Abstract
Nitramines are nitrogen-containing organic compounds with the formula R1R2N–NO2. They are well-known as explosives and have been produced industrially for more than a century. A few nitramine-containing natural products have also been identified in recent years. Nitramines have also found their way into specific synthetic procedures, usually as intermediates, and for the last decades, the implementation of amine-based carbon capture and storage (CCS) technologies to mitigate CO2 emissions from fossil fuel combustion is of particular concern since small amounts are produced. Both environmental and health implications are of particular interest, and little is known today. The need for efficient and safe synthetic procedures is, therefore, vital for further research in the field. The present review gives a detailed summary of published methods and research post-millennium. Many new as well as well-established methods are presented. Representative examples with basic conditions and yields are given. Finally, indications for future research are discussed.
1. Introduction
Nitramines are nitrogen-containing organic compounds with the formula R1R2N–NO2, as shown in Figure 1. Historically, nitramines are best known as explosives. Some well-known compounds with the nitramine moiety can be seen in Figure 2.
Figure 1.
Generic structure of a nitramine.
Figure 2.
Well-known explosive nitramines.
Nitramines such as hexahydro-1,3,5-trinitro-1,3,5-triazine (1, RDX) and octahydro-1,3,5,7-tetranitro-1,3,5,7-tetrazocine (2, HMX) continue to be important explosives, renowned for their exceptional energy density, thermal resilience, and controlled detonation properties [1].
In recent years, the environmental significance of nitramines has gained prominence, particularly in relation to their formation during the atmospheric degradation of amines employed in industrial processes [2,3]. The implementation of amine-based carbon capture and storage (CCS) technologies to mitigate CO2 emissions from fossil fuel combustion is of particular concern [4,5,6]. Given the scale of post-combustion CCS facilities, it is likely that there will be small but significant discharges of amines to the atmosphere during operation. Once in the atmosphere, amines will undergo photo-oxidation, leading to nitrogenous products including nitramines [6,7,8]. Experimental data suggest that some nitramines are persistent, mobile, and potentially carcinogenic. However, detailed toxicological profiles are lacking for most compounds in this class [9], in addition to their possible harm to the environment [2,10,11].
The Norwegian Institute for Public Health recommends that the total amount of nitrosamines and nitramines in the atmosphere should be below 0.3 ng m−3 in air and below 4 ng dm−3 in drinking water for a risk level of 10–5. Such low detection levels are virtually impossible to monitor with today’s technology, and it is therefore imperative to acquire quantitative information on the degradation pathways for the relevant amines under atmospheric conditions. Consequently, there is a need for pure nitramine reference samples for both toxicology, environmental, and laboratory photo-oxidation studies in the years to come [12].
The nitramine functionality has also been found in a few natural products [13,14].
1.1. Overview of Nitramine Synthesis
Nitramine synthesis has a history going back to the late 1800s. Most of the methods used today have roots in the early reported procedures and strategies. Nonetheless, several researchers have attempted to improve nitramine synthesis, regarding the scope, safety, atom economy, environmental concerns, and economic aspects, to meet modern expectations. This has led to a wide range of approaches, with different strengths and weaknesses.
In this review paper, we cover some historic papers but focus on the more recent applications (last 25 years) when available. For readers that are interested in more historic papers, we recommend an earlier review by Agrawal [15].
This review is organized around four principal synthetic strategies:
- -
- Direct nitration;
- -
- Oxidation;
- -
- Reduction;
- -
- Hydrolysis/nitrolysis or rearrangements.
Unless otherwise specified, references to nitric acid in this review denote fuming nitric acid (≈100% HNO3).
The approaches that are discussed in this review paper are summarized in Table 1 and compared in the following section.
Table 1.
Summary of the nitration methods discussed in this review.
1.2. Comparative Perspective on Strategy Selection
While the methods discussed above share the common goal of forming the N–NO2 bond, their practical utility differs markedly depending on substrate stability, basicity, and functional group tolerance.
Strongly acidic direct nitration and nitrolysis remain the most robust and scalable strategies, particularly suited for simple, highly substituted, or industrial targets such as RDX (1), HMX (2), and CL-20 (6), where substrate frameworks tolerate harsh oxidative conditions and established protocols outweigh selectivity concerns.
In contrast, neutral and anhydrous nitration systems, such as dinitrogen pentoxide and nitronium salts, are better suited for sensitive or strained substrates, including small heterocycles and acid-labile amines, where controlled reactivity and avoidance of protonation are critical. These methods typically offer higher selectivity and cleaner product profiles but at the expense of cost, operational complexity, and limited scalability.
Base-promoted nitration and organic nitro-transfer reagents occupy a complementary niche, enabling access to acid-sensitive and primary amines that are otherwise incompatible with classical nitric acid chemistry. Although generally less general and often giving moderate yields, these approaches provide unique entry points to nitramines that cannot be obtained by acidic routes.
Finally, oxidation of nitrosamines and reduction of nitroimines occupy more specialized niches. These strategies are especially useful when nitrosamines or nitroimine precursors arise naturally or are easily prepared, enabling efficient access to certain nitramines, but their broader applicability has so far been constrained by precursor availability and safety considerations. Moreover, this type of strategy can have special relevance for preparation of reference compounds for atmospheric and environmental studies, where such intermediates are readily accessible and closely related to real degradation pathways.
Taken together, method choice is governed less by mechanistic preference than by a balance between substrate sensitivity, desired selectivity, safety constraints, and scale, underscoring the need for a diversified synthetic toolbox rather than a single universal approach.
Independent of nitration method, one should always still be careful: because nitration often produces compact, high-density structures associated with high energetic performance, the detonation characteristics and safety implications of the resulting compounds should be considered already at the stage of synthesis.
2. N-Nitration Reactions
The classical and still-dominant methods rely on nitric acid or mixed acids, where the nitronium ion (NO2+) serves as the active electrophile. Variants such as acetyl nitrate or chloride-catalyzed systems reflect refinements of this core chemistry, maintaining high reactivity while improving selectivity and safety.
In contrast, base-promoted and neutral routes achieve N-nitration through nitro-transfer from alkyl nitrates or other electrophilic nitro donors. These reactions, though less general, enable access to substrates that decompose or are deactivated under strongly acidic conditions.
Between these extremes are nitronium salts, dinitrogen pentoxide, and specialized organic donors that provide controlled, anhydrous conditions and extend nitration to new substrate classes.
Collectively, these strategies encompass the principal mechanistic pathways to the N–NO2 bond: acidic, basic, and neutral. Understanding their relationships and trade-offs is essential for selecting efficient, safe, and scalable routes to nitramines.
2.1. Nitration Using Acidic Conditions
From the earliest preparation of organic nitramines to modern industrial routes, nitric acid methods continue to dominate in published literature. Their appeal lies in their simplicity, robustness, low cost, and established infrastructure—few alternative nitrating agents offer comparable accessibility or proven scalability. These reactions proceed via in situ generation of the nitronium ion (NO2+) from nitric acid, which acts as a strong electrophile and attacks the amine nitrogen to form the N–NO2 bond. The so-called mixed acid, nitric acid mixed with sulfuric acid, acts the same way, with sulfuric acid protonating nitric acid and acting as a dehydration agent, to enhance the generation of the nitronium ion.
Variants such as acetyl nitrate, mixed acid, with catalysts (e.g., ZnCl2 or HCl), and protected-amine nitration all stem from attempts to tame the same powerful but hazardous chemistry. Thus, rather than being replaced, classical nitric acid nitration has evolved into a flexible framework that accommodates diverse substrate classes—from simple aliphatic amines to complex heterocycles—while maintaining its position as the most practical and experimentally accessible route to nitramines.
While this approach is simple in principle, it poses significant safety concerns due to the highly corrosive, oxidizing, and potentially explosive nature of fuming nitric acid. Moreover, this method has low selectivity, and there are concerns about over-nitration. Scaling up a batch can lead to uncontrolled reactions and detonation, severely limiting their applicability in practical settings [16].
The pure nitric acid approach has challenges when it comes to scope.
- It does not work well with primary amines, as they often are not stable under the strong acidic conditions [17].
- With the strong acid, the acid–base reaction occurs faster than the nitration reaction and leads to the ammonium nitrate salt, rather than the nitramine [18]. These salts can be transformed into nitramines with dehydrating agents (e.g., H2SO4, Ac2O, etc.).
However, with less basic amines, the fuming nitric acid approach is more successful [19]. Most anilines are accessible for direct nitration [20,21,22,23,24,25,26,27,28,29], e.g., as seen in the work of Atkins on polynitro anilines, see synthesis of compound 8 in Scheme 1 [28,30]. Nonetheless, one should be careful with acidic conditions when aromatic nitramines are obtained, as the nitro group easily migrates to the aromatic ring system when possible [31,32,33].
Scheme 1.
One example of nitration of anilines by Atkins (8 is unstable and yield is not given) [28,30].
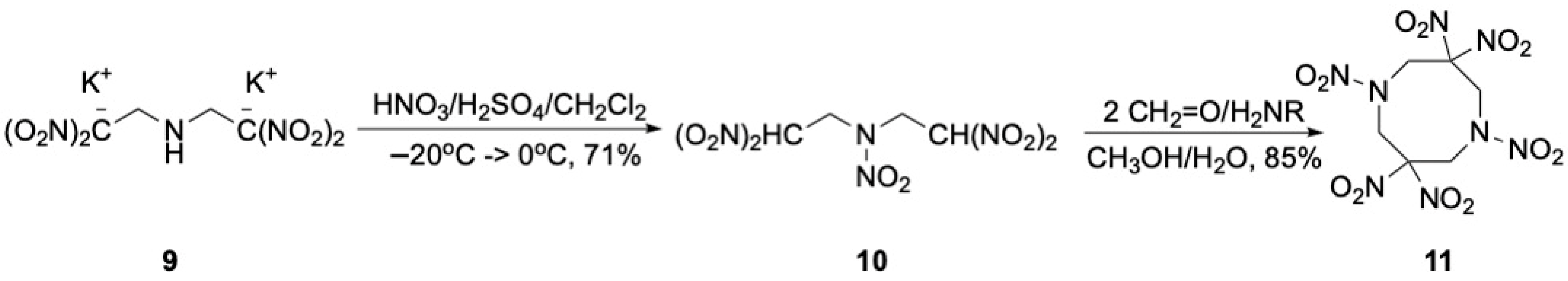
The route is also applicable to secondary amines with reduced basicity due to electron-withdrawing groups in proximity [34,35,36,37,38,39,40,41,42], e.g., see the synthesis of nitramine 10 depicted in Scheme 2.
Scheme 2.
The synthesis of 1,3,3,5,7,7-hexanitro-1,5-diazocane (11) via nitramine 10 by Cichra et al. [41].
2.1.1. Acetyl Nitrate
Acetyl nitrate represents a milder, more selective variant of classical nitric acid nitration. It will also minimize salt formation and over-oxidation [43]. The reagent is generated in situ from acetic anhydride and a nitrate source, e.g., nitric acid [44,45,46,47] or dinitrogen pentoxide [43]. An illustrative example is nitration of compound 12 to yield nitramine 13, shown in Scheme 3.
Scheme 3.
An example of the use of acetyl nitrate to prepare a nitramine (specific yield not given) [46].
Recent examples of this type of protocol are found in the synthesis of several FOX-7 derived nitramines 16–19 via a rearrangement of triazine 14 [48,49], see Scheme 4.
Scheme 4.
The synthesis of several FOX-7 derived nitramines [48].
Despite its milder reactivity compared to pure nitric acid, acetyl nitrate is highly moisture- and temperature-sensitive, decomposing readily to nitric and acetic acids that can lead to salt formation or uncontrolled oxidation. Its limited stability and tendency to acetylate or over-nitrate substrates restrict its practicality and scalability, especially for primary or acid-sensitive amines. Bottaro et al. showed that a isocyanate can be treated with acetyl nitrate in methanol to give primary nitramine [50].
2.1.2. Chloramines
Chloride-catalyzed nitration employs transient or preformed chloramines to lower amine basicity and extend nitric acid nitration to substrates otherwise too reactive or unstable under standard conditions [51,52,53], see example in Scheme 5.
Nitric acid/acetic anhydride with either chloride ion catalyst or chloramine has been used in various syntheses of explosives, such as N-nitrodiethanolamine dinitrate (DINA) [51,54,55]—including a continuous-flow synthesis of DINA [56], n-Butyl nitroxyethylnitramine (BuNENA) [57], and triethylenetetranitramine (TETN) [58].
Scheme 5.
Chloride-catalyzed nitration employing preformed chloramines [58].
Scheme 5.
Chloride-catalyzed nitration employing preformed chloramines [58].

Archibald et al. synthesized N-nitroazetidines 23a–c from azetidine hydrochlorides 22a–c, as depicted in Scheme 6 [59]. This synthesis was of interest to investigate the effect of ring strain in nitramine synthesis. The nitration was successful, with a yield of 87%. Rykaczewski et al. developed a general procedure for N-nitroazetidines, applying similar nitration systems, using nitric acid and acetic anhydride with similar yield [60].
Scheme 6.
Synthesis of N-nitroazetidines [59].
2.2. Base-Promoted N-Nitration Using Alkyl Nitrate
Early nitramine studies also investigated non-acidic methodologies and reported some of the earliest examples of alkaline nitration [61]. In base-promoted nitration, the amine is first deprotonated to generate a nucleophilic amide anion, which subsequently attacks an alkyl nitrate or related donor, affecting formal nitro-group transfer under non-acidic conditions. This pathway avoids nitronium ion chemistry and enables N-nitration of acid-sensitive substrates [62].
White et al. further developed such an alkaline nitration method where aromatic nitramines are synthesized from corresponding anilines with phenyl lithium as the base and amyl nitrate acts as nitration donors [62], see Scheme 7. Reaction yields were modest. Similar yields are reported by Fukuzumi when using butyllithium as the base and iso-butyl nitrate as the nitro-transfer agent [63].
Scheme 7.
Example of generic base-promoted N-nitration of aromatic amine.
Daszkiewicz et al. revealed that secondary aryl amines can be treated with ethyl magnesium bromide, followed by nitro-transfer from ethyl nitrate [64]. Yields are listed as low to moderate. The same group later reported a similar procedure with NaH as the base, also with moderate yields [65].
Winters et al. devised this method suitable for alkyl amines, including primary amines, which are otherwise challenging to access synthetically [66]. In their protocol, butyllithium was employed as the base, and ethyl nitrate was employed as the nitrating agent, with reactions conducted at −78 °C. Yields were reported to be poor to moderate. However, later use of this method reported a slightly improved yield of tert-butyl nitramine by implementing slight modifications on the workup [67,68].
A clear advantage with this approach is that it is acid-free N-nitration: it avoids strongly acidic, oxidizing media (HNO3, H2SO4), so substrates that are acid-sensitive or prone to protonation can be nitrated. Also, for anilines, this approach is selective for N-nitration, in contrast to fuming nitric acid, which often gives C-nitration too. Primary amines can also be used as substrates. However, reported yields are moderate compared to alternatives. Furthermore, it requires harsh reagents (e.g., organo lithium and alkyl nitrate esters) and cryogenic conditions. This reduces scalability.
2.3. Other Nitro-Transfer Agents
Beyond nitric acid-based routes and the base-promoted routes, several specialized reagents have been developed to deliver the nitro group under milder or more selective conditions. These nitro-transfer agents including species such as acetone cyanohydrin nitrate, 5-alkoxy-4-chloro-2-nitropyridazin-3-one, and fluoroalkyl nitrate derivatives—operate through transfer of the NO2 group rather than free nitronium generation, not unlike the reagent used in base-promoted N-nitration. However, these are given a separate section, as the amine is not deprotonated prior to nitration.
These reagents’ design reflects a long-standing effort to overcome the intrinsic limitations of the previously mentioned methods. By embedding the electrophilic nitro functionality within an organic framework, these reagents provide neutral or weak polar media.
2.3.1. Cyanohydrin Nitrates
One example is the cyanohydrin nitrates—particularly acetone cyanohydrin nitrate [69], e.g., see nitration of amine 28 to give nitramine 29 in Scheme 8, while the scope and reported yields can be found in Table 2. This can be used as an effective type of nitration reaction, under mild, non-acidic conditions.
Scheme 8.
Generic nitration with acetone cyanohydrin nitrate [69]. R groups can be found in Table 2.
Table 2.
The different R groups used to illustrate the scope of the cyanohydrin nitrate [69].
Using this reagent, nitration of primary and secondary amines gave yields of 42–81%. It is compatible with solvents such as tetrahydrofuran (THF) and acetonitrile or dissolved in the amine itself.
The reagent has recently been employed to synthesize mono-nitramine of piperazine (31) from piperazine hexahydrate (30) in 60% reaction yield, which was then applied as reference material in atmospheric studies of amines leaked from CCS systems [70], as depicted in Scheme 9.
Scheme 9.
The synthesis of mono-nitramine of piperazine from piperazine hexahydrate [70].
2.3.2. 5-Alkoxy-4-Chloro-2-Nitropyridazin-3-One
Park et al. reported an efficient and mild method for the N-nitration of secondary amines employing 4-chloro-5-methoxy-2-nitropyridazin-3-one (33a) as a nitro-transfer reagent [71].
The nitrating agent was prepared by copper(II)nitrate-mediated nitration of 4-chloro-5-methoxypyridazin-3-one (32a) in acetic anhydride, see Scheme 10, while the scope and reported yields can be found in Table 3. Among the series of pyridazinone derivatives evaluated, the 5-methoxy and 5-ethoxy analogues exhibited the highest reactivity toward amines. Under neutral conditions, treatment of various secondary amines with the reagent afforded the corresponding N-nitramines in good to excellent yields.
Scheme 10.
The preparation and use of 4-chloro-5-methoxy-2-nitropyridazin-3-one (or ethoxy analogue) as a nitro-transfer reagent [71]. R2 and R3 can be found in Table 3.
Table 3.
The different R groups used by XX to illustrate the scope of the 5-alkoxy-4-chloro-2-nitropyridazin-3-one [71].
2.3.3. 2-(Trifluoromethyl)-2-Propyl Nitrate
Conventional alkyl nitrate esters are inert toward amine nitration under neutral conditions, thus needing strong bases, as seen previously. Schmitt, Bedford, and Bottaro demonstrated that suitably electron-deficient nitrate esters can function as direct N-nitration reagents for secondary amines. Of particular note is 2-(trifluoromethyl)-2-propyl nitrate, which efficiently converts a broad range of aliphatic secondary amines into the corresponding nitramines, typically in good to excellent yields [72].
2.3.4. N-Nitropyridinium Nitrate and Thionyl Nitrate
Thionyl nitrate and N-nitropyridininum can be applied as nitration agents, as shown in the syntheses of Bu-NENA [73,74]. Both reagents were used in two equivalents to the amine, and good yield (70% for thionyl nitrate, 75% for N-nitropyridinium nitrate) was obtained within hours on ice-bath.
Despite the good yields and relatively short reaction time, more experiments are needed to evaluate scope and limitations.
2.4. Dinitrogen Pentoxide as Nitrating Agents
Dinitrogen pentoxide (N2O5) is the anhydride of nitric acid and, in non-aqueous media, serves as a neutral, anhydrous nitrating agent capable of delivering the nitronium ion (NO2+) in a manner similar to nitric acid methods, under controlled conditions [75,76].
Emmons and coworkers later applied the reagent to nitrate aliphatic amines efficiently under mild, non-aqueous conditions [77]. The reagent reacts cleanly with secondary amines, providing nitramines in high yields. However, primary amines generally give nitrate salts or undergo decomposition, as N2O5 readily oxidizes unstable primary nitramines [77]. These conditions are applicable to very sensitive substrates, such as the triazabicyclo[3.1.0]hexanes 36a and 36b [78], see Scheme 11.
Scheme 11.
Dinitrogen pentoxide as nitrating agents on sensitive substrates [78].
In modern applications, N2O5 has found utility in the ring-opening nitration of strained heterocycles such as aziridines and azetidines, providing regioselective access to nitramine derivatives [79,80,81]. Golding demonstrated that such reactions proceed in aprotic solvents at low temperatures, with yields of 70–80% [80,81,82,83], see generic reaction in Scheme 12 and specific examples in Scheme 13 with R groups and yields listed in Table 4.
Scheme 12.
Ring-opening nitration of strained heterocycles such as aziridines and azetidines [79].
Scheme 13.
Specific examples of ring-opening nitration of strained heterocycles [79,82].
Table 4.
The different R groups used in ring-opening nitration of strained heterocycles such as aziridines and azetidines [79].
In the synthesis of 1,4,5,8-tetranitro-1,4,5,8-tetraazabicyclo-[4,4,0]-decane (TNAD), the combination of N2O5 and acidic liquid, [(CH2)4SO3HMim]HSO4, proved to be successful and high yielding [84]. This type of system needs more investigation to define scope and limitations.
Overall, N2O5 combines high reactivity and mild conditions with relative operational simplicity. Its main drawbacks remain limited compatibility with primary amines and strong oxidative potential, which restrict its use to well-controlled laboratory settings. Nevertheless, it remains one of the cleanest and most versatile non-acidic nitrating agents available for the synthesis of secondary nitramines and related compounds. Due to its potent nitrating ability, N2O5 is now recognized as a useful tool in the synthesis of energetic nitramines and other nitrogen-rich compounds [32].
2.5. Nitronium Salts as Nitrating Agents
Nitronium salts, such as nitronium tetrafluoroborate (NO2BF4) and nitronium triflate (NO2OTf), represent highly selective electrophilic nitrating agents, see Scheme 14. Nitronium salts provide a preformed NO2+ electrophile, allowing highly selective N-nitration in the absence of strong acids, albeit under strictly anhydrous and moisture-sensitive conditions. These methods offer great control over substrate scope and mild conditions. However, their practical application is restricted by high cost, moisture sensitivity, and safety concerns, which have limited their use primarily to laboratory-scale studies.
Scheme 14.
Generic N-nitration with nitronium salt [85].
Olsen, Fish, and Hamel reported a procedure using NO2+BF4− to obtain selective nitration, particularly for synthesizing secondary nitramines [85], see Scheme 14 and Table 5. The conditions work well on secondary amines of low-to-moderate basicity, giving the corresponding nitramines in good yields in relatively short reaction times [85,86]. Due to the slower reaction of more basic amines, the yields are lower, and more byproducts are produced [86].
Table 5.
The different compounds (amines or amine-derived structures) used in N-nitration with nitronium salt [85].
The conditions were found to give nitrate salts of primary amines rather than primary nitramines, with the exception of electron-poor primary aryl amines [85]. In Atkins work on polynitro anilines, they showed that NO2+BF4− can be used to give the corresponding nitramines in moderate yields [28].
Adams et al. reported a convenient and anhydrous generation of a potent nitrating agent, NO2OTf, see Scheme 15. This reagent can be used similarly to NO2BF3. It has been shown to be particularly effective on heterocyclic N-nitration. The conditions are mild and scalable and offer a safer, more selective alternative to traditional nitronium salts. However, the reagents are highly moisture sensitive and expensive, limiting the method to small-scale laboratory experiments. Moreover, the scope described in the paper is limited.
Scheme 15.
Example of N-nitration using NO2OTf [87].
2.6. Inorganic Nitrate Salts as Nitrating Agents
Ammonium nitrate/trifluoracetic acid has been used for N-nitration of amides and cyclic ureas, giving poor to good yield [88,89]. Dichloromethane and nitromethane can serve as solvents.
Bayat et al. used nitric acid and boric acid as a nitrating system. This was applied in their synthesis of Bu-NENA. The yield was excellent (95%), and reaction time was short [90]. Another advantage with this method is that it allows for a reduction in the amount of nitric acid to five equivalents, rather than huge excess.
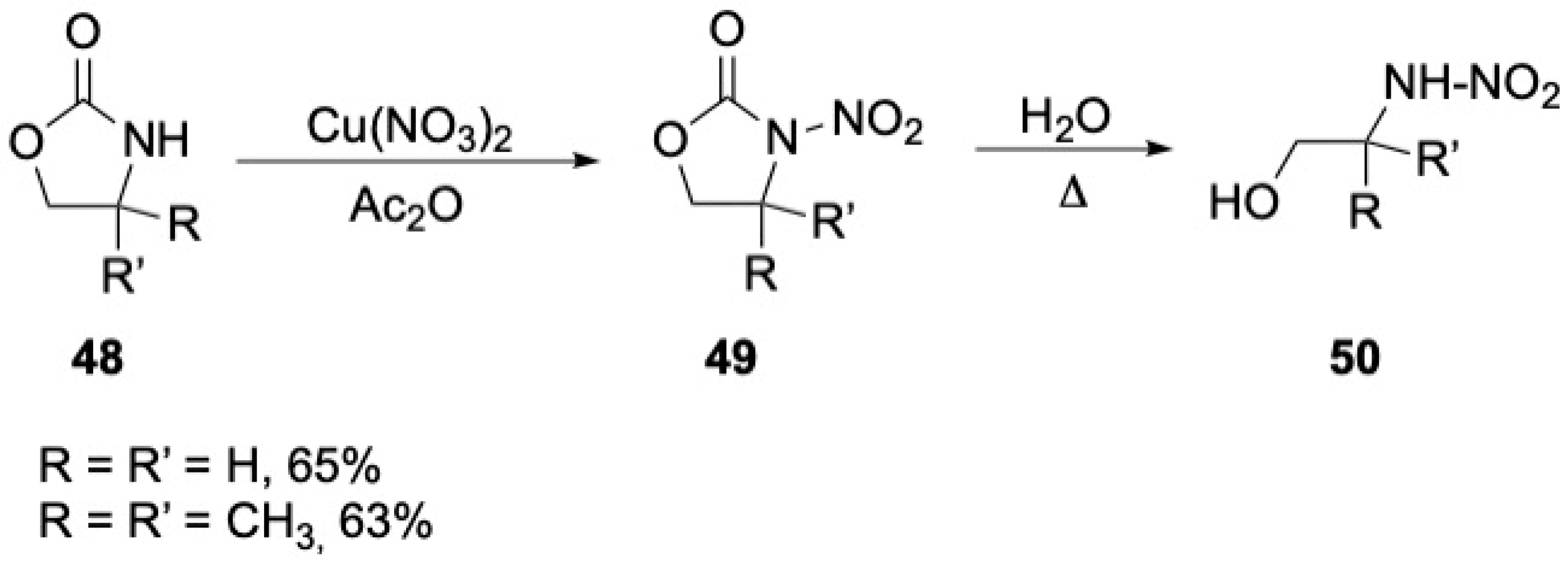
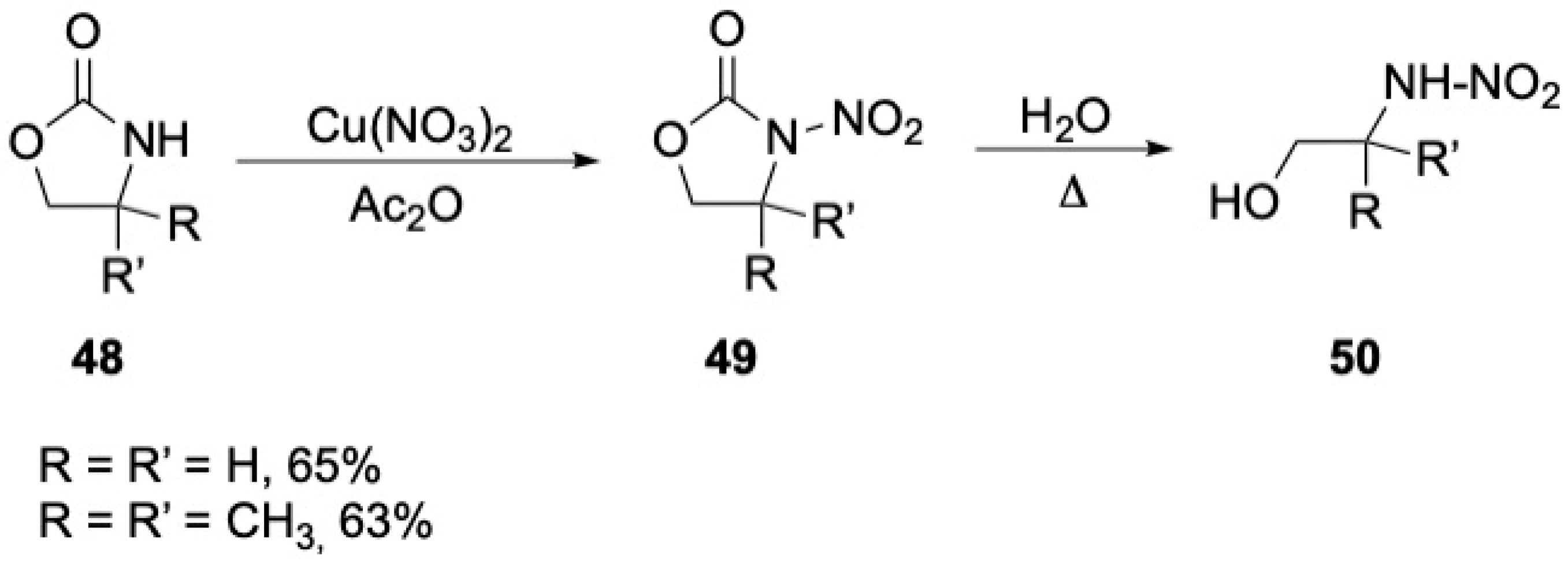
Cu(NO3)2 in combination with acetic anhydride has been used to prepare acetic nitrate without involvement of nitric acid [91,92]; one example is depicted in Scheme 16. Nitration of carbamates 48 was successful. A comparison to nitric acid/acetic anhydride revealed that yields were comparable.
Scheme 16.
Synthesis of 2-hydroxyetylnitramin [91].
Norris reported the synthesis of nitramines from the reaction of carbamyl chlorides and silver nitrate, shown in Scheme 17, with R groups and yields listed in Table 6. Nitramines are the direct end-product 53; without any separate hydrolysis, CO2 is released, and AgCl is precipitated [93]. Carbamyl nitrate 52 is the postulated intermediate.
Scheme 17.
The synthesis of nitramines from the reaction of carbamyl chlorides and silver nitrate. R groups and yields are listed in Table 6.
Table 6.
The R groups and yields are obtained from reaction of carbamyl chlorides and silver nitrate. R2 means that both side chains are equal or part of a ring system.
Badgujar et al. reported microwave-assisted synthesis of an N-nitroaniline 55 from aniline 54 by employing a suspension pentahydrate of Bi(NO3)3 and THF absorbed on silica gel, see Scheme 18. Yields of nitramines are high to excellent in all reported cases [94]. This synthesis is also interesting as Bi(NO3)3 is a more environmentally friendly nitration reagent than most alternatives.
Scheme 18.
Microwave-assisted synthesis of an N-nitroaniline by employing a suspension pentahydrate of Bi(NO3)3 and THF absorbed on silica gel [94].
3. Nitration of Protected Amines and Hydrolysis
To overcome the instability and poor selectivity sometimes encountered in direct nitration, protected amine derivatives, such as carbamates, ureas, and amides, have been employed as intermediates since the late 1800s.
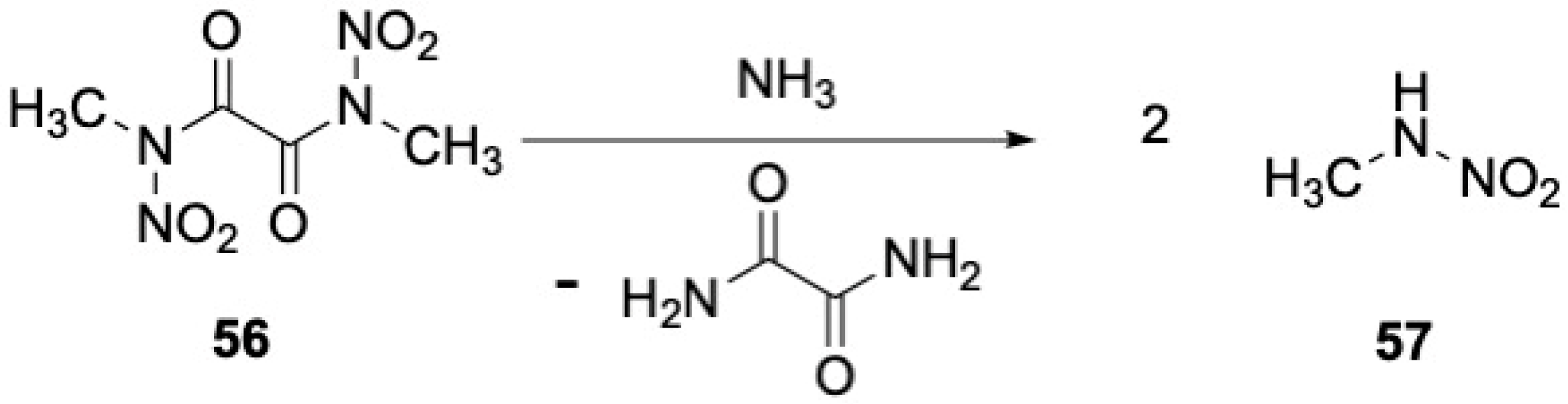
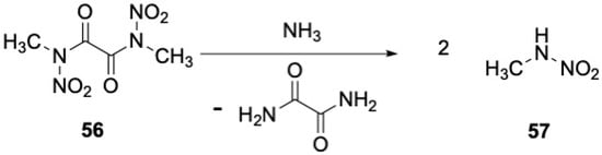
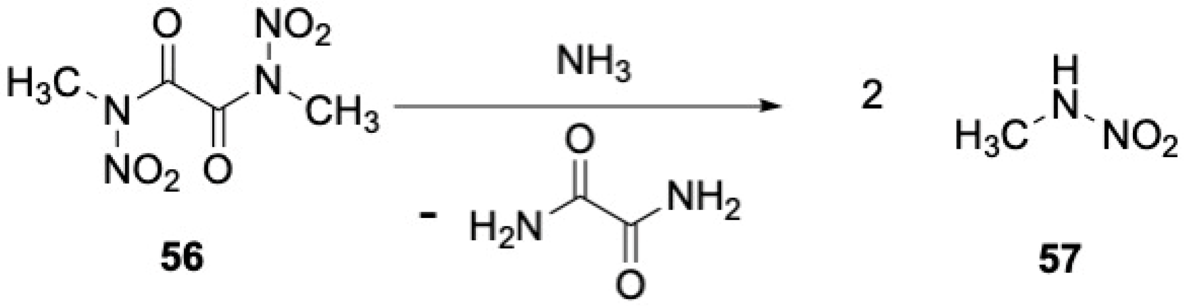
These groups reduce the reactivity of nitrogen, enabling controlled nitration and subsequent hydrolysis, typically with ammonia or aqueous NaOH, to yield nitramines [95,96,97,98,99,100,101,102,103,104,105]. A classic example is the synthesis of methylnitramine (57) from oxalic amide 56, see Scheme 19 [95,96].
Scheme 19.
Franchimont prepared methylnitramine (57) from nitration and hydrolysis of oxalic amides. No reaction yields were reported [95,96].
Moreover, these derivatives often exhibit enhanced stability under strongly acidic and oxidative conditions, in contrast to free amines that are prone to protonation or decomposition [77]. Derivatization strategies have proven particularly valuable for the preparation of otherwise unstable primary nitramines [91].
Despite its long history, this type of route remains an essential tool for the selective preparation of nitramines even today. This is largely due to systematic studies and reliable protocols, such as Curry and Mason’s predictable and reliable protocol for the synthesis of N-nitrocarbamates using nitric acid and acetic anhydride [106,107].
One example of a protection strategy from recent years is found in the preparation of methyl nitramine, synthesized for atmospheric studies of CCS systems [5,8]. In this synthesis, the amine was protected as a toluenesulfonylamide, as shown in Scheme 20. The reaction yield was high.
Scheme 20.
Methyl nitramine is synthesized from methyl toluenesulfonylamide [5,8].
Another representative example is the preparation of dinitro-diaza plasticizer, DNDA-57 (61), where oxamides 60 are nitrated using a traditional nitric acid/sulfuric acid system, followed by deprotection using aminolysis to give nitramine 57. The resulting nitramines 57 are then reacted with paraformaldehyde to give DNDA-57 [108], see Scheme 21.
Scheme 21.
Synthesis of DNDA-57 [108].
Most examples of synthesis of nitramines via amides, ureas, etc., use a traditional nitration method. However, other nitration methods can also be applied, e.g., efficient N-nitration with dinitrogen pentoxide in liquid CO2, fluorinated solvents (see Scheme 22), or PEG-based media, achieving moderate to excellent yields while improving safety and waste management, have been reported as more environmentally friendly approaches [109,110,111,112].
Scheme 22.
Synthesis of nitramines and dinitramines using DNP [111]. The method was used to synthesize compounds 57 and 61–64.
The main disadvantage with this type of route is the extra reaction steps in making the derived group and later removing it. The extra reactions affect the overall yield and affect the atom economy drastically. However, it is still seen as a cornerstone in nitramine synthesis for several reasons. First, it gives access to nitramines that would otherwise be unstable or unreactive under direct nitration conditions, e.g., primary amines. Second, it is less prone to detonation. In conclusion, this approach remains a useful but pragmatic compromise—favored when safety and selectivity outweigh efficiency.
4. Nitrolysis
Nitrolysis represents a historically important path to nitramines, bridging the chemistry of hydrolysis and nitration in a single transformation. In these reactions, a nitrogen–carbon or nitrogen–heteroatom bond is cleaved, while a new N–NO2 bond is simultaneously formed, effectively coupling bond activation and nitration into one step.
Robson’s 1950s studies on the nitrolysis of N,N-dialkylamides revealed that a constellation of nitric acid and trifluoroacetic anhydride efficiently yields nitramines in variable yields [113,114]. This approach remains one of the foundational protocols for laboratory-scale nitrolysis. It has been widely applied, for instance, in the preparation of dimethyl nitramine (66) from dimethylformamide (65, DMF), as shown in Scheme 23, relevant to atmospheric and biological studies [5,115,116,117,118].
Scheme 23.
Synthesis of dimethylnitramine (66) [5].
The same reagent system also converts nitrosamines to nitramines, as demonstrated by Archibald et al. with N-nitrosoazetidines, achieving high yields [119,120,121,122], see synthesis of nitroaziridine 69 from nitrosoaziridine 68, as depicted in Scheme 24. Despite appearing oxidative, isotope studies confirm that these reactions are nitrolysis [123]. Under similar conditions, nosyl groups, imides, and carbamates can also undergo nitrolysis [124,125,126].
Scheme 24.
Nitrolysis of nitrosamine to nitramine [121].
Alternative systems employing N2O5 in liquid CO2 have also been reported, typically affording moderate to good yields [127].
Tert-butylamines easily undergo nitrolysis, yielding nitramines in moderate to good yields [128]. The reaction may involve mixed or pure nitric acid, acetyl nitrate, or N2H5 [125,126].
Historically, nitrolysis has been central to industrial production of high-performance explosives such as RDX (1), commonly prepared from hexamethylenetetramine [129,130], see Scheme 25. The classical route is high yielding but requires large excesses of nitric acid and ammonium nitrate, generating substantial acid and nitrate waste. Thus, many various attempts have been made to make the reaction cleaner. Examples include applying catalytic ionic liquid, ([(CH2)4SO3HPyr]NO3, 3.0 mol%), used in the nitrolysis of hexamethylenetetramine [131] and fluorinated media such as perfluorodecalin with catalytic PfOS [132]. Both these approaches lead to reduced HNO3 consumption and allow for milder (0–5 °C) conditions and shorter reaction times.
Scheme 25.
Synthesis of RDX [130].
HMX (2) is a very powerful explosive, originally discovered as a byproduct from RDX (1) synthesis [129]. Its application has been limited by its high cost compared to RDX (1) [133]. Due to this, numerous attempts to synthesize this have been reported. Many of these are based on nitrolysis of hexamine, 3,7-dinitro-1,3,5,7-tetraazabicyclo[3,3,1]nonane (DPT) or other derivatives of hexamethylenetetramine [133,134,135,136], see example in Scheme 26. Analogous to RDX (1), many recent strategies focus on more benign conditions. Examples include the use of task-specific ionic liquids [136], N2O5/HNO3 in PEG-200-DIAL [133], and a deep-eutectic catalytic system, [HMim]NO3/ethylene, NaNO2/HNO3 [137]. All have improved yields and reduced nitric-acid demand versus traditional methods.
Scheme 26.
Example of synthesis of HMX [133].
Hexanitrohexaazaisowurtzitane (6, CL-20) has been synthesized via nitrolysis routes from various hexabenzylhexaazaisowurtzitanes [138,139]. Recent attempts to make CL-20 (6) synthesis more efficient include using nitroguanidine or guanidinium nitrate as co-nitration agents [140], heteropolyacids as greener acid catalysts [141], and MHS as a solid acid [142], see examples in Scheme 27. The Brønsted-acidic ionic liquid [Hmim][HSO4] also performed well, giving a 92% yield [143].
Scheme 27.
Examples of synthesis of CL-20 [139,142].
Using microwave-assisted heating, Saikia et al. synthesized CL-20 (6) from 2,4,8,12-tetraacetyl-2,4,6,8,10,12-hexaazaisowurtzitane in 5 min at 75 °C, obtaining a 94% yield—an improvement compared to 240 min needed with conventional heating (90%) [144]. However, the method still relies on large excesses of nitric acid, and scaling is difficult.
The continued reliance on nitric acid-based systems underscores both their synthetic efficiency and their limitations: they are effective, scalable, and well-understood yet inherently hazardous and environmentally burdensome. The subsequent sections, therefore, examine how alternative reagents seek to capture the reactivity of nitric acid while mitigating its safety and sustainability drawbacks.
5. Oxidation of Nitrosamines
An alternative route to nitramines involves the oxidation of nitrosamines, a transformation that can proceed efficiently under a range of oxidative conditions. This approach is attractive because nitrosamines are often readily available, and oxidation can deliver nitramines in high yields. However, the carcinogenic nature of nitrosamines and the hazards of strong oxidants limit the practical utility of this strategy.
The oxidation of nitrosamines to nitramines has been studied since the mid-20th century, with both chemical and electrochemical methods employed to understand and optimize the process.
Some examples of transformation of nitrosamines to give nitramines have already been mentioned [139,145]. These are not listed as oxidations as it has been shown with isotope studies that they are, in fact, nitrolysis reactions [123].
An early example of oxidation of nitrosamine into nitramines is found in the work of Chute and coworkers: oxidation of nitrosamine 74 to yield nitramine 75, as depicted in Scheme 28 [51]. In their work, potassium persulfate in combination with nitric acid oxidizes the nitroso functionality into the nitramine.
Scheme 28.
Early example of oxidation of nitrosamine to nitramine [51].
Later, a systematic study by Emmons et al. demonstrated that peroxytrifluoroacetic acid efficiently oxidizes dialkyl nitrosamines to nitramines in high yields [146]. Emmons et al. used a mixture of 90% H2O2 and peroxytrifluoroacetic anhydride in methylene chloride or a mixture of 90% H2O2 in trifluoroacetic acid to prepare peroxytrifluoroacetic acid.
Ease of work-up giving clean products is noted, though not ignoring the disadvantages regarding carcinogenicity and toxicity. Moreover, peroxytrifluoroacetic acid and 90% H2O2 are corrosive and unstable, making scale-up problematic.
However, due both to the hazard and availability of 90% H2O2, different research groups have successfully used 50% and 30% H2O2 in similar reactions [147,148,149,150], including oxidizing 1-nitrosopiperidine (77) to 1-nitropiperidine (78) in 87% isolated yield, see Scheme 29 [151].
Scheme 29.
The synthesis of 1-nitropiperidine from 1-nitrosopiperidine to [151].
Wright and coworkers prepared RDX (1) by oxidation of nitrosamine 79 with H2O2/HNO3, as shown in Scheme 30 [152].
Scheme 30.
Synthesis of RDX (1) by oxidation of nitrosamine [152].
In the 1970s–1980s, researchers explored electrochemical oxidation of nitrosamines in the presence of oxygen to nitramines [153].
Ali et al. reported the electrochemical oxidation of nitrosamines to nitramines in flow chemistry [154]. The same group also reported a flow synthesis of nitrosamines [155]. The method was later improved by the same group to form nitramines from amines via NaNO2/oxidant in a similar process. They found that mCPBA, MoO3/H2O2, and Oxone can all serve as effective oxidants, but Oxone gave the highest yield [156]. See examples of reported nitramines in Scheme 31.
Scheme 31.
Nitramine synthesis under nitric-acid-free conditions. (a) With NaNO2 (3 equiv), HCl (2.2 equiv) in dichloromethane at 0 °C for 1 h. (b) With Oxone (2 equiv), in acetonitrile/H2O (1:1.5) at 40 °C for 16 h [156].
6. Reduction of Nitroimines
Nitroimines can, under suitable conditions, be reduced to nitramines. Although it is less frequently used than the other listed strategies, this approach provides access to specific classes of compounds, such as steroidal nitramines and other specialized derivatives. However, its broader synthetic applicability is limited by competing reduction of the nitro group.
Reduction of nitroimines will give nitramines. Reduction agents such as NaBH4 and LiAlH((O-tBu)3 have been shown to work well [157,158,159,160,161,162]. The potential of reducing the nitro group itself limits the reagent and/or conditions that can be utilized. Most of the reported reductions of this type are on steroidal structures. According to Haire’s investigations, adding acetic acid increased the yield. The experiments were conducted on steroid-like compounds, see Scheme 32.
Scheme 32.
An example of nitramine synthesis via reduction of nitroimine on steroid [157].
The synthesis has some other interesting features to be mentioned as well. The nitroalkene made from the alkene was transformed into an oxime (90), which is converted to the nitroimine (91). This was reduced to the corresponding nitramine (92), which can be further transformed to the nitroaziridine 93 (R2 = Cl for this reaction), revealing the reaction potential of monosubstituted nitramines.
7. Nitramines as Intermediates and Rearrangements Giving Nitramines
Nitramines are most often found as end-products, with the N-nitration reaction being late in the synthetic sequence. This is because they are energetically hazardous, chemically less versatile, and synthetically inconvenient compared to other nitrogen functionalities (carbamates, nitroimines, nitrosamines).
However, there are examples of reactions where nitramines are formed early in the synthesis. In polymers containing nitramine functionality, this is typically the case [163,164,165], e.g., synthesis of dibromo nitramine 95, which is transformed into diazido nitramine 96 in Scheme 33. As described above, nitro groups from nitramines can migrate to aromatic ring systems under acidic conditions. Aromatic nitramines have also been shown to work well as leaving groups, as replacements for diazo groups often used [166].
Scheme 33.
Example of the preparation of the building block from a nitramine containing polymer [164].
In azidonitramine plasticizers, a polymer that combines azido (-N3) and nitramine (-NH-NO2) groups, the nitramine functionality is often integrated early in the building blocks. A recent review summarizes synthesis and application progress [165]. Contrary to inert plasticizers, the energetic ones are considered improvements due to better softening and cleaner burning of the propellant binder contributing to the explosive/propulsive performance.
Due to the strong electron-withdrawing properties of the nitro group, the N–H on nitramines will function as weak acids instead of bases, like in regular amines. This will also affect their properties as synthetic intermediates.
Due to their polarity, nitramines can be alkylated. Examples include the use of the Mitsunobu type Reaction [167]. N-alkylate nitrourethane and N-nitrotoluenes can be alkylated with diazoalkanes [168] and electrophiles [169]. Lee et al. reported an electrochemical method for the α-C─H azolation of nitramines in continuous flow [156]}.
In a recent synthesis of the explosive compound BITE-101 (99), intra-molecular reactions of nitramine and nitroimine are one of the key reactions to give the target molecule, see Scheme 34 [170].
Scheme 34.
Synthesis of BITE-101 [170].
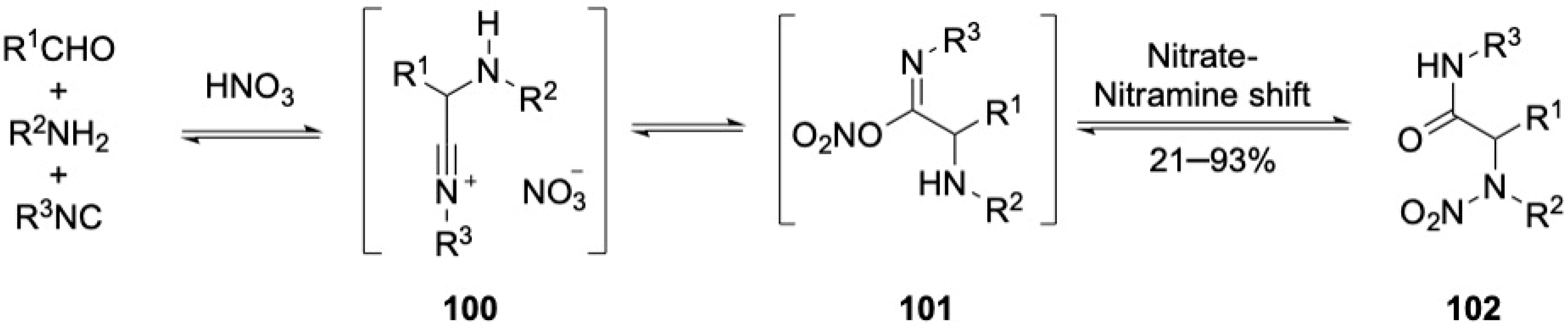
Nitramines have also been prepared in a nitro-Ugi type reaction, where ammonium nitrate salts, isonitrile, and aldehydes are mixed in methanol. Migration of the nitro group gives nitramine 102 [171]. In this work, nitric acid reacts with isonitrile to give the nitrooxyimine 101, which is the tautomeric form of an amide. A rearrangement gives the nitramines. Yields range from poor to excellent, as shown in Scheme 35 and Table 7.
Scheme 35.
Synthesis of nitramine by nitro-Ugi type reaction [171].
Table 7.
The scope of the nitro-Ugi type reactions was tested on the listed molecules [171].
8. Concluding Remarks
The synthesis of nitramines remains one of the most chemically diverse yet operationally challenging areas of energetic materials chemistry. Over more than a century, methodologies have evolved from simple brute force nitric acid nitration to more sophisticated systems that prioritize safety, selectivity, and environmental responsibility. Despite this progress, direct nitration with nitric acid and its derivatives continues to dominate—not because it is ideal but because it is proven, accessible, and deeply integrated into both industrial and academic practice.
Modern research demonstrates that no single route offers a universal solution. Acidic, basic, and neutral nitration strategies each occupy distinct niches defined by substrate stability, scalability, and hazard profile. Reagents such as dinitrogen pentoxide and nitronium salts deliver exceptional selectivity and cleaner reactions, while base-promoted and nitro-transfer reactions expand access to otherwise inaccessible primary and acid-sensitive nitramines. Oxidative routes from nitrosamines have gained renewed attention in recent years, especially in flow chemistry and environmental studies, reflecting growing interest in safer and more controlled transformations.
Nitrolysis remains indispensable for large-scale synthesis of RDX (1), HMX (2), and CL-20 (6), though it continues to pose inherent safety challenges. Also, it is noteworthy that, even in studies motivated by environmental and health concerns, the synthesis of small nitramines continues to depend largely on classical nitric acid-derived protocols, underscoring a gap between sustainability goals and the practical realities of current synthetic chemistry.
However, the emerging trends are clear: flow chemistry, ionic liquids, and greener media (e.g., PEG or liquid CO2) represent promising avenues for reconciling performance with safety and sustainability. At the same time, computational chemistry and mechanistic modeling are reshaping how nitramines are designed and evaluated, enabling predictive control over both energetic performance and environmental persistence.
Moving forward, the field’s priorities must align with contemporary chemical principles: reduced hazard, improved atom economy, and transparent environmental assessment. The comparative framework presented in this review—summarizing reagents, scope, and safety—illustrates how incremental innovation can collectively redefine old chemistry for a new era. Nitramine synthesis, once driven purely by military demands, is now guided by a broader mandate: advancing performance while, at the same time, protecting people and the planet.
Future
What will the next ten years be like within nitramine synthesis? The traditional methods still dominate in the more recently published papers. Most likely, this is because most of the recent papers on nitramines are aiming to prepare the compounds for a specific experiment rather than develop new methodologies.
Still, it is important to bear in mind that the HSE regulations today are vastly different from the ones in the early days of nitramine synthesis. One can argue that there has been continuous work on developing safer syntheses.
Although nitramine syntheses remain hazardous, significant progress is being made toward safer, more controlled, and more sustainable synthetic approaches. Regarding the more recent innovation in safety, there are a few papers on, e.g., continuous flow. This gives better control of temperature and thus reduces the risk of explosions. These include oxidation of nitrosamine to nitramines [154,156] and nitration to give NENA plasticizers [56,172]. A recent review paper describes innovations within continuous flow nitration, and there is huge potential for nitramine synthesis for further development [173].
Researchers develop new methodologies regarding nitration reagents, solvent systems, catalysts, etc. In recent years, the use of liquid or supercritical CO2 for direct nitration and nitrolysis [109,110,127,174] has been applied. Others have investigated ionic liquids [131,133,136,143]. More experiments are welcomed as this is needed to define the scope and limitations.
In addition to synthesis itself, formulation safety can be improved by physical modification: for example, MOF encapsulation of RDX (1), HMX (2), and CL-20 (6) produced core–shell composites that altered decomposition behavior and markedly increased activation energies [175], and co-crystallization with tailored coformers has been used to reduce sensitivity while retaining energetic performance [176].
With the progress in computational chemistry in the last decades, it is not surprising that this finds its way to nitramine chemistry as well. FDT/ab initio modeling can be used to predict stability, decomposition pathways, and performance.
In environmental chemistry, computational chemistry has been used to predict degradational pathways for leaking amines or byproducts, combined with physical experiments [5,68,70,151,177,178,179].
Recent papers describe design and predictions of stability and performance of potential high-energy materials [180,181,182,183].
To help find safer and higher-performance energetic compounds for uses such as propellants and explosives, a machine learning approach that quickly predicts material properties and screens large numbers of candidates is highly advantageous [184,185]. Machine learning can also be useful in planning synthesis [186]. A recent paper describes the calculation of 1H NMR chemical shift prediction method employed for the first time on a variety of energetic materials using density functional theory (DFT) and gauge-independent atomic orbital (GIAO) [187].
Computational chemistry can make a significant contribution to laboratory safety and to the discovery of cleaner, more efficient reactions. However, it should be emphasized that these tools do not replace experimental chemistry—if anything, they enhance and guide it.
Author Contributions
Conceptualization, S.G.A. and Y.H.S.; methodology, S.G.A. and Y.H.S.; investigation, S.G.A., C.J.N., H.O.H.P., and Y.H.S.; writing—original draft preparation, S.G.A. and Y.H.S.; writing—review and editing, S.G.A., C.J.N., H.O.H.P., and Y.H.S.; visualization, Y.H.S.; supervision, S.G.A. and Y.H.S.; project administration, S.G.A. and Y.H.S. All authors have read and agreed to the published version of the manuscript.
Funding
This research received no external funding.
Data Availability Statement
No new data were created or analyzed in this study. Data sharing is not applicable to this article.
Conflicts of Interest
The authors declare no conflicts of interest.
Abbreviations
The following abbreviations are used in this manuscript:
| AEEA | 2-(2-Aminoethylamino)ethanol |
| AMP | 2-Amino-2-methyl-1-propanol |
| BITE-101 | 4-Amino-7,8-dinitropyrazole-[5,1-d][1,2,3,5]-tetrazine-2-oxide |
| BuNENA | N-butyl-N-(2-nitroxy-ethyl)nitramine |
| CCS | Carbon Capture and Storage |
| CL-20/HNIW | Hexanitrohexaazaisowurtzitane |
| DFT/ab initio | Density Functional Theory/first-principles |
| DINA | Dinitroxydiethylnitramine |
| DNDA-57 | Dinitro-diaza plasticizer |
| DNP | Dinitrogen pentoxide |
| DPT | 3,7-Dinitro-1,3,5,7-tetraazabicyclo[3,3,1]nonane |
| FOX-7 | 1,1-Diamino-2,2-dinitroethylene |
| HMPA | Hexamethylphosphoramide |
| HMX | Octahydro-1,3,5,7-tetranitro-1,3,5,7-tetrazocine |
| HSE | Health, Safety, and Environment |
| IL | Ionic liquid |
| mCPBA | meta-Chloroperbenzoic acid |
| ML | Machine learning |
| MHS | Melaminium-tris-hydrogensulfate |
| TETN | Triethylenetetranitramine |
| TFA/TFAA | Trifluoroacetic acid/trifluoracetic anhydride |
References
- Sikder, A.; Sikder, N. A review of advanced high performance, insensitive and thermally stable energetic materials emerging for military and space applications. J. Hazard. Mater. 2004, 112, 1–15. [Google Scholar] [CrossRef] [PubMed]
- Nielsen, C.J.; Herrmann, H.; Weller, C. Atmospheric chemistry and environmental impact of the use of amines in carbon capture and storage (CCS). Chem. Soc. Rev. 2012, 41, 6684–6704. [Google Scholar] [CrossRef]
- Yu, K.; Mitch, W.A.; Dai, N. Nitrosamines and Nitramines in Amine-Based Carbon Dioxide Capture Systems: Fundamentals, Engineering Implications, and Knowledge Gaps. Environ. Sci. Technol. 2017, 51, 11522–11536. [Google Scholar] [CrossRef]
- Rochelle, G.T. Amine scrubbing for CO2 capture. Science 2009, 325, 1652–1654. [Google Scholar] [CrossRef]
- Maguta, M.M.; Aursnes, M.; Bunkan, A.J.C.; Edelen, K.; Mikoviny, T.; Nielsen, C.J.; Stenstrøm, Y.; Tang, Y.; Wisthaler, A. Atmospheric fate of nitramines: An experimental and theoretical study of the OH Reactions with CH3NHNO2 and (CH3)2NNO2. J. Phys. Chem. A 2014, 118, 3450–3462. [Google Scholar] [CrossRef]
- Nielsen, C.J.; Bossi, R.; Bunkan, A.J.C.; Dithmer, L.; Glasius, M.; Hallquist, M.; Hansen, A.M.K.; Lutz, A.; Salo, K.; Maguta, M.M. Atmospheric Degradation of Amines (ADA): Summary Report from Atmospheric Chemistry Studies of Amines, Nitrosamines, Nitramines and Amides; NILU: Oslo, Norway, 2012; ISBN 978-82-992954-7-5. Available online: https://nva.sikt.no/registration/019b4ac01fd5-be79ad1e-cec1-4010-b565-e8f66131205c (accessed on 1 January 2026).
- Nielsen, C.J.; D’Anna, B.; Aursnes, M.; Boreave, A.; Bossi, R.; Dye, C.; Hallquist, M.; Karl, M.; Mikoviny, T.; Maguta, M.M. Atmospheric Degradation of Amines (ADA): Progress Report June 2010: Gas Phase Photo-Oxidation of Methylamine, Dimethylamine and Trimethylamine CLIMIT Project No. 201604; NILU: Oslo, Norway, 2010; Available online: https://nilu.com/publication/25495/ (accessed on 1 January 2026).
- Nielsen, C.J.; D’Anna, B.; Dye, C.; Graus, M.; Karl, M.; King, S.; Maguto, M.M.; Müller, M.; Schmidbauer, N.; Stenstrøm, Y. Atmospheric chemistry of 2-aminoethanol (MEA). Energy Procedia 2011, 4, 2245–2252. [Google Scholar] [CrossRef]
- Låg, M.; Lindeman, B.; Instanes, C.; Brunborg, G.; Schwarze, P.E. Health Effects of Amines and Derivatives Associated with CO2 Capture; 8280824626; Nasjonalt Folkehelseinstitutt: Oslo, Norway, 2011; Available online: https://www.fhi.no/globalassets/dokumenterfiler/rapporter/2011/health-effects-of-amines-and-derivatives-associated-with-co2-capture.pdf (accessed on 1 January 2026).
- Chatterjee, S.; Deb, U.; Datta, S.; Walther, C.; Gupta, D.K. Common explosives (TNT, RDX, HMX) and their fate in the environment: Emphasizing bioremediation. Chemosphere 2017, 184, 438–451. [Google Scholar] [CrossRef] [PubMed]
- Sheremata, T.W.; Halasz, A.; Paquet, L.; Thiboutot, S.; Ampleman, G.; Hawari, J. The Fate of the Cyclic Nitramine Explosive RDX in Natural Soil. Environ. Sci. Technol. 2001, 35, 1037–1040. [Google Scholar] [CrossRef] [PubMed]
- Svendsen, C.; Låg, M.; Lindeman, B.; Andreassen, M.; Granum, B. New Knowledge on Health Effects of Amines and Their Derivatives Associated with CO2 Capture; M-2691; Norwegian Institute of Public Health: Oslo, Norway, 2024; Available online: https://kudos.dfo.no/dokument/105739/new-knowledge-on-health-effects-of-amines-and-their-derivatives-associated-with-co2-capture-m-2691 (accessed on 1 January 2026).
- Parry, R.; Nishino, S.; Spain, J. Naturally-occurring nitro compounds. Nat. Prod. Rep. 2011, 28, 152–167. [Google Scholar] [CrossRef]
- Wang, Y.; Zhang, J.; Shi, R.; Zhou, S.; Chen, S.; Li, R.; Huang, W.; He, H.-Y. Nitramine Formation via a Cryptic Non-Ribosomal Peptide Synthetase-Dependent Strategy in N-Nitroglycine Biosynthesis. Angew. Chem. Int. Ed. 2025, 64, e202507866. [Google Scholar] [CrossRef]
- Agrawal, J.P. Synthetic Routes to N-Nitro Functionality. In Organic Chemistry of Explosives; Agrawal, J.P., Hodgson, R.D., Eds.; John Wiley & Sons Ltd.: Chichester, UK, 2006; pp. 191–261. [Google Scholar] [CrossRef]
- Patil, D.; Jain, S.; Brill, T. Thermal Decomposition of Energetic Materials 57. Products of some self-igniting fuel-HNO3 Systems. Propellants Explos. Pyrotech. 1992, 17, 260–264. [Google Scholar] [CrossRef]
- Denton, I.N.; Lamberton, A.H. Nitramines and nitramides. Part VIII. Additional measurements of the rate of decomposition of primary nitramines, and the evidence for general acid-catalysis. J. Chem. Soc. 1955, 1655–1657. [Google Scholar] [CrossRef]
- Bamberger, E.; Kirpal, A. Nitrirung aliphatischer Basen. Berichte Dtsch. Chem. Ges. 1895, 28, 535–538. [Google Scholar] [CrossRef]
- Meen, R.H.; Wright, G.F. The nitration of weakly basic secondary amines. J. Org. Chem. 1954, 19, 391–402. [Google Scholar] [CrossRef]
- Witt, O.N. Über die Diazotierung schwach basischer, schwer löslicher, primärer Amine und einige damit zusammenhängende Vorgänge. Berichte Dtsch. Chem. Ges. 1909, 42, 2953–2961. [Google Scholar] [CrossRef]
- Zincke, T., II. Ueber die Einwirkung von Salpetersäure auf Amidosulfoäuren: Nitramine, Diazoverbindungen und Indazole. Justus Liebigs Ann. Der Chem. 1905, 339, 202–241. [Google Scholar] [CrossRef][Green Version]
- Elion, L. Sur la Formation de Produits Accessoires dans la Diazotation D’après la Méthode de Witt. Recl. Trav. Chim. Pays-Bas 1923, 42, 145–183. [Google Scholar] [CrossRef]
- Jones, W.W.; Willson, F.G. CCXCIII.—Polynitroarylnitroamines. Part I. 2: 4: 6-Trinitrophenylnitroamine. J. Chem. Soc. 1930, 2277–2279. [Google Scholar] [CrossRef]
- Nielsen, A.T.; Chafin, A.P.; Christian, S.L. Nitrocarbons. 4. Reaction of polynitrobenzenes with hydrogen halides. Formation of polynitrohalobenzenes. J. Org. Chem. 1984, 49, 4575–4580. [Google Scholar] [CrossRef]
- Nielsen, A.T.; Christian, S.L.; Chafin, A.P.; Wilson, W.S. Synthesis of tetranitrotoluenes. J. Org. Chem. 1994, 59, 1714–1718. [Google Scholar] [CrossRef]
- Bergman, J.; Brimert, T. Synthesis and reactions of some dinitrodiazoquinones. Tetrahedron 1999, 55, 5581–5592. [Google Scholar] [CrossRef]
- Mudge, P.R.; Salter, D.A.; Scilly, N.F. Rearrangement of an O-nitrophenylnitramine; a new synthesis of diazophenols. J. Chem. Soc. Chem. Commun. 1975, 569. [Google Scholar] [CrossRef]
- Atkins, R.L.; Hollins, R.A.; Wilson, W.S. Synthesis of polynitro compounds. Hexasubstituted benzenes. J. Org. Chem. 1986, 51, 3261–3266. [Google Scholar] [CrossRef]
- Lipilin, D.L.; Sheremetev, A.B. Efficient synthesis of aryl nitramines. Russ. Chem. Bull. 2024, 73, 1450–1454. [Google Scholar] [CrossRef]
- Atkins, R.L.; Wilson, W.S. Synthesis of polynitrodiazophenols. J. Org. Chem. 1986, 51, 2572–2578. [Google Scholar] [CrossRef]
- Porcs-Makkay, M.; Mezei, T.; Simig, G. New Practical Synthesis of the Key Intermediate of Candesartan. Org. Process Res. Dev. 2007, 11, 490–493. [Google Scholar] [CrossRef]
- Frumkin, A.; Churakov, A.; Strelenko, Y.A.; Tartakovsky, V. New approach to the synthesis of benzo [e][1, 2, 3, 4] tetrazine 1, 3-dioxides. Russ. Chem. Bull. 2000, 49, 482–486. [Google Scholar] [CrossRef]
- Olah, G.; Lin, H.; Serianz, A. Synthetic Methods and Reactions, XVI. The Nitramine Rearrangement of N-Nitrodimethylanilines. A Novel Route for the Conversion of 3-Nitro-o-xylene into 4-Nitro-o-xylene. Synthesis 1976, 1976, 42–43. [Google Scholar] [CrossRef]
- Dubsky, J.V. Zur Kenntnis der direkten Nitrierung aliphatischer Iminoverbindungen. III. Mitteilung: Einwirkung absoluter Salpetersäure auf Derivate der Imino-dipropionsäuren, NH(CH. CO2 H)2.CH3. Berichte Dtsch. Chem. Ges. 1916, 49, 1045–1060. [Google Scholar] [CrossRef]
- Plesch, W.; Wiessler, M. Synthesen von α-C-funktionellen N-Nitrodialkylaminen: Ester von [(Alkyl)(nitro)amino]methanol und 1-[(Alkyl)(nitro)-amino]ethanol. Liebigs Ann. Der Chem. 1984, 1984, 1494–1503. [Google Scholar] [CrossRef]
- Eremenko, L.; Gafurov, R.; Nesterenko, D.; Korepin, A.; Natsibullina, N. Synthesis of 3-fluoro-3, 3-dinitro-1-aminopropane and some of its derivatives. Bull. Acad. Sci. USSR Div. Chem. Sci. 1969, 18, 2397–2399. [Google Scholar] [CrossRef]
- Eremenko, L.; Nesterenko, D.; Natsibullina, N. N-(2-fluoro-2, 2-dinitroethyl)-N-nitroamino alcohols and some of their derivatives. Bull. Acad. Sci. USSR. Div. Chem. Sci. 1970, 19, 1261–1264. [Google Scholar] [CrossRef]
- Gafurov, R.; Sviridov, S.; Natsibullin, F.Y.; Eremenko, L. Synthesis of bis-(2-fluoro-2, 2-dinitroethyl) nitramine and tris-(2-fluoro-2, 2-dinitroethyl) amine. Bull. Acad. Sci. USSR Div. Chem. Sci. 1970, 19, 329–332. [Google Scholar] [CrossRef]
- Gafurov, R.; Korepin, A.; Sogomonyan, E.; Salakhova, A.; Eremenko, L. 3-Fluoro-3, 3-dinitro-1-aminopropane in the mannich reaction. Bull. Acad. Sci. USSR Div. Chem. Sci. 1972, 21, 1823–1824. [Google Scholar] [CrossRef]
- Feuer, H.; Bachman, G.B.; Koller, C.R.; Swarts, W.A. Preparation of polynitro compounds from amino acids. Tetrahedron 1963, 19, 165–176. [Google Scholar] [CrossRef]
- Cichra, D.A.; Adolph, H.G. Synthesis of polynitro-and nitronitrosoperhydro-1, 5-diazocines. Synthesis 1983, 1983, 830–833. [Google Scholar] [CrossRef]
- Xu, M.-Q.; Dong, W.-S.; Tariq, Q.-u.-N.; Zhang, C.; Li, C.; Lu, Z.-J.; Zhao, B.-S.; Yu, Q.-Y.; Zhang, J.-G. Synthesis, Characterization, and Properties of Novel Coplanar Bicyclic Compounds Based on Triazolofurazane Compounds. Molecules 2025, 30, 2803. [Google Scholar] [CrossRef]
- Pictet, A.; Khotinsky, E. Über Acetylnitrat. Berichte Dtsch. Chem. Ges. 1907, 40, 1163–1166. [Google Scholar] [CrossRef]
- Ma, C.; Liu, Z.; Yao, Q. Synthesis and characterization of 5-amino-1,3,6-trinitro-1H-benzo[d]imidazol-2(3H)-one as an energetic material. RSC Adv. 2014, 4, 42215–42219. [Google Scholar] [CrossRef]
- Wang, J.; Pan, Y.; Wang, Y.; Ni, L.; Leveneur, S. Process optimization and scale-up of toluene nitration in a microchannel reactor using HNO3-AC2O as nitrating agent. Chem. Eng. Process.—Process Intensif. 2024, 204, 109934. [Google Scholar] [CrossRef]
- Klapötke, T.M.; Krumm, B.; Scharf, R. From Amino Acids to High-Energy Dense Oxidizers: Polynitro Materials Derived from β-Alanine and L-Aspartic Acid. Z. Für Anorg. Und Allg. Chem. 2016, 642, 887–895. [Google Scholar] [CrossRef]
- Klapötke, T.M.; Krumm, B.; Scharf, R. N-Nitrosarcosine: An Economic Precursor for the Synthesis of New Energetic Materials. Chem.-Asian J. 2016, 11, 3134–3144. [Google Scholar] [CrossRef]
- Lal, S.; Staples, R.J.; Shreeve, J.n.M. FOX-7 derived nitramines: Novel propellants and oxidizers for solid rocket propulsion. Chem. Eng. J. 2023, 468, 143737. [Google Scholar] [CrossRef]
- Gao, H.; Shreeve, J.n.M. The Many Faces of FOX-7: A Precursor to High-Performance Energetic Materials. Angew. Chem. Int. Ed. 2015, 54, 6335–6338. [Google Scholar] [CrossRef]
- Bottaro, J.C.; Gilardi, R.; Penwell, P.E.; Petrie, M.; Malhotra, R. Synthesis, Characterization and Chemistry of the Fluoronitramide Anion. Synthesis 2007, 2007, 1151–1153. [Google Scholar] [CrossRef]
- Herring, K.G.; Toombs, L.E.; Wright, G.F.; Chute, W.J. Catalyzed nitration of amines: I. Dinitroxydiethylnitramine. Can. J. Res. 1948, 26b, 89–103. [Google Scholar] [CrossRef]
- Dunn, G.E.; MacKenzie, J.C.; Wright, G.F. Catalyzed nitration of amines: II. Relative basicities of secondary amines in acetic acid. Can. J. Res. 1948, 26b, 104–113. [Google Scholar] [CrossRef]
- Dunn, G.; MacKenzie, J.; Suggitt, J.; Wright, G.F.; Chute, W.; Myers, G.; Smart, G. Catalyzed nitration of amines: III. The ease of nitration among aliphatic secondary amines. Can. J. Res. 1948, 26, 114–137. [Google Scholar] [CrossRef]
- Li, W.; Feng, W.; Hao, J.; Guo, Z.; Chen, L.; Chen, W. Synthesis, Optimization, and Thermal Risk Analysis of One-Pot N-Nitrodiethanolamine Dinitrate Synthesis. Org. Process Res. Dev. 2019, 23, 2388–2393. [Google Scholar] [CrossRef]
- Klapötke, T.M.; Krumm, B.; Lechner, J.T.; Riedelsheimer, C. Synthesis and Properties of Bis(nitrocarbamoylethyl) Nitramine—A New Energetic Open-Chain Nitrocarbamate. ChemistrySelect 2022, 7, e202202232. [Google Scholar] [CrossRef]
- Fredriksen, K.A.; Kristensen, T.E. Synthesis of nitroxyethylnitramine (NENA) plasticizers and dinitroxydiethylnitramine (DINA) in continuous flow. Propellants Explos. Pyrotech. 2023, 48, e202200321. [Google Scholar] [CrossRef]
- Rao, K.P.C.; Sikder, A.K.; Kulkarni, M.A.; Bhalerao, M.M.; Gandhe, B.R. Studies on n-Butyl Nitroxyethylnitramine (n-BuNENA): Synthesis, Characterization and Propellant Evaluations. Propellants Explos. Pyrotech. 2004, 29, 93–98. [Google Scholar] [CrossRef]
- Smart, G.N.R.; Wright, G.F. Triethylenetetranitramine. J. Am. Chem. Soc. 1948, 70, 3141–3142. [Google Scholar] [CrossRef]
- Archibald, T.G.; Baum, K.; Garver, L.C. Synthesis of N-nitroazetidines. Synth. Commun. 1990, 20, 407–411. [Google Scholar] [CrossRef]
- Rykaczewski, K.A.; Becker, M.R.; Anantpur, M.J.; Sausa, R.C.; Johnson, E.C.; Orlicki, J.A.; Bukowski, E.J.; Sabatini, J.J.; Schindler, C.S. Photochemical Strategies Enable the Synthesis of Tunable Azetidine-Based Energetic Materials. J. Am. Chem. Soc. 2022, 144, 19089–19096. [Google Scholar] [CrossRef] [PubMed]
- Bamberger, E. Nachträgliches über Arylnitramine. Berichte Dtsch. Chem. Ges. A B Ser. 1920, 53, 2321–2327. [Google Scholar] [CrossRef]
- White, W.; Wolfarth, E.; Klink, J.; Kindig, J.; Hathaway, C.; Lazdins, D. Preparation of Aromatic Nitramines. Alkaline Nitration Using Phenyllithium as Base. J. Org. Chem. 1961, 26, 4124–4126. [Google Scholar] [CrossRef]
- Fukuzumi, M.; Nakanishi, W.; Ishikawa, T.; Kumamoto, T. Synthesis of ortho-Phenylenebis(guanidine) Derivatives with Potential Chirality. Helv. Chim. Acta 2014, 97, 1453–1468. [Google Scholar] [CrossRef]
- Daszkiewicz, Z.; Domański, A.; Kyziol, J.B. An alternate method for the synthesis of secondary nitramines. Org. Prep. Proced. Int. 1994, 26, 337–341. [Google Scholar] [CrossRef]
- Daszkiewicz, Z.; Koterzyna, M.; Kyzioł, J.B. Synthesis and rearrangement of N-methyl-N-(2-thiazolyl)-nitramine. Synth. Commun. 2001, 31, 2921–2927. [Google Scholar] [CrossRef]
- Winters, L.J.; Learn, D.B.; Desai, S.C. A preparation of primary aliphatic nitramines. J. Org. Chem. 1965, 30, 2471–2472. [Google Scholar] [CrossRef]
- Antonsen, S.; Bunkan, A.J.; D’Anna, B.; Eichler, P.; Farren, N.; Hallquist, M.; Hamilton, J.F.; Kvarnliden, H.; Mikoviny, T.; Müller, M. Atmospheric chemistry of tert-butylamine and AMP. Energy Procedia 2017, 114, 1026–1032. [Google Scholar] [CrossRef]
- Tan, W.; Zhu, L.; Mikoviny, T.s.; Nielsen, C.J.; Wisthaler, A.; Eichler, P.; Müller, M.; d’Anna, B.; Farren, N.J.; Hamilton, J.F. Theoretical and Experimental Study on the Reaction of tert-Butylamine with OH Radicals in the Atmosphere. J. Phys. Chem. A 2018, 122, 4470–4480. [Google Scholar] [CrossRef]
- Emmons, W.D.; Freeman, J.P. Alkaline nitration. I. The nitration of amines with cyanohydrin nitrates. J. Am. Chem. Soc. 1955, 77, 4387–4390. [Google Scholar] [CrossRef]
- Tan, W.; Zhu, L.; Mikoviny, T.; Nielsen, C.J.; Wisthaler, A.; D’anna, B.; Antonsen, S.; Stenstrøm, Y.; Farren, N.J.; Hamilton, J.F. Experimental and theoretical study of the OH-initiated degradation of piperazine under simulated atmospheric conditions. J. Phys. Chem. A 2020, 125, 411–422. [Google Scholar] [CrossRef] [PubMed]
- Park, Y.-D.; Kim, H.-K.; Kim, J.-J.; Cho, S.-D.; Kim, S.-K.; Shiro, M.; Yoon, Y.-J. N-Nitration of Secondary Amines with 4-Chloro-5-methoxy-2-nitropyridazin-3-one. J. Org. Chem. 2003, 68, 9113–9115. [Google Scholar] [CrossRef]
- Bottaro, J.C.; Schmitt, R.J.; Bedford, C.D. Nonacidic nitration of secondary amines. J. Org. Chem. 1987, 52, 2292–2294. [Google Scholar] [CrossRef]
- Bayat, Y.; Esmailmarandi, F. Thionyl Nitrate as Nitrating Agent for the Synthesis of 2-[Butyl(nitro)amino]ethyl Nitrate (n-BuNENA). Propellants Explos. Pyrotech. 2017, 42, 220–223. [Google Scholar] [CrossRef]
- Bayat, Y.; Esmailmarandi, F. N-Nitropyridinium nitrate: An efficient nitrating agent for the synthesis of 2-[butyl (nitro) amino] ethyl nitrate (n-BuNENA). Cent. Eur. J. Energetic Mater. 2016, 13, 838–844. [Google Scholar] [CrossRef]
- Bamberger, E. Nitrirung des Anilins. Berichte Dtsch. Chem. Ges. 1894, 27, 584–587. [Google Scholar] [CrossRef]
- Hoff, E., II. Ueber directe Einführung von Nitrogruppen in die Seitenkette aromatischer Aminbasen. Justus Liebigs Ann. Chem. 1900, 311, 91–98. [Google Scholar] [CrossRef]
- Emmons, W.D.; Pagano, A.S.; Stevens, T.E. Nitration of amines with dinitrogen pentoxide. J. Org. Chem. 1958, 23, 311–313. [Google Scholar] [CrossRef]
- Makhova, N.; Mikhailyuk, A.; Bova, A.; Chabina, T.; Khmel’Nitskii, L. Synthesis and transformations of 1, 3, 5-triazabicyclo [3.1. 0] hexanes. Russ. Chem. Bull. 1993, 42, 2004–2009. [Google Scholar] [CrossRef]
- Golding, P.; Millar, R.; Paul, N.; Richards, D. Nitration by oxides of nitrogen, part 2: Preparation of nitramines by reaction of strained-ring nitrogen heterocycles with dinitrogen pentoxide. Tetrahedron Lett. 1988, 29, 2735–2736. [Google Scholar] [CrossRef]
- Golding, P.; Millar, R.W.; Paul, N.C.; Richards, D.H. Preparation of nitramine-nitrates by ring-opening nitration of aziridines by dinitrogen pentoxide (N2O5). Tetrahedron 1993, 49, 7063–7076. [Google Scholar] [CrossRef]
- Golding, P.; Millar, R.W.; Paul, N.C.; Richards, D.H. Preparation of nitramine-nitrates by ring-opening nitration of azetidines by dinitrogen pentoxide (N2O5). Tetrahedron 1995, 51, 5073–5082. [Google Scholar] [CrossRef]
- Millar, R.; Paul, N.; Richards, D.; Bunyan, P.; Golding, P.; Rowley, J. “Tris-X”(1), A New High Energy Polynitramine Explosive: Synthesis using dinitrogen pentoxide (n2O5) technology (2), characterization, and thermal stability and hazard assessment. Propellants Explos. Pyrotech. 1993, 18, 55–61. [Google Scholar] [CrossRef]
- Golding, P.; Millar, R.; Paul, N.; Richards, D. Nitration by oxides of nitrogen, part 4: Unexpected behaviour of certain aziridines and azetidines upon reaction with dinitrogen pentoxide. Tetrahedron Lett. 1991, 32, 4985–4988. [Google Scholar] [CrossRef]
- Cao, X.-F.; Li, B.-D.; Wang, M. An efficient method to synthesize TNAD by the nitration of 1,4,5,8-tetraazabicyclo-[4,4,0]-decane with N2O5 and acidic ionic liquids. Chin. Chem. Lett. 2014, 25, 423–426. [Google Scholar] [CrossRef]
- Olsen, R.E.; Fish, D.W.; Hamel, E.E. Synthetic Applications of Nitronium Tetrafluoroborate. In Advanced Propellant Chemistry; Advances in Chemistry; American Chemical Society: Washington, DC, USA, 1966; Volume 54, pp. 48–54. [Google Scholar]
- Yu, V.G.; Ilyushin, M.A.; Golod, E.L.; Gidaspov, B.V. Nitronium Salts in Organic Chemistry. Russ. Chem. Rev. 1983, 52, 284. [Google Scholar] [CrossRef]
- Adams, C.M.; Sharts, C.M.; Shackelford, S.A. Electrophilic tetraalkylammonium nitrate nitration. I. Convenient new anhydrous nitronium triflate synthesis and in-situ heterocyclic N-nitration. Tetrahedron Lett. 1993, 34, 6669–6672. [Google Scholar] [CrossRef]
- Suri, S.C.; Chapman, R.D. A Convenient Method For N-Nitration Using Ammonium Nitrate/Trifluoroacetic Anhydride. Synthesis 1988, 1988, 743–745. [Google Scholar] [CrossRef]
- Romea, P.; Aragones, M.; Garcia, J.; Vilarrasa, J. Improved methods for the N-nitration of amides. J. Org. Chem. 1991, 56, 7038–7042. [Google Scholar] [CrossRef]
- Bayat, Y.; Esmailmarandi, F.; Azizkhani, V. A simple and efficient nitrating agent to achieve N-n-butyl-N-(2-nitroxyethyl) nitramine (Bu-NENA) and theoretical study of its compatibility with polyglycidyl nitrate (PGN) and glycidyl azide polymer (GAP). Polym. Bull. 2025, 82, 1197–1221. [Google Scholar] [CrossRef]
- Antonsen, S.; Aursnes, M.; Gallantree-Smith, H.; Dye, C.; Stenstroem, Y. Safe synthesis of alkylhydroxy and alkylamino nitramines. Molecules 2016, 21, 1738. [Google Scholar] [CrossRef]
- White, E.H.; Grisley, D.W., Jr. The Preparation and Decomposition of Certain N-Nitroamides and N-Nitrocarbamates. J. Am. Chem. Soc. 1961, 83, 1191–1196. [Google Scholar] [CrossRef]
- Norris, W.P. The Reaction of Dialkylcarbamyl Chlorides with Silver Nitrate1. J. Am. Chem. Soc. 1959, 81, 3346–3350. [Google Scholar] [CrossRef]
- Badgujar, D.M.; Talawar, M.B.; Asthana, S.N.; Venugopalan, S.; Rao, A.S.; Mahulikar, P.P. Microwave assisted facile synthesis of {1/1,3-bis/1,3,5-tris-[(2-nitroxyethylnitramino)-2,4,6-trinitrobenzene]} using bismuth nitrate pentahydrate as an eco-friendly nitrating agent. J. Hazard. Mater. 2008, 152, 820–825. [Google Scholar] [CrossRef] [PubMed]
- Franchimont, M.M.A.P.N.; Klobbie, E.A. Contributions à la connaissance de l’action de l’acide azotique sur les corps organiques. Recl. Trav. Chim. Pays-Bas 1889, 8, 283–306. [Google Scholar] [CrossRef]
- Franchimont, A.P.N. Sur la méthylnitramine. Recl. Trav. Chim. Pays-Bas 1894, 13, 308–330. [Google Scholar] [CrossRef]
- Franchimont, A.; Klobbie, E. Quelques nitramines et leur préparation. Recl. Trav. Chim. Pays-Bas 1888, 7, 343–357. [Google Scholar] [CrossRef]
- Franchimont, A.P.N.; Klobbie, E.A. Sur quelques uréides et leurs dérivés nitrés. Recl. Trav. Chim. Pays-Bas 1888, 7, 236–257. [Google Scholar] [CrossRef]
- Umbgrove, H.; Franchimont, A.P.N. L’éthylenítramine et quelques-uns de ses dérivés. Recl. Trav. Chim. Pays-Bas Belg. 1897, 16, 385–400. [Google Scholar] [CrossRef]
- Umbgrove, H.; Franchimont, A.P.N. La propylenitramine, quelques-uns de ses dérivés alkyliques et leurs isomères, et l’existence probable d’une nouvelle classe d’isomères des nitramines neutres. Recl. Trav. Chim. Pays-Bas Belg. 1898, 17, 270–286. [Google Scholar] [CrossRef]
- Thomas, M.J.C.A.S. Propyl- et Isopropylnitramine et leurs dérivés. Recl. Trav. Chim. Pays-Bas 1890, 9, 69–91. [Google Scholar] [CrossRef]
- van Erp, H. Sur les nitramines aliphatiques. Recl. Trav. Chim. Pays-Bas 1895, 14, 1–55. [Google Scholar] [CrossRef]
- van Romburgh, P. Sur quelques dérivés de la sulfophénylamide et leur action sur l’acide azotique fumant. Recl. Trav. Chim. Pays-Bas 1884, 3, 7–17. [Google Scholar] [CrossRef]
- Hinsberg, O. Ueber Benzolsulfonnitramid. Berichte Dtsch. Chem. Ges. 1892, 25, 1092–1096. [Google Scholar] [CrossRef]
- Emmons, W.D.; Freeman, J.P. The Aminolysis of N-Nitrotoluenesulfonamides1. J. Am. Chem. Soc. 1955, 77, 6061–6062. [Google Scholar] [CrossRef]
- Curry, H.M.; Mason, J.P. Amine salts of N-nitroamines. J. Am. Chem. Soc. 1951, 73, 5041–5042. [Google Scholar] [CrossRef]
- Curry, H.M.; Mason, J.P. Carbamates and N-nitrocarbamates. J. Am. Chem. Soc. 1951, 73, 5043–5046. [Google Scholar] [CrossRef]
- Vijayalakshmi, R.; Naik, N.H.; Gore, G.M.; Sikder, A.K. Linear Nitramine (DNDA-57): Synthesis, Scale-Up, Characterization, and Quantitative Estimation by GC/MS. J. Energetic Mater. 2015, 33, 1–16. [Google Scholar] [CrossRef]
- Kuchurov, I.V.; Fomenkov, I.V.; Zlotin, S.G.; Tartakovsky, V.A. Nitration of carbonic, sulfuric and oxalic acid-derived amides in liquid carbon dioxide. Mendeleev Commun. 2013, 23, 81–83. [Google Scholar] [CrossRef]
- Zharkov, M.N.; Kuchurov, I.V.; Fomenkov, I.V.; Zlotin, S.G.; Tartakovsky, V.A. Nitration of glycoluril derivatives in liquid carbon dioxide. Mendeleev Commun. 2015, 25, 15–16. [Google Scholar] [CrossRef]
- Zharkov, M.N.; Kuchurov, I.V.; Fomenkov, I.V.; Tartakovsky, V.A.; Fedyanin, I.V.; Zlotin, S.G. Safe and Convenient Synthesis of Primary N-Nitramines in the Freon Media. Synthesis 2017, 49, 1103–1108. [Google Scholar] [CrossRef][Green Version]
- Arabadzhi, S.S.; Zharkov, M.N.; Kuchurov, I.V.; Zlotin, S.G. Synthesis of Chiral N-Nitro-oxazolidin-2-ones and O-(β-Nitraminoalkyl) Carbamates in Liquefied 1, 1, 1, 2-Tetrafluoroethane Medium. Synthesis 2020, 52, 3485–3491. [Google Scholar] [CrossRef]
- Robson, J.H. The Nitrolysis of N,N-Dialkylformamides. J. Am. Chem. Soc. 1955, 77, 107–108. [Google Scholar] [CrossRef]
- Robson, J.H.; Reinhart, J. The Synthesis of Secondary Nitramines by the Nitrolysis of N,N-Disubstituted Amides. J. Am. Chem. Soc. 1955, 77, 2453–2457. [Google Scholar] [CrossRef]
- Gundersen, C.B.; Andersen, T.; Lindahl, S.; Linke, D.; Vogt, R.D. Bacterial Response from Exposure to Selected Aliphatic Nitramines. Energy Procedia 2014, 63, 791–800. [Google Scholar] [CrossRef]
- Gundersen, C.B.; Andersen, T.; Vogt, R.D.; Allison, S.D. Growth response of environmental bacteria under exposure to nitramines from CO2-capture. Int. J. Greenh. Gas Control 2018, 79, 248–251. [Google Scholar] [CrossRef]
- Gundersen, C.B.; Breedveld, G.D.; Foseid, L.; Vogt, R.D. Soil sorption of two nitramines derived from amine-based CO2 capture. Environ. Sci. Process. Impacts 2017, 19, 812–821. [Google Scholar] [CrossRef]
- Gundersen, C.B.; Zhu, L.; Lindahl, S.; Wang, S.; Wilson, S.R.; Lundanes, E. LC–MS/MS Method for Simultaneous Determination of Monoethanol- and Dimethylnitramine in Aqueous Soil Extracts. Chromatographia 2017, 80, 1475–1481. [Google Scholar] [CrossRef]
- Marchand, A.P.; Rajagopal, D.; Bott, S.G.; Archibald, T.G. A Novel Approach to the Synthesis of 1,3,3-trinitroazetidine. J. Org. Chem. 1995, 60, 4943–4946. [Google Scholar] [CrossRef]
- Marchand, A.P.; Rajagopal, D.; Bott, S.G.; Archibald, T.G. Reactions of 1-ethyl-3-azabicyclo [1.1.0]butane with electrophiles. A facile entry into new, N-substituted 3-ethylideneazetidines and 2-azetines. J. Org. Chem. 1994, 59, 1608–1612. [Google Scholar] [CrossRef]
- Archibald, T.G.; Gilardi, R.; Baum, K.; George, C. Synthesis and x-ray crystal structure of 1,3,3-trinitroazetidine. J. Org. Chem. 1990, 55, 2920–2924. [Google Scholar] [CrossRef]
- Marchand, A.P.; Rajagopal, D.; Bott, S.G.; Archibald, T.G. Additions of X-Y Across the C(3)-N .sigma.-Bond in 1-Aza-3-ethylbicyclo[1.1.0]butane. Novel Routes to 3-Substituted Azetidines. J. Org. Chem. 1994, 59, 5499–5501. [Google Scholar] [CrossRef]
- Gafurov, R.G.; Sogomonyan, E.M.; Eremenko, L.T. Conversion of nitrosamines to nitramines. Bull. Acad. Sci. USSR Div. Chem. Sci. 1973, 22, 2764. [Google Scholar] [CrossRef]
- Chapman, R.D.; Gilardi, R.D.; Welker, M.F.; Kreutzberger, C.B. Nitrolysis of a highly deactivated amide by protonitronium. Synthesis and structure of HNFX1. J. Org. Chem. 1999, 64, 960–965. [Google Scholar] [CrossRef] [PubMed]
- Luk’yanov, O.A.; Mel’nikova, T.G.; Kriger, L.N.; Tartakovskii, V.A. Nitration of N-alkylimides. Bull. Acad. Sci. USSR Div. Chem. Sci. 1981, 30, 1756–1759. [Google Scholar] [CrossRef]
- Luk’yanov, O.A.; Mel’nikova, T.G.; Shagaeva, M.E. Nitrolysis of urethanes derived from secondary alcohols as a new method for the synthesis of secondaryN-nitroamines. Russ. Chem. Bull. 1998, 47, 1130–1132. [Google Scholar] [CrossRef]
- Kuchurov, I.V.; Fomenkov, I.V.; Zlotin, S.G. The nitrolysis of N,N-dialkylcarboxamides in liquid carbon dioxide. Russ. Chem. Bull. 2010, 59, 2147–2150. [Google Scholar] [CrossRef]
- Cichra, D.A.; Adolph, H.G. Nitrolysis of dialkyl tert-butylamines. J. Org. Chem. 1982, 47, 2474–2476. [Google Scholar] [CrossRef]
- Bachmann, W.; Sheehan, J.C. A new method of preparing the high explosive RDX. J. Am. Chem. Soc. 1949, 71, 1842–1845. [Google Scholar] [CrossRef]
- Hale, G.C. The Nitration of Hexamethylenetetramine1, 2. J. Am. Chem. Soc. 1925, 47, 2754–2763. [Google Scholar] [CrossRef]
- Cheng, G.; Li, X.; Qi, X.; Lu, C. Synthesis of RDX Catalyzed by Br⊘nsted Acidic Ionic Liquids. J. Energetic Mater. 2010, 28, 35–44. [Google Scholar] [CrossRef]
- Yi, W.-B.; Cai, C. Synthesis of RDX by nitrolysis of hexamethylenetetramine in fluorous media. J. Hazard. Mater. 2008, 150, 839–842. [Google Scholar] [CrossRef]
- Zhi, H.Z.; Luo, J.; Feng, G.A.; Lv, C.X. An efficient method to synthesize HMX by nitrolysis of DPT with N2O5 and a novel ionic liquid. Chin. Chem. Lett. 2009, 20, 379–382. [Google Scholar] [CrossRef]
- Siele, V.I.; Warman, M.; Leccacorvi, J.; Hutchinson, R.W.; Motto, R.; Gilbert, E.E.; Benzinger, T.M.; Coburn, M.D.; Rohwer, R.K.; Davey, R.K. Alternative Procedures for Preparing HMX. Propellants Explos. Pyrotech. 1981, 6, 67–73. [Google Scholar] [CrossRef]
- Shaghayeghi Toosi, F.; Jadidoleslami, M. An Efficient and Solvent-Free Method to Synthesize HMX by Nitrolysis of DPT Catalyzed by Reusable Solid Acid Catalysts. Synth. React. Inorg. Met.-Org. Nano-Met. Chem. 2016, 46, 159–162. [Google Scholar] [CrossRef]
- Bing, L.I.U.X.; Ming, L.U. Synthesis of 3,7-Dinitro-1,3,5,7-tetraazabicyclo-[3,3,1]nonane (DPT) Using Task-Specific Ionic Liquids as Recoverable Catalysts. J. Chem. 2011, 8, 573540. [Google Scholar] [CrossRef]
- Hu, J.; Jiang, D.; Huang, Y.; Liu, X.; Gao, S.; Wu, K.; He, C.; Dai, L. High efficient synthesis of HMX from DPT using deep eutectic catalyst. Tetrahedron 2025, 187, 134936. [Google Scholar] [CrossRef]
- Nair, U.R.; Sivabalan, R.; Gore, G.M.; Geetha, M.; Asthana, S.N.; Singh, H. Hexanitrohexaazaisowurtzitane (CL-20) and CL-20-based formulations (review). Combust. Explos. Shock Waves 2005, 41, 121–132. [Google Scholar] [CrossRef]
- Latypov, N.V.; Wellmar, U.; Goede, P.; Bellamy, A.J. Synthesis and Scale-Up of 2,4,6,8,10,12-Hexanitro-2,4,6,8,10,12-hexaazaisowurtzitane from 2,6,8,12-Tetraacetyl-4,10-dibenzyl-2,4,6,8,10,12-hexaazaisowurtzitane (HNIW, CL-20). Org. Process Res. Dev. 2000, 4, 156–158. [Google Scholar] [CrossRef]
- Bayat, Y.; Hajighasemali, F. Synthesis of CL-20 by a Greener Method Using Nitroguanidine/HNO3. Propellants Explos. Pyrotech. 2016, 41, 20–23. [Google Scholar] [CrossRef]
- Bayat, Y.; Mokhtari, J.; Farhadian, N.; Bayat, M. Heteropolyacids: An Efficient Catalyst for Synthesis of CL-20. J. Energetic Mater. 2012, 30, 124–134. [Google Scholar] [CrossRef]
- Bayat, Y.; Zolfigol, M.A.; Khazaei, A.; Mokhlesi, M.; Daraei, M.; Heydari Nezhad Tehrani, A.; Chehardoli, G. Synthesis of 2,4,6,8,10,12-Hexanitro-2,4,6,8,10,12-hexaazaisowurtzitane Using Melaminium-tris(hydrogensulfate) by a Simple One-Pot Nitration Procedure. Propellants Explos. Pyrotech. 2013, 38, 745–747. [Google Scholar] [CrossRef]
- Bayat, Y.; Ahari-Mostafavi, M.M.; Hasani, N. [Hmim][HSO4], a Green and Recyclable Acidic Ionic Liqiud Medium for the One-Pot Nitration of TADB to HNIW. Propellants Explos. Pyrotech. 2014, 39, 649–652. [Google Scholar] [CrossRef]
- Saikia, A.; Sivabalan, R.; Gore, G.M.; Sikder, A.K. Microwave-Assisted Quick Synthesis of Some Potential High Explosives. Propellants Explos. Pyrotech. 2012, 37, 540–543. [Google Scholar] [CrossRef]
- Nielsen, A.T.; Chafin, A.P.; Christian, S.L.; Moore, D.W.; Nadler, M.P.; Nissan, R.A.; Vanderah, D.J.; Gilardi, R.D.; George, C.F.; Flippen-Anderson, J.L. Synthesis of polyazapolycyclic caged polynitramines. Tetrahedron 1998, 54, 11793–11812. [Google Scholar] [CrossRef]
- Emmons, W.D. Peroxytrifluoroacetic acid. I. The oxidation of nitrosamines to nitramines. J. Am. Chem. Soc. 1954, 76, 3468–3470. [Google Scholar] [CrossRef]
- Mochizuki, M.; Anjo, T.; Wakabayashi, Y.; Sone, T.; Okada, M. Formation of n-alkyl-n (1-hydroperoxyalkyl) nitrosamines from n-alkyl-n-(1-acetoxyalkyl) nitrosamines. Tetrahedron Lett. 1980, 21, 1761–1764. [Google Scholar] [CrossRef]
- Bulusu, S.; Autera, J.; Axenrod, T. Synthesis of double 15N-labeled nitramines: N-nitropiperidine and N-nitrodimethylamine. J. Label. Compd. Radiopharm. 1980, 17, 711–714. [Google Scholar] [CrossRef]
- Mezyk, S.P.; Ewing, D.B.; Kiddle, J.J.; Madden, K.P. Kinetics and Mechanisms of the Reactions of Hydroxyl Radicals and Hydrated Electrons with Nitrosamines and Nitramines in Water. J. Phys. Chem. A 2006, 110, 4732–4737. [Google Scholar] [CrossRef]
- Boyer, J.H.; Pillai, T.P.; Ramakrishnan, V.T. Nitrosamines and Nitramines from Tertiary Amines. Synthesis 1985, 1985, 677–679. [Google Scholar] [CrossRef]
- Tan, W.; Zhu, L.; Mikoviny, T.; Nielsen, C.J.; Wisthaler, A.; D’anna, B.; Antonsen, S.; Stenstrøm, Y.; Farren, N.J.; Hamilton, J.F. Experimental and Theoretical Study of the OH-Initiated Degradation of Piperidine under Simulated Atmospheric Conditions. J. Phys. Chem. A 2024, 128, 2789–2814. [Google Scholar] [CrossRef]
- Brockman, F.J.; Wright, G.F.; Downing, D.C. Nitrolysis of Hexamethylenetetramine: III. Preparation of Pure Cyclonite. Can. J. Res. 1949, 27b, 469–474. [Google Scholar] [CrossRef] [PubMed]
- Masui, M.; Nose, K.; Terauchi, S.; Yamakawa, E.; Jeong, J.; Ueda, C.; Ohmori, H. Electrochemical Oxidation of N-Nitrosodialkylamines: Mechanism of N-Nitramine and β-Ketonitrosamine Formation. Chem. Pharm. Bull. 1985, 33, 2721–2730. [Google Scholar] [CrossRef][Green Version]
- Ali, R.; Matsui, K.; Šadauskis, J.; Catherall, A.; Wirth, T. Flow electrochemical oxidation of N-nitrosamines to N-nitramines. Chem. Commun. 2025, 61, 13671–13674. [Google Scholar] [CrossRef] [PubMed]
- Ali, R.; Babaahmadi, R.; Didsbury, M.; Stephens, R.; Melen, R.L.; Wirth, T. Flow Electrochemistry for the N-Nitrosation of Secondary Amines. Chem.-A Eur. J. 2023, 29, e202300957. [Google Scholar] [CrossRef]
- Lee, W.-C.C.; Novaes, L.F.T.; Ali, R.; Wirth, T.; Lin, S. Electrochemical α-C─H Functionalization of Nitramines for Accessing Bifunctional Energetic Heterocycles. Angew. Chem. Int. Ed. 2025, 64, e202515252. [Google Scholar] [CrossRef]
- Haire, M.J.; Boswell, G.A., Jr. N-Nitroaziridines: Synthesis, thermal stability, and solvolytic reactivity. J. Org. Chem. 1977, 42, 4251–4256. [Google Scholar] [CrossRef]
- Boswell, G.A., Jr. Reaction of nitrosyl fluoride and selected steroid enes. New synthesis of .DELTA.5-4-keto steroids. J. Org. Chem. 1968, 33, 3699–3713. [Google Scholar] [CrossRef] [PubMed]
- Hernández, R.; Rivera, A.; Salazar, J.A.; Suárez, E. Nitroamine radicals as intermediates in the functionalization of non-activated carbon atoms. J. Chem. Soc. Chem. Commun. 1980, 958–959. [Google Scholar] [CrossRef]
- Francisco, C.G.; Melián, D.; Salazar, J.A.; Suárez, E. Steroidal N-nitroamines. Part 1. Denitroamination of steroidal 4β-, 6β-, 7α-, and 7β-nitroamines. J. Chem. Soc. Perkin Trans. 1 1982, 923–929. [Google Scholar] [CrossRef]
- Francisco, C.G.; Freire, R.; Hernández, R.; Melián, D.; Salazar, J.A.; Suárez, E. Steroidal N-nitroamines. Part 3. Pyrolytic denitroamination of N-nitroamino-adamantane and -bornane, and of several steroidal N-nitroamines. J. Chem. Soc. Perkin Trans. 1 1983, 2325–2328. [CrossRef]
- Francisco, C.G.; Freire, R.; Hernández, R.; Melián, D.; Salazar, J.A.; Suárez, E. Steroidal N-nitro-amines. Part 2. Denitroamination of steroidal 12β-, 17β-, 20β-, and 23R-nitro-amines. J. Chem. Soc. Perkin Trans. 1 1983, 297–303. [CrossRef]
- Gribov, P.S.; Il’icheva, N.N.; Kondakova, N.N.; Stepanova, E.R.; Denisyuk, A.P.; Sizov, V.A.; Dotsenko, V.D.; Sinditskii, V.P.; Sheremetev, A.B. Nitramino-polymer with ether bridges and 1,2,3-triazole subunits incorporated into the polymer chain. FirePhysChem 2025, 5, 15–27. [Google Scholar] [CrossRef]
- Vinogradov, D.B.; Bulatov, P.V.; Petrov, E.Y.; Gribov, P.S.; Kondakova, N.N.; Il’icheva, N.N.; Stepanova, E.R.; Denisyuk, A.P.; Sizov, V.A.; Sinditskii, V.P.; et al. Promising Oxygen- and Nitrogen-Rich Azidonitramino Ether Plasticizers for Energetic Materials. Molecules 2022, 27, 7749. [Google Scholar] [CrossRef]
- Liu, Y.; Wang, W.; Li, D.; Gao, F.; Wang, Y. The research progress of the azidonitramine plasticizers: Synthesis, properties and applications. FirePhysChem 2024, 4, 10–20. [Google Scholar] [CrossRef]
- Tu, G.; Xiao, K.; Chen, X.; Xu, H.; Zeng, H.; Zhang, F.; Xue, X.; Zhang, X. Direct deaminative functionalization with N-nitroamines. Nature 2025, 648, 341–348. [Google Scholar] [CrossRef]
- Sheremetev, A.B.; Gribov, P.S.; Chernyshov, D.A.; Lipilin, D.L.; Suponitsky, K.Y. New Frontiers in Nitramine Reactivity via the Mitsunobu Reaction. J. Org. Chem. 2025, 90, 317–322. [Google Scholar] [CrossRef] [PubMed]
- Gillibrand, M.I.; Lamberton, A.H. 401. The alkylation of nitrourethane and of N-nitrotoluene-p-sulphonamide. J. Chem. Soc. 1949, 1883–1887. [CrossRef]
- Gribov, P.S.; Mikhailova, M.V.; Kon’kova, T.S.; Matyushin, Y.N.; Sheremetev, A.B. Di(propargyl)nitramine: Synthesis and reactivity. Mendeleev Commun. 2022, 32, 218–220. [Google Scholar] [CrossRef]
- Li, J.; Liu, Y.; Ma, W.; Fei, T.; He, C.; Pang, S. Tri-explosophoric groups driven fused energetic heterocycles featuring superior energetic and safety performances outperforms HMX. Nat. Commun. 2022, 13, 5697. [Google Scholar] [CrossRef]
- Mercalli, V.; Nyadanu, A.; Cordier, M.; Tron, G.C.; Grimaud, L.; El Kaim, L. N–N bond formation in Ugi processes: From nitric acid to libraries of nitramines. Chem. Commun. 2017, 53, 2118–2121. [Google Scholar] [CrossRef] [PubMed]
- Jiang, Z.-Y.; Hou, J.; Zhan, L.-W.; Li, B.-D. Synthesis of BuNENA in a continuous flow microreactor. J. Flow Chem. 2023, 13, 449–456. [Google Scholar] [CrossRef]
- Zhou, F.; Duanmu, C.; Li, Y.; Li, J.; Xu, H.; Wang, P.; Zhu, K. Continuous-flow-enabled intensification in nitration processes: A review of technological developments and practical applications over the past decade. Beilstein J. Org. Chem. 2025, 21, 1678–1699. [Google Scholar] [CrossRef]
- Kuchurov, I.; Fomenkov, I.; Zlotin, S. Synthesis of N, N-dialkylnitramines from secondary ammonium nitrates in liquid or supercritical carbon dioxide. Russ. Chem. Bull. 2009, 58, 2058–2062. [Google Scholar] [CrossRef]
- Wang, S.; Yang, L.; Han, J.; Yan, Z. MOF as the rigid shell to improve the mechanical sensitivity of nitramine explosives. Mater. Lett. 2022, 306, 130940. [Google Scholar] [CrossRef]
- Xue, Z.-H.; Huang, B.; Li, H.; Yan, Q.-L. Nitramine-Based Energetic Cocrystals with Improved Stability and Controlled Reactivity. Cryst. Growth Des. 2020, 20, 8124–8147. [Google Scholar] [CrossRef]
- Tan, W.; Zhu, L.; Mikoviny, T.; Nielsen, C.J.; Tang, Y.; Wisthaler, A.; Eichler, P.; Müller, M.; D’anna, B.; Farren, N.J. Atmospheric chemistry of 2-amino-2-methyl-1-propanol: A theoretical and experimental study of the OH-initiated degradation under simulated atmospheric conditions. J. Phys. Chem. A 2021, 125, 7502–7519. [Google Scholar] [CrossRef] [PubMed]
- Antonsen, S.G.; Bunkan, A.J.C.; Mikoviny, T.; Nielsen, C.J.; Stenstrøm, Y.; Wisthaler, A.; Zardin, E. Atmospheric Chemistry of Methyl Isocyanide–An Experimental and Theoretical Study. J. Phys. Chem. A 2020, 124, 6562–6571. [Google Scholar] [CrossRef]
- Antonsen, S.G.; Bunkan, A.J.C.; Mikoviny, T.; Nielsen, C.J.; Stenstrøm, Y.; Wisthaler, A.; Zardin, E. Atmospheric chemistry of diazomethane–an experimental and theoretical study. Mol. Phys. 2020, 118, e1718227. [Google Scholar] [CrossRef]
- Tang, L.; Zhu, W. Computational Design of High Energy RDX-Based Derivatives: Property Prediction, Intermolecular Interactions, and Decomposition Mechanisms. Molecules 2021, 26, 7199. [Google Scholar] [CrossRef]
- Devi, A.; Deswal, S.; Dharavath, S.; Ghule, V.D. Molecular design and screening of energetic nitramine derivatives. J. Mol. Model. 2015, 21, 298. [Google Scholar] [CrossRef]
- Radhakrishnan, S.; Talawar, M.B.; Venugopalan, S.; Narasimhan, V.L. Synthesis, characterization and thermolysis studies on 3,7-dinitro-1,3,5,7-tetraazabicyclo[3,3,1]nonane (DPT): A key precursor in the synthesis of most powerful benchmark energetic materials (RDX/HMX) of today. J. Hazard. Mater. 2008, 152, 1317–1324. [Google Scholar] [CrossRef]
- Liu, H.; Huo, X.; Ma, Y.; Yin, S.; He, H.; Shang, F. Theoretical study on the synthesis of HMX via nitrolysis of TAT promoted by ionic liquids. Chem. Phys. Lett. 2025, 859, 141773. [Google Scholar] [CrossRef]
- Zang, X.; Zhou, X.; Bian, H.; Jin, W.; Pan, X.; Jiang, J.; Koroleva, M.Y.; Shen, R. Prediction and Construction of Energetic Materials Based on Machine Learning Methods. Molecules 2023, 28, 322. [Google Scholar] [CrossRef]
- Hou, F.; Ma, Y.; Hu, Z.; Ding, S.; Fu, H.; Wang, L.; Zhang, X.; Li, G. Machine Learning Enabled Quickly Predicting of Detonation Properties of N-Containing Molecules for Discovering New Energetic Materials. Adv. Theory Simul. 2021, 4, 2100057. [Google Scholar] [CrossRef]
- Coley, C.W.; Barzilay, R.; Jaakkola, T.S.; Green, W.H.; Jensen, K.F. Prediction of Organic Reaction Outcomes Using Machine Learning. ACS Cent. Sci. 2017, 3, 434–443. [Google Scholar] [CrossRef]
- Mohnish, M.; Ramavath, V.; Ghule, V.D.; Sarangapani, R. Computation of 1H NMR chemical shifts: Structural assessment of energetic materials. J. Mol. Model. 2025, 31, 230. [Google Scholar] [CrossRef] [PubMed]
Disclaimer/Publisher’s Note: The statements, opinions and data contained in all publications are solely those of the individual author(s) and contributor(s) and not of MDPI and/or the editor(s). MDPI and/or the editor(s) disclaim responsibility for any injury to people or property resulting from any ideas, methods, instructions or products referred to in the content. |
© 2026 by the authors. Licensee MDPI, Basel, Switzerland. This article is an open access article distributed under the terms and conditions of the Creative Commons Attribution (CC BY) license.



































