Sign in to use this feature.

Years

Between: -

Subjects

remove_circle_outline
remove_circle_outline
remove_circle_outline
remove_circle_outline
remove_circle_outline
remove_circle_outline
remove_circle_outline

Journals

Article Types

Countries / Regions

Search Results (18)

Search Parameters:
Keywords = nanoscale and ionic metals

Order results
Result details
Results per page
Select all
Export citation of selected articles as:
15 pages, 6599 KB  
Article
Electrodeposition of Platinum Black on Brass
by Gustavo A. Maldonado Bautista, Víctor E. Reyes Cruz, Felipe M. Galleguillos Madrid, Jose A. Cobos Murcia, Gustavo Urbano Reyes, Miguel Pérez Labra and Carlos Portillo
Surfaces 2025, 8(2), 25; https://doi.org/10.3390/surfaces8020025 - 9 Apr 2025
Viewed by 1287
Abstract
Platinum exhibits essential characteristics for enhancing electrochemical processes, but the use of electrodes made entirely of Pt is not cost-effective. A more affordable alternative is electrodepositing Pt black on accessible metallic surfaces, such as brass, to ensure that the electrodes are both resistant [...] Read more.
Platinum exhibits essential characteristics for enhancing electrochemical processes, but the use of electrodes made entirely of Pt is not cost-effective. A more affordable alternative is electrodepositing Pt black on accessible metallic surfaces, such as brass, to ensure that the electrodes are both resistant to corrosive environments and possess catalytic capabilities. Pourbaix and kinetic analyses were performed to establish the optimal potential and current conditions for electrodepositing Pt black on brass utilizing a Pb-free Pt solution. The Pourbaix analysis indicated that Pt electrodeposition is achieved from the PtCl6 ionic species and occurs before hydrogen evolution. Kinetic studies further revealed that Pt black nanoscale deposition on a brass surface requires mechanical surface treatment and electrochemical polishing, followed by metallic Pt electrodeposition under potentiostatic control at −295 mV vs. SCE. Subsequent Pt black deposition was achieved under galvanostatic control at −500 A cm−2. Scanning electron microscopy (SEM) and X-ray diffraction (XRD) confirmed the formation of nanostructures of metallic Pt and Pt black on brass, with the latter presenting a larger surface area to enhance the active sites for catalysis in electrochemical processes. Full article
(This article belongs to the Collection Featured Articles for Surfaces)
Show Figures

Graphical abstract

23 pages, 16196 KB  
Article
Nonlocal Hydrodynamic Model with Viscosive Damping and Generalized Drude–Lorentz Term
by Milan Burda and Ivan Richter
Photonics 2023, 10(8), 913; https://doi.org/10.3390/photonics10080913 - 9 Aug 2023
Cited by 1 | Viewed by 1893
Abstract
The response of plasmonic metal particles to an electromagnetic wave produces significant features at the nanoscale level. Different properties of the internal composition of a metal, such as its ionic background and the free electron gas, begin to manifest more prominently. As the [...] Read more.
The response of plasmonic metal particles to an electromagnetic wave produces significant features at the nanoscale level. Different properties of the internal composition of a metal, such as its ionic background and the free electron gas, begin to manifest more prominently. As the dimensions of the nanostructures decrease, the classical local theory gradually becomes inadequate. Therefore, Maxwell’s equations need to be supplemented with a relationship determining the dynamics of current density which is the essence of nonlocal plasmonic models. In this field of physics, the standard (linearized) hydrodynamic model (HDM) has been widely adopted with great success, serving as the basis for a variety of simulation methods. However, ongoing efforts are also being made to expand and refine it. Recently, the GNOR (general nonlocal optical response) modification of the HDM has been used, with the intention of incorporating the influence of electron gas diffusion. Clearly, from the classical description of fluid dynamics, a close relationship between viscosive damping and diffusion arises. This offers a relevant motivation for introducing the GNOR modification in an alternative manner. The standard HDM and its existing GNOR modification also do not include the influence of interband electron transitions in the conduction band and other phenomena that are part of many refining modifications of the Drude–Lorentz and other models of metal permittivity. In this article, we present a modified version of GNOR-HDM that incorporates the viscosive damping of the electron gas and a generalized Drude–Lorentz term. In the selected simulations, we also introduce Landau damping, which corrects the magnitude of the standard damping constant of the electron gas based on the size of the nanoparticle. We have chosen a spherical particle as a suitable object for testing and comparing HD models and their modifications because it allows the calculation of precise analytical solutions for the interactions and, simultaneously, it is a relatively easily fabricated nanostructure in practice. Our contribution also includes our own analytical method for solving the HDM interaction of a plane wave with a spherical particle. This method forms the core of calculations of the characteristic quantities, such as the extinction cross-sections and the corresponding components of electric fields and current densities. Full article
(This article belongs to the Special Issue Editorial Board Members’ Collection Series: Photonics Sensors)
Show Figures

Figure 1

16 pages, 7889 KB  
Article
Interaction of Aluminum and Platinum Surfaces with the Ionic Liquids 1-Butyl-1-methylpyrrolidinium bis(trifluoromethylsulfonyl)imide and 1-Ethyl-3-methylimidazolium bis(trifluoromethylsulfonyl)imide
by Fabien Krebs, Oliver Höfft and Frank Endres
Coatings 2023, 13(7), 1182; https://doi.org/10.3390/coatings13071182 - 30 Jun 2023
Cited by 6 | Viewed by 2350
Abstract
The processes at the interface between ionic liquids (ILs) and metals are a key factor for understanding especially in electrochemical deposition, nanoscale tribology applications and batteries. In the present work, the interfaces of 1-butyl-1-methylpyrrolidinium bis(trifluoromethylsulfonyl)imide ([Py1,4]TFSI) and 1-ethyl-3-methylimidazolium bis(trifluoromethylsulfonyl)imide ([EMIm]TFSI) and [...] Read more.
The processes at the interface between ionic liquids (ILs) and metals are a key factor for understanding especially in electrochemical deposition, nanoscale tribology applications and batteries. In the present work, the interfaces of 1-butyl-1-methylpyrrolidinium bis(trifluoromethylsulfonyl)imide ([Py1,4]TFSI) and 1-ethyl-3-methylimidazolium bis(trifluoromethylsulfonyl)imide ([EMIm]TFSI) and platinum and aluminum were investigated by depositing thin IL films and studying them with X-ray photoelectron spectroscopy (XPS) in ultrahigh vacuum. It is found that there is no evidence of a decomposition reaction of either IL on platinum; however, the imidazolium cation of [EMIm]TFSI shows a strong interaction with the surface in the monolayer regime. In contrast, [Py1,4]TFSI and [EMIm]TFSI show massive decomposition on the aluminum surface without applying any electrochemical potential. The spectra for the [TFSI] anion components show cleavage of C-F or N-S bonds in both cases. Both cleavage of a single fluorine atom and complete cleavage were observed, leading to further decomposition reactions of the anion. Consequently, new components such as AlOOH, Al(OH)3, Al2S3, Al2(SO4)3 and AlF3 appear at the interface. In addition, there is also evidence of decomposition of the cation by the splitting off hydrogen atoms or parts of the alkyl chain in both ILs. Full article
Show Figures

Figure 1

13 pages, 1909 KB  
Article
Graphene Oxide Facilitates Transformation of Waste PET into MOF Nanorods in Ionic Liquids
by Deepa Gangaraju, Andikkadu Masilamani Shanmugharaj and Vadahanambi Sridhar
Polymers 2023, 15(11), 2479; https://doi.org/10.3390/polym15112479 - 27 May 2023
Cited by 7 | Viewed by 3092
Abstract
Although though ionic liquids (IL) are rapidly emerging as highly efficient reagents for the depolymerization of waste plastics, their high cost and adverse impact on the environment make the overall process not only expensive but also environmentally harmful. In this manuscript, we report [...] Read more.
Although though ionic liquids (IL) are rapidly emerging as highly efficient reagents for the depolymerization of waste plastics, their high cost and adverse impact on the environment make the overall process not only expensive but also environmentally harmful. In this manuscript, we report that graphene oxide (GO) facilitates the transformation of waste polyethylene terephthalate (PET) to Ni-MOF (metal organic framework) nanorods anchored on reduced graphene oxide (Ni–MOF@rGO) through NMP (N-Methyl-2-pyrrolidone)-based coordination in ionic liquids. Morphological studies using scanning electron microscopy (SEM) and transmission electron microscopy (TEM) showed mesoporous three-dimensional structures of micrometer-long Ni-MOF nanorods anchored on reduced graphene substrates (Ni–MOF@rGO ), whereas structural studies using XRD and Raman spectra demonstrated the crystallinity of Ni-MOF nanorods. Chemical analysis of Ni–MOF@rGO carried out using X-ray photoelectron spectroscopy demonstrated that nickel moieties exist in an electroactive OH-Ni-OH state, which was further confirmed by nanoscale elemental maps recorded using energy-dispersive X-ray spectroscopy (EDS). The applicability of Ni–MOF@rGO as an electro-catalyst in a urea-enhanced water oxidation reaction (UOR) is reported. Furthermore, the ability of our newly developed NMP-based IL to grow MOF nanocubes on carbon nanotubes and MOF nano-islands on carbon fibers is also reported. Full article
(This article belongs to the Special Issue Advances in Recycling of Polymers)
Show Figures

Figure 1

17 pages, 6870 KB  
Article
High-Entropy Metal Oxide (NiMnCrCoFe)3O4 Anode Materials with Controlled Morphology for High-Performance Lithium-Ion Batteries
by Xuan Liang Wang, En Mei Jin, Gopinath Sahoo and Sang Mun Jeong
Batteries 2023, 9(3), 147; https://doi.org/10.3390/batteries9030147 - 24 Feb 2023
Cited by 25 | Viewed by 6223
Abstract
High-entropy metal oxides (HEMOs) with several functional properties, including high structural stability and superior conductivity, have been recently utilized in energy-storage devices. Morphology control is the key factor to optimizing HEMO performance for successful use in lithium-ion anode materials. Hence, in this study, [...] Read more.
High-entropy metal oxides (HEMOs) with several functional properties, including high structural stability and superior conductivity, have been recently utilized in energy-storage devices. Morphology control is the key factor to optimizing HEMO performance for successful use in lithium-ion anode materials. Hence, in this study, HEMO ((NiMnCrCoFe)3O4) was synthesized via a hydrothermal reaction and subsequent post-annealing process, where cetyltrimethylammonium bromide (CTAB) and urea were used to optimize the morphological structure of HEMO particles to ensure a bimodal distribution. A bimodal particle distribution of HEMO was observed and the electrochemical performance was also investigated for an anode in lithium-ion batteries (LIBs). The proposed bimodal HEMO manifests a superior electrochemical performance compared to existing HEMO, which is controlled by uniform nanoscale or micro-sized secondary particles. The present study shows that collective metal cations with different ionic radii, valence states, and reaction potentials, and a diversification of structures, enable a synergistic effect for the excellent performance of HEMOs in LIBs. The proposed HEMO shows an improved initial discharge capacity of 527 mAh g−1 at a high current density of 5 A g−1 compared to the other referred HEMO systems, and 99.8% cycle retention after 300 cycles. Further, this work allows a new approach for designing multi-element transition metal oxide anode materials using a high-entropy strategy, which can be employed in the development of advanced LIBs. Full article
(This article belongs to the Special Issue Advanced Cathode and Anode Materials for Lithium/Sodium-Ion Batteries)
Show Figures

Graphical abstract

19 pages, 5104 KB  
Review
Recent Progress in Vacuum Engineering of Ionic Liquids
by Yuji Matsumoto
Molecules 2023, 28(4), 1991; https://doi.org/10.3390/molecules28041991 - 20 Feb 2023
Cited by 5 | Viewed by 3260
Abstract
Since the discovery of ionic liquids (ILs) as a new class of liquid that can survive in a vacuum at room temperature, they have been aimed at being characterized with vacuum analysis techniques and used in vacuum processes for the last two decades. [...] Read more.
Since the discovery of ionic liquids (ILs) as a new class of liquid that can survive in a vacuum at room temperature, they have been aimed at being characterized with vacuum analysis techniques and used in vacuum processes for the last two decades. In this review, our state-of-the-art of the vacuum engineering of ILs will be introduced. Beginning with nanoscale vacuum deposition of IL films and their thickness-dependent ionic conductivity, there are presented some new applications of the ellipsometry to in situ monitoring of the thickness of IL films and their glass transitions, and of the surface thermal fluctuation spectroscopy to investigation of the rheological properties of IL films. Furthermore, IL-VLS (vapor-liquid-solid) growth, a vacuum deposition via IL, has been found successful, enhancing the crystallinity of vacuum-deposited crystals and films, and sometimes controlling their surface morphology and polymorphs. Among recent applications of ILs are the use of metal ions-containing IL and thin film nano IL gel. The former is proposed as a low temperature evaporation source of metals, such as Ta, in vacuum deposition, while the latter is demonstrated to work as a gate electrolyte in an electric double layer organic transistor. Full article
(This article belongs to the Special Issue Properties and Applications of Ionic Liquids-Based Advanced Materials)
Show Figures

Figure 1

17 pages, 2777 KB  
Article
Protein Analysis of A. halleri and N. caerulescens Hyperaccumulators When Exposed to Nano and Ionic Forms of Cd and Zn
by Valentina Gallo, Valentina M. Serianni, Davide Imperiale, Andrea Zappettini, Marco Villani, Marta Marmiroli and Nelson Marmiroli
Nanomaterials 2022, 12(23), 4236; https://doi.org/10.3390/nano12234236 - 28 Nov 2022
Cited by 1 | Viewed by 2081
Abstract
Hyperaccumulator plant species growing on metal-rich soils can accumulate high quantity of metals and metalloids in aerial tissues, and several proteomic studies on the molecular mechanisms at the basis of metals resistance and hyperaccumulation have been published. Hyperaccumulator are also at the basis [...] Read more.
Hyperaccumulator plant species growing on metal-rich soils can accumulate high quantity of metals and metalloids in aerial tissues, and several proteomic studies on the molecular mechanisms at the basis of metals resistance and hyperaccumulation have been published. Hyperaccumulator are also at the basis of the phytoremediation strategy to remove metals more efficiently from polluted soils or water. Arabidopsis halleri and Noccea caerulescens are both hyperaccumulators of metals and nano-metals. In this study, the change in some proteins in A. halleri and N. caerulescens was assessed after the growth in soil with cadmium and zinc, provided as sulphate salts (CdSO4 and ZnSO4) or sulfide quantum dots (CdS QDs and ZnS QDs). The protein extracts obtained from plants after 30 days of growth were analyzed by 2D-gel electrophoresis (2D SDS-PAGE) and identified by MALDI-TOF/TOF mass spectrometry. A bioinformatics analysis was carried out on quantitative protein differences between control and treated plants. In total, 43 proteins resulted in being significatively modulated in A. halleri, while 61 resulted in being modulated in N. caerulescens. Although these two plants are hyperaccumulator of both metals and nano-metals, at protein levels the mechanisms involved do not proceed in the same way, but at the end bring a similar physiological result. Full article
(This article belongs to the Special Issue Nanobiotechnologies in Environment and Medicine)
Show Figures

Graphical abstract

15 pages, 5601 KB  
Article
Large Vertical Piezoelectricity in a Janus Cr2I3F3 Monolayer
by Haibo Niu, Yachao Liu, Jing Shi and Vei Wang
Materials 2022, 15(13), 4418; https://doi.org/10.3390/ma15134418 - 22 Jun 2022
Cited by 7 | Viewed by 2860
Abstract
Two-dimensional (2D) materials have potential applications in nanoscale sensors and spintronic devices. Herein, motivated by experimental synthesis of a CrI3 monolayer possessing intrinsic magnetism and a Janus MoSSe monolayer with piezoelectricity, we propose a 2D Janus Cr2I3F3 [...] Read more.
Two-dimensional (2D) materials have potential applications in nanoscale sensors and spintronic devices. Herein, motivated by experimental synthesis of a CrI3 monolayer possessing intrinsic magnetism and a Janus MoSSe monolayer with piezoelectricity, we propose a 2D Janus Cr2I3F3 monolayer as a multifunctional material exhibiting both piezoelectricity and ferromagnetism. Using density functional theory calculations, we systematically investigated the structural stability and the electronic, magnetic, and piezoelectric properties of the Janus Cr2I3F3 monolayer. We predicted that a vertical polarization of up to −0.155 × 1010 C/m is induced in the Cr2I3F3 monolayer due to the breaking of symmetry. The origination mechanism of polarization was demonstrated in terms of a local dipole moment calculated by maximally localized Wannier functions. Meanwhile, it was found that a remarkable piezoelectric response can be produced under a uniaxial strain in the basal plane. The calculated piezoelectric coefficients of the Cr2I3F3 monolayer compare favorably with those of the frequently used bulk piezoelectric materials such as α–quartz and wurtzite AlN. Particularly, the e31 and d31 values of the Cr2I3F3 monolayer are nearly 10 times as large as that of Mo-based transition metal dichalcogenides. We also found that the magnitude of e31 mainly arises from the ionic contribution, while the electronic contribution can be nearly neglected. The considerable piezoelectric response combined with the intrinsic magnetism make the Janus Cr2I3F3 monolayer a potential candidate for novel multifunctional devices integrating both piezoelectric and spintronic applications. Full article
(This article belongs to the Topic Advances and Applications of 2D Materials)
Show Figures

Figure 1

17 pages, 3996 KB  
Review
Enhanced Plasmon Based Ag and Au Nanosystems and Their Improved Biomedical Impacts
by Gajendra Kumar Inwati, Virendra Kumar Yadav, Ismat Hassan Ali, Shakti Devi Kakodiya, Nisha Choudhary, Bharat A. Makwana, Chhagan Lal, Krishna Kumar Yadav, Bijendra Singh, Saiful Islam and Simona Cavalu
Crystals 2022, 12(5), 589; https://doi.org/10.3390/cryst12050589 - 22 Apr 2022
Cited by 5 | Viewed by 2460
Abstract
Numerous specialists and academics have backed the improved physicochemical characteristics of metal substrate (Ag, Au) based composite nanoparticles for a number of applications, including pharmaceuticals, optoelectronics, and environmental impact. Insights of Ag and Au NPs-based nanomaterials will be discussed, as well as important [...] Read more.
Numerous specialists and academics have backed the improved physicochemical characteristics of metal substrate (Ag, Au) based composite nanoparticles for a number of applications, including pharmaceuticals, optoelectronics, and environmental impact. Insights of Ag and Au NPs-based nanomaterials will be discussed, as well as important production, physicochemical, and biotechnological characteristics. The plasmon capacities of Ag and Au NPs, along with their customisable form, scale, and surface modification could be described by specified geometries and constituent contents. It was revealed that interaction dynamics of Ag and Au implanted nanomaterials with dopants/defects ratios seem to be more effective in stimulating pathogens by interrupting biochemical reactions. As a result, we focus on defect science in Ag and Au-based nanoscale materials, taking into account surface morphology, ionic packing, and chemical phase assessment. This chapter will cover the important optical, geometrical, and physicochemical features of Ag and Au nanomaterials, and their pharmacological significance. Full article
Show Figures

Figure 1

13 pages, 3123 KB  
Article
Nano-AgCu Alloy on Wood Surface for Mold Resistance
by Yanran Qi, Xiaohan Dai, Lianxiang Wei, Hongxue Luo, Yiliang Liu, Xiaoying Dong, Dequan Yang and Yongfeng Li
Nanomaterials 2022, 12(7), 1192; https://doi.org/10.3390/nano12071192 - 2 Apr 2022
Cited by 12 | Viewed by 3081
Abstract
The mold infection of wood reduces the quality of its surface and potentially endangers human health. One category of the most popular mold inhibitors on the market is water-soluble fungicides. However, easy leaching due to ionic forms is a problem, which reduces the [...] Read more.
The mold infection of wood reduces the quality of its surface and potentially endangers human health. One category of the most popular mold inhibitors on the market is water-soluble fungicides. However, easy leaching due to ionic forms is a problem, which reduces the effectiveness of their antimicrobial action, as well as causing environmental pollution. Interestingly, nanometer-sized sterilizing agents present strong permeability and highly fungicidal behavior, and they are not easily leached, due to the unique nanoscale effect, and they have become alternative candidates as marketable anti-mold agents for wood protection. In this study, we first designed and explored a nanoscale alloy (nano silver–copper alloy, nano-AgCu) to treat wood surfaces for mold growth resistance. The results showed that three molds, i.e., Aspergillus niger, Penicillium citrinum and Trichoderma viride, mainly grew on the surface of wood within a depth of 100 μm; and that the nano-AgCu alloy with a particle size of ~15 nm presented improved retention and anti-mold efficiency at a nanomaterial concentration on the wood surface. Its leaching rate increased non-linearly with the increase in nano-AgCu retention and then it showed a gradually decreasing trend. When the concentration reached 1000 mg/L, the nano-AgCu alloy uniformly distributed on the wood surface in a monodispersed state and exhibited a lower retention of 0.342 g/m2, with an anti-mold efficiency of more than 75% and a leaching rate of only 7.678%. Such results positioned 1000 mg/L as the toxic threshold concentration of nano-AgCu against the three molds. This study can provide a scientific basis for the analysis of the anti-mold mechanisms of nano-AgCu alloy on wood surfaces and guide the application of nano-metal alloy materials in the field of wood antimicrobials. Full article
Show Figures

Figure 1

21 pages, 4755 KB  
Article
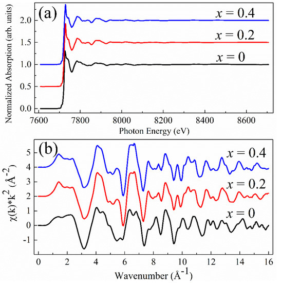
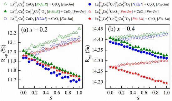
Rietveld Refinement and X-ray Absorption Study on the Bonding States of Lanthanum-Based Perovskite-Type Oxides La1−xCexCoO3
by Duc-Chau Nguyen, Chia-Chin Chu, Aswin Kumar Anbalagan, Chih-Hao Lee and Chia-Seng Chang
Crystals 2022, 12(1), 50; https://doi.org/10.3390/cryst12010050 - 30 Dec 2021
Cited by 9 | Viewed by 57964
Abstract
Metal-oxygen bonding of the Ce-doped LaCoO3 system remains largely unexplored despite extensive studies on its magnetic properties. Here, we investigate the structure and local structure of nanoscale La1−xCexCoO3, with x = 0, 0.2, and 0.4, [...] Read more.
Metal-oxygen bonding of the Ce-doped LaCoO3 system remains largely unexplored despite extensive studies on its magnetic properties. Here, we investigate the structure and local structure of nanoscale La1−xCexCoO3, with x = 0, 0.2, and 0.4, using the Rietveld refinement and synchrotron X-ray absorption techniques, complemented by topological analysis of experimental electron density and electron energy distribution. The Rietveld refinement results show that LaCoO3 subject to Ce addition is best interpretable by a model of cubic symmetry in contrast to the pristine LaCoO3, conventionally described by either a monoclinic model or a rhombohedral model. Ce4+/Co2+ are more evidently compatible dopants than Ce3+ for insertion into the main lattice. X-ray absorption data evidence the partially filled La 5d-band of the pristine LaCoO3 in accordance with the presence of La–O bonds with the shared-type atomic interaction. With increasing x, the increased Ce spectroscopic valence and enhanced La–O ionic bonding are noticeable. Characterization of the local structures around Co species also provides evidence to support the findings of the Rietveld refinement analysis. Full article
Show Figures

Figure 1

32 pages, 7056 KB  
Review
Electrochemical Synthesis of Unique Nanomaterials in Ionic Liquids
by Olga Lebedeva, Dmitry Kultin and Leonid Kustov
Nanomaterials 2021, 11(12), 3270; https://doi.org/10.3390/nano11123270 - 1 Dec 2021
Cited by 34 | Viewed by 5799
Abstract
The review considers the features of the processes of the electrochemical synthesis of nanostructures in ionic liquids (ILs), including the production of carbon nanomaterials, silicon and germanium nanoparticles, metallic nanoparticles, nanomaterials and surface nanostructures based on oxides. In addition, the analysis of works [...] Read more.
The review considers the features of the processes of the electrochemical synthesis of nanostructures in ionic liquids (ILs), including the production of carbon nanomaterials, silicon and germanium nanoparticles, metallic nanoparticles, nanomaterials and surface nanostructures based on oxides. In addition, the analysis of works on the synthesis of nanoscale polymer films of conductive polymers prepared using ionic liquids by electrochemical methods is given. The purpose of the review is to dwell upon an aspect of the applicability of ILs that is usually not fully reflected in modern literature, the synthesis of nanostructures (including unique ones that cannot be obtained in other electrolytes). The current underestimation of ILs as an electrochemical medium for the synthesis of nanomaterials may limit our understanding and the scope of their potential application. Another purpose of our review is to expand their possible application and to show the relative simplicity of the experimental part of the work. Full article
(This article belongs to the Special Issue Nanotechnology for Green Chemical Engineering)
Show Figures

Figure 1

15 pages, 4880 KB  
Review
Perspectives on Atomic-Scale Switches for High-Frequency Applications Based on Nanomaterials
by Mircea Dragoman, Martino Aldrigo and Daniela Dragoman
Nanomaterials 2021, 11(3), 625; https://doi.org/10.3390/nano11030625 - 3 Mar 2021
Cited by 16 | Viewed by 3186
Abstract
Nanomaterials science is becoming the foundation stone of high-frequency applications. The downscaling of electronic devices and components allows shrinking chip’s dimensions at a more-than-Moore rate. Many theoretical limits and manufacturing constraints are yet to be taken into account. A promising path towards nanoelectronics [...] Read more.
Nanomaterials science is becoming the foundation stone of high-frequency applications. The downscaling of electronic devices and components allows shrinking chip’s dimensions at a more-than-Moore rate. Many theoretical limits and manufacturing constraints are yet to be taken into account. A promising path towards nanoelectronics is represented by atomic-scale materials. In this manuscript, we offer a perspective on a specific class of devices, namely switches designed and fabricated using two-dimensional or nanoscale materials, like graphene, molybdenum disulphide, hexagonal boron nitride and ultra-thin oxides for high-frequency applications. An overview is provided about three main types of microwave and millimeter-wave switch: filament memristors, nano-ionic memristors and ferroelectric junctions. The physical principles that govern each switch are presented, together with advantages and disadvantages. In the last part we focus on zirconium-doped hafnium oxide ferroelectrics (HfZrO) tunneling junctions (FTJ), which are likely to boost the research in the domain of atomic-scale materials applied in engineering sciences. Thanks to their Complementary Metal-Oxide Semiconductor (CMOS) compatibility and low-voltage tunability (among other unique physical properties), HfZrO compounds have the potential for large-scale applicability. As a practical case of study, we present a 10 GHz transceiver in which the switches are FTJs, which guarantee excellent isolation and ultra-fast switching time. Full article
(This article belongs to the Special Issue 2D Materials for Nanoelectronics)
Show Figures

Figure 1

12 pages, 1918 KB  
Article
Removal of Different Kinds of Heavy Metals by Novel PPG-nZVI Beads and Their Application in Simulated Stormwater Infiltration Facility
by Xiaoran Zhang, Lei Yan, Junfeng Liu, Ziyang Zhang and Chaohong Tan
Appl. Sci. 2019, 9(20), 4213; https://doi.org/10.3390/app9204213 - 10 Oct 2019
Cited by 42 | Viewed by 4031
Abstract
Polyvinyl alcohol and pumice synthetized guar gum-nanoscale zerovalent iron beads (PPG-nZVI beads) were synthesized, and their adsorption towards Pb2+, Cu2+, and Zn2+ ions was evaluated. The adsorption kinetics of metal ions was well fitted by the pseudo-second-order model. [...] Read more.
Polyvinyl alcohol and pumice synthetized guar gum-nanoscale zerovalent iron beads (PPG-nZVI beads) were synthesized, and their adsorption towards Pb2+, Cu2+, and Zn2+ ions was evaluated. The adsorption kinetics of metal ions was well fitted by the pseudo-second-order model. The adsorption rate decreased followed in the order of Cu2+ > Pb2+ > Zn2+, consistent with the reduction potential of the ions. The sorption isotherm was well fitted by Langmuir model. The maximum adsorption capacity decreased followed in the order of Pb2+ > Cu2+ > Zn2+, which suggested that the strength of covalent bonds between the metal ions and surface functional groups substituted to the beads is one of the major factors in the adsorption process. Adsorption increased with the increase of pH and the largest sorption occurred at pH 5.5, while ionic strength did not significantly influence the adsorption process. The application of PPG-nZVI beads as filling materials in the simulated stormwater infiltration facility shows good removal efficiency in treating the contaminated water containing Pb2+, Cu2+, Zn2+, Cr6+, and Cd2+ and the removal rate was more than 65% at least. The results indicated that the PPG-nZVI beads could be applied as promising sorbents for purification of heavy metal contaminated water. Full article
Show Figures

Graphical abstract

15 pages, 3712 KB  
Article
Nanoscale Zero-Valent Iron and Chitosan Functionalized Eichhornia crassipes Biochar for Efficient Hexavalent Chromium Removal
by Xue-Li Chen, Feng Li, Xiao Jie Xie, Zhi Li and Long Chen
Int. J. Environ. Res. Public Health 2019, 16(17), 3046; https://doi.org/10.3390/ijerph16173046 - 22 Aug 2019
Cited by 71 | Viewed by 5958
Abstract
Sorption is widely used for the removal of toxic heavy metals such as hexavalent chromium (Cr(VI)) from aqueous solutions. Green sorbents prepared from biomass are attractive, because they leverage the value of waste biomass and reduce the overall cost of water treatment. In [...] Read more.
Sorption is widely used for the removal of toxic heavy metals such as hexavalent chromium (Cr(VI)) from aqueous solutions. Green sorbents prepared from biomass are attractive, because they leverage the value of waste biomass and reduce the overall cost of water treatment. In this study, we fabricated biochar (BC) adsorbent from the biomass of water hyacinth (Eichhornia crassipes), an invasive species in many river channels. Pristine BC was further modified with nanoscale zero-valent iron (nZVI) and stabilized with chitosan (C) to form C–nZVI–BC. C–nZVI–BC adsorbent showed high hexavalent chromium sorption capacity (82.2 mg/g) at pH 2 and removed 97.34% of 50 mg/L Cr(VI) from aqueous solutions. The sorption capacity of chitosan–nZVI-modified biochar decreased while increasing the solution pH value and ionic strength. The results of a sorption test indicated that multiple mechanisms accounted for Cr(VI) removal by C–nZVI–BC, including complexation, precipitation, electrostatic interactions, and reduction. Our study suggests a way of adding value to biomass waste by considering environmental treatment purposes. Full article
(This article belongs to the Section Environmental Science and Engineering)
Show Figures

Graphical abstract

Back to TopTop