K.; Vonau, W.; Wolf, B.; Hoffmann, K. Applikation textiler Flächenelektroden zur Zustandsüberwachung und Sanierung von Baukörpern. In Proceedings of the 18th GMA/ITG-Fachtagung Sensoren und Messsysteme 2016, Nürnberg, Germany, 10–11 May 2016; pp. 493–499. [Google Scholar]
- Schladitz, F.; Lägel, E.; Ehlig, D.; Nietner, L.; Tietze, M. Carbon reinforced concrete and temperature. In Proceedings of the IABSE Congress—The Evolving Metropolis, New York City, NY, USA, 4–6 September 2019; pp. 486–492. [Google Scholar]
- Hemmen, A. Direktbestromung von Kohlenstofffasern zur Minimierung von Zykluszeit und Energieaufwand bei der Herstellung von Karbonbauteilen. Ph.D. Thesis, Universität Augsburg, Augsburg, Germany, 2016. [Google Scholar]
- Krois, K. Entwicklung Eines Elektrischen Energiespeichers zur Integration in Carbonbeton. Ph.D. Thesis, Technische Universität Darmstadt, Darmstadt, Germany, 2021. [Google Scholar]
- Dahlhoff, A.; Raupach, M. Elektrisch beheizbarer textilbewehrter Carbonbeton. In Proceedings of the 21th Ibausil—Internationale Baustofftagung Weimar, Weimar, Germany, 13–15 September 2023. [Google Scholar]
- Schöffel, J.; Abdelkaf, N. Rethinking construction: The market for heatable carbon concrete building components. In Fraunhofer-Zentrum für Internationales Management und Wissensökonomie IMW Jahresbericht 2018/2019; Fraunhofer Center for International Management and Knowledge Economy IMW: Leipzig, Germany, 2019; pp. 66–67. [Google Scholar]
- C³InteF—Integration der Heizfunktion in Bauelementen aus Carbonbeton. Available online: https://www.imw.fraunhofer.de/de/forschung/unternehmensentwicklung/geschaeftsmodelle/projekte/c-intef.html (accessed on 25 February 2024).
- Load-Bearing Concrete Members with Adaptive Heating Structures Made of Carbon Fibres for Buildings with Climate Neutral Energy Strategy. Available online: https://tu-dresden.de/bu/bauingenieurwesen/imb/forschung/Forschungsfelder/CRC/fue-crc/FuE_finished/smarttex?set_language=en (accessed on 25 February 2024).
- Frenzel, M.; Stelzmann, M.; Söhnchen, A. CUBE—Demonstration areas and exhibition objects. Beton-Und Stahlbetonbau 2023, 118, 133–139. [Google Scholar] [CrossRef]
- Abdualla, H.; Ceylan, H.; Kim, S.; Gopalakrishnan, K.; Taylor, P.C.; Turkan, Y. System requirements for electrically conductive concrete heated pavements. Transp. Res. Rec. 2016, 2569, 70–79. [Google Scholar] [CrossRef]
- Liu, Y.; Lai, Y.; Ma, D. Melting snow on airport cement concrete pavement with carbon fibre heating wires. Mater. Res. Innov. 2015, 19, S10–S95. [Google Scholar] [CrossRef]
- Xu, S.; Yu, W.; Song, S. Numerical simulation and experimental study on electrothermal properties of carbon/glass fiber hybrid textile reinforced concrete. Sci. China Technol. Sci. 2011, 54, 2421–2428. [Google Scholar] [CrossRef]
- Kapsalis, P.; Tysmans, T.; Van Hemelrijck, D.; Triantafillou, T. State-of-the-Art Review on Experimental Investigations of Textile-Reinforced Concrete Exposed to High Temperatures. J. Compos. Sci. 2021, 5, 290. [Google Scholar] [CrossRef]
- Donnini, J.; De Caso y Basalo, F.; Corinaldesi, V.; Lancioni, G.; Nanni, A. Fabric-reinforced cementitious matrix behavior at high-temperature: Experimental and numerical results. Compos. Part B Eng. 2017, 108, 108–121. [Google Scholar] [CrossRef]
- Rambo, D.A.S.; Yao, Y.; de Andrade Silva, F.; Toledo Filho, R.D.; Mobasher, B. Experimental investigation and modelling of the temperature effects on the tensile behavior of textile reinforced refractory concretes. Cem. Concr. Compos. 2017, 75, 51–61. [Google Scholar] [CrossRef]
- Rambo, D.A.S.; de Andrade Silva, F.; Toledo Filho, R.D.; da Fonseca Martins Gomes, O. Effect of elevated temperatures on the mechanical behavior of basalt textile reinforced refractory concrete. Mater. Des. (1980–2015) 2015, 65, 24–33. [Google Scholar] [CrossRef]
- Lenting, M. Untersuchungen zu Mineralischen Tränkungen von Technischen Textilien für die Flächige Instandsetzung von Gerissenen Bauwerken Mit Textilbeton. Ph.D. Thesis, Technische Universität Dortmund, Dortmund, Germany, 2023. [Google Scholar]
- Rambo, D.; Silva, F.; Toledo Filho, R.; Ukrainczyk, N.; Koenders, E. Tensile strength of a calcium-aluminate cementitious composite reinforced with basalt textile in a high-temperature environment. Cem. Concr. Compos. 2016, 70, 183–193. [Google Scholar] [CrossRef]
- TR IH. Technische Regel—Instandhaltung von Betonbauwerken (TR Instandhaltung)—Teil 1: Anwendungsbereich und Planung der Instandhaltung; Deutsches Institut für Bautechnik (DIBt): Berlin, Germany, 2020. [Google Scholar]
- TR IH. Technische Regel—Instandhaltung von Betonbauwerken (TR Instandhaltung)—Teil 2: Merkmale von Produkten oder Systemen für die Instand-Setzung und Regelungen für Deren Verwendung; Deutsches Institut für Bautechnik (DIBt): Berlin, Germany, 2020. [Google Scholar]
- Technical Product Data Sheet—Solidian. Available online: https://solidian.com/downloads/ (accessed on 12 October 2023).
- ASTM C307-18; Standard Test Method for Tensile Strength of Chemical-Resistant Mortar, Grouts, and Monolithic Surfacings. American Society of Testing and Materials: West Conshohocken, PA, USA, 2018.
- Dahlhoff, A.; Winkels, B.; Morales Cruz, C.; Raupach, M. Investigations on the Experimental Setup for Testing the Centric Tensile Strength According to ASTM C307 of Mineral-based Materials. J. Civ. Eng. Constr. 2022, 11, 239–254. [Google Scholar] [CrossRef]
- DIN EN 1015-3; Methods of Test for Mortar for Masonry—Part 3: Determination of Consistence of Fresh Mortar (by Flow Table); German Version EN 1015-3:1999+A1:2004+A2:2006. iTeh, Inc.: Newark, DE, USA, 2007.
- DIN EN 1015-6; Methods of Test for Mortar for Masonry—Part 6: Determination of Bulk Density of Fresh Mortar; German Version EN 1015-6:1998+A1:2006. iTeh, Inc.: Newark, DE, USA, 2007.
- DIN EN 1015-7; Methods of Test for Mortar for Masonry—Part 7: Determination of Air Content of Fresh Mortar; German Version EN 1015-7:1998. iTeh, Inc.: Newark, DE, USA, 1998.
- DIN EN 1015-11; Prüfverfahren für Mörtel für Mauerwerk—Teil 11: Bestimmung der Biegezug- und Druckfestigkeit von Festmörtel; Deutsche Fassung EN 1015-11:2019. Beuth Verlag GmbH: Berlin, Germany, 2020.
- Schütze, E.; Bielak, J.; Scheerer, S.; Hegger, J.; Curbach, M. Uniaxial tensile test for carbon reinforced concrete with textile reinforcement. Beton-Und Stahlbetonbau 2018, 113, 33–47. [Google Scholar] [CrossRef]
- Dahlhoff, A.; Raupach, M. Crack Analysis of Textile Reinforced Concrete Using Automated Crack Evaluation via Digital Image Correlation. Buildings 2023, 13, 2984. [Google Scholar] [CrossRef]
- Rieger, J. The glass transition temperature of polystyrene: Results of a round robin test. J. Therm. Anal. Calorim. 1996, 46, 965–972. [Google Scholar] [CrossRef]
- Baur, E.; Drummer, D.; Osswald, T.A.; Rudolph, N. Saechtling Kunststoff-Handbuch: Eigenschaften, Verarbeitung, Konstruktion; Carl Hanser Verlag GmbH Co KG: Munich, Germany, 2022. [Google Scholar]
- Schneider, U. Behaviour of Concrete at High Temperatures—Deutscher Ausschuss für Stahlbeton e. V.; Erst & Sohn: Berlin, Germany; München, Germany, 1982. [Google Scholar]
- Holz, K. Carbon Reinforced Concrete Exposed to High Temperature. Ph.D. Thesis, Technische Universität Dresden, Dresden, Germany, 2021. [Google Scholar]
- Kulas, C.; Hegger, J.; Raupach, M.; Antons, U. Experimental and theoretical investigations on the high-temperature behavior of fine-grained concrete and textile yarns. Beton-Und Stahlbetonbau 2011, 106, 707–715. [Google Scholar] [CrossRef]
- Rempel, S. Reliability of the Structural Design for Concrete Elements with Textile Reinforcement and Bending Load. Ph.D. Thesis, Rheinisch-Westfälische Technische Hochschule Aachen University, Aachen, Germany, 2018. [Google Scholar]
- Kalthoff, M. Extruded Thin-Walled Textile Reinforced Concrete Components with Flexible Shape. Ph.D. Thesis, RWTH Aachen University, Aachen, Germany, 2023. [Google Scholar]
- Jesse, F. Bearing Behavior of Filament Yarns in a Cementitious Matrix. Ph.D. Thesis, Technische Universität Dresden, Dresden, Germany, 2005. [Google Scholar]
- Hansl, M.; Feix, J. Investigation of crack width in textile reinforced concrete. Beton-Und Stahlbetonbau 2015, 110, 410–418. [Google Scholar] [CrossRef]
- Niederwald, M. Zum Einfluss der Viskoelastischen Eigenschaften des Beschichteten Bewehrungsmaterials auf das Zugtragverhalten von Carbonbewehrtem Beton. Ph.D. Thesis, Universität der Bundeswehr München, München, Germany, 2017. [Google Scholar]

















| Reinforcement | Roving | Roving | Textile | Titer | Average Tensile Strength (Wrap Direction) | Average Ultimate Strain (Wrap Direction) | 
|---|---|---|---|---|---|---|
| Axis Distance | Cross-Section | Cross-Section | ||||
| Longitudinal/Transversal | ||||||
| [-] | [mm] | [mm2] | [mm2/m] | [Tex] | [MPa] | [‰] | 
| CTR-EP-Sand | 21/21 | 0.90/0.90 | 43/43 | 1600/1600 | 4200 ± 215 1 | 15 ± 1.5 1 | 
| CTR-P | 12/16 | 1.81/0.45 | 142/25 | 3220/800 | 2920 ± 95 1 | 13.5 ± 2.7 1 | 
| Mortar | Compressive Strength 1 | Bending Strength 1 | 
|---|---|---|
| [−] | [MPa] | [MPa] | 
| SRM-A4 | 72 ± 3 | 4 ± 0.5 | 
| Experimental Tests | Number of Test Specimens per Temperature Level | Testing Temperature in Laboratory Experiments | |||
|---|---|---|---|---|---|
| CTR-EP-Sand | CTR-P | SRM-A4 | |||
| [-] | [°C] | ||||
| Tensile strength test according to ASTM C307-18 | AH 3 | 4 | - | - | 20/40/60/80 | 
| Uniaxial fiber strand tensile strength tests on CTR | AH | 4 | 20/40/60/80 | 20/40/60/80 | - | 
| EH 4 | 20/40/60/80 | 20/40/60/80 | - | ||
| Uniaxial tensile strength tests on CTRC uniaxial tensile specimens 1 | AH | 3 | 20/40/60/70 2 | 20/40/60/70 | - | 
| EH | 20/40/60/70 | 20/40/60/70 | - | ||
| Target Temperature | CTR-EP-Sand | CTR-P | ||
|---|---|---|---|---|
| Terminal Voltage | Current | Terminal Voltage | Current | |
| [°C] | [V] | [A] | [V] | [A] | 
| 40 | 7 | 0.4 | 3.9 | 0.7 | 
| 60 | 17.5 | 0.7 | 5.5 | 1.1 | 
| 80 | 16.7 | 0.9 | 3.7 | 1.2 | 
| Target Temperature | CTR-EP-Sand | CTR-P | ||||||
|---|---|---|---|---|---|---|---|---|
| EH | AH | EH | AH | |||||
| Terminal Voltage | Current | Duration | Duration | Terminal Voltage | Current | Duration | Duration | |
| [°C] | [V] | [A] | [min] | [min] | [V] | [A] | [min] | [min] | 
| 40 | 16 | 3.5 | 15 | 30 | 7 | 6 | 15 | 30 | 
| 60 | 17 | 4 | 60 | 30 | 9 | 7 | 60 | 30 | 
| 70 | 17 | 4 | 140 | 90 1 | 11 | 7 | 120 | 45 | 
| Disclaimer/Publisher’s Note: The statements, opinions and data contained in all publications are solely those of the individual author(s) and contributor(s) and not of MDPI and/or the editor(s). MDPI and/or the editor(s) disclaim responsibility for any injury to people or property resulting from any ideas, methods, instructions or products referred to in the content. | 
© 2024 by the authors. Licensee MDPI, Basel, Switzerland. This article is an open access article distributed under the terms and conditions of the Creative Commons Attribution (CC BY) license (https://creativecommons.org/licenses/by/4.0/).
Share and Cite
Dahlhoff, A.; Raupach, M. Electrical Heating of Carbon Textile Reinforced Concrete—Possible Effects on Tensile Load-Bearing Behavior. Appl. Sci. 2024, 14, 4430. https://doi.org/10.3390/app14114430
Dahlhoff A, Raupach M. Electrical Heating of Carbon Textile Reinforced Concrete—Possible Effects on Tensile Load-Bearing Behavior. Applied Sciences. 2024; 14(11):4430. https://doi.org/10.3390/app14114430
Chicago/Turabian StyleDahlhoff, Annette, and Michael Raupach. 2024. "Electrical Heating of Carbon Textile Reinforced Concrete—Possible Effects on Tensile Load-Bearing Behavior" Applied Sciences 14, no. 11: 4430. https://doi.org/10.3390/app14114430
APA StyleDahlhoff, A., & Raupach, M. (2024). Electrical Heating of Carbon Textile Reinforced Concrete—Possible Effects on Tensile Load-Bearing Behavior. Applied Sciences, 14(11), 4430. https://doi.org/10.3390/app14114430
 
        



 
       