Sign in to use this feature.

Years

Between: -

Subjects

remove_circle_outline
remove_circle_outline
remove_circle_outline
remove_circle_outline
remove_circle_outline
remove_circle_outline
remove_circle_outline
remove_circle_outline
remove_circle_outline

Journals

remove_circle_outline
remove_circle_outline
remove_circle_outline
remove_circle_outline

Article Types

Countries / Regions

remove_circle_outline
remove_circle_outline
remove_circle_outline
remove_circle_outline
remove_circle_outline

Search Results (504)

Search Parameters:
Keywords = multi-actuator systems

Order results
Result details
Results per page
Select all
Export citation of selected articles as:
20 pages, 3476 KB  
Article
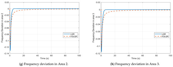
A Discrete-Time FOLQR Framework for Centralized AGC in Multi-Area Interconnected Power Grids
by Khidir AK Mohamed, Khaleel Agail Mohamed and Abdul-Wahid A. Saif
Appl. Sci. 2026, 16(1), 55; https://doi.org/10.3390/app16010055 - 20 Dec 2025
Viewed by 40
Abstract
This paper presents a discrete-time, centralized fractional-order linear quadratic regulator FOLQR for automatic generation control (AGC) of three-area interconnected nonreheat thermal systems. The AGC state explicitly includes the area control error (ACE) and tie-line power; a quadratic performance index penalizes ACE, its integral [...] Read more.
This paper presents a discrete-time, centralized fractional-order linear quadratic regulator FOLQR for automatic generation control (AGC) of three-area interconnected nonreheat thermal systems. The AGC state explicitly includes the area control error (ACE) and tie-line power; a quadratic performance index penalizes ACE, its integral (IACE), and control effort. The continuous-time plant (governor–turbine dynamics and tie-line flows) is discretized at a fixed sampling interval, and a single centralized gain is obtained from the discrete algebraic Riccati equation; the fractional-order extension shapes memory in the feedback to temper rapid transients. Benchmark studies under 0.01 and 0.05 p.u. step-load disturbances show that FOLQR stabilizes the interconnection and consistently lowers peak excursions relative to a conventional discrete LQR (COQAGC) baseline—reducing frequency peaks by about 9–12% and tie-line peaks by 24–60% in the small-step case—while producing smoother actuator commands. Although FOLQR exhibits longer settling times, this trade-off is acceptable FOr multi-area AGC where limiting overshoot and tie-line excursions is operationally more critical than strict settling-time targets. The proposed controller retains a simple centralized, discrete-time structure with a modest computational burden, making it suitable FOr real-time AGC deployment in large interconnected grids and demonstrating for the first time, to our knowledge, a fractional-order LQR applied to a three-area thermal benchmark. Full article
Show Figures

Figure 1

28 pages, 5033 KB  
Article
Simulation Method for Hydraulic Tensioning Systems in Tracked Vehicles Using Simulink–AMESim–RecurDyn
by Zian Ding, Shufa Sun, Hongxing Zhu, Zhiyong Yan and Yuan Zhou
Actuators 2025, 14(12), 615; https://doi.org/10.3390/act14120615 - 17 Dec 2025
Viewed by 198
Abstract
We developed a robust tri-platform co-simulation framework that integrates Simulink, AMESim, and RecurDyn to address the dynamic inconsistencies observed in traditional tensioning models for tracked vehicles. The proposed framework synchronizes nonlinear hydraulic dynamics, closed-loop control, and track–ground interactions within a unified time step, [...] Read more.
We developed a robust tri-platform co-simulation framework that integrates Simulink, AMESim, and RecurDyn to address the dynamic inconsistencies observed in traditional tensioning models for tracked vehicles. The proposed framework synchronizes nonlinear hydraulic dynamics, closed-loop control, and track–ground interactions within a unified time step, thereby ensuring causal consistency along the pressure–flow–force–displacement power chain. Five representative operating conditions—including steady tension tracking, random road excitation, steering/braking pulses, supply-pressure drops, and parameter perturbations—were analyzed. The results show that the tri-platform model reduces tracking error by up to 60%, shortens recovery time by 35%, and decreases energy consumption by 12–17% compared with dual-platform models. Both simulations and full-scale experiments confirm that strong cross-domain coupling enhances system stability, robustness, and energy consistency under variable supply pressure and parameter uncertainties. The framework provides a high-fidelity validation tool and a transferable modeling paradigm for electro-hydraulic actuation systems in tracked vehicles and other multi-domain machinery. Full article
(This article belongs to the Section Actuators for Surface Vehicles)
Show Figures

Figure 1

27 pages, 2307 KB  
Article
An Energy-Aware AIoT Framework for Intelligent Remote Device Control
by Daniel Stefani, Iosif Viktoratos, Albin Uruqi, Alexander Astaras and Chris Christodolou
Mathematics 2025, 13(24), 3995; https://doi.org/10.3390/math13243995 - 15 Dec 2025
Viewed by 437
Abstract
This paper presents an energy-aware Artificial Intelligence of Things framework designed for intelligent remote device control in residential settings. The system architecture is grounded in the Power Administration Device (PAD), a cost-effective and non-intrusive smart plug prototype that measures real-time electricity consumption and [...] Read more.
This paper presents an energy-aware Artificial Intelligence of Things framework designed for intelligent remote device control in residential settings. The system architecture is grounded in the Power Administration Device (PAD), a cost-effective and non-intrusive smart plug prototype that measures real-time electricity consumption and actuates appliance power states. The PAD transmits data to a scalable, cross-platform cloud infrastructure, which powers a web-based interface for monitoring, configuration, and multi-device control. Central to this framework is Cross-Feature Time-MoE, a novel neural forecasting model that processes the ingested data to predict consumption patterns. Integrating a Transformer Decoder with a Top-K Mixture-of-Experts (MoE) layer for temporal reasoning and a Bilinear Interaction Layer for capturing complex cross-time and cross-feature dependencies, the model generates accurate multi-horizon energy forecasts. These predictions drive actionable recommendations for device shut-off times, facilitating automated energy efficiency. Simulation results indicate that this system yields substantial reductions in energy consumption, particularly for high-wattage appliances, providing a user-friendly, scalable solution for household cost savings and environmental sustainability. Full article
(This article belongs to the Special Issue Application of Neural Networks and Deep Learning, 2nd Edition)
Show Figures

Figure 1

17 pages, 477 KB  
Review
A Scoping Review of Advances in Active Below-Knee Prosthetics: Integrating Biomechanical Design, Energy Efficiency, and Neuromuscular Adaptation
by Zanodumo Godlimpi and Thanyani Pandelani
Prosthesis 2025, 7(6), 165; https://doi.org/10.3390/prosthesis7060165 - 15 Dec 2025
Viewed by 130
Abstract
Background: This scoping review systematically maps and synthesises contemporary literature on the biomechanics of active below-knee prosthetic devices, focusing on gait kinematics, kinetics, energy expenditure, and muscle activation. It further evaluates design advancements, including powered ankle–foot prostheses and variable impedance systems, that [...] Read more.
Background: This scoping review systematically maps and synthesises contemporary literature on the biomechanics of active below-knee prosthetic devices, focusing on gait kinematics, kinetics, energy expenditure, and muscle activation. It further evaluates design advancements, including powered ankle–foot prostheses and variable impedance systems, that seek to emulate physiological ankle function and enhance mobility outcomes for transtibial amputees. Methods: This review followed the PRISMA-ScR guidelines. A comprehensive literature search was conducted on ScienceDirect, PubMed and IEEE Xplore for studies published between 2013 and 2023. Search terms were structured according to the Population, Intervention, Comparator, and Outcome (PICO) framework. From 971 identified articles, 27 peer-reviewed studies were found to meet the inclusion criteria between January 2013 and December 2023. Data were extracted on biomechanical parameters, prosthetic design characteristics, and participant demographics to identify prevailing trends and research gaps. This scoping review was registered with Research Registry under the following registration number: reviewregistry 2055. Results: The reviewed studies demonstrate that active below-knee prosthetic systems substantially improve gait symmetry and ankle joint range of motion compared with passive devices. However, compensatory trunk and pelvic movements persist, indicating that full restoration of natural gait mechanics remains incomplete. Metabolic efficiency varied considerably across studies, influenced by device design, control strategies, and user adaptation. Notably, the literature exhibits a pronounced gender imbalance, with only 10.7% female participants, and a reliance on controlled laboratory conditions, limiting ecological validity. Conclusions: Active prosthetic technologies represent a significant advancement in lower-limb rehabilitation. Nevertheless, complete biomechanical normalisation has yet to be achieved. Future research should focus on long-term, real-world evaluations using larger, more diverse cohorts and adaptive technologies such as variable impedance actuators and multi-level control systems to reduce asymmetrical loading and optimise gait efficiency. Full article
Show Figures

Figure 1

23 pages, 2121 KB  
Article
Synergetic Technology Evaluation of Aerodynamic and Performance-Enhancing Technologies on a Tactical BWB UAV
by Stavros Kapsalis, Pericles Panagiotou and Kyros Yakinthos
Drones 2025, 9(12), 862; https://doi.org/10.3390/drones9120862 - 15 Dec 2025
Viewed by 199
Abstract
The current study presents a holistic technology evaluation and integration methodology for enhancing the aerodynamic efficiency and performance of a tactical, fixed-wing Blended-Wing-Body (BWB) Unmanned Aerial Vehicle (UAV) through the synergetic integration of several aerodynamic and performance-enhancing technologies. Based upon several individual technology [...] Read more.
The current study presents a holistic technology evaluation and integration methodology for enhancing the aerodynamic efficiency and performance of a tactical, fixed-wing Blended-Wing-Body (BWB) Unmanned Aerial Vehicle (UAV) through the synergetic integration of several aerodynamic and performance-enhancing technologies. Based upon several individual technology investigations conducted in the framework of the EURRICA (Enhanced Unmanned aeRial vehicle platfoRm using integrated Innovative layout Configurations And propulsion technologies) research project for BWB UAVs, a structured Technology Identification, Evaluation, and Selection (TIES) is conducted. That is, a synergetic examination is made involving technologies from three domains: configuration layout, flow control techniques, and hybrid-electric propulsion systems. Six technology alternatives, slats, wing fences, Dielectric Barrier Discharge (DBD) plasma actuators, morphing elevons, hybrid propulsion system and a hybrid solar propulsion system, are assessed using a deterministic Multi-Attribute Decision Making (MADM) framework based on Technique for Order Preference by Similarity to Ideal Solution (TOPSIS). Evaluation metrics include stall velocity (Vs), takeoff distance (sg), gross takeoff weight (GTOW), maximum allowable GTOW, and fuel consumption reduction. Results demonstrate that certain configurations yield significant improvements in low-speed performance and endurance, while the corresponding technology assumptions and constraints are, respectively, discussed. Notably, the configuration combining slats, morphing control surfaces, fences, and hybrid propulsion achieves the highest ranking under a performance-future synergy scenario, leading to over 25% fuel savings and more than 100 kg allowable GTOW increase. These findings provide quantitative evidence for the potential of several technologies in future UAV developments, even when a novel configuration, such as BWB, is used. Full article
Show Figures

Figure 1

16 pages, 7347 KB  
Article
Distributed Adaptive Fault-Tolerant Control for High-Speed Trains Based on a Multi-Body Dynamics Model
by Huawei Wang, Xinyue Wang, Youxing Guo, Pengfei Sun, Guoliang Liu and Weijin Dong
Appl. Sci. 2025, 15(24), 13014; https://doi.org/10.3390/app152413014 - 10 Dec 2025
Viewed by 102
Abstract
The safe and efficient operation of high-speed trains is highly dependent on the reliability of their actuation systems, where actuator faults and input saturation pose significant challenges to control performance. Existing centralized control strategies often lack the flexibility to handle asymmetric actuator degradation [...] Read more.
The safe and efficient operation of high-speed trains is highly dependent on the reliability of their actuation systems, where actuator faults and input saturation pose significant challenges to control performance. Existing centralized control strategies often lack the flexibility to handle asymmetric actuator degradation and saturation across different carriages. To overcome this limitation, this paper leverages the inherent distributed structure of a train consist and proposes an distributed adaptive fault-tolerant control (DAFTC) scheme based on a multi-body dynamics model. The controller is designed at the carriage level to explicitly handle unknown actuator faults, input saturation, and parametric uncertainties. It incorporates an adaptive law for online parameter estimation and a second-order auxiliary system—a dynamic compensator—to mitigate saturation effects. Simulation results demonstrate the controller’s effectiveness in achieving accurate dual-loop tracking of both speed and position. Quantitative comparisons show that the proposed method reduces the average speed and position-tracking errors to 0.021 km/h and 0.426 m, respectively, outperforming conventional centralized approaches. Full article
(This article belongs to the Section Electrical, Electronics and Communications Engineering)
Show Figures

Figure 1

19 pages, 1130 KB  
Article
Active Disturbance Refutation-Based Filtered Smith Predictor Design for Fractional-Order Semi-Markovian Switching Systems and Its Applications
by Sivamani Arivumani, Ponnusamy Vadivel and Thangavel Saravanakumar
Symmetry 2025, 17(12), 2116; https://doi.org/10.3390/sym17122116 - 9 Dec 2025
Viewed by 142
Abstract
This paper focuses on the issues of tracking controller enhancement, input delay rectification, and disturbance elimination for dynamical systems characterized as fractional-order semi-Markovian jump processes. In particular, the design of the modified repetitive control technique integrated with the filtered Smith predictor scheme based [...] Read more.
This paper focuses on the issues of tracking controller enhancement, input delay rectification, and disturbance elimination for dynamical systems characterized as fractional-order semi-Markovian jump processes. In particular, the design of the modified repetitive control technique integrated with the filtered Smith predictor scheme based on the Majhi–Atherton approach guarantees exact tracking performance and disturbance elimination. To be more specific, the active rectification of both external disturbances and delays is safeguarded by the construction of a modified proportional derivative-based active disturbance estimator along with the traditional Smith predictor framework. Also, the modified repetitive control in this framework is able to track the reference signals with multiple periodicities. In accordance with the Lyapunov stability criterion, a group of applicable principles is produced in the structure of matrix inequality constraints. Furthermore, the parameters of the controller block are designed concurrently by way of elucidating the stated matrix inequality constraints. Finally, the simulation results and the comparison analysis between the developed control technique and existing works such as equivalent input disturbance and the truncated predictor feedback control method validate the advantage of the recommended control framework. Full article
Show Figures

Figure 1

24 pages, 7256 KB  
Article
Compression Molding of Thermoplastic Polyurethane Composites for Shape Memory Polymer Actuation
by Denise Bellisario, Luca Burratti, Luca Maiolo, Francesco Maita, Ivano Lucarini and Fabrizio Quadrini
J. Compos. Sci. 2025, 9(12), 681; https://doi.org/10.3390/jcs9120681 - 8 Dec 2025
Viewed by 358
Abstract
Background: Soft actuation relies on materials that are lightweight, flexible, and responsive to external stimuli. In biomedical applications, miniaturization and biocompatibility are key requirements for developing smart devices. Thermoplastic polyurethane (TPU) is particularly attractive due to its elasticity, processability, and biocompatibility; however, an [...] Read more.
Background: Soft actuation relies on materials that are lightweight, flexible, and responsive to external stimuli. In biomedical applications, miniaturization and biocompatibility are key requirements for developing smart devices. Thermoplastic polyurethane (TPU) is particularly attractive due to its elasticity, processability, and biocompatibility; however, an improvement in its shape-recovery performance would significantly enhance its suitability for actuation systems. This study aims to develop TPU-based shape memory polymer (SMP) composites with improved functional behavior for biomedical applications. Methods: TPU was modified with aluminum nanoparticles (AlNPs) and multi-walled carbon nanotubes (MWCNTs), incorporated individually (1 wt.% and 3 wt.%) and in hybrid combinations (MWCNT:AlNP ratios of 2:1, 5:1, and 10:1). Samples were produced by compression molding and characterized through thermal, mechanical, electrical, and shape-recovery tests, supported by morphological analysis. Results: AlNPs moderately improved thermal conductivity, while MWCNTs significantly enhanced electrical conductivity and doubled the recovery force compared with neat TPU. Hybrid composites showed intermediate properties, with the 5:1 MWCNT:AlNP ratio offering the best balance between recovery force and activation speed. Conclusions: The synergistic combination of MWCNTs and AlNPs effectively enhances TPU’s multifunctional behavior, demonstrating strong potential for soft actuation in biomedical devices. Full article
(This article belongs to the Special Issue Feature Papers in Journal of Composites Science in 2025)
Show Figures

Figure 1

23 pages, 6087 KB  
Article
A Machine Learning-Optimized Robot-Assisted Driving System for Efficient Flexible Forming of Composite Curved Components
by Wenliang Wang, Hexuan Shi, Xianhe Cheng, Rundong Ding, Junwei Sun, Yuan Li, Xingjian Wang, Shouzhi Hao, Jing Yan and Qigang Han
Eng 2025, 6(12), 356; https://doi.org/10.3390/eng6120356 - 7 Dec 2025
Viewed by 211
Abstract
Flexible forming technology breaks through the traditional reliance on rigid molds in the hot-pressing process and demonstrates great potential for fabricating large, lightweight composite components with curved geometries. However, the precise actuation and error control of discrete units in flexible molds remain key [...] Read more.
Flexible forming technology breaks through the traditional reliance on rigid molds in the hot-pressing process and demonstrates great potential for fabricating large, lightweight composite components with curved geometries. However, the precise actuation and error control of discrete units in flexible molds remain key technical challenges in the flexible forming of composites. This study proposes a high-precision and efficient method for the shape adjustment and error compensation of flexible multi-point molds. The proposed approach integrates the tangential offset unit configuration (TOUC) algorithm with an industrial robot to establish a robot-assisted precision driving system (RAPDS) for flexible molds. Furthermore, the main error-influencing factors of RAPDS are identified through correlation analysis and response surface modeling (RSM). Based on these findings, a backpropagation neural network (BPNN) is employed to predict adjustment errors, and heuristic algorithms guided by the structural characteristics of the BPNN are embedded into the framework to construct a bi-level optimization strategy that enhances model performance. The experimental results show that, compared with traditional methods, the robot-assisted flexible mold driving system improves the accuracy of shape adjustment by 31.0% and increases the production efficiency of composite components by 66.7%. Overall, this study develops a rapid, efficient, and highly precise flexible multi-point forming method for composite components, demonstrating strong potential for industrial applications. Full article
Show Figures

Figure 1

19 pages, 11470 KB  
Article
A Large Eddy Simulation-Based Power Forecast Approach for Offshore Wind Farms
by Yongjie Lu, Tasnim Zaman, Bin Ma, Marina Astitha and Georgios Matheou
Energies 2025, 18(24), 6386; https://doi.org/10.3390/en18246386 - 5 Dec 2025
Cited by 1 | Viewed by 298
Abstract
Reliable power forecasts are essential for the grid integration of offshore wind. This work presents a physics-based forecasting framework that couples mesoscale numerical weather prediction with large-eddy simulation (LES) and an actuator-disk turbine representation to predict farm-scale flows and power under realistic atmospheric [...] Read more.
Reliable power forecasts are essential for the grid integration of offshore wind. This work presents a physics-based forecasting framework that couples mesoscale numerical weather prediction with large-eddy simulation (LES) and an actuator-disk turbine representation to predict farm-scale flows and power under realistic atmospheric conditions. Mean meteorological profiles from the Weather Research and Forecasting model drive a concurrent–precursor LES generating turbulent inflow consistent with the evolving boundary layer, while a main LES resolves turbulence and wake formation within the wind farm. The LES configuration and turbine-forcing implementation are validated against canonical single- and multi-turbine benchmarks, showing close agreement in wake deficits and recovery trends. The framework is then demonstrated for the South Fork Wind project (12 turbines, ∼132 MW) using a set of time-varying cases over a 24 h period. Simulations reproduce hub-height wind variability, row-to-row power differences associated with wake interactions, and turbine-level power fluctuations (order 1 MW) that converge with appropriate averaging windows. The results illustrate how an LES-augmented hierarchical modeling system can complement conventional forecasting by providing physically interpretable flow fields and power estimates at operational scales. Full article
Show Figures

Figure 1

28 pages, 8198 KB  
Article
Prescribed-Time, Event-Triggered, Adaptive, Fault-Tolerant Formation Control of Heterogeneous Air–Ground Multi-Agent Systems Under Deception Attacks and Actuator Faults
by Jingli Huang, Junjiang Xie, Jie Huang and Shangkun Liu
Actuators 2025, 14(12), 575; https://doi.org/10.3390/act14120575 - 26 Nov 2025
Viewed by 281
Abstract
This paper investigates a distributed robust tracking control method with prescribed convergence time for heterogeneous air–ground multi-agent systems under the combined effects of deception attacks and actuator faults. Considering the corruption of state information caused by attacks, a time-varying constraint function is first [...] Read more.
This paper investigates a distributed robust tracking control method with prescribed convergence time for heterogeneous air–ground multi-agent systems under the combined effects of deception attacks and actuator faults. Considering the corruption of state information caused by attacks, a time-varying constraint function is first designed, and a command filtering mechanism is introduced. Through coordinate transformation, the disturbed state is indirectly estimated and safely fed back. To cope with actuator malfunctions leading to uncertain control effectiveness, a rationally designed adaptive law is developed for real-time identification and compensation of such uncertainties. Furthermore, within the backstepping control framework, the concept of time-varying constraints is integrated to propose an adaptive prescribed-time controller, transforming the tracking control problem into an error constraint form, thereby ensuring the system error converges within a specified range within a given time. To reduce communication load, the controller is implemented with an event-triggered mechanism, where control signals are updated only at trigger times, effectively avoiding Zeno behavior. Finally, the boundedness and stability of the closed-loop system are proven using Lyapunov methods. Simulation results demonstrate that this control strategy maintains stable and rapid heterogeneous formation tracking performance even in the presence of deception attacks and actuator faults. Full article
(This article belongs to the Section Control Systems)
Show Figures

Figure 1

21 pages, 978 KB  
Article
Control Technology of Master-Master Working Mode for Advanced Aircraft Dual-Redundancy Electro-Hydrostatic Flight Control Actuation System
by Xin Bao, Yan Li, Zhong Wang and Rui Wang
Appl. Syst. Innov. 2025, 8(6), 178; https://doi.org/10.3390/asi8060178 - 25 Nov 2025
Viewed by 397
Abstract
In response to the demands for high reliability, excellent dynamic response, and high-precision control of advanced aircraft actuation systems, this study focuses on the control technology for the master-master operating mode of dual-redundancy electro-hydrostatic actuation (EHA) systems. A multi-domain coupling model integrating motor [...] Read more.
In response to the demands for high reliability, excellent dynamic response, and high-precision control of advanced aircraft actuation systems, this study focuses on the control technology for the master-master operating mode of dual-redundancy electro-hydrostatic actuation (EHA) systems. A multi-domain coupling model integrating motor magnetic circuit saturation, hydraulic viscosity-temperature characteristics, and mechanical clearances was established, based on which a current-loop decoupling technique using vector control was developed. Furthermore, the study combined adaptive sliding mode control (ASMC) and an improved active disturbance rejection control (ADRC) to enhance the robustness of the speed loop and the disturbance rejection capability of the position loop, respectively. To address the key challenges of synchronous error accumulation and uneven load distribution in the master-master mode, a dual-redundancy dynamic model accounting for hydraulic coupling effects was developed, and a two-level cooperative control strategy of "position synchronization-dynamic load balancing" was proposed based on the cross-coupling control (CCC) framework. Experimental results demonstrate that the position loop control error is less than ±0.02 mm, and the load distribution accuracy is improved to over 97%, fully meeting the design requirements of advanced aircraft. These findings provide key technical support for the engineering application of power-by-wire flight control systems in advanced aircraft. Full article
Show Figures

Figure 1

22 pages, 2422 KB  
Article
Data-Driven Forward Kinematics for Robotic Spatial Augmented Reality: A Deep Learning Framework Using LSTM and Attention
by Sooyoung Jang, Hanul Yum and Ahyun Lee
Actuators 2025, 14(12), 569; https://doi.org/10.3390/act14120569 - 25 Nov 2025
Viewed by 252
Abstract
Robotic Spatial Augmented Reality (RSAR) systems present a unique control challenge as their end-effector is a projection, whose final position depends on both the actuator’s pose and the external environment’s geometry. Accurately controlling this projection first requires predicting the 6-DOF pose of a [...] Read more.
Robotic Spatial Augmented Reality (RSAR) systems present a unique control challenge as their end-effector is a projection, whose final position depends on both the actuator’s pose and the external environment’s geometry. Accurately controlling this projection first requires predicting the 6-DOF pose of a projector-camera unit from joint angles; however, loose kinematic specifications in many RSAR setups make precise analytical models unavailable for this task. This study proposes a novel deep learning model combining Long Short-Term Memory (LSTM) and an Attention Mechanism (LSTM–Attention) to accurately estimate the forward kinematics of a 2-axis Pan-Tilt actuator. To ensure a fair evaluation of intrinsic model performance, a simulation framework using Unity and unified robot description format was developed to generate a noise-free benchmark dataset. The proposed model utilizes a multi-task learning architecture with a geodesic distance loss function to optimize 3-dimensional position and 4-dimensional quaternion rotation separately. Quantitative results show that the proposed LSTM–Attention model achieved the lowest errors (Position MAE: 18.00 mm; Rotation MAE: 3.723 deg), consistently outperforming baseline models like Random Forest by 9.5% and 17.6%, respectively. Qualitative analysis further confirmed its superior stability and outlier suppression. The proposed LSTM–Attention architecture proves to be a effective and accurate methodology for modeling the complex non-linear kinematics of RSAR systems. Full article
(This article belongs to the Special Issue Advanced Learning and Intelligent Control Algorithms for Robots)
Show Figures

Figure 1

18 pages, 9591 KB  
Article
Elastic-Snapping–Driven Butterfly Stroke: A Soft Robotic Fish
by Lin Tian, Ruo-Pu Chen, Yu Zhao, Zhi-Peng Wang, Jiao Jia, Weifeng Yuan, Xi-Qiao Feng and Zi-Long Zhao
Machines 2025, 13(12), 1078; https://doi.org/10.3390/machines13121078 - 24 Nov 2025
Viewed by 333
Abstract
The locomotion of fish provides inspiration for designing efficient and agile underwater robots. Potamotrygon motoro propels itself by generating traveling waves along its pectoral fins. Inspired by its graceful swimming stroke, we design and fabricate a robotic fish, where the snap-through instability of [...] Read more.
The locomotion of fish provides inspiration for designing efficient and agile underwater robots. Potamotrygon motoro propels itself by generating traveling waves along its pectoral fins. Inspired by its graceful swimming stroke, we design and fabricate a robotic fish, where the snap-through instability of elastic curved rods is exploited to produce the undulatory fin motion. In this design, the rotary input of two motors is transformed smoothly and continuously to controllable wave-like fin deformation. By changing the initial fin shape, motor speed, and friction at the releasing end, the propulsion performance and the maneuverability of the robotic fish can be significantly improved. The physical prototype of the robotic fish is fabricated, and its swimming performance is measured. Its maximum swimming speed reaches 0.76 BL/s, and it can achieve small-radius turns with a maximum angular speed of 1.25 rad/s. In contrast to the multi-actuator systems, the proposed dual-motor, elastic-snapping–driven design is featured by simple structural construction, low energy consumption, excellent maneuverability, and superb adaptation to environments. Our robotic fish holds promising applications in such areas as environmental monitoring, underwater inspection, and ocean exploration. The propulsion strategy presented in this work may pave a new way for the design of shape-morphing robots as well as other soft machines at multiple length scales. Full article
Show Figures

Figure 1

21 pages, 903 KB  
Article
Boundary Control for Consensus in Fractional-Order Multi-Agent Systems Under DoS Attacks and Actuator Failures
by Qiang Qi, Xiao Chen, Dejian Wang, Jiashu Dai, Yuqian Yang and Chengdong Yang
Fractal Fract. 2025, 9(11), 745; https://doi.org/10.3390/fractalfract9110745 - 18 Nov 2025
Viewed by 472
Abstract
This paper investigates the consensus problem in fractional-order multi-agent systems (FOMASs) under Denial of Service (DoS) attacks and actuator faults. A boundary control strategy is proposed, which reduces dependence on internal sensors and actuators by utilizing only the state information at the system [...] Read more.
This paper investigates the consensus problem in fractional-order multi-agent systems (FOMASs) under Denial of Service (DoS) attacks and actuator faults. A boundary control strategy is proposed, which reduces dependence on internal sensors and actuators by utilizing only the state information at the system boundaries, significantly lowering control costs. To address DoS attacks, a buffer mechanism is designed to store valid control signals during communication interruptions and apply them once communication is restored, thereby enhancing the system’s robustness and stability. Additionally, this study considers the impact of actuator performance fluctuations on control effectiveness and proposes corresponding adjustment strategies to ensure that the system maintains consensus and stability even in the presence of actuator failures or performance variations. Finally, the effectiveness of the proposed method is validated through numerical experiments. The results show that, even under DoS attacks and actuator faults, the system can still successfully achieve consensus and maintain good stability, demonstrating the feasibility and effectiveness of this control approach in complex environments. Full article
(This article belongs to the Special Issue Fractional Dynamics and Control in Multi-Agent Systems and Networks)
Show Figures

Figure 1

Back to TopTop