Sign in to use this feature.

Years

Between: -

Subjects

remove_circle_outline
remove_circle_outline
remove_circle_outline
remove_circle_outline
remove_circle_outline
remove_circle_outline
remove_circle_outline
remove_circle_outline
remove_circle_outline

Journals

remove_circle_outline
remove_circle_outline
remove_circle_outline
remove_circle_outline
remove_circle_outline
remove_circle_outline
remove_circle_outline
remove_circle_outline
remove_circle_outline
remove_circle_outline
remove_circle_outline
remove_circle_outline
remove_circle_outline
remove_circle_outline
remove_circle_outline

Article Types

Countries / Regions

remove_circle_outline
remove_circle_outline
remove_circle_outline
remove_circle_outline
remove_circle_outline
remove_circle_outline
remove_circle_outline
remove_circle_outline

Search Results (1,715)

Search Parameters:
Keywords = neuronal inflammation

Order results
Result details
Results per page
Select all
Export citation of selected articles as:
12 pages, 410 KB  
Article
The Effect of Fatty Acid-Binding Protein 3 Exposure on Endothelial Transcriptomics
by Hien C. Nguyen, Aman Singh, Christina A. Castellani, Mohammad Qadura and Krishna K. Singh
DNA 2026, 6(1), 4; https://doi.org/10.3390/dna6010004 - 8 Jan 2026
Viewed by 73
Abstract
Background: Fatty acid-binding protein 3 (FABP3) is released in circulation following myocardial infarction, and an increased level of circulatory FABP3 has also been reported in peripheral artery disease patients, exposing endothelial cells to higher levels of FABP3. Recently, loss of endothelial FABP3 was [...] Read more.
Background: Fatty acid-binding protein 3 (FABP3) is released in circulation following myocardial infarction, and an increased level of circulatory FABP3 has also been reported in peripheral artery disease patients, exposing endothelial cells to higher levels of FABP3. Recently, loss of endothelial FABP3 was shown to protect endothelial cells against inflammation-induced endothelial dysfunction; however, the effect of FABP3 exposure on endothelial cells is unknown. Accordingly, to study the effect of FABP3 exposure on endothelial cells, we performed transcriptomic profiling following recombinant human FABP3 (rhFABP3) treatment of endothelial cells. Methods: Cultured human endothelial cells were treated with either a vehicle or rhFABP3 (50 ng/mL, 6 h); then, RNA sequencing was performed. Gene expression analysis followed by gene ontology (GO) and Kyoto Encyclopedia of Genes and Genomes (KEGG) pathway analyses was performed to identify differentially expressed genes and affected cellular functions and pathways. Results: Differential gene expression analysis revealed kinesin family member 26b (KIF26B) to be the most upregulated and survival of motor neuron 2 (SMN2) to be the most downregulated genes in rhFABP3-treated compared to vehicle-treated endothelial cells. Most of the differentially expressed genes were associated with endothelial cell motility, immune response, and angiogenesis. GO and KEGG analyses indicated that rhFABP3 exposure impacts several crucial pathways, predominantly “Regulation of leukocyte mediated cytotoxicity” and “Natural killer cell mediated cytotoxicity”, suggesting its involvement in endothelial cell physiology and response mechanisms to cardiovascular stress. Conclusions: This is the first study to evaluate rhFABP3-induced transcriptomics in human endothelial cells. Our data reveal novel genes and pathways affected by the exposure of endothelial cells to FABP3. Further research is necessary to validate these findings and fully understand FABP3’s role in endothelial biology and in cardiovascular diseases like myocardial infarction and peripheral artery disease. Full article
Show Figures

Figure 1

12 pages, 1648 KB  
Opinion
Crocin Modified Drugs for Neuronal Trans-Differentiation: A Future Regenerative Approach
by Pratikshya Paudel and Prabir Kumar Gharai
Sci. Pharm. 2026, 94(1), 6; https://doi.org/10.3390/scipharm94010006 - 8 Jan 2026
Viewed by 87
Abstract
Neurodegeneration—driven by oxidative stress, chronic inflammation, and protein aggregation—underlies disorders such as Alzheimer’s disease, Parkinson’s disease, Huntington’s disease, and stroke. Current pharmacological treatments are largely symptomatic and do not restore lost neural circuitry, motivating regenerative approaches. Mesenchymal stem cells (MSCs) provide neurotrophic and [...] Read more.
Neurodegeneration—driven by oxidative stress, chronic inflammation, and protein aggregation—underlies disorders such as Alzheimer’s disease, Parkinson’s disease, Huntington’s disease, and stroke. Current pharmacological treatments are largely symptomatic and do not restore lost neural circuitry, motivating regenerative approaches. Mesenchymal stem cells (MSCs) provide neurotrophic and immunomodulatory benefits and can support synaptic repair, yet robust conversion into mature, electrophysiologically functional neurons remain challenging and often depends on complex inducer cocktails with translational limitations. Crocin, a saffron-derived carotenoid, is reported to enhance neurogenesis and neuroprotection in preclinical models through pathways including Wnt/β-catenin, Notch1, CREB/BDNF, and modulation of GSK-3β, while reducing apoptosis and inflammatory signaling. Here, we synthesize evidence supporting crocin’s neuroprotective and proneurogenic activity and propose a testable hypothesis that crocin-based or crocin-modified formulations could be evaluated as adjuncts to guide MSC neuronal lineage commitment. Importantly, direct evidence that crocin alone can drive MSC trans-differentiation into fully functional neurons is currently insufficient; future work should define functional benchmarks (electrophysiology, synaptogenesis, and phenotypic stability) and rigorously validate safety, dosing, and delivery strategies for neuroregenerative translation. Full article
Show Figures

Figure 1

31 pages, 3998 KB  
Review
Obesity-Related Oxidative Stress and Antioxidant Properties of Natural Compounds in the Enteric Nervous System: A Literature Overview
by Vincenzo Bellitto, Daniele Tomassoni, Ilenia Martinelli, Giulio Nittari and Seyed Khosrow Tayebati
Antioxidants 2026, 15(1), 83; https://doi.org/10.3390/antiox15010083 - 8 Jan 2026
Viewed by 248
Abstract
The enteric nervous system (ENS) constitutes a highly organized and intricate neuronal network comprising two principal plexuses: myenteric and submucosal. These plexuses consist of neurons and enteric glial cells (EGCs). Neurons ensure innervation throughout the intestinal wall, whereas EGCs, distributed within the mucosa, [...] Read more.
The enteric nervous system (ENS) constitutes a highly organized and intricate neuronal network comprising two principal plexuses: myenteric and submucosal. These plexuses consist of neurons and enteric glial cells (EGCs). Neurons ensure innervation throughout the intestinal wall, whereas EGCs, distributed within the mucosa, contribute to epithelial barrier integrity and modulation of local inflammatory responses. The ENS orchestrates essential gastrointestinal functions, including motility, secretion, absorption, vascular regulation, and immune interactions with gut microbiota. Under physiological conditions, intestinal homeostasis involves moderate generation of reactive oxygen species (ROS) through endogenous processes such as mitochondrial oxidative phosphorylation. Cellular antioxidant systems maintain redox equilibrium; however, excessive ROS production induces oxidative stress, promoting EGCs activation toward a reactive phenotype characterized by pro-inflammatory cytokine release. This disrupts neuron–glia communication, predisposing to enteric neuroinflammation and neurodegeneration. Obesity, associated with hyperglycemia, hyperlipidemia, and micronutrient deficiencies, enhances ROS generation and inflammatory cascades, thereby impairing ENS integrity. Nevertheless, non-pharmacological strategies—including synthetic and natural antioxidants, bioactive dietary compounds, probiotics, and prebiotics—attenuate oxidative and inflammatory damage. This review summarizes preclinical and clinical evidence elucidating the interplay among the ENS, obesity-induced oxidative stress, inflammation, and the modulatory effects of antioxidant interventions. Full article
(This article belongs to the Section Health Outcomes of Antioxidants and Oxidative Stress)
Show Figures

Graphical abstract

46 pages, 7543 KB  
Review
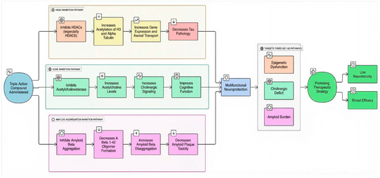
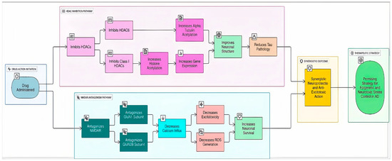
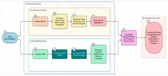
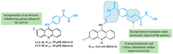
Epigenetic Dysregulation in Neurodegeneration: The Role of Histone Deacetylases and Emerging Inhibitor Strategies
by Yogesh Pawar, Aleksandra Kopranovic, Ramaa C S and Franz-Josef Meyer-Almes
Biomolecules 2026, 16(1), 103; https://doi.org/10.3390/biom16010103 - 7 Jan 2026
Viewed by 207
Abstract
Neurodegenerative diseases such as Alzheimer’s disease (AD), Parkinson’s disease (PD), and Huntington’s disease (HD) are characterized by complex pathologies with progressive neurodegeneration, protein misfolding, oxidative stress, and persistent inflammation. Recent findings indicate the pivotal involvement of epigenetic disruption, particularly aberrant histone deacetylase (HDAC) [...] Read more.
Neurodegenerative diseases such as Alzheimer’s disease (AD), Parkinson’s disease (PD), and Huntington’s disease (HD) are characterized by complex pathologies with progressive neurodegeneration, protein misfolding, oxidative stress, and persistent inflammation. Recent findings indicate the pivotal involvement of epigenetic disruption, particularly aberrant histone deacetylase (HDAC) activity, in disease initiation and progression. In the current review, we systematically discuss the mechanistic function of HDACs across all classes (I, IIa, IIb, III, and IV) in neurodegenerative disease mechanisms, such as their involvement in the modulation of gene expression, mitochondrial function, proteostasis, and neuronal survival. We discuss the therapeutic potential, as well as limitations, of HDAC inhibitors (HDACis), such as pan-inhibitors and isoenzyme-selective inhibitors, and new multi-target-directed ligands with HDAC inhibition combined with acetylcholinesterase modulation, PDE modulation, MAO-B inhibition, or NMDAR modulation. Particular emphasis is placed on the development of HDAC6-selective inhibitors with enhanced brain permeability and reduced toxicity, which have shown promising preclinical efficacy in ameliorating hallmark pathologies of AD, PD, and HD. In addition, s-triazine-based scaffolds have recently emerged as promising chemotypes in HDAC inhibitor design, offering favorable pharmacokinetic profiles, metabolic stability, and the potential for dual-target modulation relevant to neurodegeneration. The review also explores the future of HDAC-targeted therapies, including PROTAC degraders, dual-inhibitor scaffolds, and sustainable, BBB-penetrant molecules. Collectively, this review underscores the importance of HDAC modulation as a multifaceted strategy in the treatment of neurodegenerative diseases and highlights the need for continued innovation in epigenetic drug design. Full article
Show Figures

Figure 1

21 pages, 3994 KB  
Article
Elucidating the Mechanism of the Liqi Yangyin Formula in Treating Depression–Constipation Comorbidity: An Integrative Approach Using Network Pharmacology and Experimental Validation
by Lianjie Xu, Shun Seng Ong, Xiaoyue Deng, Yunzhi Qian, Zhao Tang, Ming Li and Tianshu Xu
Pharmaceuticals 2026, 19(1), 106; https://doi.org/10.3390/ph19010106 - 7 Jan 2026
Viewed by 203
Abstract
Background: The traditional formula Liqi Yangyin (LQYY) has shown clinical and preclinical efficacy for depression with constipation, yet its molecular mechanisms remain incompletely defined. This study aimed to elucidate its mechanisms using an integrative approach. Methods: Constituents of LQYY were profiled [...] Read more.
Background: The traditional formula Liqi Yangyin (LQYY) has shown clinical and preclinical efficacy for depression with constipation, yet its molecular mechanisms remain incompletely defined. This study aimed to elucidate its mechanisms using an integrative approach. Methods: Constituents of LQYY were profiled by UPLC-MS/MS and integrated with network pharmacology and molecular docking to identify brain-accessible components and putative targets. A chronic unpredictable mild stress (CUMS) model was used for experimental validation. Outcomes included behavioral tests (sucrose preference test, open field test, and forced swimming test), gastrointestinal indices, including fecal water content, time of first black stool, and intestinal propulsion rate, histopathology of the prefrontal cortex (PFC) and colon, TUNEL staining, NeuN immunofluorescence, Western blotting, and qRT-PCR. Results: LQYY attenuated CUMS-induced weight loss and depressive-like behaviors and improved intestinal transit metrics. It reduced neuronal apoptosis in the PFC and ameliorated colonic injury. Mechanistically, docking and enrichment analyses highlighted hub targets (STAT3, AKT1, ESR1, IL-6, TNF, TP53) and the JAK/STAT pathway. In vivo, LQYY decreased IL-6, TNF-α, ESR1, TP53, and STAT3, and increased AKT1 in the PFC and colon; it also reduced the TUNEL-positive rate and restored NeuN labeling, upregulated Bcl-2, and downregulated p-JAK2/JAK2 and p-STAT3/STAT3 ratios, and the expression of Bax and cleaved-caspase-3 in the PFC, consistent with the suppression of pro-inflammatory and apoptotic signaling. Conclusions: LQYY exerts antidepressant and pro-motility effects in CUMS mice by modulating JAK2/STAT3-centered networks and inhibiting neuronal apoptosis, thus supporting a multi-component, multi-target strategy for treating depression with constipation, and providing a defined molecular hypothesis for future investigation. Full article
Show Figures

Graphical abstract

19 pages, 14364 KB  
Article
Asiatic Acid Attenuates Salmonella typhimurium-Induced Neuroinflammation and Neuronal Damage by Inhibiting the TLR2/Notch and NF-κB Pathway in Microglia
by Wenshu Zou and Jianxi Li
Int. J. Mol. Sci. 2026, 27(2), 602; https://doi.org/10.3390/ijms27020602 - 7 Jan 2026
Viewed by 113
Abstract
Salmonella typhimurium (S.T) infection of the central nervous system (CNS) induces severe inflammation, leading to elevated expression of inducible nitric oxide synthase (iNOS) in microglia. This process catalyzes excessive production of nitric oxide (NO), resulting in irreversible damage to neuronal mitochondria. [...] Read more.
Salmonella typhimurium (S.T) infection of the central nervous system (CNS) induces severe inflammation, leading to elevated expression of inducible nitric oxide synthase (iNOS) in microglia. This process catalyzes excessive production of nitric oxide (NO), resulting in irreversible damage to neuronal mitochondria. Asiatic acid (AA) is a small molecule with neuroprotective potential; however, its ability to counteract nerve injury induced by S.T and the underlying mechanisms remain unclear. In this study, we established an S.T-infected mouse model (in vivo) and an S.T-stimulated microglial model using BV-2 cells (in vitro) and employed techniques including immunofluorescence (IF), Western blot, co-immunoprecipitation (Co-IP), and RNA extraction and quantitative reverse transcription PCR (RT-qPCR) to systematically evaluate the protective effects and mechanisms of AA. The results showed that pre-treatment with AA significantly reduced the expression of iNOS and the production of NO caused by S.T infection in mouse hippocampal tissue and BV-2 cells. Mechanistically, AA exerts its effects by inhibiting the upstream Toll-like receptor 2 (TLR2)/Notch and nuclear factor-κB (NF-κB) signaling axis. It interferes with the nuclear translocation of Notch and p65 proteins and their complex formation under S.T stimulation, thereby blocking downstream expression of iNOS and production of NO. This study reveals a novel mechanism by which AA alleviates infection-related neuroinflammation through targeting Notch-p65 interactions, providing a new theoretical basis for its clinical application. Full article
(This article belongs to the Special Issue Molecular Pharmacology of Medicinal Plants)
Show Figures

Figure 1

20 pages, 1354 KB  
Review
Central and Peripheral Sensitization in Temporomandibular Disorders: Proposed Mechanisms of Botulinum Toxin Therapy
by Basit Ali Chaudhry, Christopher L. Robinson, Edoardo Caronna, Freda Dodd-Glover, Amrittej Singh Virk, Mario Fernando Prieto Peres, Hope L. O’Brien, Marcela Romero-Reyes and Sait Ashina
Toxins 2026, 18(1), 28; https://doi.org/10.3390/toxins18010028 - 6 Jan 2026
Viewed by 362
Abstract
Temporomandibular disorders (TMDs) are common musculoskeletal chronic orofacial pain conditions involving peripheral and central sensitization within trigeminal nociceptive pathways, manifesting as mechanical allodynia and functional impairment. Botulinum toxin type A (BoNT-A) has been explored as a treatment targeting both muscle hyperactivity and nociceptive [...] Read more.
Temporomandibular disorders (TMDs) are common musculoskeletal chronic orofacial pain conditions involving peripheral and central sensitization within trigeminal nociceptive pathways, manifesting as mechanical allodynia and functional impairment. Botulinum toxin type A (BoNT-A) has been explored as a treatment targeting both muscle hyperactivity and nociceptive modulation. Preclinical and clinical evidence demonstrate that BoNT-A reduces peripheral neurotransmitter release, neurogenic inflammation, and central neuronal excitability, leading to attenuation of mechanical allodynia in TMD models and patients. Clinical trials show modest and variable analgesic effects, with patients displaying sensory sensitization appearing to respond more favorably, though methodological heterogeneity limits definitive conclusions. Safety concerns related to muscle weakening, changes in bone density, and structural changes underscore the need for standardized protocols optimizing dosing and monitoring, in addition to prospective studies. These findings suggest that BoNT-A may serve as an adjunctive, mechanism-based therapy within multimodal TMD management. Future research should focus on standardized sensory phenotyping and trial design to clarify BoNT-A’s role in modulating central sensitization and improving patient outcomes. Full article
Show Figures

Figure 1

24 pages, 1338 KB  
Review
Cognition, Cytokines, Blood–Brain Barrier, and Beyond in COVID-19: A Narrative Review
by Ana Barajas, Gemma Riquelme-Alacid, América Vera-Montecinos and Belén Ramos
Int. J. Mol. Sci. 2026, 27(1), 546; https://doi.org/10.3390/ijms27010546 - 5 Jan 2026
Viewed by 250
Abstract
Numerous studies report cognitive impairment in COVID-19 patients from the acute to post-acute phases, linked to blood inflammation affecting blood–brain barrier (BBB) permeability and causing leakage of glial and neuronal proteins. However, a clear classification of these cognitive deficits and molecular blood events [...] Read more.
Numerous studies report cognitive impairment in COVID-19 patients from the acute to post-acute phases, linked to blood inflammation affecting blood–brain barrier (BBB) permeability and causing leakage of glial and neuronal proteins. However, a clear classification of these cognitive deficits and molecular blood events over time is still lacking. This narrative review summarizes the neuropsychological consequences of COVID-19 and evidence of altered cytokines and BBB disruption as potential mediators of cognitive impairment across post-infection phases. Post-COVID-19 cognitive dysfunction appears to follow a temporal course, evolving from acute focal deficits in attention, working memory, and executive function to more persistent multidomain impairments. We reviewed key cytokines released into the blood during COVID-19 infection, including antiviral (IFNγ, CXCL1, CXCL10), inflammatory (IL-1β, IL-2, IL-4, IL-6, IL-7, IL-8, IL-10, GM-CSF, TNFα), and monocyte chemoattractants (MCP1/CCL2, MCP3/CCL7, MIP-1α/CCL3, GM-CSF, G-CSF). This analysis shows that several inflammatory and viral cytokines remain elevated beyond the acute phase and are associated with cognitive deficits, including IL-6, IL-13, IL-8, IL-1β, TNFα, and MCP1 in long-term post-COVID-19 patients. In addition, we examined studies analyzing changes over time in neurovascular unit proteins as biomarkers of BBB disruption, including extracellular matrix proteins (PPIA, MMP-9), astrocytes (S100β, GFAP), and neurons (NFL). These proteins are elevated in acute COVID-19 but generally return to control levels within six months, suggesting BBB restoration. However, in patients followed for over a year, BBB disruption persists only in those with cognitive impairment and is associated with systemic inflammation, with TGFβ as a related biomarker. Although cognitive sequelae can persist for over 12 months after SARS-CoV-2 infection, further studies are needed to investigate long-term neurocognitive outcomes and their link to sustained proinflammatory cytokine elevation and brain impact. Full article
(This article belongs to the Section Molecular Neurobiology)
Show Figures

Figure 1

14 pages, 2000 KB  
Article
Virtual Screening–Guided Discovery of a Selective TRPV1 Pentapeptide Inhibitor with Topical Anti-Allergic Efficacy
by Lulu Liu, Wenqian Hou, Qinyi He, Fuchu Yuan, Changrun Guo, Ruxia Liu, Biao Huang, Atikan Wubulikasimu and Mingqiang Rong
Cells 2026, 15(1), 79; https://doi.org/10.3390/cells15010079 - 3 Jan 2026
Viewed by 333
Abstract
Transient receptor potential vanilloid 1 (TRPV1) channels are critical mediators of cutaneous allergic inflammation, contributing to pruritus, erythema, and hypersensitivity in allergic skin disorders. Despite their therapeutic potential, clinically available TRPV1 inhibitors remain limited, leaving effective treatment options lacking. Here, we focused on [...] Read more.
Transient receptor potential vanilloid 1 (TRPV1) channels are critical mediators of cutaneous allergic inflammation, contributing to pruritus, erythema, and hypersensitivity in allergic skin disorders. Despite their therapeutic potential, clinically available TRPV1 inhibitors remain limited, leaving effective treatment options lacking. Here, we focused on a self-constructed virtual pentapeptide library and identified a highly selective TRPV1 inhibitor that demonstrated pronounced anti-allergic effects in human skin assays. Through structure-based virtual screening of approximately 200,000 peptide conformations, five candidate pentapeptides, especially P5 (DQKNC), exhibited the inhibition. Electrophysiological recordings showed that P5 inhibited TRPV1 currents with nanomolar potency, while exhibiting negligible effects on major cardiac and neuronal ion channels, highlighting its favorable selectivity and safety profile. In capsaicin-induced human skin hypersensitivity tests, topical P5 significantly reduced burning pain, erythema, and pruritus, with simultaneous application providing the most robust relief. These findings reveal a short peptide with strong TRPV1 selectivity and demonstrable efficacy in alleviating skin inflammation and allergic responses, supporting the notion that rationally designed pentapeptides may represent promising topical therapeutics for allergic skin disorders. Full article
Show Figures

Figure 1

15 pages, 842 KB  
Review
Neuroimmune Regulation by TRPM2 Channels
by Xuming Zhang and Mitali Malhotra
Cells 2026, 15(1), 76; https://doi.org/10.3390/cells15010076 - 1 Jan 2026
Viewed by 347
Abstract
Mutual interaction between the nervous and immune systems underpins many pathophysiological processes. Transient Receptor Potential Melastatin 2 (TRPM2) channels are abundantly expressed in both systems, acting as a critical interface of neuroimmune interaction. TRPM2 channels in immune cells participate in innate immunity and [...] Read more.
Mutual interaction between the nervous and immune systems underpins many pathophysiological processes. Transient Receptor Potential Melastatin 2 (TRPM2) channels are abundantly expressed in both systems, acting as a critical interface of neuroimmune interaction. TRPM2 channels in immune cells participate in innate immunity and immune inflammation by acting as an oxidative stress and metabolic sensor. TRPM2 in neurons functions not only as an oxidative sensor but also a temperature sensor and a pain transducer critical to neuronal death, temperature sensing, thermoregulation, and chronic pain. Cooperation between immune and neuronal TRPM2 influences the outcome of neuroimmune interaction and many diseases such as infection, inflammation, ischemic stroke, pain, and neurodegenerative diseases. Improved understanding of neuronal and immune TRPM2 interaction is essential for therapeutic interventions for the treatment of diseases mediated by TRPM2 channels. Full article
(This article belongs to the Special Issue Transient Receptor Potential (TRP) Channels and Health and Disease)
Show Figures

Figure 1

27 pages, 4897 KB  
Article
Inflammatory Co-Regulation of Voltage-Gated Sodium Channels and Na,K-ATPase in Metastatic Breast Cancer
by Steven D. Scahill, Kelly Jean Sherman and Dennis Paul
Int. J. Mol. Sci. 2026, 27(1), 424; https://doi.org/10.3390/ijms27010424 - 31 Dec 2025
Viewed by 124
Abstract
Sodium regulation is a potentially major driver of cancer metastasis. Voltage-gated sodium channels (VGSCs) and Na,K-ATPase are sodium transporters that are upregulated in many advanced carcinomas and are implicated as metastatic drivers. However, little is known about what drives this overexpression, how these [...] Read more.
Sodium regulation is a potentially major driver of cancer metastasis. Voltage-gated sodium channels (VGSCs) and Na,K-ATPase are sodium transporters that are upregulated in many advanced carcinomas and are implicated as metastatic drivers. However, little is known about what drives this overexpression, how these proteins influence metastatic behavior, or whether these complementary sodium transporters are co-regulated in cancer. Using sodium transporter regulation in healthy neurons as a model, the present study demonstrated that the inflammatory mediator tumor necrosis factor alpha (TNFα) affects the expression of VGSCs and Na,K-ATPase in an in vitro model of metastatic breast cancer. Acute TNFα challenge increased RNA for sodium transporter subtypes by 20–100%, TNFα reduced the overall expression of VGSCs by 20–30% at all time-points examined, and long-term administration increased nuclear localization of the α1 subtype of Na,K-ATPase while increasing the overall expression of the α3 subtype. This study established that VGSCs and Na,K-ATPase are co-regulated by TNFα at the RNA level, and it was demonstrated that both TNFα and sodium transport-blocking drugs can significantly impact cellular metastasis-like behavior. Together these data are evidence that inflammation in metastatic breast cancer co-regulates the expression of VGSCs and Na,K-ATPase, and this regulatory system may contribute to carcinogenesis. Full article
(This article belongs to the Special Issue Voltage-Gated Ion Channels and Human Diseases)
Show Figures

Figure 1

22 pages, 2194 KB  
Review
Objectively Diagnosing Pulpitis: Opportunities and Methodological Challenges in the Development of Point-of-Care Assays
by Darren Walsh, Ross Quigley, Anthonia Ekperuoh and Henry F. Duncan
Int. J. Mol. Sci. 2026, 27(1), 355; https://doi.org/10.3390/ijms27010355 - 29 Dec 2025
Viewed by 429
Abstract
Pulpitis is the inflammatory response of the dental pulp to microbial challenge and can range from mild to severe in nature, with severe pulpitis traditionally resulting in pulp removal and root canal treatment (RCT). In the pursuit of more conservative treatments, recent clinical [...] Read more.
Pulpitis is the inflammatory response of the dental pulp to microbial challenge and can range from mild to severe in nature, with severe pulpitis traditionally resulting in pulp removal and root canal treatment (RCT). In the pursuit of more conservative treatments, recent clinical practice guidelines have recommended strategies that preserve the vitality of the dental pulp, rather than RCT, when possible. This has increased the focus on improving the accuracy of pulp diagnosis, which will direct treatment and improve management outcomes. Unfortunately, current point-of-care (PoC) tools are subjective, lack discrimination and rely on the stimulation of pulpal neurons, limiting dentists’ ability to objectively identify the level of inflammation. Molecular biomarker assessment has the potential to dynamically analyse pulpitis and correlate this with inflammatory thresholds and treatment outcomes. Numerous chemokines, cytokines, proteases and growth factors exhibit altered expression during pulpitis and can be collected intraoperatively as part of routine dental treatment. Although current data indicate several markers that could be used as next-generation diagnostic chairside tools for pulpitis, there are currently no commercial kits. Considering the interest in vital pulp treatment, there is an urgent need to engage researchers, industry, dentists and other stakeholders in the development of PoC diagnostic assays for pulpitis. Full article
(This article belongs to the Section Molecular Pathology, Diagnostics, and Therapeutics)
Show Figures

Figure 1

19 pages, 2206 KB  
Article
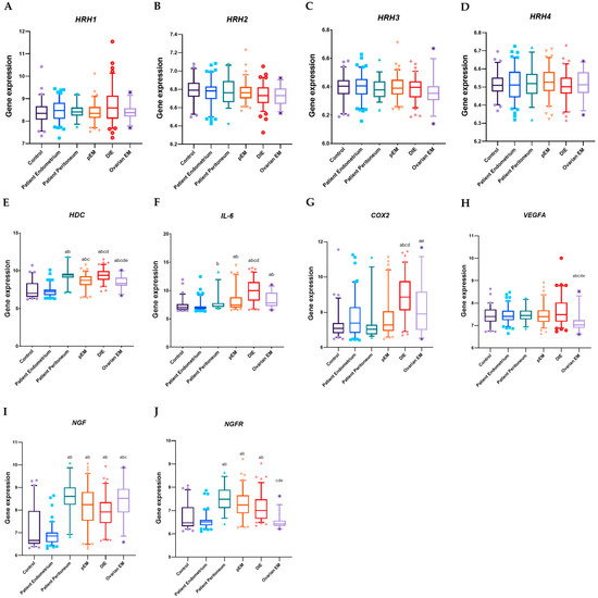
The Histamine-Associated Inflammatory Landscape of Endometriosis: Molecular Profiling of HDC, HRH1-HRH4, and Cytokines Across Lesion Subtypes
by Renata Voltolini Velho, Julia Hannah Freitag, Arie Maeve Brueckner, Laura Thalmeier, Jonathan Pohl and Sylvia Mechsner
Int. J. Mol. Sci. 2026, 27(1), 212; https://doi.org/10.3390/ijms27010212 - 24 Dec 2025
Viewed by 388
Abstract
Pain in endometriosis involves not only nociceptive but also neuropathic and neurogenic components, reflecting its complex nature. Histamine, a biogenic amine, has emerged as a critical mediator connecting inflammation and nerve sensitization. This study aimed to characterize histamine receptor (HRH1–HRH4) expression, localization, and [...] Read more.
Pain in endometriosis involves not only nociceptive but also neuropathic and neurogenic components, reflecting its complex nature. Histamine, a biogenic amine, has emerged as a critical mediator connecting inflammation and nerve sensitization. This study aimed to characterize histamine receptor (HRH1–HRH4) expression, localization, and related inflammatory mediators in peritoneal, deep infiltrating, and ovarian endometriosis. Gene expression datasets were analyzed, and immunofluorescence staining of endometriotic lesions was performed using immune and neuronal markers. Histamine and its metabolite methylhistamine were quantified in serum, peritoneal fluid, and urine samples. HDC expression was significantly elevated in all endometriotic lesions compared with controls (all p < 0.01), paralleling increased IL-6, COX-2, NGF, and NGFR levels (p < 0.0001). In contrast, HRH1–HRH4 transcript levels showed no significant differences between groups. Immunofluorescence demonstrated robust HRH1–HRH4 protein expression in epithelial, immune, and nerve fibers, with subtype-specific colocalization patterns. Serum histamine concentrations were significantly higher in endometriosis patients than controls (0.484 vs. 0.153 ng/mg protein; p = 0.0014), whereas peritoneal histamine and urinary methylhistamine showed no group differences. Overall, these findings highlight histamine signaling as a potentially important component of endometriosis pathophysiology and point toward new directions for mechanistic studies and therapeutic exploration. Full article
(This article belongs to the Special Issue Endometriosis: Current Trends and Research Developments)
Show Figures

Figure 1

41 pages, 5589 KB  
Review
Micro- and Nanoplastics and Functional Nutrients in Human Health: Epigenetic Mechanisms and Cellular Resilience Signaling in Brain Insulin Resistance and the Risk of Alzheimer’s Disease
by Cinzia Lombardo, Nicolò Musso, Paolo Giuseppe Bonacci, Gabriella Lupo, Carmelina Daniela Anfuso, Eleonora Di Fatta, Raffaele Ferri, Miroslava Majzúnová, Maria Concetta Scuto and Angela Trovato Salinaro
Int. J. Mol. Sci. 2026, 27(1), 169; https://doi.org/10.3390/ijms27010169 - 23 Dec 2025
Viewed by 357
Abstract
The therapeutic potential of functional nutrients has garnered considerable attention for enhancing resilience signaling and counteracting the damage to human health caused by microplastic pollutants. The intricate interactions between microplastics (MPs) and nanoplastics (NPs) and functional nutrients, including polyphenols, flavonoids, phenylpropanoids, phenolic acids, [...] Read more.
The therapeutic potential of functional nutrients has garnered considerable attention for enhancing resilience signaling and counteracting the damage to human health caused by microplastic pollutants. The intricate interactions between microplastics (MPs) and nanoplastics (NPs) and functional nutrients, including polyphenols, flavonoids, phenylpropanoids, phenolic acids, diterpenoids, and triterpenoids, have been shown to improve blood–brain barrier (BBB) homeostasis and brain function by inhibiting oxidative stress, ferroptosis, and inflammation linked to the pathogenesis of metabolic and brain disorders. Interestingly, nutrients exhibit biphasic dose–response effects by activating the nuclear factor erythroid 2-related factor 2 (Nrf2) pathway and stress-resilience proteins at minimum doses, thereby preventing or blocking MP and NP-induced damage. Notably, chronic exposure to environmental pollutants causes aberrant regulation of NFE2L2 gene and related antioxidant signaling, which can exacerbate selective susceptibility to brain insulin resistance under inflammatory conditions. This, in turn, impairs glucose metabolism and facilitates β-amyloid (Aβ) plaque synthesis leading to the onset and progression of Alzheimer’s disease (AD), also known as “Type 3 diabetes”. This pathological process triggered by oxidative stress, inflammation, and ferroptosis creates a vicious cycle that ultimately contributes to neuronal damage and loss. The review aims to investigate the therapeutic potential of functional nutrients targeting the Nrf2 pathway and stress resilience proteins to regulate epigenetic alterations, and to explore the underlying molecular mechanisms using innovative in vitro platforms for the development of promising preventive strategies and personalized nutritional interventions to attenuate oxidative stress, ferroptosis, and inflammation, with the goal of ultimately improving clinical outcomes. Full article
(This article belongs to the Special Issue Bioactive Compounds in Neurodegenerative Diseases)
Show Figures

Figure 1

18 pages, 1824 KB  
Article
Chemical Characterization of Phenol-Rich Olive Leaf Extract (Olea europaea L. cv. Ogliarola) and Its Neuro-Protective Effects on SH-SY5Y Cells from Oxidative Stress, Lipid Peroxidation, and Glycation
by Maria Giovanna Rizzo, Benedetta Pizziconi, Kristian Riolo, Giovanna Cafeo, Alessia Giannetto, Marina Russo, Caterina Faggio and Laura Dugo
Foods 2026, 15(1), 43; https://doi.org/10.3390/foods15010043 - 23 Dec 2025
Viewed by 322
Abstract
Olive leaf phenols are recognized for their antioxidant and anti-inflammatory properties. A hydroalcoholic extract of Olea europaea L. cv. Ogliarola leaves was recovered with an ultrasound-assisted extraction using green solvents. Phenol content was investigated by means of liquid chromatography coupled with photodiode array [...] Read more.
Olive leaf phenols are recognized for their antioxidant and anti-inflammatory properties. A hydroalcoholic extract of Olea europaea L. cv. Ogliarola leaves was recovered with an ultrasound-assisted extraction using green solvents. Phenol content was investigated by means of liquid chromatography coupled with photodiode array and mass spectrometer detectors. Extract cytotoxicity was determined in SH-SY5Y neuroblastoma cells by the MTT assay to establish non-cytotoxic concentrations. The effects of the extract under lipopolysaccharide-induced conditions were investigated by assessing oxidative stress and lipid peroxidation through malondialdehyde quantification using the thiobarbituric acid assay. Antiglycation capacity was examined with a BSA methylglyoxal model. In parallel, quantitative real-time PCR was employed to assess the modulation of inflammation- and oxidative stress-related genes (TLR4, NF-κB, IL-6, IL-8, Nrf2, and HO-1), providing molecular insights into the extract’s bioactivity. The extract did not exert cytotoxic effects at the selected concentrations and with modulated oxidative stress, lipid peroxidation, protein glycation, and gene expression profiles associated with inflammatory and redox pathways in neuronal cells. These data demonstrated that olive leaf extract, rich in phenols, influenced multiple biochemical and molecular endpoints relevant to neuronal physiology, supporting its potential application as a nutraceutical ingredient for the modulation of oxidative and glycation-related processes. Full article
(This article belongs to the Section Nutraceuticals, Functional Foods, and Novel Foods)
Show Figures

Figure 1

Back to TopTop