Large Vertical Piezoelectricity in a Janus Cr2I3F3 Monolayer
Abstract
:1. Introduction
2. Materials and Methods
2.1. Computation Details
2.2. Electric Polarization and Piezoelectricity
3. Results and Discussion
3.1. Structural Stability
3.2. Electronic and Magnetic Properties
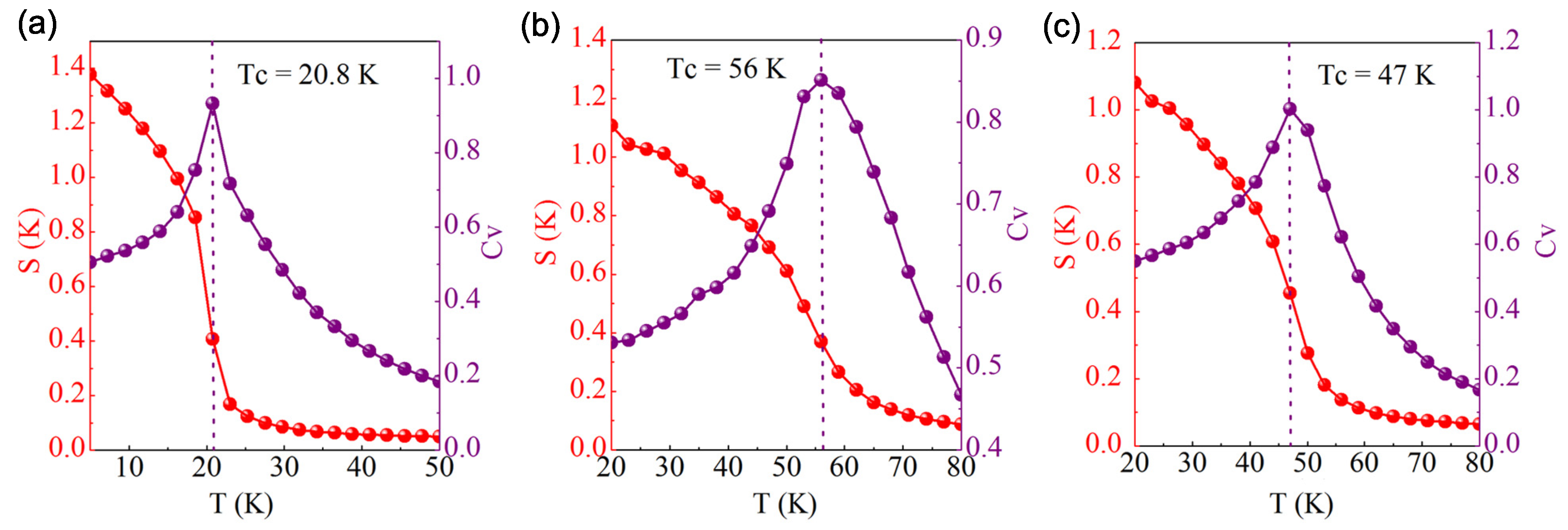
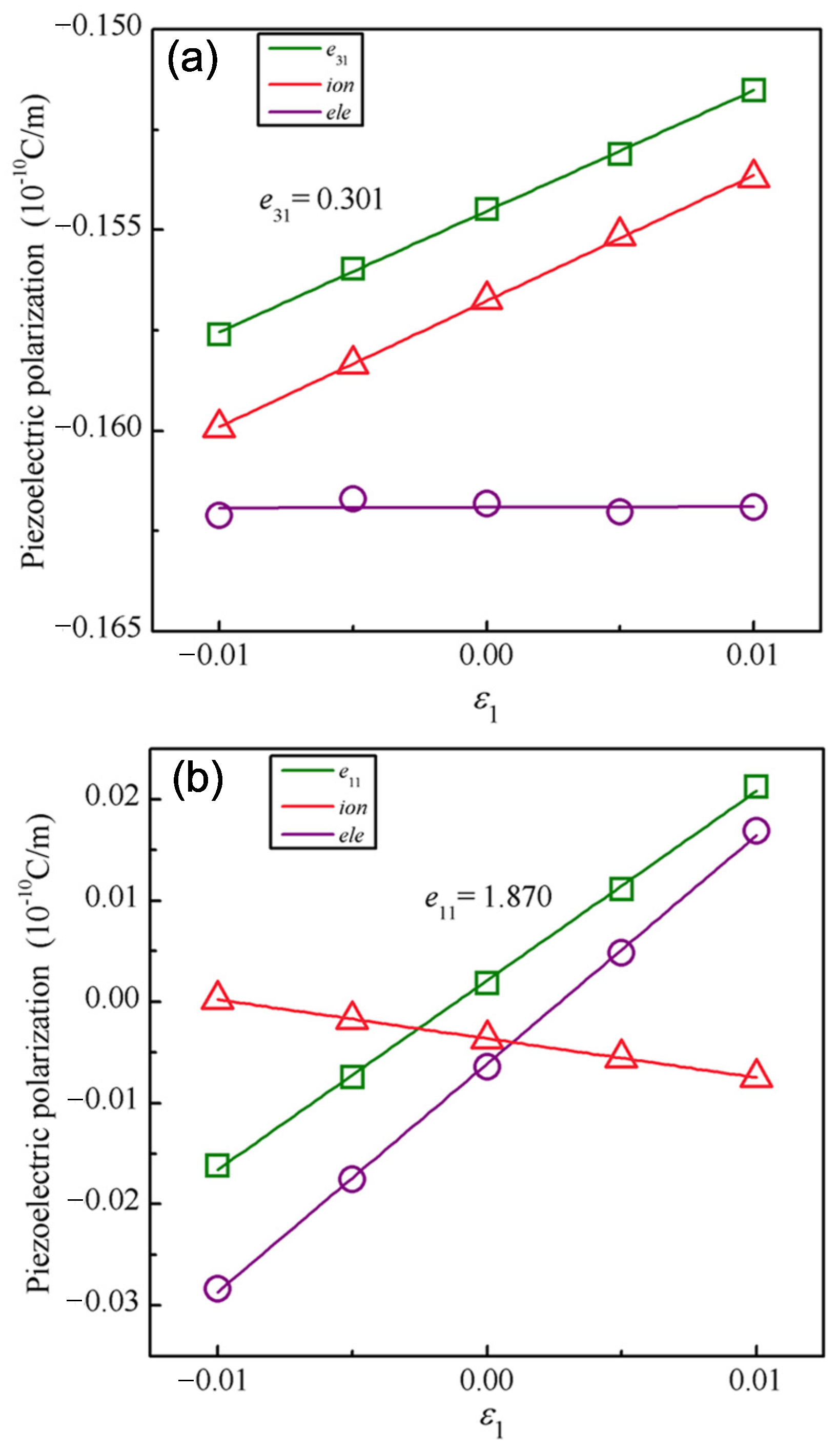
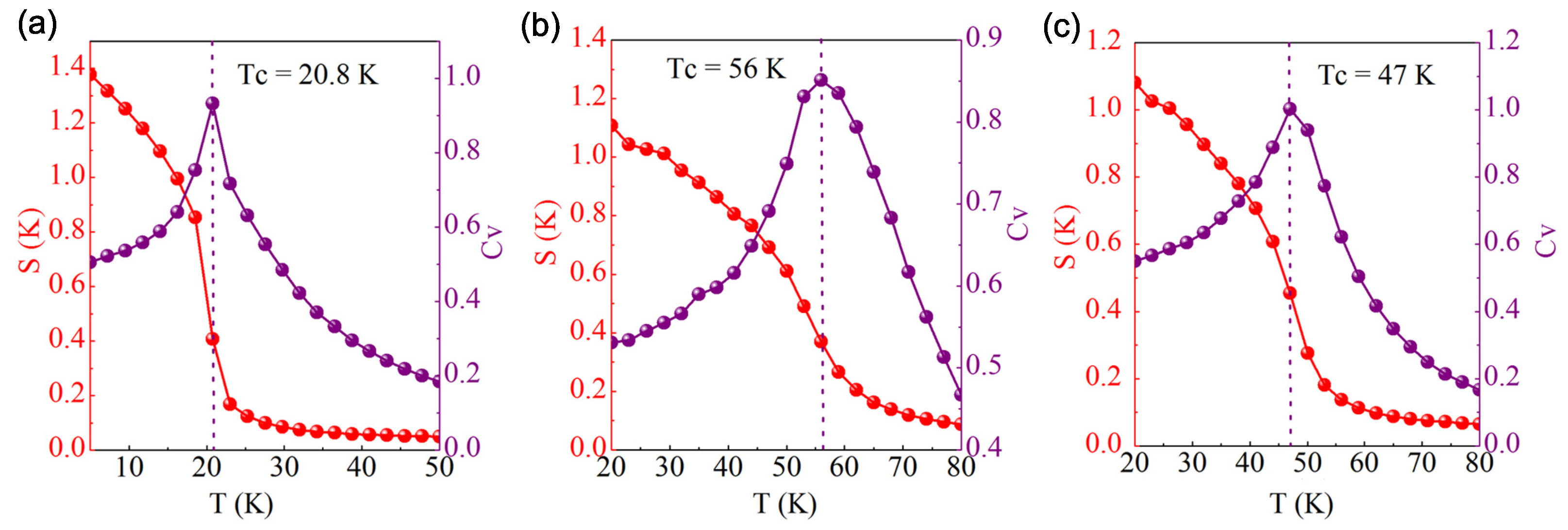
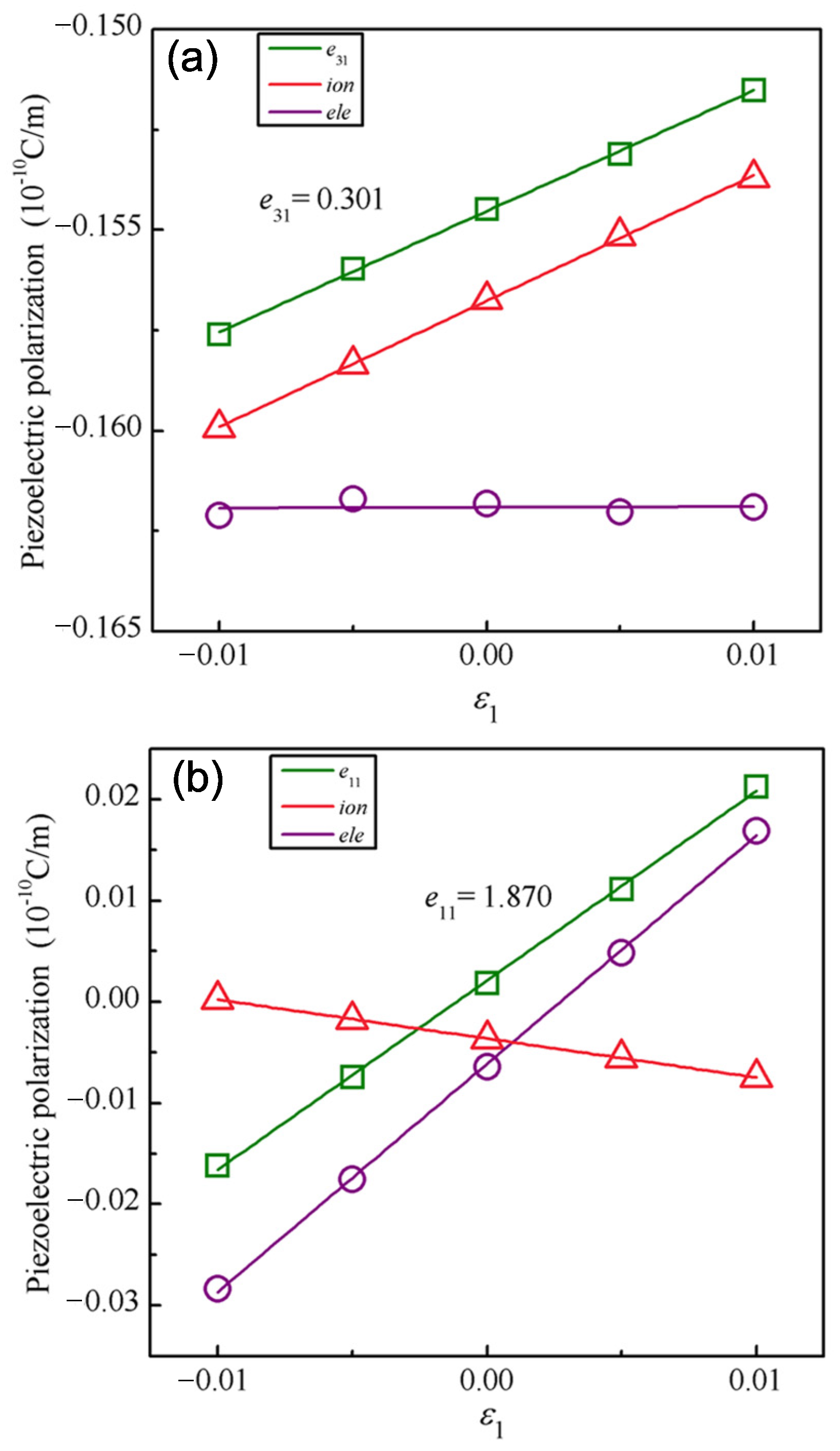
3.3. Piezoelectricity Properties
4. Conclusions
Author Contributions
Funding
Institutional Review Board Statement
Informed Consent Statement
Data Availability Statement
Conflicts of Interest
References
- Jiang, X.; Liu, Q.X.; Xing, J.P.; Liu, N.S.; Guo, Y.; Liu, Z.F.; Zhao, J.J. Recent progress on 2D magnets: Fundamental mechanism, structural design and modification. Appl. Phys. Rev. 2021, 8, 031305. [Google Scholar] [CrossRef]
- Song, Q.; Occhialini, C.A.; Ergecen, E.; Ilyas, B.; Amoroso, D.; Barone, P.; Kapeghian, J.; Watanabe, K.; Taniguchi, T.; Botana, A.S.; et al. Evidence for a single-layer van der Waals multiferroic. Nature 2022, 602, 601–605. [Google Scholar] [CrossRef] [PubMed]
- Cui, C.; Xue, F.; Hu, W.J.; Li, L.J. Two-dimensional materials with piezoelectric and ferroelectric functionalities. NPJ 2D Mater. Appl. 2018, 2, 18. [Google Scholar] [CrossRef]
- Huang, B.; Clark, G.; Navarro-Moratalla, E.; Klein, D.R.; Cheng, R.; Seyler, K.L.; Zhong, D.; Schmidgall, E.; McGuire, M.A.; Cobden, D.H.; et al. Layer-dependent ferromagnetism in a van der Waals crystal down to the monolayer limit. Nature 2017, 546, 270–273. [Google Scholar] [CrossRef] [PubMed] [Green Version]
- Sainbileg, B.; Batsaikhan, E.; Hayashi, M. Impact of oxygen defects on a ferromagnetic CrI3 monolayer. RSC Adv. 2020, 10, 42493–42501. [Google Scholar] [CrossRef] [PubMed]
- Tomar, S.; Ghosh, B.; Mardanya, S.; Rastogi, P.; Bhadoria, B.S.; Chauhan, Y.S.; Agarwal, A.; Bhowmick, S. Intrinsic magnetism in monolayer transition metal trihalides: A comparative study. J. Magn. Magn. Mater. 2019, 489, 165384. [Google Scholar] [CrossRef] [Green Version]
- Zhang, W.B.; Qu, Q.; Zhua, P.; Lam, C.H. Robust intrinsic ferromagnetism and half semiconductivity in stable two-dimensional single-layer chromium trihalides. J. Mater. Chem. C 2015, 3, 12457–12468. [Google Scholar] [CrossRef] [Green Version]
- Zhao, Y.G.; Lin, L.F.; Zhou, Q.H.; Li, Y.H.; Yuan, S.J.; Chen, Q.; Dong, S.; Wang, J.L. Surface Vacancy-Induced Switchable Electric Polarization and Enhanced Ferromagnetism in Monolayer Metal Trihalides. Nano Lett. 2018, 18, 2943–2949. [Google Scholar] [CrossRef]
- Zhang, X.L.; Yang, Z.X.; Chen, Y. Novel two-dimensional ferroelectric PbTe under tension: A first-principles prediction. J. Appl. Phys. 2017, 122, 064101. [Google Scholar] [CrossRef]
- Hu, T.; Wu, H.P.; Zeng, H.B.; Deng, K.M.; Kan, E. New Ferroelectric Phase in Atomic-Thick Phosphorene Nanoribbons: Existence of in-Plane Electric Polarization. Nano Lett. 2016, 16, 8015–8020. [Google Scholar] [CrossRef]
- Wu, M.H.; Dong, S.; Yao, K.L.; Liu, J.M.; Zeng, X.C. Ferroelectricity in Covalently functionalized Two-dimensional Materials: Integration of High-mobility Semiconductors and Nonvolatile Memory. Nano Lett. 2016, 16, 7309–7315. [Google Scholar] [CrossRef] [PubMed]
- Huang, C.X.; Du, Y.P.; Wu, H.P.; Xiang, H.J.; Deng, K.M.; Kan, E.J. Prediction of Intrinsic Ferromagnetic Ferroelectricity in a Transition-Metal Halide Monolayer. Phys. Rev. Lett. 2018, 120, 147601. [Google Scholar] [CrossRef] [PubMed] [Green Version]
- Li, R.P.; Cheng, Y.C.; Huang, W. Recent Progress of Janus 2D Transition Metal Chalcogenides: From Theory to Experiments. Small 2018, 14, 1802091. [Google Scholar] [CrossRef] [PubMed]
- Wu, Y.; Yang, C.H.; Zhang, H.N.; Zhu, L.H.; Wang, X.Y.; Li, Y.Q.; Zhu, S.Y.; Wang, X.C. The flexible Janus X2PAs (X = Si, Ge and Sn) monolayers with in-plane and out-of-plane piezoelectricity. Appl. Surf. Sci. 2022, 589, 152999. [Google Scholar] [CrossRef]
- Dong, L.; Lou, J.; Shenoy, V.B. Large In-Plane and Vertical Piezoelectricity in Janus Transition Metal Dichalchogenides. ACS Nano 2017, 11, 8242–8248. [Google Scholar] [CrossRef]
- Zhang, J.; Jia, S.; Kholmanov, I.; Dong, L.; Er, D.Q.; Chen, W.B.; Guo, H.; Jin, Z.H.; Shenoy, V.B.; Shi, L.; et al. Janus Monolayer Transition-Metal Dichalcogenides. ACS Nano 2017, 11, 8192–8198. [Google Scholar] [CrossRef] [Green Version]
- Maggay, I.V.B.; Yeh, K.Y.; Lei, B.F.; Brik, M.G.; Piasecki, M.; Liu, W.R. Luminescence properties of Eu2+ -activated NaCaBeSi2O6F for white light-emitting diode applications. Mater. Res. Bull. 2018, 100, 26–31. [Google Scholar] [CrossRef]
- Sherrell, P.C.; Fronzi, M.; Shepelin, N.A.; Corletto, A.; Winkler, D.A.; Ford, M.; Shapter, J.G.; Ellis, A.V. A bright future for engineering piezoelectric 2D crystals. Chem. Soc. Rev. 2022, 51, 650–671. [Google Scholar] [CrossRef]
- Song, G.; Zhang, C.F.; Zhang, Z.Z.; Li, G.N.; Li, Z.W.; Du, J.; Zhang, B.W.; Huang, X.K.; Gao, B.L. Coexistence of intrinsic room-temperature ferromagnetism and piezoelectricity in monolayer BiCrX3 (X = S, Se, and Te). Phys. Chem. Chem. Phys. 2022, 24, 1091–1098. [Google Scholar] [CrossRef]
- Tu, S.C.; Guo, Y.X.; Zhang, Y.H.; Hu, C.; Zhang, T.R.; Ma, T.O.Y.; Huang, H.W. Piezocatalysis and Piezo-Photocatalysis: Catalysts Classification and Modification Strategy, Reaction Mechanism, and Practical Application. Adv. Funct. Mater. 2020, 30, 2005158. [Google Scholar] [CrossRef]
- Wang, R.; Su, Y.; Yang, G.H.; Zhang, J.F.; Zhang, S.B. Bipolar Doping by Intrinsic Defects and Magnetic Phase Instability in Monolayer CrI3. Chem. Mater. 2020, 32, 1545–1552. [Google Scholar] [CrossRef]
- Zhang, L.; Yang, Z.J.F.; Gong, T.; Pan, R.K.; Wang, H.D.; Guo, Z.A.; Zhang, H.; Fu, X. Recent advances in emerging Janus two-dimensional materials: From fundamental physics to device applications. J. Mater. Chem. A 2020, 8, 8813–8830. [Google Scholar] [CrossRef]
- Kresse, G.; Furthmuller, J. Efficient iterative schemes for ab initio total-energy calculations using a plane-wave basis set. Phys. Rev. B Condens. Matter. 1996, 54, 11169–11186. [Google Scholar] [CrossRef] [PubMed]
- Blochl, P.E. Projector augmented-wave method. Phys. Rev. B Condens. Matter. 1994, 50, 17953–17979. [Google Scholar] [CrossRef] [Green Version]
- Perdew, J.P.; Burke, K.; Ernzerhof, M. Generalized Gradient Approximation Made Simple. Phys. Rev. Lett. 1996, 77, 3865–3868. [Google Scholar] [CrossRef] [PubMed] [Green Version]
- Krukau, A.V.; Vydrov, O.A.; Izmaylov, A.F.; Scuseria, G.E. Influence of the Exchange Screening Parameter on the Performance of Screened Hybrid Functionals. J. Chem. Phys. 2006, 125, 224106. [Google Scholar] [CrossRef]
- Marsman, M.; Paier, J.; Stroppa, A.; Kresse, G. Hybrid Functionals Applied to Extended Systems. J. Phys. Condens. Matter 2008, 20, 064201. [Google Scholar] [CrossRef]
- Wang, V.; Xu, N.; Liu, J.C.; Tang, G.; Geng, W.T. VASPKIT: A user-friendly interface facilitating high-throughput computing and analysis using VASP code. Comput. Phys. Commun. 2021, 267, 108033. [Google Scholar] [CrossRef]
- Mostofi, A.A.; Yates, J.R.; Lee, Y.S.; Souza, I.; Vanderbilt, D.; Marzari, N. wannier90: A tool for obtaining maximally-localised Wannier functions. Comput. Phys. Commun. 2008, 178, 685–699. [Google Scholar] [CrossRef] [Green Version]
- Parlinski, K.; Li, Z.Q.; Kawazoe, Y. First-Principles Determination of the Soft Mode in Cubic ZrO2. Phys. Rev. Lett. 1997, 78, 4063–4066. [Google Scholar] [CrossRef]
- Togo, A.; Tanaka, I. First Principles Phonon Calculations in Materials Science. Scr. Mater. 2015, 108, 1–5. [Google Scholar] [CrossRef] [Green Version]
- Liu, L.; Chen, S.S.; Lin, Z.Z.; Zhang, X. A Symmetry-Breaking Phase in Two-Dimensional FeTe2 with Ferromagnetism above Room Temperature. J. Phys. Chem. Lett. 2020, 11, 7893–7900. [Google Scholar] [CrossRef] [PubMed]
- Liu, L.; Ren, X.; Xie, J.H.; Cheng, B.; Liu, W.K.; An, T.Y.; Qin, H.W.; Hu, J.F. Magnetic switches via electric field in BN nanoribbons. Appl. Surf. Sci. 2019, 480, 300–307. [Google Scholar] [CrossRef]
- Vanderbilt, D.; King-Smith, R.D. Electric polarization as a bulk quantity and its relation to surface charge. Phys. Rev. B Condens. Matter. 1993, 48, 4442–4455. [Google Scholar] [CrossRef]
- Korir, K.K.; Cicero, G.; Catellani, A. Piezoelectric properties of zinc oxide nanowires: An ab initio study. Nanotechnology 2013, 24, 475401. [Google Scholar] [CrossRef] [PubMed]
- Cicero, G.; Ferretti, A.; Catellani, A. Surface-induced polarity inversion in ZnO nanowires. Phys. Rev. B 2009, 80, 201304. [Google Scholar] [CrossRef]
- Qin, W.; Xu, B.; Liao, S.; Liu, G.; Sun, B.; Wu, M. Flat-band splitting induced tunable magnetism in defective CrI3 monolayer. Solid State Commun. 2020, 321, 114037. [Google Scholar] [CrossRef]
- Zhang, J.Y.; Zhao, B.; Zhou, T.; Xue, Y.; Ma, C.L.; Yang, Z.Q. Strong magnetization and Chern insulators in compressed graphene/CrI3 van derWaals heterostructures. Phys. Rev. B 2018, 97, 085401. [Google Scholar] [CrossRef] [Green Version]
- Zheng, F.W.; Zhao, J.Z.; Liu, Z.; Li, M.L.; Zhou, M.; Zhang, S.B.; Zhang, P. Tunable spin states in the two-dimensional magnet CrI3. Nanoscale 2018, 10, 14298–14303. [Google Scholar] [CrossRef] [Green Version]
- Webster, L.; Yan, J.A. Strain-tunable magnetic anisotropy in monolayer CrCl3, CrBr3, and CrI3. Phys. Rev. B 2018, 98, 144411. [Google Scholar] [CrossRef] [Green Version]
- Pei, Q.; Zhou, B.Z.; Mi, W.B.; Cheng, Y.C. Triferroic Material and Electrical Control of Valley Degree of Freedom. ACS Appl. Mater. Interfaces 2019, 11, 12675–12682. [Google Scholar] [CrossRef] [PubMed]
- Wang, V.; Geng, W.T. Lattice Defects and the Mechanical Anisotropy of Borophene. J. Phys. Chem. C 2017, 121, 10224–10232. [Google Scholar] [CrossRef] [Green Version]
- Chen, Y.; Liu, J.Y.; Yu, J.B.; Guo, Y.G.; Sun, Q. Symmetry-breaking induced large piezoelectricity in Janus tellurene materials. Phys. Chem. Chem. Phys. 2019, 21, 1207–1216. [Google Scholar] [CrossRef] [PubMed]
- Thanh, V.V.; Van, N.D.; Truong, D.V.; Saito, R.; Hung, N.T. First-principles study of mechanical, electronic and optical properties of Janus structure in transition metal dichalcogenides. Appl. Surf. Sci. 2020, 526, 146730. [Google Scholar] [CrossRef]
- Pham, T.H.; Ullah, H.; Shafique, A.; Kim, H.J.; Shin, Y.H. Enhanced out-of-plane electromechanical response of Janus ZrSeO. Phys. Chem. Chem. Phys. 2021, 23, 16289–16295. [Google Scholar] [CrossRef]
- McGuire, M.A.; Dixit, H.; Cooper, V.R.; Sales, B.C. Coupling of Crystal Structure and Magnetism in the Layered, Ferromagnetic Insulator CrI3. Chem. Mater. 2015, 27, 4165. [Google Scholar] [CrossRef] [Green Version]
- Ares, P.; Cea, T.; Holwill, M.; Wang, Y.B.; Roldan, R.; Guinea, F.; Andreeva, D.V.; Fumagalli, L.; Novoselov, K.S.; Woods, C.R. Piezoelectricity in Monolayer Hexagonal Boron Nitride. Adv. Mater. 2020, 32, 905504. [Google Scholar] [CrossRef] [Green Version]
- Zhu, H.Y.; Wang, Y.; Xiao, J.; Liu, M.; Xiong, S.M.; Wong, Z.J.; Ye, Z.L.; Ye, Y.; Yin, X.B.; Zhang, X. Observation of piezoelectricity in free-standing monolayer MoS2. Nat. Nanotechnol. 2015, 10, 151–155. [Google Scholar] [CrossRef]
- Bottom, V.E. Measurement of piezoelectric coefficient of quartz using fabry-perot dilatometer. J. Appl. Phys. 1970, 41, 3941–3944. [Google Scholar] [CrossRef]
- Vurgaftman, I.; Meyer, J.R. Band parameters for nitrogen-containing semiconductors. J. Appl. Phys. 2003, 94, 3675–3696. [Google Scholar] [CrossRef]
- Zhang, Y.; Ye, H.; Yu, Z.; Liu, Y.; Li, Y. First-principles study of square phase MX2 and Janus MXY (M = Mo, W; X, Y = S, Se, Te) transition metal dichalcogenide monolayers under biaxial strain. Phys. E Low-Dimens. Syst. Nanostruct. 2019, 110, 134–139. [Google Scholar] [CrossRef]
- Zhang, Y.; Liu, C.H.; Liu, J.B.; Xiong, J.; Liu, J.Y.; Zhang, K.; Liu, Y.D.; Peng, M.Z.; Yu, A.F.; Zhang, A.H.; et al. Lattice Strain Induced Remarkable Enhancement in Piezoelectric Performance of ZnO-Based Flexible Nanogenerators. ACS Appl. Mater. Interfaces 2016, 8, 1381–1387. [Google Scholar] [CrossRef] [PubMed]
- Liu, H.; Chen, J.; Fan, L.L.; Ren, Y.; Pan, Z.; Lalitha, K.V.; Rodel, J.G.; Xing, X.R. Critical Role of Monoclinic Polarization Rotation in High-Performance Perovskite Piezoelectric Materials. Phys. Rev. Lett. 2017, 119, 017601. [Google Scholar] [CrossRef] [PubMed]
- Yang, J.; Wang, A.; Zhang, S.; Liu, J.; Zhong, Z.; Chen, L. Coexistence of piezoelectricity and magnetism in two-dimensional vanadium dichalcogenides. Phys. Chem. Chem. Phys. 2018, 21, 132–136. [Google Scholar] [CrossRef] [PubMed]
- Guo, S.D.; Zhu, Y.T.; Mu, W.Q.; Ren, W.C. Intrinsic piezoelectricity in monolayer MSi2N4 (M = Mo, W, Cr, Ti, Zr and Hf). EPL (Europhys. Lett.) 2020, 132, 57002. [Google Scholar] [CrossRef]
- Jena, N.; Rawat, A.; Ahammed, R.; Mohanta, M.K.; De Sarkar, A. Emergence of high piezoelectricity along with robust electron mobility in Janus structures in semiconducting Group IVB dichalcogenide monolayers. J. Mater. Chem. A 2018, 6, 24885–24898. [Google Scholar]










| Monolayer | a (Å) | (Å) | (Å) | () | () |
|---|---|---|---|---|---|
| CrI | 7.002 | 2.736 | 2.736 | 95.25 | 95.25 |
| CrIF | 6.246 | 2.057 | 2.695 | 122.48 | 84.00 |
| CrF | 5.181 | 1.941 | 1.941 | 100.75 | 100.75 |
| Pattern | e | d | e | d | C | C |
|---|---|---|---|---|---|---|
| CrIF | 0.301 | 0.475 | 1.870 | 5.485 | 48.762 | 14.668 |
| CrI | ∼ | ∼ | ∼ | ∼ | 26.378 | 6.516 |
| MoS 1 | ∼ | ∼ | 3.64 | 3.73 | 130 | 32 |
| MoSSe 2,3 | 0.032 | 0.020 | 3.74 | 3.76 | 126.78 | 20.61 |
| InSSe 1 | 0.13 | 0.18 | 3.24 | 8.47 | 55 | 17 |
| MoSTe 1 | 0.038 | 0.028 | 4.53 | 5.036 | 112.7 | 22.7 |
| MoSeTe 2,3 | 0.037 | 0.030 | 4.35 | 5.30 | 96.57 | 20.67 |
| WSeTe 2,3 | 0.010 | 0.008 | 3.34 | 3.52 | 111.03 | 17.31 |
| WSSe 2,3 | 0.018 | 0.011 | 2.57 | 2.26 | 141.27 | 22.41 |
| WSTe 2,3 | 0.010 | 0.007 | 3.48 | 3.33 | 133.62 | 26.25 |
| Pattern | MAE | J | J | J | T |
|---|---|---|---|---|---|
| CrF | −0.130 | 1.750 | 0.066 | −0.009 | 20.8 |
| CrI | −0.737 | 2.896 | 0.639 | −0.154 | 56 |
| CrIF | 3.064 | 0.549 | 0.574 | 0.150 | 47 |
Publisher’s Note: MDPI stays neutral with regard to jurisdictional claims in published maps and institutional affiliations. |
© 2022 by the authors. Licensee MDPI, Basel, Switzerland. This article is an open access article distributed under the terms and conditions of the Creative Commons Attribution (CC BY) license (https://creativecommons.org/licenses/by/4.0/).
Share and Cite
Niu, H.; Liu, Y.; Shi, J.; Wang, V. Large Vertical Piezoelectricity in a Janus Cr2I3F3 Monolayer. Materials 2022, 15, 4418. https://doi.org/10.3390/ma15134418
Niu H, Liu Y, Shi J, Wang V. Large Vertical Piezoelectricity in a Janus Cr2I3F3 Monolayer. Materials. 2022; 15(13):4418. https://doi.org/10.3390/ma15134418
Chicago/Turabian StyleNiu, Haibo, Yachao Liu, Jing Shi, and Vei Wang. 2022. "Large Vertical Piezoelectricity in a Janus Cr2I3F3 Monolayer" Materials 15, no. 13: 4418. https://doi.org/10.3390/ma15134418
APA StyleNiu, H., Liu, Y., Shi, J., & Wang, V. (2022). Large Vertical Piezoelectricity in a Janus Cr2I3F3 Monolayer. Materials, 15(13), 4418. https://doi.org/10.3390/ma15134418

