Sign in to use this feature.

Years

Between: -

Subjects

remove_circle_outline
remove_circle_outline
remove_circle_outline
remove_circle_outline
remove_circle_outline
remove_circle_outline
remove_circle_outline
remove_circle_outline
remove_circle_outline

Journals

remove_circle_outline
remove_circle_outline
remove_circle_outline
remove_circle_outline
remove_circle_outline
remove_circle_outline

Article Types

Countries / Regions

remove_circle_outline
remove_circle_outline
remove_circle_outline
remove_circle_outline

Search Results (691)

Search Parameters:
Keywords = non-destructive tests (NDTs)

Order results
Result details
Results per page
Select all
Export citation of selected articles as:
24 pages, 3847 KB  
Article
Seismic Failure Mechanism Shift in RC Buildings Revealed by NDT-Supported, Field-Calibrated BIM-Based Models
by Mehmet Esen Eren and Cenk Fenerli
Appl. Sci. 2026, 16(1), 455; https://doi.org/10.3390/app16010455 - 1 Jan 2026
Viewed by 221
Abstract
This study proposes a field-calibrated, NDT-integrated BIM modeling framework to improve the reliability of post-earthquake assessment for reinforced concrete (RC) buildings. The approach combines destructive and nondestructive testing (NDT) data—including core drilling, Schmidt hammer, ultrasonic pulse velocity (UPV), and Windsor probe—through a site-specific [...] Read more.
This study proposes a field-calibrated, NDT-integrated BIM modeling framework to improve the reliability of post-earthquake assessment for reinforced concrete (RC) buildings. The approach combines destructive and nondestructive testing (NDT) data—including core drilling, Schmidt hammer, ultrasonic pulse velocity (UPV), and Windsor probe—through a site-specific WinSonReb regression model. The calibrated material properties (average compressive strength ≈ 18.6 MPa, CoV > 20%) were embedded into a Building Information Modeling (BIM) environment, producing an as-is, NDT-calibrated BIM model representing a Level-2 static digital twin of the structure. Nonlinear static pushover analyses performed in accordance with TBDY-2018 and ASCE 41-17 showed that the calibrated model exhibits a fundamental period of 0.85 s—approximately 18% longer than the uncalibrated BIM model. This elongation increased displacement demand and caused a shift in performance classification: while the uncalibrated model indicated Life Safety (LS), the calibrated model predicted behavior approaching Collapse Prevention (CP) in the Y direction. Furthermore, calibration reversed the predicted damage hierarchy, from ductile beam hinging to brittle column- and wall-controlled failure near elevator openings, consistent with post-event observations from the 2023 Kahramanmaraş earthquakes. These results demonstrate that integrating field-calibrated NDT data into BIM-based seismic models fundamentally alters both strength estimation and failure-mechanism prediction, reducing epistemic uncertainty and providing a more conservative basis for retrofit prioritization. Although demonstrated on a single case study, the proposed workflow offers a realistic and scalable pathway for NDT-supported seismic performance assessment of existing RC buildings. Full article
Show Figures

Figure 1

4 pages, 299 KB  
Editorial
Year III: The NDT—Journal of Non-Destructive Testing 2025 End-of-Year Editorial
by Fabio Tosti
NDT 2026, 4(1), 3; https://doi.org/10.3390/ndt4010003 - 31 Dec 2025
Viewed by 267
Abstract
The year 2025 marked a defining stage for NDT—Journal of Non-Destructive Testing, consolidating its position as a global platform for advancing non-destructive evaluation science and technology [...] Full article
32 pages, 4104 KB  
Review
Toward Active Distributed Fiber-Optic Sensing: A Review of Distributed Fiber-Optic Photoacoustic Non-Destructive Testing Technology
by Yuliang Wu, Xuelei Fu, Jiapu Li, Xin Gui, Jinxing Qiu and Zhengying Li
Sensors 2026, 26(1), 59; https://doi.org/10.3390/s26010059 - 21 Dec 2025
Viewed by 508
Abstract
Distributed fiber-optic photoacoustic non-destructive testing (DFP-NDT) represents a paradigm shift from passive sensing to active probing, fundamentally transforming structural health monitoring through integrated fiber-based ultrasonic generation and detection capabilities. This review systematically examines DFP-NDT’s evolution by following the technology’s natural progression from fundamental [...] Read more.
Distributed fiber-optic photoacoustic non-destructive testing (DFP-NDT) represents a paradigm shift from passive sensing to active probing, fundamentally transforming structural health monitoring through integrated fiber-based ultrasonic generation and detection capabilities. This review systematically examines DFP-NDT’s evolution by following the technology’s natural progression from fundamental principles to practical implementations. Unlike conventional approaches that require external excitation mechanisms, DFP-NDT leverages photoacoustic transducers as integrated active components where fiber-optical devices themselves generate and detect ultrasonic waves. Central to this technology are photoacoustic materials engineered to maximize conversion efficiency—from carbon nanotube-polymer composites achieving 2.74 × 10−2 conversion efficiency to innovative MXene-based systems that combine high photothermal conversion with structural protection functionality. These materials operate within sophisticated microstructural frameworks—including tilted fiber Bragg gratings, collapsed photonic crystal fibers, and functionalized polymer coatings—that enable precise control over optical-to-thermal-to-acoustic energy conversion. Six primary distributed fiber-optic photoacoustic transducer array (DFOPTA) methodologies have been developed to transform single-point transducers into multiplexed systems, with low-frequency variants significantly extending penetration capability while maintaining high spatial resolution. Recent advances in imaging algorithms have particular emphasis on techniques specifically adapted for distributed photoacoustic data, including innovative computational frameworks that overcome traditional algorithmic limitations through sophisticated statistical modeling. Documented applications demonstrate DFP-NDT’s exceptional versatility across structural monitoring scenarios, achieving impressive performance metrics including 90 × 54 cm2 coverage areas, sub-millimeter resolution, and robust operation under complex multimodal interference conditions. Despite these advances, key challenges remain in scaling multiplexing density, expanding operational robustness for extreme environments, and developing algorithms specifically optimized for simultaneous multi-source excitation. This review establishes a clear roadmap for future development where enhanced multiplexed architectures, domain-specific material innovations, and purpose-built computational frameworks will transition DFP-NDT from promising laboratory demonstrations to deployable industrial solutions for comprehensive structural integrity assessment. Full article
(This article belongs to the Special Issue FBG and UWFBG Sensing Technology)
Show Figures

Figure 1

25 pages, 33156 KB  
Article
Combining Ground Penetrating Radar and a Terrestrial Laser Scanner to Constrain EM Velocity: A Novel Approach for Masonry Wall Characterization in Cultural Heritage Applications
by Giorgio Alaia, Maurizio Ercoli, Raffaella Brigante, Laura Marconi, Nicola Cavalagli and Fabio Radicioni
Remote Sens. 2026, 18(1), 15; https://doi.org/10.3390/rs18010015 - 20 Dec 2025
Viewed by 388
Abstract
In this paper, the combined use of Ground Penetrating Radar (GPR) and a Terrestrial Laser Scanner (TLS) is illustrated to highlight multiple advantages arising from the integration of these two distinct Non-Destructive Testing (NDT) techniques in the investigation of a historical wall. In [...] Read more.
In this paper, the combined use of Ground Penetrating Radar (GPR) and a Terrestrial Laser Scanner (TLS) is illustrated to highlight multiple advantages arising from the integration of these two distinct Non-Destructive Testing (NDT) techniques in the investigation of a historical wall. In particular, thanks to the TLS point cloud, a precise evaluation of the medium’s thickness, as well as its irregularities, was carried out. Based on this accurate geometrical constraint, a first-order velocity model, to be used for a time-to-depth conversion and for a post-stack GPR data migration, was computed. Moreover, a joint visualization of both datasets (GPR and TLS) was achieved in a novel tridimensional workspace. This solution provided a more straightforward and efficient way of testing the reliability of the combined results, proving the efficiency of the proposed method in the estimation of a velocity model, especially in comparison to conventional GPR methods. This demonstrates how the integration of different remote sensing methodologies can yield a more solid interpretation, taking into account the uncertainties related to the geometrical irregularities of the external wall’s surface and the inner structure generating complex GPR signatures. Full article
Show Figures

Figure 1

26 pages, 7907 KB  
Review
Non-Destructive Testing for Conveyor Belt Monitoring and Diagnostics: A Review
by Aleksandra Rzeszowska, Ryszard Błażej and Leszek Jurdziak
Appl. Sci. 2025, 15(24), 13272; https://doi.org/10.3390/app152413272 - 18 Dec 2025
Viewed by 421
Abstract
Conveyor belts are among the most critical components of material transport systems across various industrial sectors, including mining, energy, cement production, metallurgy, and logistics. Their reliability directly affects the continuity and operational costs. Traditional methods for assessing belt condition often require downtime, are [...] Read more.
Conveyor belts are among the most critical components of material transport systems across various industrial sectors, including mining, energy, cement production, metallurgy, and logistics. Their reliability directly affects the continuity and operational costs. Traditional methods for assessing belt condition often require downtime, are labor-intensive, and involve a degree of subjectivity. In recent years, there has been a growing interest in non-destructive and remote diagnostic techniques that enable continuous and automated condition monitoring. This paper provides a comprehensive review of current diagnostic solutions, including machine vision systems, infrared thermography, ultrasonic and acoustic techniques, magnetic inspection methods, vibration sensors, and modern approaches based on radar and hyperspectral imaging. Particular attention is paid to the integration of measurement systems with artificial intelligence algorithms for automated damage detection, classification, and failure prediction. The advantages and limitations of each method are discussed, along with the perspectives for future development, such as digital twin concepts and predictive maintenance. The review aims to present recent trends in non-invasive diagnostics of conveyor belts using remote and non-destructive testing techniques, and to identify research directions that can enhance the reliability and efficiency of industrial transport systems. Full article
(This article belongs to the Special Issue Nondestructive Testing and Metrology for Advanced Manufacturing)
Show Figures

Figure 1

38 pages, 5241 KB  
Review
Applications of Polarization Spectroscopy in Agricultural Engineering: A Comprehensive Review
by Wenjing Zhu, Liangxin Zhai, Wenhao Du, Xiao Li, Zhengcheng Gao, Huan Wang and Yang Li
Agriculture 2025, 15(24), 2546; https://doi.org/10.3390/agriculture15242546 - 9 Dec 2025
Viewed by 550
Abstract
Non-destructive testing (NDT) methods are increasingly applied in modern agriculture to enable the rapid, efficient, and non-invasive evaluation of crops and agricultural products. Among these, polarization spectroscopy analysis (PSA) combines polarization information with spectral data to provide detailed insights into plant and soil [...] Read more.
Non-destructive testing (NDT) methods are increasingly applied in modern agriculture to enable the rapid, efficient, and non-invasive evaluation of crops and agricultural products. Among these, polarization spectroscopy analysis (PSA) combines polarization information with spectral data to provide detailed insights into plant and soil properties. This review summarizes the principles and key parameters of polarimetry and highlights PSA applications, including crop health monitoring, pest and disease detection, chlorophyll and nutrient estimation, seed quality assessment, and soil moisture and pollution evaluation. PSA demonstrates advantages over conventional spectroscopy by revealing structural information and maintaining robustness in complex environments. Its ability to support precision agriculture through the real-time monitoring and early detection of stress factors underscores its potential for smart agricultural systems. Future efforts should focus on data fusion, model optimization, equipment miniaturization, and enhanced adaptability to fully realize PSA’s role in intelligent agriculture. Full article
(This article belongs to the Section Artificial Intelligence and Digital Agriculture)
Show Figures

Figure 1

20 pages, 3524 KB  
Article
Implementing Nitrogen Vacancy Center Quantum Sensor Technology for Magnetic Flux Leakage Testing
by Jonathan Villing, Matthias Niethammer, Luca-Ion Arişanu, Frank Lehmann and Harald Garrecht
Sensors 2025, 25(23), 7279; https://doi.org/10.3390/s25237279 - 29 Nov 2025
Viewed by 681
Abstract
Ensuring the structural integrity of prestressed (PS) concrete is essential for the safety and longevity of infrastructure. Magnetic Flux Leakage (MFL) testing is a widely used non-destructive testing (NDT) method for detecting fractures in prestressing steel. This study explores the application of quantum [...] Read more.
Ensuring the structural integrity of prestressed (PS) concrete is essential for the safety and longevity of infrastructure. Magnetic Flux Leakage (MFL) testing is a widely used non-destructive testing (NDT) method for detecting fractures in prestressing steel. This study explores the application of quantum sensors based on nitrogen vacancy (NV) centers in artificial diamonds for MFL testing and presents a novel method for processing continuous-wave optically detected magnetic resonance (CW-ODMR) data into vectorized magnetic field measurements. These sensors offer high sensitivity, low hysteresis, and multi-directional magnetic field detection, making them a promising alternative for advanced NDT applications. A data processing framework was developed to transform CW-ODMR measurements into vectorized magnetic flux density values in the x, y, and z directions. This process enables the conversion of crystallographic sensor orientations into calibrated field directions, ensuring precise magnetic field reconstruction. The method was validated through 121 fracture measurements and 19 open-bar-end measurements, demonstrating its effectiveness in extracting high-resolution vectorized magnetic field data. A subsequent statistical evaluation quantified the influence of sensor displacement, magnetization direction, magnetization distance, and measurement distance. These findings establish a foundation for integrating quantum sensors into MFL-based NDT, with potential applications extending beyond building inspections to a wide range of advanced sensing technologies in scientific and industrial fields. Full article
Show Figures

Figure 1

12 pages, 1681 KB  
Article
A Probabilistic Method for Quantifying Uncertainty in Crack Detection and Its Effects on Marine Structural Integrity Management
by Guang Zou, Linsheng Li and Jialin Li
J. Mar. Sci. Eng. 2025, 13(12), 2263; https://doi.org/10.3390/jmse13122263 - 27 Nov 2025
Viewed by 248
Abstract
Non-destructive testing (NDT) methods have been widely used for damage examination and structural maintenance, e.g., detecting and repairing fatigue cracks. In-service inspections help increase fatigue reliability by providing new information for updating structural failure probability and making repair decisions. However, these benefits are [...] Read more.
Non-destructive testing (NDT) methods have been widely used for damage examination and structural maintenance, e.g., detecting and repairing fatigue cracks. In-service inspections help increase fatigue reliability by providing new information for updating structural failure probability and making repair decisions. However, these benefits are often compromised by uncertainties associated with inspection methods. Sometimes, existing cracks may not be identified, and positive inspection indication may actually not exist. It is of great interest to consider the influence of inspection uncertainty in maintenance optimization, because the benefits and costs of maintenance are affected by inspection decisions (e.g., inspection times and methods), which are subjected to inspection uncertainty. The influence of inspection uncertainty on maintenance optimization has not been explicitly and adequately covered in the literature. In this paper, the problem has been investigated by probabilistic modelling of the qualities of inspection methods via probability of detection (PoD) functions. A new PoD function is proposed to characterize the inspection quality when inspection uncertainty is neglected. Optimum inspection decisions are derived by the objective of maximizing lifetime reliability index under two scenarios (considering and not considering inspection uncertainty). The effectiveness index of a planned inspection is defined based on the max reliability indexes under the two scenarios. It is shown that the max lifetime reliability index generally deceases when inspection uncertainty is considered. Inspection uncertainty may have little influence on the lifetime reliability index, depending on the planned inspection time. The effectiveness index of a planned inspection increases with the decrease in the mean detectable crack size. However, inspection uncertainty can result in significant increases in expected life cycle costs and maintenance costs. Full article
(This article belongs to the Section Ocean Engineering)
Show Figures

Figure 1

34 pages, 1452 KB  
Article
A Masi-Entropy Image Thresholding Based on Long-Range Correlation
by Perfilino Eugênio Ferreira Júnior, Vinícius Moreira Mello, Enzo P. Silva Ribeiro and Gilson Antonio Giraldi
Entropy 2025, 27(12), 1203; https://doi.org/10.3390/e27121203 - 27 Nov 2025
Viewed by 334
Abstract
Entropy-based image thresholding is one of the most widely used segmentation techniques in image processing. The Tsallis and Masi entropies are information measures that can capture long-range interactions in various physical systems. On the other hand, Shannon entropy is more appropriate for short-range [...] Read more.
Entropy-based image thresholding is one of the most widely used segmentation techniques in image processing. The Tsallis and Masi entropies are information measures that can capture long-range interactions in various physical systems. On the other hand, Shannon entropy is more appropriate for short-range correlations. In this paper, we have improved a thresholding technique based on Tsallis and Shannon formulas by using Masi entropy. Specifically, we replace the Tsallis information measure with Masi’s one, obtaining better results than the original methodology. As the proposed method depends on an entropic parameter, we designed a thresholding algorithm that incorporates a simulated annealing procedure for parameter optimization. Then, we compared our results with thresholding methods that use just Masi (or Tsallis), or a combination of them, Shannon, Sine, and Hill entropies. The comparison is enriched with a kernel version of a support vector machine, as well as a discussion of our proposal in relation to deep learning approaches. Quantitative measures of segmentation accuracy demonstrated the superior performance of our method in infrared, nondestructive testing (NDT), as well as RGB images from the BSDS500 dataset. Full article
(This article belongs to the Section Signal and Data Analysis)
Show Figures

Figure 1

13 pages, 2633 KB  
Article
A Model of the Degradation Process of Stone Architecture Under the Influence of Climatic Conditions Described by an Exponential Function
by Marek Skłodowski and Alicja Bobrowska
Appl. Sci. 2025, 15(23), 12552; https://doi.org/10.3390/app152312552 - 26 Nov 2025
Viewed by 272
Abstract
In assessing the strength properties of stone materials, especially in historic structures, ultrasonic measurements are widely used as a non-destructive testing (NDT) method. Actual stone degradation in situ is estimated based on various laboratory tests which allow researchers to correlate the number of [...] Read more.
In assessing the strength properties of stone materials, especially in historic structures, ultrasonic measurements are widely used as a non-destructive testing (NDT) method. Actual stone degradation in situ is estimated based on various laboratory tests which allow researchers to correlate the number of artificial ageing cycles of stone specimens with ultrasonic wave velocity measured on these specimens. This paper presents the results obtained for granite, marble, limestone, travertine and sandstone which underwent various cyclic ageing tests including freezing and thawing, high temperature and salt crystallization. Analysis of the obtained results shows that, independent of the stone type tested and independent of the ageing test applied, a rate of change in the stone elastic properties is described by an ordinary differential equation whose solution is an exponential law analogue to the Newton’s law of cooling. The degradation function model can be used for further research on expected residual strength and dynamics of the heritage materials degradation processes. Full article
(This article belongs to the Special Issue Sustainable Research on Rock Mechanics and Geotechnical Engineering)
Show Figures

Figure 1

24 pages, 4839 KB  
Article
An Aerial-Ground Collaborative Framework for Asphalt Pavement Quality Inspection
by Peng Li, Sijin Wei, Tao Lei, Lei Niu, Wenyang Han, Chunhua Su, Guangyong Wang, Kai Chen, Ting Cui, Zhang Ding and Zhi Fu
Infrastructures 2025, 10(12), 324; https://doi.org/10.3390/infrastructures10120324 - 26 Nov 2025
Viewed by 396
Abstract
To overcome the limitations of conventional methods, this study developed a novel aerial-ground collaborative framework for multi-dimensional quality assessment of asphalt pavement. The quality inspection of asphalt pavement in the whole construction process is realized. Multiple non-destructive testing (NDT) techniques were integrated, including [...] Read more.
To overcome the limitations of conventional methods, this study developed a novel aerial-ground collaborative framework for multi-dimensional quality assessment of asphalt pavement. The quality inspection of asphalt pavement in the whole construction process is realized. Multiple non-destructive testing (NDT) techniques were integrated, including drone-based infrared thermography, ground-penetrating radar (GPR), and a nuclear-free density gauge. Results showed a strong correlation (R2 > 0.95) between the radar-derived dielectric constant and core samples, enabling rapid, full-coverage characterization. The density gauge achieved less than 3% error. Furthermore, a compactness prediction model based on the dielectric constant and an air void content evaluation model based on temperature parameters are further constructed. This system enables aerial screening, point verification, and ground diagnosis, significantly enhancing inspection efficiency and comprehensiveness. Full article
Show Figures

Figure 1

14 pages, 3607 KB  
Article
Properties of 2–5 Layers Small-Sized Glued-Laminated Timber Using Lower Quality Oak (Quercus spp.) Lamellae
by Mátyás Báder, Dénes Ákos Horváth and Sándor Fehér
Forests 2025, 16(12), 1767; https://doi.org/10.3390/f16121767 - 24 Nov 2025
Viewed by 335
Abstract
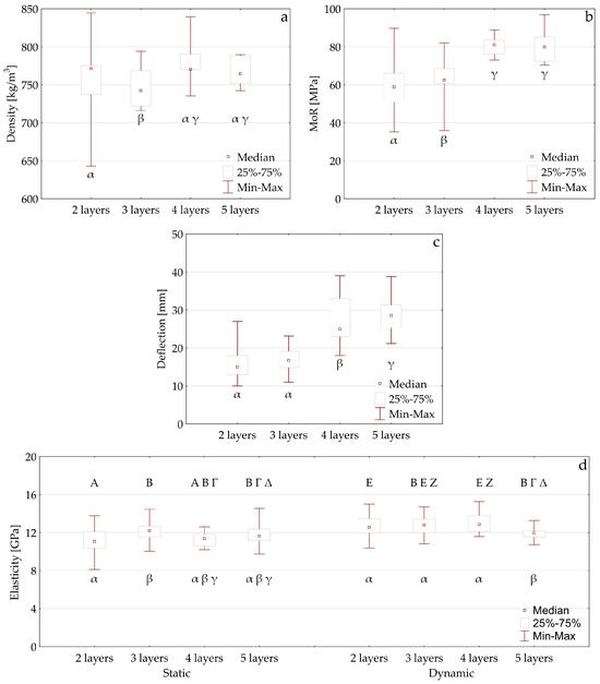
This study examines the mechanical performance of small-sized glued-laminated timber (GLT) produced from low-quality oak (Quercus spp.) lamellae and veneer arranged in 2–5 layers. After both non-destructive and bending tests, density, modulus of rupture, deflection and modulus of elasticity by static and [...] Read more.
This study examines the mechanical performance of small-sized glued-laminated timber (GLT) produced from low-quality oak (Quercus spp.) lamellae and veneer arranged in 2–5 layers. After both non-destructive and bending tests, density, modulus of rupture, deflection and modulus of elasticity by static and dynamic methods were evaluated. Average densities ranged from 747 to 777 kg/m3. The two- and three-layer GLTs exhibited modulus of rupture values of 59.0 MPa and 63.7 MPa, while the four- and five-layer specimens reached 80.4 MPa and 80.0 MPa, respectively—up to 36% higher due to veneer reinforcement on the tension side. Static modulus of elasticity ranged between 11.2 and 12.1 GPa, and dynamic modulus of elasticity reached 13.0 GPa. The findings demonstrate that multi-layer configurations with veneer reinforcement effectively enhance bending performance and reliability, promoting the structural application potential of low-grade hardwood in accordance with EN 14080. Full article
(This article belongs to the Section Wood Science and Forest Products)
Show Figures

Figure 1

32 pages, 2623 KB  
Article
Physics-Guided Self-Supervised Few-Shot Learning for Ultrasonic Defect Detection in Concrete Structures
by Mehmet Esen Eren
Buildings 2025, 15(23), 4227; https://doi.org/10.3390/buildings15234227 - 23 Nov 2025
Cited by 1 | Viewed by 576
Abstract
This study introduces a physics-guided self-supervised framework for few-shot ultrasonic defect detection in concrete structures, addressing the dual challenges of scarce labels and domain variability in structural health monitoring (SHM). Our method integrates physics-informed augmentations, contrastive representation learning, and adversarial domain alignment within [...] Read more.
This study introduces a physics-guided self-supervised framework for few-shot ultrasonic defect detection in concrete structures, addressing the dual challenges of scarce labels and domain variability in structural health monitoring (SHM). Our method integrates physics-informed augmentations, contrastive representation learning, and adversarial domain alignment within a mutually reinforcing cycle, enabling robust defect classification with minimal supervision. A Physics-Informed Augmentation Module synthesizes realistic ultrasonic signals, training a Transformer encoder to extract invariant features while suppressing sensor noise. An Adversarial Feature Aligner further improves cross-domain generalization by mitigating distribution shifts across heterogeneous concretes. Experimental validation on three benchmark datasets demonstrates 63–66% accuracy in one-shot cross-domain tasks and up to 89% in five-shot settings. These results represent 12–15 percentage point gains over modern few-shot baselines, with improvements statistically significant at p < 0.001. Compatible with existing ultrasonic hardware, the proposed framework bridges physics-based modeling and machine learning while paving the way for scalable, field-ready SHM solutions for aging infrastructure and resilient smart cities. Full article
(This article belongs to the Special Issue Structural Health Monitoring Through Advanced Artificial Intelligence)
Show Figures

Figure 1

28 pages, 4425 KB  
Article
Integrating Electromagnetic NDT and IoT for Enhanced Structural Health Monitoring of Corrosion in Reinforced Concrete as a Key to Sustainable Smart Cities
by Paweł Karol Frankowski and Sebastian Matysik
Sustainability 2025, 17(22), 10307; https://doi.org/10.3390/su172210307 - 18 Nov 2025
Viewed by 579
Abstract
The paper addresses a critical gap in early-stage corrosion detection in reinforced concrete, a leading cause of structural failures with significant impacts on humans, the economy, and the environment. It presents the M5 (Magnetic Force-Induced Vibration Evaluation) method, an innovative Structural Health Monitoring [...] Read more.
The paper addresses a critical gap in early-stage corrosion detection in reinforced concrete, a leading cause of structural failures with significant impacts on humans, the economy, and the environment. It presents the M5 (Magnetic Force-Induced Vibration Evaluation) method, an innovative Structural Health Monitoring (SHM) approach that avoids damping in concrete by using electromagnetic excitation and transferring rebar vibrations through magnetic coupling over the sample. By inducing and analyzing natural vibrations directly in reinforcement, M5 enables sensitive, non-destructive evaluation (NDE) of corrosion before deterioration occurs. The study follows a systematic literature review based on PRISMA standards and utilizes EmbedSLR v1.0 free software. The methodology combines NDE with IoT deployment using Low-Power Wide Area Networks (LPWANs) and advanced machine learning (ARA) to detect frequency changes caused by corrosion, ensuring continuous monitoring. Findings suggest that M5 has the potential to enhance sustainable asset management by extending infrastructure lifespan, optimizing maintenance, and reducing waste. Its practical implications are significant for urban planners and engineers aiming to align infrastructure management with smart city strategies. The originality of this work lies in integrating electromagnetic NDT with IoT and data-driven decision-making, offering new insights at the intersection of engineering and sustainable smart city management. Full article
(This article belongs to the Special Issue Sustainable Construction: Innovations in Concrete and Materials)
Show Figures

Figure 1

27 pages, 17561 KB  
Article
Symmetry-Inspired Design and Full-Coverage Path Planning for a Multi-Arm NDT Robot on a Reactor Pressure Vessel
by Maocheng Hong, Zhengyang Zhao, Jianxiang Jiang, Xiaoyang Zhao, Jingli Yan, Huaidong Chen and Xiaobing Zhang
Symmetry 2025, 17(11), 1995; https://doi.org/10.3390/sym17111995 - 18 Nov 2025
Viewed by 428
Abstract
Regular ultrasonic full-coverage inspection of reactor pressure vessels (RPVs) is critical to ensuring the safe operation of nuclear power plants. However, due to the extreme operating conditions and complex internal geometry of RPVs, most existing inspection technologies face significant challenges in achieving convenient [...] Read more.
Regular ultrasonic full-coverage inspection of reactor pressure vessels (RPVs) is critical to ensuring the safe operation of nuclear power plants. However, due to the extreme operating conditions and complex internal geometry of RPVs, most existing inspection technologies face significant challenges in achieving convenient and efficient full-coverage traversal detection. To address these limitations, this study proposes a novel nondestructive inspection robot equipped with four symmetrically arranged inspection arms for comprehensive RPV ultrasonic inspection. By considering the structural symmetry and motion characteristics of the inspection arms, a corresponding kinematic analysis is conducted, resulting in a precise kinematic model that enables real-time computation of both forward and inverse kinematic solutions with high accuracy. Furthermore, an adaptive full-coverage inspection method is developed by leveraging the vessel’s axisymmetric geometry and by partitioning the RPV into seven distinct detection zones, allowing the four inspection arms to independently complete inspections across the maximum number of zones, thereby significantly enhancing both detection coverage and operational efficiency. Experiments demonstrated the practical feasibility of the proposed robotic system and validated the effectiveness of the full-coverage inspection method. Full article
(This article belongs to the Section Engineering and Materials)
Show Figures

Figure 1

Back to TopTop