Toward Zero Carbon Emissions: Investigating the Combustion Performance of Shaped Microcombustors Using H2/Air and NH3/Air Mixtures
Abstract
:1. Introduction
1.1. Background
1.2. Literature Review
2. Materials and Method
2.1. Geometric Features of the Microcombustor
2.2. Modelling Combustion and Kinetic Mechanism Details
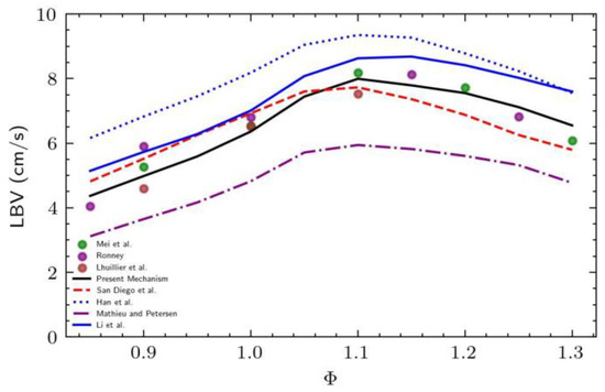
2.3. Validation of Laminar Burning Velocity Using CHEMKIN
2.4. Computational Domain and Boundary Conditions
2.5. Validation of 3D Model
3. Results
Microcombustor Efficiency Evaluation
4. Conclusions
Author Contributions
Funding
Data Availability Statement
Conflicts of Interest
References
- Ju, Y.; Maruta, K. Microscale combustion: Technology development and fundamental research. Prog. Energy Combust. Sci. 2011, 37, 669–715. [Google Scholar] [CrossRef]
- Raghavan, K.A.S.; Rao, S.S.; Raju, V.R.K. Numerical investigation of the effect of slit-width on the combustion characteristics of a micro-combustor with a centrally slotted bluff body. Int. J. Hydrogen Energy 2022, 48, 5696–5707. [Google Scholar] [CrossRef]
- Zhang, Y.; Lu, Q.; Fan, B.; Long, L.; Quaye, K.E.; Pan, J. Effect of multiple bluff bodies on hydrogen/air combustion characteristics and thermal properties in micro combustor. Int. J. Hydrogen Energy 2023, 48, 4064–4072. [Google Scholar] [CrossRef]
- Wei, H.; Dai, J.; Maharik, I.; Ghasemi, A.; Mouldi, A.; Brahmia, A. Simultaneous synthesis of H2, O2, and N2 via an innovatory energy system in Coronavirus pandemic time: Design, techno-economic assessment, and optimization approaches. Int. J. Hydrogen Energy 2022, 47, 26038–26052. [Google Scholar] [CrossRef] [PubMed]
- Zhao, H.; Zhao, D.; Becker, S. Entropy production and enhanced thermal performance studies on counter-flow double-channel hydrogen/ammonia-fuelled micro-combustors with different shaped internal threads. Int. J. Hydrogen Energy 2022, 47, 36306–36322. [Google Scholar] [CrossRef]
- You, J.; Yan, Y.; He, Z.; Xue, Z.; Zhang, C.; Chen, Y. Comprehensive numerical investigations on the thermal performance of heat recirculating micro combustor with pin fins for micro-thermal voltaic system applications. Int. J. Hydrogen Energy 2022, 47, 38043–38054. [Google Scholar] [CrossRef]
- Zuo, W.; Zhao, H.; Li, J.E.Q.; Li, D. Numerical investigations on thermal performance and flame stability of hydrogen-fueled micro tube combustor with injector for thermophotovoltaic applications. Int. J. Hydrogen Energy 2022, 47, 17454–17467. [Google Scholar] [CrossRef]
- Zhao, T.; Yan, Y.; He, Z.; Gao, W.; Yang, Z. Influence of hole size and number on pressure drop and energy output of the micro-cylindrical combustor inserting with an internal spiral fin with holes. Int. J. Hydrogen Energy 2021, 46, 26594–26606. [Google Scholar] [CrossRef]
- He, Z.; Wang, Y.; Xu, F.; Wang, Z.; Cui, H.; Wu, Z.; Li, L. Combustion characteristics and thermal enhancement of premixed hydrogen/air in micro combustor with pin fin arrays. Int. J. Hydrogen Energy 2020, 45, 5014–5027. [Google Scholar] [CrossRef]
- Mohseni, S.; Nadimi, E.; Jafarmadar, S.; and Rezaei, R.A. Enhance the energy and exergy performance of hydrogen combustion by improving the micro-combustor outlet in thermofluidic systems. Int. J. Hydrogen Energy 2021, 46, 6915–6927. [Google Scholar] [CrossRef]
- Wu, S.; Laurent, T.D.C.; Abubakar, S.; Li, Y. Thermal performance characteristics of a micro-combustor with swirl rib fueled with premixed hydrogen/air. Int. J. Hydrogen Energy 2021, 46, 36503–36514. [Google Scholar] [CrossRef]
- Yan, Y.; Zhang, C.; Gao, J.; Shen, K.; Gao, W. Numerical study on premixed hydrogen/air combustion characteristics and heat transfer enhancement of micro-combustor embedded with pin fins. Int. J. Hydrogen Energy 2021, 46, 38519–38534. [Google Scholar] [CrossRef]
- Zuo, W.; Zhao, H.; Jiaqiang, E.; Li, Q.; Yang, D.; Zhao, Y. Effects of injection strategies on thermal performance of a novel micro planar combustor fueled by hydrogen. Int. J. Hydrogen Energy 2022, 47, 9018–9029. [Google Scholar] [CrossRef]
- Maruta, K. Micro and mesoscale combustion. Proc. Combust. Inst. 2011, 33, 125–150. [Google Scholar] [CrossRef]
- Wan, J.; Fan, A. Recent progress in flame stabilization technologies for combustion-based micro energy and power systems. Fuel 2021, 286, 119391. [Google Scholar] [CrossRef]
- Li, Q.; Zuo, W.; Zhang, Y.; Li, J.; He, Z. Effects of rectangular rib on exergy efficiency of a hydrogen-fueled micro combustor. Int. J. Hydrogen Energy 2020, 45, 10155–10163. [Google Scholar] [CrossRef]
- Sprague, S.B.; Park, S.-W.; Walther, D.C.; Pisano, A.P.; Carlos Fernandez-Pello, A. Development and characterisation of small-scale rotary engines. Int. J. Altern. Propuls. 2007, 1, 275–293. [Google Scholar] [CrossRef]
- Boomadevi, P.; Paulson, V.; Samlal, S.; Madhanraj, V.; Sekar, M.; Alsehli, M.; Elfasakhany, A.; Tola, S. Impact of microalgae biofuel on microgas turbine aviation engine: A combustion and emission study. Fuel 2021, 302, 121155. [Google Scholar] [CrossRef]
- Kaisare, N.S.; Vlachos, D.G. A review on microcombustion: Fundamentals, devices and applications. Prog. Energy Combust. Sci. 2012, 38, 321–359. [Google Scholar] [CrossRef]
- Chen, J.; Yan, L.; Song, W.; Xu, D. Effect of heat and mass transfer on the combustion stability in catalytic micro-combustors. Appl. Therm. Eng. 2018, 131, 750–765. [Google Scholar] [CrossRef]
- Mayi, O.T.S.; Kenfack, S.; Ndamé, M.K.; Obounou Akong, M.B.; Agbébavi, J.T. Numerical simulation of premixed methane/air micro flame: Effects of simplified one step chemical kinetic mechanisms on the flame stability. Appl. Therm. Eng. 2014, 73, 567–576. [Google Scholar] [CrossRef]
- Jejurkar, S.Y.; Mishra, D.P. Some aspects of stabilization and structure of laminar premixed hydrogen-air flames in a microchannel. Appl. Therm. Eng. 2015, 87, 539–546. [Google Scholar] [CrossRef]
- Lloyd, S.A.; Weinberg, F.J. A burner for mixtures of very low heat content. Nature 1974, 251, 5470. [Google Scholar] [CrossRef]
- Fan, A.; Zhang, H.; Wan, J. Numerical investigation on flame blow-off limit of a novel microscale Swiss-roll combustor with a bluff-body. Energy 2017, 123, 252–259. [Google Scholar] [CrossRef]
- Resende, P.R.; Ayoobi, M.; Afonso, A.M. Numerical Investigations of Micro-Scale Diffusion Combustion: A Brief Review. Appl. Sci. 2019, 9, 3356. [Google Scholar] [CrossRef]
- Rahbari, A.; Homayoonfar, S.; Valizadeh, E.; Aligoodarz, M.R.; Toghraie, D. Effects of micro-combustor geometry and size on the heat transfer and combustion characteristics of premixed hydrogen/air flames. Energy 2021, 215, 119061. [Google Scholar] [CrossRef]
- Isfahani, S.N.R.; Sedaghat, A. A hybrid micro gas turbine and solid state fuel cell power plant with hydrogen production and CO2 capture. Int. J. Hydrogen Energy 2016, 41, 9490–9499. [Google Scholar] [CrossRef]
- Barsi, D.; Perrone, A.; Qu, Y.; Ratto, L.; Ricci, G.; Zunino, P. Compressor and Turbine Multidisciplinary Design for Highly Efficient Micro-gas Turbine. J. Therm. Sci. 2018, 27, 259–269. [Google Scholar] [CrossRef]
- Li, Z.W.; Chou, S.K.; Shu, C.; Xue, H.; and Yang, M.W. Characteristics of premixed flame in microcombustors with different diameters. Appl. Therm. Eng. 2005, 25, 271–281. [Google Scholar] [CrossRef]
- Peng, Q.; Jiaqiang, E.; Yang, W.M.; Xu, H.; Chen, J.; Zhang, F.; Meng, T.; Qiu, R. Experimental and numerical investigation of a micro-thermophotovoltaic system with different backward-facing steps and wall thicknesses. Energy 2019, 173, 540–547. [Google Scholar] [CrossRef]
- Zhou, J.; Wang, W.; Yang, J.; Liu, Z.; Wang, Z.; Cen, K. Combustion of hydrogen–air in catalytic micro-combustors made of different material. Int. J. Hydrogen Energy 2009, 34, 3535–3545. [Google Scholar] [CrossRef]
- Gao, J.; Hossain, A.; Matsuoka, T.; Nakamura, Y. A numerical study on heat-recirculation assisted combustion for small scale jet diffusion flames at near-extinction condition. Combust. Flame 2017, 178, 182–194. [Google Scholar] [CrossRef]
- Yang, X.; Yang, W.; Dong, S.; Tan, H. Flame stability analysis of premixed hydrogen/air mixtures in a swirl micro-combustor. Energy 2020, 209, 118495. [Google Scholar] [CrossRef]
- Resende, P.R.; Ferrás, L.L.; Afonso, A.M. Flame dynamics of hydrogen/air mixture in a wavy micro-channel. Int. J. Hydrogen Energy 2023, 48, 13682–13698. [Google Scholar] [CrossRef]
- Alrebei, O.F.; Le Page, L.M.; Mckay, G.; El-Naas, M.H.; Amhamed, A.I. Recalibration of carbon-free NH3/H2 fuel blend process: Qatar’s roadmap for blue ammonia. Int. J. Hydrogen Energy 2023, 48, 23716–23736. [Google Scholar] [CrossRef]
- El-Shafie, M.; Kambara, S. Recent advances in ammonia synthesis technologies: Toward future zero carbon emissions. Int. J. Hydrogen Energy 2023, 48, 11237–11273. [Google Scholar] [CrossRef]
- Liang, B.; Gao, W.; Zhang, K.; Li, Y. Ammonia-air combustion and explosion characteristics at elevated temperature and elevated pressure. Int. J. Hydrogen Energy 2023, 48, 20225–20237. [Google Scholar] [CrossRef]
- Cinieri, G.; Marseglia, G.; Ali Shah, Z.; Mehdi, G.; De Giorgi, M.G. Combustion Performance of Zero-carbon Fuels in a Shaped Micro-Combustor for Aerospace Propulsion Applications. Available online: https://www.iris.unina.it/retrieve/bf5da232-e352-4bad-9950-7d6bc93c2d92/13th%20EASN%20International%20Conference%20-%20Book%20of%20Abstracts.pdf (accessed on 20 July 2023).
- Ansys|Engineering Simulation Software. Available online: https://www.ansys.com/ (accessed on 20 July 2023).
- Xiang, Y.; Yuan, Z.; Wang, S.; Fan, A. Effects of flow rate and fuel/air ratio on propagation behaviors of diffusion H2/air flames in a micro-combustor. Energy 2019, 179, 315–322. [Google Scholar] [CrossRef]
- Xiang, Y.; Wang, S.; Yuan, Z.; Fan, A. Effects of channel length on propagation behaviors of non-premixed H2-air flames in Y-shaped micro combustors. Int. J. Hydrogen Energy 2020, 45, 20449–20457. [Google Scholar] [CrossRef]
- Mei, B.; Zhang, X.; Ma, S.; Cui, M.; Guo, H.; Cao, Z.; Li, Y. Experimental and kinetic modeling investigation on the laminar flame propagation of ammonia under oxygen enrichment and elevated pressure conditions. Combust. Flame 2019, 210, 236–246. [Google Scholar] [CrossRef]
- Hashemi, H.; Christensen, J.M.; Gersen, S.; Glarborg, P. Hydrogen oxidation at high pressure and intermediate temperatures: Experiments and kinetic modeling. Proc. Combust. Inst. 2015, 35, 553–560. [Google Scholar] [CrossRef]
- Shrestha, K.P.; Seidel, L.; Zeuch, T.; and Mauss, F. Detailed Kinetic Mechanism for the Oxidation of Ammonia Including the Formation and Reduction of Nitrogen Oxides. Energy Fuels 2018, 32, 10202–10217. [Google Scholar] [CrossRef]
- Konnov, A.A. On the role of excited species in hydrogen combustion. Combust. Flame 2015, 162, 3755–3772. [Google Scholar] [CrossRef]
- Kee, R.J.; Rupley, F.M.; Miller, J.A. Chemkin-II: A Fortran Chemical Kinetics Package for the Analysis of Gas-Phase Chemical Kinetics; SAND-89-8009; Sandia National Lab. (SNL-CA): Livermore, CA, USA, 1989. [Google Scholar] [CrossRef]
- Ronney, P.D. Effect of Chemistry and Transport Properties on Near-Limit Flames at Microgravity. Combust. Sci. Technol. 1988, 1–3, 123–141. [Google Scholar] [CrossRef]
- Lhuillier, C.; Brequigny, P.; Lamoureux, N.; Contino, F.; and Mounaïm-Rousselle, C. Experimental investigation on laminar burning velocities of ammonia/hydrogen/air mixtures at elevated temperatures. Fuel 2019, 263, 116653. [Google Scholar] [CrossRef]
- Han, X.; Wang, Z.; He, Y.; Zhu, Y.; Cen, K. Experimental and kinetic modeling study of laminar burning velocities of NH3/syngas/air premixed flames. Combust. Flame 2020, 213, 1–13. [Google Scholar] [CrossRef]
- Chemical Mechanism: Combustion Research Group at UC San Diego. Available online: https://web.eng.ucsd.edu/mae/groups/combustion/mechanism.html (accessed on 28 October 2023).
- Mathieu, O.; Petersen, E.L. Experimental and modeling study on the high-temperature oxidation of Ammonia and related NOx chemistry. Combust. Flame 2015, 162, 554–570. [Google Scholar] [CrossRef]
- Li, R.; Konnov, A.A.; He, G.; Qin, F.; and Zhang, D. Chemical mechanism development and reduction for combustion of NH3/H2/CH4 mixtures. Fuel 2019, 257, 116059. [Google Scholar] [CrossRef]
- Burke, M.P.; Chen, Z.; Ju, Y.; Dryer, F.L. Effect of cylindrical confinement on the determination of laminar flame speeds using outwardly propagating flames. Combust. Flame 2009, 156, 771–779. [Google Scholar] [CrossRef]
- Pareja, J.; Burbano, H.J.; Ogami, Y. Measurements of the laminar burning velocity of hydrogen–air premixed flames. Int. J. Hydrogen Energy 2010, 35, 1812–1818. [Google Scholar] [CrossRef]
- Taylor, S.C. Burning Velocity and the Influence of Flame Stretch—White Rose eTheses Online. Ph.D. Thesis, University of Leeds, Leeds, UK, 1991. Available online: https://etheses.whiterose.ac.uk/2099/ (accessed on 10 December 2023).
- Alekseev, V.A.; Christensen, M.; and Konnov, A.A. The effect of temperature on the adiabatic burning velocities of diluted hydrogen flames: A kinetic study using an updated mechanism. Combust. Flame 2015, 5, 1884–1898. [Google Scholar] [CrossRef]
- Cai, S.; Yang, W.; Ding, Y.; Zeng, Q.; Wan, J. Hydrogen-air premixed combustion in a novel micro disc-burner with an annular step. Fuel 2022, 313, 123015. [Google Scholar] [CrossRef]
- Schweitzer, L.E. Is Your Mesh Refined Enough? Estimating Discretization Error Using GCI. LS, 2008. Available online: https://www.dynamore.de/de/download/papers/forum08/dokumente/I-I-03.pdf (accessed on 20 November 2023).
- Law, C.W. Combustion Physics; Cambridge University Press: Cambridge, UK, 2006. [Google Scholar] [CrossRef]











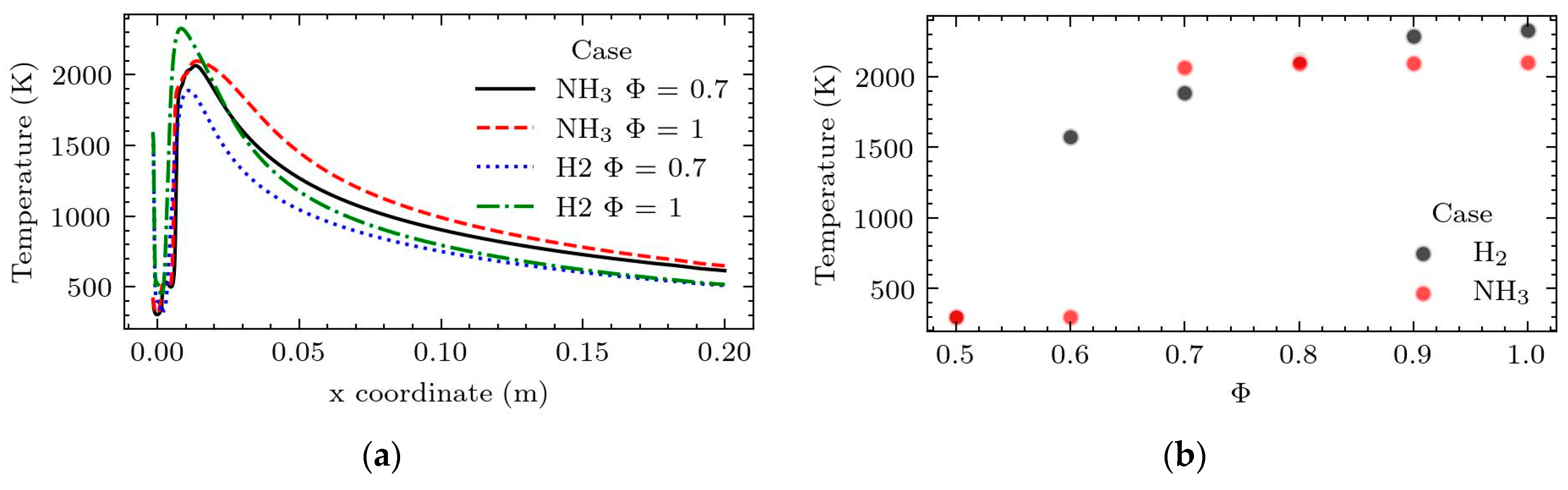
| Heat of Reaction Source (W) | Φ | VH2 (m/s) | Vair (m/s) |
|---|---|---|---|
| 15.2 | 0.5 | 1 | 5 |
| 17.6 | 0.6 | 1.16 | 4.83 |
| 19.9 | 0.7 | 1.31 | 4.69 |
| 22.1 | 0.8 | 1.46 | 4.54 |
| 24.1 | 0.9 | 1.59 | 4.41 |
| 26.4 | 1 | 1.72 | 4.28 |
| Heat of Reaction Source (W) | Φ | VNH3 (m/s) | Vair (m/s) |
|---|---|---|---|
| 17.6 | 0.6 | 0.873 | 6.06 |
| 19.9 | 0.7 | 0.98 | 5.81 |
| 22.1 | 0.8 | 1.09 | 5.67 |
| 24.1 | 0.9 | 1.17 | 5.49 |
| 26.4 | 1 | 1.29 | 5.33 |
| Temperature (K) | |
|---|---|
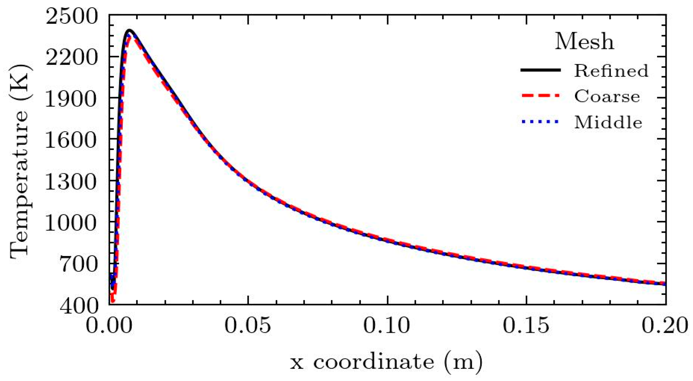
| Refined Mesh | 2359.8 |
| Middle Mesh | 2349.9 |
| Coarse Mesh | 2328.4 |
| Φ | ||||||
|---|---|---|---|---|---|---|
| 0.7 | 99.5% | 99.9% | 19.4% | 9.6% | −16.5 | −17.4 |
| 0.8 | 99.9% | 99.9% | 18.1% | 9.3% | −18.5 | −19.9 |
| 0.9 | 99.9% | 99.9% | 16.9% | 8.8% | −20.1 | −20.6 |
| 1 | 99.8% | 99.5% | 16.5% | 8.4% | −23.2 | −24.0 |
Disclaimer/Publisher’s Note: The statements, opinions and data contained in all publications are solely those of the individual author(s) and contributor(s) and not of MDPI and/or the editor(s). MDPI and/or the editor(s) disclaim responsibility for any injury to people or property resulting from any ideas, methods, instructions or products referred to in the content. |
© 2023 by the authors. Licensee MDPI, Basel, Switzerland. This article is an open access article distributed under the terms and conditions of the Creative Commons Attribution (CC BY) license (https://creativecommons.org/licenses/by/4.0/).
Share and Cite
Cinieri, G.; Shah, Z.A.; Marseglia, G.; De Giorgi, M.G. Toward Zero Carbon Emissions: Investigating the Combustion Performance of Shaped Microcombustors Using H2/Air and NH3/Air Mixtures. Aerospace 2024, 11, 12. https://doi.org/10.3390/aerospace11010012
Cinieri G, Shah ZA, Marseglia G, De Giorgi MG. Toward Zero Carbon Emissions: Investigating the Combustion Performance of Shaped Microcombustors Using H2/Air and NH3/Air Mixtures. Aerospace. 2024; 11(1):12. https://doi.org/10.3390/aerospace11010012
Chicago/Turabian StyleCinieri, Giacomo, Zubair Ali Shah, Guido Marseglia, and Maria Grazia De Giorgi. 2024. "Toward Zero Carbon Emissions: Investigating the Combustion Performance of Shaped Microcombustors Using H2/Air and NH3/Air Mixtures" Aerospace 11, no. 1: 12. https://doi.org/10.3390/aerospace11010012
APA StyleCinieri, G., Shah, Z. A., Marseglia, G., & De Giorgi, M. G. (2024). Toward Zero Carbon Emissions: Investigating the Combustion Performance of Shaped Microcombustors Using H2/Air and NH3/Air Mixtures. Aerospace, 11(1), 12. https://doi.org/10.3390/aerospace11010012

