Wind Field Characteristics of the 13 June 2014 Downburst Event in Beijing Based on Meteorological Tower Records
Abstract
1. Introduction
2. Overview of Field Measurements
3. Downburst Wind Model
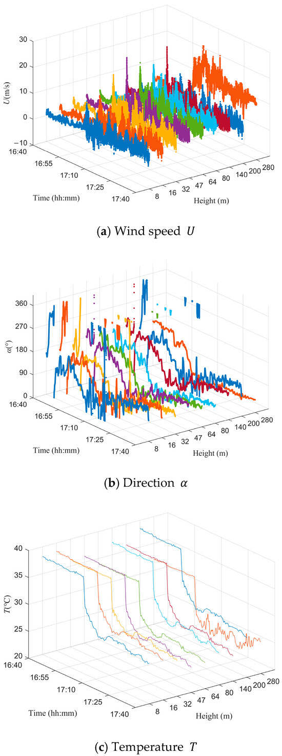
4. Characteristics of Downburst Wind Fields
4.1. Mean Wind Speed
4.2. Turbulence Intensity
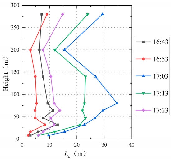
4.3. Turbulence Integral Length Scale
4.4. Probability Density Function
4.5. Power Spectral Density
4.6. Evolutionary Power Spectral Density
4.7. Gust Factor
5. Conclusions
- (1)
- During the occurrence of the downburst, the wind speed undergoes rapid changes. The wind direction varies significantly at low altitudes due to the influence of outflow vortices, while it remains relatively stable at higher altitudes. The temperature decreases sharply with increasing wind speed. The mean wind speed profile of the downburst differs significantly from that of synoptic winds, exhibiting a unique “nose-shaped” profile at the moment when peak wind speed occurs.
- (2)
- The turbulence intensity and turbulence integral length scale increases when the downburst occurs. The turbulence intensity at lower altitudes predominantly exceeds that at higher altitudes. The “nose-shaped” turbulence integral length scale profile can be observed at the moment when the peak wind speed occurs, with the nasal tip appearing at a height of 80 m similar with the mean wind profile.
- (3)
- The probability density distribution function of the reduced fluctuating wind speed during the downburst basically coincides with the standard Gaussian distribution curve. The measured power spectral density of the downburst satisfies Kolmogorov’s “−5/3 power law” in the high-frequency range, with energy gradually increasing as the altitude rises, and it aligns well with the Davenport spectrum.
- (4)
- The residual fluctuating wind speed of the downburst exhibits significant non-stationary characteristics. Its energy is mainly distributed in the period of rapid change of wind speed in the time domain and concentrating in the vicinity of 0–0.1 Hz in the frequency domain. The time-varying standard deviation estimated by the moving average method and the evolutionary power spectral integral method are in good agreement and the latter is smoother. This validates the feasibility of employing spectral methods for downburst wind modeling and structural response calculations. The gust factor attains its maximum value when the peak wind speed occurs.
Author Contributions
Funding
Institutional Review Board Statement
Informed Consent Statement
Data Availability Statement
Conflicts of Interest
References
- Canepa, F.; Burlando, M.; Romanic, D.; Solari, G.; Hangan, H. Experimental investigation of the near-surface flow dynamics in downburst-like impinging jets. Environ. Fluid Mech. 2022, 22, 921–954. [Google Scholar] [CrossRef]
- Zhang, S.; Solari, G.; Burlando, M.; Yang, Q.S. Directional decomposition and properties of thunderstorm outflows. J. Wind Eng. Ind. Aerodyn. 2019, 189, 71–90. [Google Scholar] [CrossRef]
- Zhang, S.; Solari, G.; De Gaetano, P.; Burlando, M.; Repetto, M.P. A refined analysis of thunderstorm outflow characteristics relevant to the wind loading of structures. Probabilistic Eng. Mech. 2017, 54, 9–24. [Google Scholar] [CrossRef]
- Canepa, F.; Burlando, M.; Solari, G. Vertical profile characteristics of thunderstorm outflows. J. Wind Eng. Ind. Aerodyn. 2020, 206, 104332. [Google Scholar] [CrossRef]
- Zhang, S.; Guo, K.; Yang, Q.; Xu, X. Review of Wind Field Characteristics of Downbursts and Wind Effects on Structures under Their Action. Buildings 2024, 14, 2653. [Google Scholar] [CrossRef]
- Lombardo, T.F.; Zickar, S.A. Characteristics of measured extreme thunderstorm near-surface wind gusts in the United States. J. Wind Eng. Ind. Aerodyn. 2019, 193, 103961. [Google Scholar] [CrossRef]
- Burlando, M.; Zhang, S.; Solari, G. Monitoring, cataloguing and weather scenarios of thunderstorm outflows in the Northern Mediterranean. Nat. Hazards Earth Syst. Sci. 2018, 18, 2309–2330. [Google Scholar] [CrossRef]
- Fang, Z.; Wang, Z.; Li, Z.; Yan, J.; Huang, H. Wind field characteristics of stationary and moving downbursts based on the test of impinging jet with a movable nozzle. J. Wind Eng. Ind. Aerodyn. 2023, 232, 105266. [Google Scholar] [CrossRef]
- Zhang, A.L.; Zhang, S.; Xu, X.D.; Zhong, H.B.; Li, B. Variation characteristics of the wind field in a typical thunderstorm event in Beijing. Appl. Sci. 2022, 12, 12036. [Google Scholar] [CrossRef]
- Burlando, M.; Romanić, D.; Solari, G.; Hangan, H.; Zhang, S. Field data analysis and weather scenario of a downburst event in Livorno, Italy, on 1 October 2012. Mon. Weather Rev. 2017, 145, 3507–3527. [Google Scholar] [CrossRef]
- Byers, H.R.; Braham, R.R. The Thunderstorm: Final Report of the Thunderstorm Project; US Government Printing Office: Washington, DC, USA, 1949. [Google Scholar]
- Fujita, T.T.; Wakimoto, R.M. Five scales of airflow associated with a series of downbursts on 16 July 1980. Mon. Weather Rev. 1981, 109, 1438–1456. [Google Scholar] [CrossRef]
- Fujita, T.T. Downbursts: Meteorological features and wind field characteristics. J. Wind Eng. Ind. Aerodyn. 1990, 36, 75–86. [Google Scholar] [CrossRef]
- Hjelmfelt, M.R. Structure and life cycle of microburst outflows observed in Colorado. J. Appl. Meteorol. Climatol. 1988, 27, 900–927. [Google Scholar] [CrossRef]
- Chen, L.; Letchford, C.W. Numerical simulation of extreme winds from thunderstorm downbursts. J. Wind Eng. Ind. Aerodyn. 2007, 95, 977–990. [Google Scholar] [CrossRef]
- Solari, G.; Burlando, M.; DE Gaetano, P.; Pia Repetto, M. Characteristics of thunderstorms relevant to the wind loading of structures. Wind Struct. 2015, 20, 763–791. [Google Scholar] [CrossRef]
- Shu, Z.R.; Li, Q.S.; He, Y.C.; Chan, P.W. Gust factors for tropical cyclone, monsoon and thunderstorm winds. J. Wind Eng. Ind. Aerodyn. 2015, 142, 1–14. [Google Scholar] [CrossRef]
- Choi, E.C. Extreme wind characteristics over Singapore–an area in the equatorial belt. J. Wind Eng. Ind. Aerodyn. 1999, 83, 61–69. [Google Scholar] [CrossRef]
- Choi, E.C. Wind characteristics of tropical thunderstorms. J. Wind Eng. Ind. Aerodyn. 2000, 84, 215–226. [Google Scholar] [CrossRef]
- Gunter, W.S.; Schroeder, J.L. High-resolution full-scale measurements of thunderstorm outflow winds. J. Wind Eng. Ind. Aerodyn. 2015, 138, 13–26. [Google Scholar] [CrossRef]
- Zhang, S.; Yang, Q.S.; Solari, G.; Li, B.; Huang, G.Q. Characteristics of thunderstorm outflows in Beijing urban area. J. Wind Eng. Ind. Aerodyn. 2019, 195, 104011. [Google Scholar] [CrossRef]
- GB 50009-2012; Code for Design Loads of Buildings and Other Civil Engineering Structures. China Architecture & Building Press: Beijing, China, 2012.
- DE Gaetano, P.; Repetto, M.P.; Repetto, T.; Solari, G. Separation and classification of extreme wind events from anemometric records. J. Wind Eng. Ind. Aerodyn. 2014, 126, 132–143. [Google Scholar] [CrossRef]
- Huang, G.; Jiang, Y.; Peng, L.; Solari, G.; Liao, H.; Li, M. Characteristics of intense winds in mountain area based on field measurement: Focusing on thunderstorm winds. J. Wind Eng. Ind. Aerodyn. 2019, 190, 166–182. [Google Scholar] [CrossRef]
- Abd-Elaal, E.S.; Mills, J.E.; Ma, X. An analytical model for simulating steady state flows of downburst. J. Wind Eng. Ind. Aerodyn. 2013, 115, 53–64. [Google Scholar] [CrossRef]
- Peng, L.; Huang, G.; Chen, X.; Yang, Q. Evolutionary spectra-based time-varying coherence function and application in structural response analysis to downburst winds. J. Struct. Eng. 2018, 144, 04018078. [Google Scholar] [CrossRef]
- Flay, R.G.J.; Stevenson, D.C. Integral length scales in strong winds below 20 m. J. Wind Eng. Ind. Aerodyn. 1988, 28, 21–30. [Google Scholar] [CrossRef]
- Xu, X.; Zhang, S. Property of a typical urban thunderstorm outflow relevant to wind load on structures. IOP Conf. Ser. Earth Environ. Sci. 2019, 218, 012086. [Google Scholar] [CrossRef]
- Li, B.; Li, C.; Yang, Q.; Tian, Y.; Zhang, X. Full-scale wind speed spectra of 5 Year time series in urban boundary layer observed on a 325 m meteorological tower. J. Wind Eng. Ind. Aerodyn. 2021, 218, 104791. [Google Scholar] [CrossRef]
- Davenport, A.G. The Spectrum of Horizontal Gustiness Near the Ground in High Winds. Q. R. Met Soc. 1961, 87, 194–211. [Google Scholar] [CrossRef]
- Roncallo, L.; Solari, G. An evolutionary power spectral density model of thunderstorm outflows consistent with real-scale time-history records. J. Wind Eng. Ind. Aerodyn. 2020, 203, 104204. [Google Scholar] [CrossRef]
- Morfiadakis, E.E.; Glinou, G.L.; Koulouvari, M.J. The suitability of the von Karman spectrum for the structure of turbulence in a complex terrain wind farm. J. Wind Eng. Ind. Aerodyn. 1996, 62, 237–257. [Google Scholar] [CrossRef]
- Priestley, M.B. Evolutionary spectra and non-stationary processes. J. R. Stat. Soc. Ser. B (Methodol.) 1965, 27, 204–229. [Google Scholar] [CrossRef]
- Chen, L.; Letchford, W.C. A deterministic–stochastic hybrid model of downbursts and its impact on a cantilevered structure. Eng. Struct. 2003, 26, 619–629. [Google Scholar] [CrossRef]











| Height (m) | 16:43 | 16:53 | 17:03 | 17:13 | 17:23 |
|---|---|---|---|---|---|
| 8 | 1.32 | 1.64 | 1.87 | 1.79 | 1.65 |
| 16 | 1.49 | 1.59 | 1.89 | 1.80 | 1.65 |
| 32 | 1.61 | 1.76 | 1.92 | 1.81 | 1.59 |
| 47 | 1.69 | 1.78 | 2.14 | 1.71 | 1.54 |
| 64 | 1.61 | 1.73 | 1.94 | 1.69 | 1.69 |
| 80 | 1.80 | 1.81 | 2.03 | 1.80 | 1.52 |
| 140 | 1.61 | 1.64 | 2.14 | 1.71 | 1.55 |
| 200 | 1.81 | 1.86 | 1.90 | 1.69 | 1.27 |
| 280 | 1.94 | 1.98 | 2.05 | 1.81 | 1.31 |
Disclaimer/Publisher’s Note: The statements, opinions and data contained in all publications are solely those of the individual author(s) and contributor(s) and not of MDPI and/or the editor(s). MDPI and/or the editor(s) disclaim responsibility for any injury to people or property resulting from any ideas, methods, instructions or products referred to in the content. |
© 2024 by the authors. Licensee MDPI, Basel, Switzerland. This article is an open access article distributed under the terms and conditions of the Creative Commons Attribution (CC BY) license (https://creativecommons.org/licenses/by/4.0/).
Share and Cite
Zhang, S.; Wang, Y.; Qian, Z.; Guo, K.; Xu, X.; Zhou, D.; Cao, Q. Wind Field Characteristics of the 13 June 2014 Downburst Event in Beijing Based on Meteorological Tower Records. Atmosphere 2025, 16, 27. https://doi.org/10.3390/atmos16010027
Zhang S, Wang Y, Qian Z, Guo K, Xu X, Zhou D, Cao Q. Wind Field Characteristics of the 13 June 2014 Downburst Event in Beijing Based on Meteorological Tower Records. Atmosphere. 2025; 16(1):27. https://doi.org/10.3390/atmos16010027
Chicago/Turabian StyleZhang, Shi, Yibo Wang, Zengzhi Qian, Kexin Guo, Xiaoda Xu, Daxing Zhou, and Qing Cao. 2025. "Wind Field Characteristics of the 13 June 2014 Downburst Event in Beijing Based on Meteorological Tower Records" Atmosphere 16, no. 1: 27. https://doi.org/10.3390/atmos16010027
APA StyleZhang, S., Wang, Y., Qian, Z., Guo, K., Xu, X., Zhou, D., & Cao, Q. (2025). Wind Field Characteristics of the 13 June 2014 Downburst Event in Beijing Based on Meteorological Tower Records. Atmosphere, 16(1), 27. https://doi.org/10.3390/atmos16010027

