error_outline You can access the new MDPI.com website here. Explore and share your feedback with us.
 
 
Sign in to use this feature.

Years

Between: -

Subjects

remove_circle_outline
remove_circle_outline
remove_circle_outline
remove_circle_outline
remove_circle_outline
remove_circle_outline
remove_circle_outline
remove_circle_outline
remove_circle_outline

Journals

remove_circle_outline
remove_circle_outline
remove_circle_outline
remove_circle_outline
remove_circle_outline
remove_circle_outline
remove_circle_outline
remove_circle_outline
remove_circle_outline
remove_circle_outline
remove_circle_outline
remove_circle_outline
remove_circle_outline
remove_circle_outline
remove_circle_outline
remove_circle_outline
remove_circle_outline
remove_circle_outline
remove_circle_outline
remove_circle_outline
remove_circle_outline
remove_circle_outline
remove_circle_outline
remove_circle_outline
remove_circle_outline
remove_circle_outline
remove_circle_outline

Article Types

Countries / Regions

remove_circle_outline
remove_circle_outline
remove_circle_outline
remove_circle_outline
remove_circle_outline
remove_circle_outline
remove_circle_outline
remove_circle_outline
remove_circle_outline
remove_circle_outline

Search Results (5,141)

Search Parameters:
Keywords = natural storage

Order results
Result details
Results per page
Select all
Export citation of selected articles as:
23 pages, 2194 KB  
Article
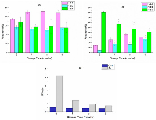
Advanced Preservation Strategies for Inoculants: A Lipid-Biophysical Approach to Bradyrhizobium japonicum Stability
by Luciana Nieva-Muratore, Adriana Belén Cesari, Eugenia Reynoso, Marcela Díaz, Leonel Malacrida, Marta Susana Dardanelli and Natalia Soledad Paulucci
Agronomy 2026, 16(2), 159; https://doi.org/10.3390/agronomy16020159 - 8 Jan 2026
Abstract
The intensive use of chemical fertilizers in soybean (Glycine max) cultivation has caused significant environmental degradation, underscoring the urgent need for sustainable alternatives. In Argentina, Bradyrhizobium japonicum E109 is widely employed as a liquid bioinoculant, yet its efficiency is limited by [...] Read more.
The intensive use of chemical fertilizers in soybean (Glycine max) cultivation has caused significant environmental degradation, underscoring the urgent need for sustainable alternatives. In Argentina, Bradyrhizobium japonicum E109 is widely employed as a liquid bioinoculant, yet its efficiency is limited by loss of viability during storage. This study investigated the physiological and biophysical mechanisms underlying membrane adaptation of B. japonicum E109 under storage stress and evaluated lipid supplementation as a stabilization strategy. During six months of liquid storage at 28 °C, bacterial viability (Log CFU mL−1) declined from 10.0 to 7.7, accompanied by morphological collapse and a 29% reduction in membrane fluorescence polarization, indicating increased fluidity. Fatty acid analysis revealed a drastic decrease of unsaturated 18:1 (from 80% to 40%) and a 300–400% increase in saturated 18:0, reducing the U/S ratio from 4 to 1. Spectral phasor analysis confirmed a shift in the lipid microenvironment from an ordered to a disordered state. Supplementation with 400 µM of stearic acid (18:0) restored membrane rigidity, lowered the U/S ratio to 1.5, and improved thermal tolerance. After one month of storage, 18:0-treated cultures maintained 8.0 Log CFU mL−1 and preserved viability after exposure to 37 °C, whereas controls dropped to 3.8 Log CFU mL−1. These results identify lipid remodeling as a key determinant of B. japonicum stability and demonstrate that exogenous 18:0 supplementation mimics natural adaptation, preventing membrane fluidization and enhancing inoculant shelf-life. This lipid-biophysical approach provides a rational framework for developing next generation, more resilient rhizobia formulations for sustainable agriculture. Full article
Show Figures

Figure 1

33 pages, 6654 KB  
Article
Ecological Restoration Zoning Based on the “Importance–Vulnerability” Framework for Ecosystem Services
by Nan Li, Zezhou Hu, Miao Zhang, Bei Wang and Tian Zhang
Sustainability 2026, 18(2), 648; https://doi.org/10.3390/su18020648 - 8 Jan 2026
Abstract
The Qinling–Bashan mountainous region and its surrounding areas in Shaanxi Province constitute a critical ecological security barrier and significant socio-economic zone within China, currently experiencing mounting ecological stress from both natural processes and anthropogenic activities. This study proposes an ecological restoration zoning framework [...] Read more.
The Qinling–Bashan mountainous region and its surrounding areas in Shaanxi Province constitute a critical ecological security barrier and significant socio-economic zone within China, currently experiencing mounting ecological stress from both natural processes and anthropogenic activities. This study proposes an ecological restoration zoning framework built upon assessments of ecological vulnerability (EV) and ecosystem service value (ESV). The InVEST model was used to quantify major ecosystem services, while the Vulnerability Scoping Diagram (VSD) model evaluated ecological vulnerability. Both the ESV and EV layers were classified using the natural breaks method and aggregated at the township level to delineate restoration zones. Unlike previous studies relying on subjective judgment, this study constructs a standardized ‘vulnerability–service value’ decision matrix for the Qinling–Bashan region, providing a clear technical pathway for spatial restoration. Key findings include the following: (1) Spatial Vulnerability Pattern: The Qinling and Bashan mountain cores exhibit predominantly low vulnerability (potential and slight), while severe vulnerability is concentrated in the urbanizing Guanzhong Plain, emphasizing the need for urban ecological restoration. (2) Dominant Ecosystem Services: Carbon storage and net primary productivity (NPP) together account for 93% of the total ESV, highlighting the importance of forest conservation for national climate regulation. (3) Zoning Strategy: Four functional zones were defined, with the largest being the ecological conservation zone (44.8%), while a smaller ecological restoration zone (2.8%) in urban peripheries requires targeted intervention. Full article
Show Figures

Figure 1

19 pages, 6951 KB  
Article
Smart Packaging System with Betalains and Rosemary Essential Oil to Extend Food Shelf Life and Monitor Quality During Storage
by Noemi Takebayashi-Caballero, Carlos Regalado-González, Aldo Amaro Reyes, Silvia Lorena Amaya-Llano, José Ángel Granados-Arvizu, Genoveva Hernández Padrón, Víctor Castaño-Meneses and Monserrat Escamilla-García
Polysaccharides 2026, 7(1), 5; https://doi.org/10.3390/polysaccharides7010005 - 8 Jan 2026
Abstract
Smart packaging is an alternative that may not only replace plastic containers, but also enable food quality monitoring. In this study, an innovative packaging system was developed using a starch-chitosan polymer matrix, infused with rosemary essential oil (REO) as an antimicrobial agent, and [...] Read more.
Smart packaging is an alternative that may not only replace plastic containers, but also enable food quality monitoring. In this study, an innovative packaging system was developed using a starch-chitosan polymer matrix, infused with rosemary essential oil (REO) as an antimicrobial agent, and betalain extract as a food quality indicator. Betalain extract, derived from beet waste, can change color with pH, making it a useful natural indicator for monitoring food freshness. This packaging system is beneficial for foods that produce metabolites related to degradation, which alter pH and allow for the visual detection of changes in product quality. The objective of this work was to develop a smart packaging system with betalains and rosemary essential oil (REO) to extend food shelf life and monitor quality during storage. REO demonstrated antimicrobial activity, but its effect did not differ significantly among the microorganisms tested. On the other hand, the betalain extract (35.75% BE v/v) completely inhibited the growth of Listeria innocua and Salmonella spp. at concentrations of 50% (v/v; 0.82 ± 0.04 mg betalain/g), showing its potential as an antimicrobial agent. The interactions between chitosan and betalains were primarily associated with electrostatic interactions between the positively charged amino groups of chitosan and the negatively charged carboxyl groups of betalains. In contrast to starch, these interactions could result from interactions between the C=O groups of betalain carboxyls and water, which, in turn, interact with the hydroxyl groups of starch through hydrogen bonding. Despite the results obtained in this study, certain limitations need to be addressed in future research, such as the variability in antimicrobial activity among different bacterial strains, which could reveal differences in the efficacy of betalains and essential oils against other pathogens. Full article
Show Figures

Graphical abstract

26 pages, 3467 KB  
Article
Antimicrobial Effect of Oregano Essential Oil in Na-Alginate Edible Films for Shelf-Life Extension and Safety of Feta Cheese
by Angeliki Doukaki, Aikaterini Frantzi, Stamatina Xenou, Fotoula Schoina, Georgia Katsimperi, George-John Nychas and Nikos Chorianopoulos
Pathogens 2026, 15(1), 65; https://doi.org/10.3390/pathogens15010065 - 8 Jan 2026
Abstract
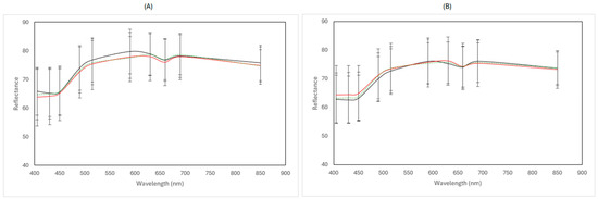
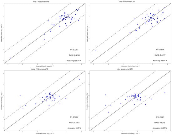
The use of natural antimicrobials and advanced sensor technologies is increasingly explored to improve the safety and quality of dairy products like cheese. The current work evaluated the effect of sodium alginate edible films enriched with oregano essential oil (EO) on the microbial [...] Read more.
The use of natural antimicrobials and advanced sensor technologies is increasingly explored to improve the safety and quality of dairy products like cheese. The current work evaluated the effect of sodium alginate edible films enriched with oregano essential oil (EO) on the microbial spoilage of Feta cheese and the fate of Escherichia coli O157:H7 and Listeria monocytogenes during storage. Samples were inoculated with approximately a 4 log CFU/g of pathogens and subsequently wrapped with edible films containing EO or left without, serving as controls. Samples were stored under aerobic and vacuum conditions at 4 and 12 °C. Microbiological analyses, pH, and sensory attributes were monitored during storage, while multispectral imaging (MSI) devices were used for rapid, non-invasive quality assessment. EO films moderately suppressed spoilage and pathogen survival, particularly under aerobic conditions. The MSI spectral data coupled with machine learning models provided reasonable results for the estimation of yeast and mould populations, with the best models coming from aerobic conditions, from benchtop-MSI data, with R2 = 0.726 and RMSE = 0.426 from the Neural Networks model, and R2 = 0.661 and RMSE = 0.696 from the LARS model. The results highlight the combined potential of natural antimicrobial films and MSI-based sensors for extending Feta cheese shelf life and enabling rapid, non-destructive monitoring, respectively. Full article
(This article belongs to the Special Issue Diagnosis, Immunopathogenesis and Control of Bacterial Infections)
Show Figures

Figure 1

16 pages, 3832 KB  
Article
High-Capacitance Gold Nanoparticles from Rhus coriaria: Green Synthesis, Characterization and Electrochemical Evaluation for Supercapacitor Technologies
by Mehmet Firat Baran, Elchin Huseynov, Aziz Eftekhari, Abdulkadir Levent, Erdal Ertaş, Taras Kavetskyy, Ondrej Šauša, Evgeny Katz and Oleh Smutok
Micromachines 2026, 17(1), 82; https://doi.org/10.3390/mi17010082 - 8 Jan 2026
Abstract
The structural and electrochemical properties of gold nanoparticles biosynthesized from Rhus coriaria L. (Rc@AuNPs) were comprehensively investigated and characterized. R. coriaria (sumac) served as a natural gold reducing and capping agent due to its rich polyphenolic and phytochemical composition, enabling the sustainable, low-cost, [...] Read more.
The structural and electrochemical properties of gold nanoparticles biosynthesized from Rhus coriaria L. (Rc@AuNPs) were comprehensively investigated and characterized. R. coriaria (sumac) served as a natural gold reducing and capping agent due to its rich polyphenolic and phytochemical composition, enabling the sustainable, low-cost, and environmentally friendly synthesis of Rc@AuNPs. The electrochemical behavior of the hybrid material was evaluated using cyclic voltammetry (CV), galvanostatic charge–discharge (GCD), and electrochemical impedance spectroscopy (EIS). Rc@AuNPs exhibited specific capacitances of 129.48 F/g, 156.32 F/g, and 280.37 F/g in H2SO4, Na2SO4, and KOH electrolytes, respectively, indicating strong potential for supercapacitor and energy-storage applications. GCD analysis further showed Csp values of 107.69 F/g (H2SO4), 133.23 F/g (Na2SO4), and 348.34 F/g (KOH), confirming the highest charge-storage performance in basic media. EIS measurements supported these results, yielding equivalent series resistance (ESR) values of 67.96 Ω in H2SO4, 64.42 Ω in Na2SO4, and a notably lower 24.43 Ω in KOH, consistent with its higher ionic conductivity and more efficient charge transfer. Overall, the superior Csp and low ESR observed in KOH demonstrate the excellent capacitive behavior of Rc@AuNPs. These biosynthesized gold nanoparticles represent a promising and sustainable electrode material for high-performance energy-storage technologies. Full article
(This article belongs to the Section D:Materials and Processing)
Show Figures

Figure 1

18 pages, 777 KB  
Article
Ecofriendly Biosurfactant-Containing Solid Shampoo Formulation for Pets
by Ana Paula B. Cavalcanti, Gleice P. de Araújo, Fabíola Carolina G. de Almeida, Káren Gercyane O. Bezerra, Maria da Glória C. da Silva, Alessandra Sarubbo, Rita de Cássia F. Soares da Silva and Leonie A. Sarubbo
Cosmetics 2026, 13(1), 11; https://doi.org/10.3390/cosmetics13010011 - 8 Jan 2026
Abstract
The growing demand for sustainable cosmetic products and the rapid expansion of the pet care market have driven the search for environmentally friendly, safe, and effective alternatives to conventional formulations. In this study, an ecofriendly solid shampoo for pets was developed using exclusively [...] Read more.
The growing demand for sustainable cosmetic products and the rapid expansion of the pet care market have driven the search for environmentally friendly, safe, and effective alternatives to conventional formulations. In this study, an ecofriendly solid shampoo for pets was developed using exclusively natural ingredients and a microbial biosurfactant produced by Starmerella bombicola ATCC 22214 as a surface-active component. The biosurfactant was combined with renewable anionic and nonionic surfactants, conditioning agents, natural oils and butters, and minimal water content to obtain a compact, solid formulation. The shampoo was produced through a controlled multi-phase process and subsequently characterized by physicochemical, microbiological, toxicological, and performance analyses. The formulation exhibited stable pH values suitable for pet skin, low moisture content, absence of free alkalinity, high solid content, and satisfactory foaming capacity. Cleaning efficiency tests demonstrated effective removal of artificial sebum from pet fur while preserving softness and shine. Microbiological assays confirmed the absence of bacterial and fungal contamination, and toxicological evaluations revealed no cytotoxicity and low eye irritation potential. In addition, the shampoo showed 100% biodegradability and maintained physicochemical and organoleptic stability over six months of storage. Overall, the results demonstrate that the developed solid shampoo represents an innovative, safe, and biodegradable alternative that reduces water consumption and plastic packaging, contributing to sustainable development in the pet cosmetics sector. Full article
(This article belongs to the Special Issue Feature Papers in Cosmetics in 2025)
Show Figures

Figure 1

33 pages, 3553 KB  
Review
Synthetic Strategies for Nitramines: From Energetic Materials to Atmospheric Byproducts
by Simen Gjelseth Antonsen, Claus Jørgen Nielsen, Hans Olav Hovtun Palm and Yngve Henning Stenstrøm
Reactions 2026, 7(1), 4; https://doi.org/10.3390/reactions7010004 - 7 Jan 2026
Abstract
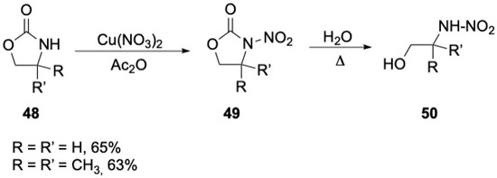
Nitramines are nitrogen-containing organic compounds with the formula R1R2N–NO2. They are well-known as explosives and have been produced industrially for more than a century. A few nitramine-containing natural products have also been identified in recent years. Nitramines [...] Read more.
Nitramines are nitrogen-containing organic compounds with the formula R1R2N–NO2. They are well-known as explosives and have been produced industrially for more than a century. A few nitramine-containing natural products have also been identified in recent years. Nitramines have also found their way into specific synthetic procedures, usually as intermediates, and for the last decades, the implementation of amine-based carbon capture and storage (CCS) technologies to mitigate CO2 emissions from fossil fuel combustion is of particular concern since small amounts are produced. Both environmental and health implications are of particular interest, and little is known today. The need for efficient and safe synthetic procedures is, therefore, vital for further research in the field. The present review gives a detailed summary of published methods and research post-millennium. Many new as well as well-established methods are presented. Representative examples with basic conditions and yields are given. Finally, indications for future research are discussed. Full article
(This article belongs to the Special Issue Feature Papers in Reactions in 2025)
Show Figures

Graphical abstract

23 pages, 3094 KB  
Article
Changes in the Amino Acid Composition of Bee-Collected Pollen During 15 Months of Storage in Fresh-Frozen and Dried Forms
by Aurita Bračiulienė, Rosita Stebuliauskaitė, Mindaugas Liaudanskas, Vaidotas Žvikas, Neringa Sutkevičienė and Sonata Trumbeckaitė
Foods 2026, 15(2), 207; https://doi.org/10.3390/foods15020207 - 7 Jan 2026
Abstract
Bee pollen (BP) is a nutritionally valuable natural product whose biological activity is strongly influenced by its amino acid profile. This study evaluated qualitative and quantitative changes in free amino acids in Lithuanian BP subjected to freezing (−20 °C and −80 °C) or [...] Read more.
Bee pollen (BP) is a nutritionally valuable natural product whose biological activity is strongly influenced by its amino acid profile. This study evaluated qualitative and quantitative changes in free amino acids in Lithuanian BP subjected to freezing (−20 °C and −80 °C) or low-temperature drying and stored for 15 months. Seventeen amino acids, including all nine essential amino acids, were identified using UHPLC-ESI-MS/MS, accounting for 47–48% of the total amino acid content (TAAC). Arginine, proline, and aspartic acid were the predominant free amino acids. Both frozen and dried samples showed a statistically significant decrease in TAAC after nine months of storage (p < 0.05), resulting in a 1.5–1.7-fold reduction after prolonged storage. Frozen storage at −20 °C and −80 °C better preserved free amino acids, particularly alanine, glutamic acid, and proline, whereas dried BP stored at room temperature exhibited accelerated degradation. Sulfur-containing amino acids, especially cysteine and methionine, were highly unstable under all storage conditions. These results provide practical guidance for selecting storage strategies that minimize amino acid losses and help maintain the nutritional quality of bee pollen during long-term storage. Full article
Show Figures

Figure 1

17 pages, 889 KB  
Article
Basil as a Green Alternative to Synthetic Additives in Clean Label Gilthead Sea Bream Patties
by Branislav Šojić, Sandra Zavadlav, Danijela Bursać Kovačević, Nadežda Seratlić, Sanja Vojvodić, Predrag Ikonić, Tatjana Peulić, Nemanja Teslić, Miloš Županjac and Branimir Pavlić
Foods 2026, 15(2), 198; https://doi.org/10.3390/foods15020198 - 6 Jan 2026
Abstract
This study investigated the effectiveness of basil (Ocimum basilicum L.) extract obtained by hydrodistillation (EO) and lipid extract (LE) obtained via supercritical fluid extraction in preserving the quality of ground fish patties during refrigerated storage. Gilthead sea bream (Sparus aurata) [...] Read more.
This study investigated the effectiveness of basil (Ocimum basilicum L.) extract obtained by hydrodistillation (EO) and lipid extract (LE) obtained via supercritical fluid extraction in preserving the quality of ground fish patties during refrigerated storage. Gilthead sea bream (Sparus aurata) patties were formulated with varying concentrations of EO and LE and evaluated over three days at 4 °C. The chemical composition of the extracts, analyzed by GC-MS, revealed linalool, eucalyptol, and τ-cadinol as dominant bioactive compounds, with EO richer in monoterpenes and LE in sesquiterpenes. Both extracts significantly reduced lipid oxidation (TBARS) and protein oxidation (thiol content), with the strongest antioxidative effect observed in patties containing 0.150 µL/g of LE. Color parameters (L*, a*, b*, ΔE) were moderately influenced, without adverse effects on product appearance. pH and water activity values remained stable across treatments, while total volatile basic nitrogen (TVB-N) levels confirmed delayed spoilage in extract-treated patties. Results highlight the potential of basil extracts, especially LE obtained by SFE, as effective natural antioxidants in fish-based products. These findings support the development of clean-label, health-promoting products tailored to individual needs, and show that ground fish porridge has promise as a viable material for the production of innovative seafood products. Full article
Show Figures

Figure 1

21 pages, 1635 KB  
Review
Exploring the Potential of Lupin Fermentation with Exopolysaccharide-Producing Lactic Acid Bacteria to Enhance Techno-Functional Properties
by Dhananga Senanayake, Peter J. Torley, Jayani Chandrapala and Netsanet Shiferaw Terefe
Fermentation 2026, 12(1), 34; https://doi.org/10.3390/fermentation12010034 - 6 Jan 2026
Viewed by 24
Abstract
Lupin (Lupinus spp.), a legume known for its high protein content, holds great promise as a sustainable protein source to meet future global demands. Despite its nutritional benefits, including substantial dietary fibre and bioactive compounds, lupin remains underutilised in human diets due [...] Read more.
Lupin (Lupinus spp.), a legume known for its high protein content, holds great promise as a sustainable protein source to meet future global demands. Despite its nutritional benefits, including substantial dietary fibre and bioactive compounds, lupin remains underutilised in human diets due to several techno-functional and sensory limitations. This review delves into the techno-functional limitations of lupin, which include poor foaming capacity, low water and oil absorption, inadequate emulsification properties, and poor solubility. Lupin’s techno-functional limits are tied to the compact, heat-stable nature of its conglutin storage proteins and high insoluble fibre content. While research has been conducted on fermenting other legumes such as soybeans, chickpeas, peas, and lentils with Exopolysaccharide (EPS) producing bacteria, its application to lupin remains largely unexplored. Crucially, this work is one of the first reviews to exclusively link lupin’s unique protein and fibre structure with the specific polymer chemistry of bacterial EPS as a targeted modification strategy. Current research findings suggest that EPS-producing Lactic Acid Bacteria (LAB) fermentation can significantly improve the techno-functional properties of legumes, indicating strong potential for similar benefits with lupin. The analysis highlights various studies demonstrating the ability of EPS-producing LAB to improve water retention, emulsification, and overall palatability of legume-based products. Furthermore, it emphasises the need for continued research in the realm of fermentation with EPS-producing bacteria to enhance the utilisation of lupin in food applications. By addressing these challenges, fermented lupin could become a more appealing and nutritious option, contributing significantly to global food security and nutrition. Full article
(This article belongs to the Special Issue Feature Review Papers on Fermentation for Food and Beverages 2025)
Show Figures

Figure 1

16 pages, 4196 KB  
Article
A Green Approach to Bio-Based Active Packaging: Grape Skin Extract-Synthesized AgNPs for Food Preservation
by Wenjia Yin, Yongzhen Lei, Jiayi Wang, Qin Lei, Wenxi Yu and Siyu Ou
Materials 2026, 19(2), 218; https://doi.org/10.3390/ma19020218 - 6 Jan 2026
Viewed by 28
Abstract
This study aimed to develop an environmentally friendly composite film with effective antibacterial and preservation properties. Silver nanoparticles (AgNPs) were green-synthesized using grape skin extract as a natural reducing agent and incorporated into a PVA/chitosan matrix. The composition of the extract and the [...] Read more.
This study aimed to develop an environmentally friendly composite film with effective antibacterial and preservation properties. Silver nanoparticles (AgNPs) were green-synthesized using grape skin extract as a natural reducing agent and incorporated into a PVA/chitosan matrix. The composition of the extract and the structural characteristics of the AgNPs were characterized by UPLC-MS and TEM. The barrier, mechanical performance, antibacterial, and fruit preservation properties of the resulting films were systematically evaluated. The results showed that the incorporation of AgNPs significantly improved the water vapor and oxygen barrier properties of the film and imparted excellent broad-spectrum antibacterial activity. In grape storage experiments, films with higher AgNPs content effectively delayed skin aging and moisture loss, maintaining better visual quality of the fruit. This work provides a green and feasible approach for the preparation of nanoparticle-enhanced antibacterial packaging materials based on natural products, with promising application potential. Full article
(This article belongs to the Section Advanced Nanomaterials and Nanotechnology)
Show Figures

Graphical abstract

16 pages, 3081 KB  
Article
Identification of Fungal Pathogens of Chinese Chestnut Fruit Rot and Analysis of Resistance Differences Among Major Cultivars
by Haijiao Xu, Wenshi Zhao, Yan Guo, Jianchao Cui, Gang Niu, Shuhang Zhang, Ying Li, Litao Li, Rui Jiao, Xumin Wang, Guangpeng Wang and Limin He
Microorganisms 2026, 14(1), 113; https://doi.org/10.3390/microorganisms14010113 - 5 Jan 2026
Viewed by 73
Abstract
This study aimed to identify fungal species causing fruit rot of chestnut (Castanea mollissima Blume) in Hebei Province, China and analyze the resistance differences among major cultivars. A total of 220 fungal isolates were obtained from healthy and diseased kernels, which were [...] Read more.
This study aimed to identify fungal species causing fruit rot of chestnut (Castanea mollissima Blume) in Hebei Province, China and analyze the resistance differences among major cultivars. A total of 220 fungal isolates were obtained from healthy and diseased kernels, which were classified into six distinct genera: Diaporthe (48.6%), Talaromyces (22.3%), Alternaria (10.5%), Mucor (9.5%), Fusarium (5.5%), and Rhizopus (3.6%). Based on both morphological and molecular analyses, six representative isolates of the six genera were identified as Diaporthe eres Nitschke, Talaromyces rugulosus Samson, N. Yilmaz, Frisvad & Seifert, Alternaria alternata (Fr.) Keissl., Mucor circinelloides Tiegh., Fusarium proliferatum (Matsush.) Nirenberg, and Rhizopus stolonifer (Ehrenb.) Vuill. Among these, D. eres was first reported to cause fruit rot on C. mollissima in China. Moreover, disease resistance evaluation of major cultivars showed significant differences: YG, YSSF, and DBH exhibited strong resistance under both natural conditions (with 1.67% to 5.27% DI after 180 days storage) and artificial inoculation (with 32.96 ± 0.64 to 52.61 ± 0.55 DI); while YJ was highly susceptible (with 47.71% decay incidence and 70.50 ± 7.22 DI). Correlation analysis revealed that the disease index was negatively correlated with sucrose and sorbitol contents, but positively correlated with stachyose and fructose contents. This study advances the understanding of postharvest chestnut fruit rot and provides a theoretical basis for breeding resistant cultivars and developing control strategies to mitigate losses and ensure food safety. Full article
(This article belongs to the Special Issue Advances in Fungal Plant Pathogens: Diagnosis, Resistance and Control)
Show Figures

Figure 1

17 pages, 5644 KB  
Article
Investigation of CH4 Hydrate Formation Under the Synergistic Effects of Graphite Nanofluids and Cyclopentane and Its Storage Stability at Subzero Temperatures
by Zhansheng Tao, Jianwen Zhang, Ruogu Kuang, Wanming Bao, Dongliang Zhong and Liangmeng Wu
Energies 2026, 19(1), 273; https://doi.org/10.3390/en19010273 - 5 Jan 2026
Viewed by 63
Abstract
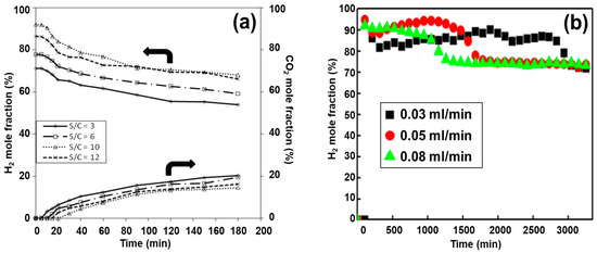
The solidified natural gas (SNG) technology presents a prospective strategy for CH4 storage and transportation. Low gas storage capacity and slow formation rate remain the key challenges for its field applications. This study suggested a compound system of cyclopentane (CP) + graphite [...] Read more.
The solidified natural gas (SNG) technology presents a prospective strategy for CH4 storage and transportation. Low gas storage capacity and slow formation rate remain the key challenges for its field applications. This study suggested a compound system of cyclopentane (CP) + graphite nanoparticle (GNP) nanofluid to enhance the formation kinetics of CH4 hydrate. Results indicated that both gas consumption and hydrate formation rate were higher at a higher CP concentration, peaking at 14 wt%, where t90 (the time to reach 90% of the final gas uptake) was 65.7 min, and the gas uptake reached 0.1346 mol/mol. However, an excessive CP (21 wt%) negatively affected CH4 hydrate generation kinetics due to the excessive cage occupancy of CP in 51264 cavities. A lower temperature was determined to be more favorable for CH4 hydrate formation within nanofluids, which was visually demonstrated by the denser hydrate crystals formed at 275.15 K. Moreover, storage stability analysis revealed that CH4 hydrate formed in CP + GNP nanofluids can be preserved at atmospheric pressure and 268.15 K without significant decomposition. This work provides a superior scheme for hydrate-based CH4 storage, offering great contributions to SNG technology advancement. Full article
Show Figures

Figure 1

38 pages, 9828 KB  
Review
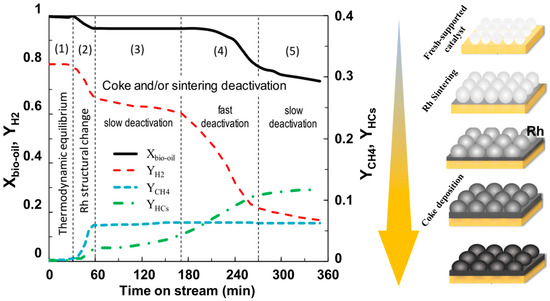
Conventional and Intensified Steam Reforming of Bio-Oil for Renewable Hydrogen Production: Challenges and Future Perspectives
by Eslam Elsaka, Etienne Mercier and Maria C. Iliuta
Catalysts 2026, 16(1), 59; https://doi.org/10.3390/catal16010059 - 4 Jan 2026
Viewed by 101
Abstract
The increasing demand for clean and sustainable energy has driven significant research into hydrogen production from biomass-derived feedstocks. Unlike the gasification route, the pyrolysis of biomass followed by steam reforming of bio-oil (SRBO) offers several advantages, including the liquid nature of bio-oil and [...] Read more.
The increasing demand for clean and sustainable energy has driven significant research into hydrogen production from biomass-derived feedstocks. Unlike the gasification route, the pyrolysis of biomass followed by steam reforming of bio-oil (SRBO) offers several advantages, including the liquid nature of bio-oil and the operation at lower temperatures, which facilitate easier transportation and storage compared to raw biomass. The conventional SRBO process faces several limitations, mainly catalyst deactivation due to significant coke formation and metallic sintering, as well as low hydrogen yield and purity. Hence, the intensified sorption-enhanced steam reforming of bio-oil (SESRBO) is a promising strategy to overcome these drawbacks, to simultaneously produce high-purity hydrogen and capture carbon dioxide in situ from the reaction media. This critical review presents an in-depth comparative analysis of conventional and intensified steam reforming of bio-oil, with a focus on associated challenges. Special attention is given to recent developments in the design of bifunctional materials (BFMs), which integrate both catalyst and sorbent into a single particle, along with process optimization focusing on key parameters, i.e., reforming temperature and steam presence. Finally, the review highlights key research gaps and future directions to overcome existing challenges in achieving cost-effective and scalable hydrogen production. Full article
(This article belongs to the Special Issue Recent Advances in Catalytic Reforming for Hydrogen/Syngas Production)
Show Figures

Graphical abstract

18 pages, 7623 KB  
Review
Natural Fracturing in Marine Shales: From Qualitative to Quantitative Approaches
by Chen Zhang, Yuhan Huang, Huadong Chen and Zongquan Hu
J. Mar. Sci. Eng. 2026, 14(1), 99; https://doi.org/10.3390/jmse14010099 - 4 Jan 2026
Viewed by 229
Abstract
Natural fractures in marine shales are crucial storage spaces and migration pathways for oil and gas, making the study of their formation mechanisms and distribution patterns essential for hydrocarbon exploration and development. This review systematically evaluates the progress in natural fracture studies, transitioning [...] Read more.
Natural fractures in marine shales are crucial storage spaces and migration pathways for oil and gas, making the study of their formation mechanisms and distribution patterns essential for hydrocarbon exploration and development. This review systematically evaluates the progress in natural fracture studies, transitioning from qualitative to quantitative approaches, with a focus on the genetic mechanisms, distribution patterns, and methodological advancements of fracture types. The review finds that: (1) Integrated “geological-geophysical-dynamic” analyses significantly improve the prediction accuracy of tectonic fracture networks compared to traditional stress-field models. Bedding-parallel fracture development is primarily controlled by the interplay between diagenetic evolution and in situ stress, with their critical opening conditions now being quantifiable; (2) Crucially, the application of micro-scale in situ techniques (e.g., Laser Ablation Inductively Coupled PlasmaMass Spectrometer, laser C-O isotope analysis, carbonate U-Pb dating) has successfully decoded the geochemical signatures and absolute timing of fracture fillings, revealing multiple episodes of fluid activity directly tied to hydrocarbon migration. (3) The combined application of multiple techniques holds promise for deepening the understanding of the coupling mechanisms between fractures. The combined application of these techniques provides a robust framework for deciphering the coupling mechanisms between fracture dynamic evolution and hydrocarbon migration, offering critical insights for future exploration. Full article
Show Figures

Figure 1

Back to TopTop